Evaluation of Chemical and Biological Products for Control of Crown Gall on Rose
Abstract
1. Introduction
2. Materials and Methods
2.1. Isolation and Identification of Agrobacterium tumefaciens
2.2. Pathogenicity Test on Carrot Slices
2.3. Efficacy of Chemical and Biological Product Treatments on Control of Crown Gall on Rose
2.3.1. Inoculum Preparation
2.3.2. Treatments
2.3.3. Experimental Design
2.3.4. Recording Plant Growth and Crown and Root Gall Disease
2.4. Quantification of Agrobacterium tumefaciens from Rose Roots Using qPCR
2.5. Statistical Analysis
3. Results
3.1. Isolation and Identification of Agrobacterium tumefaciens
3.2. Pathogenicity Test on Carrot Slices
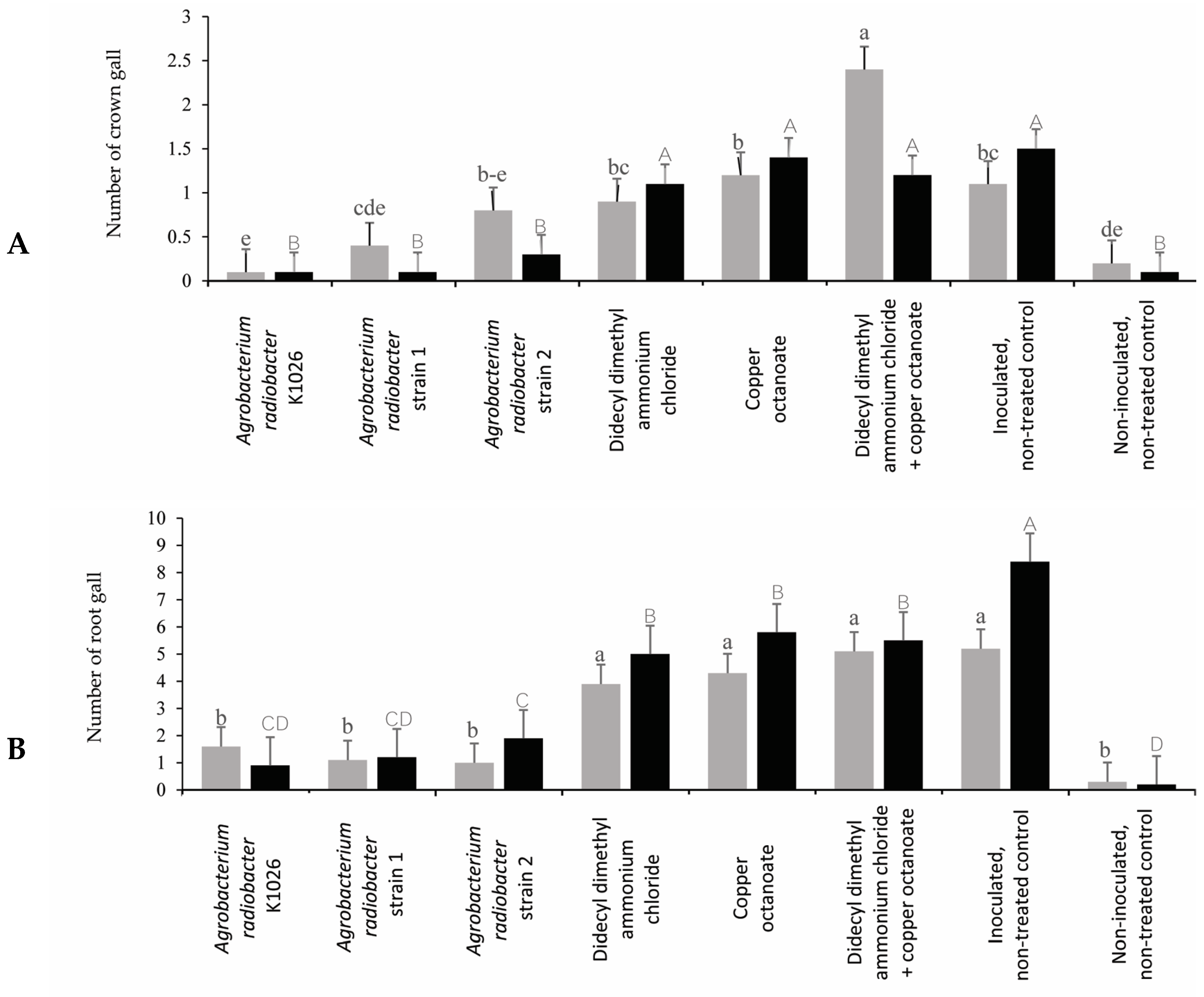
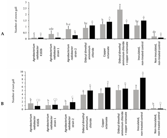
3.3. Efficacy of Chemical and Biological Product on Control of Crown Gall on Rose
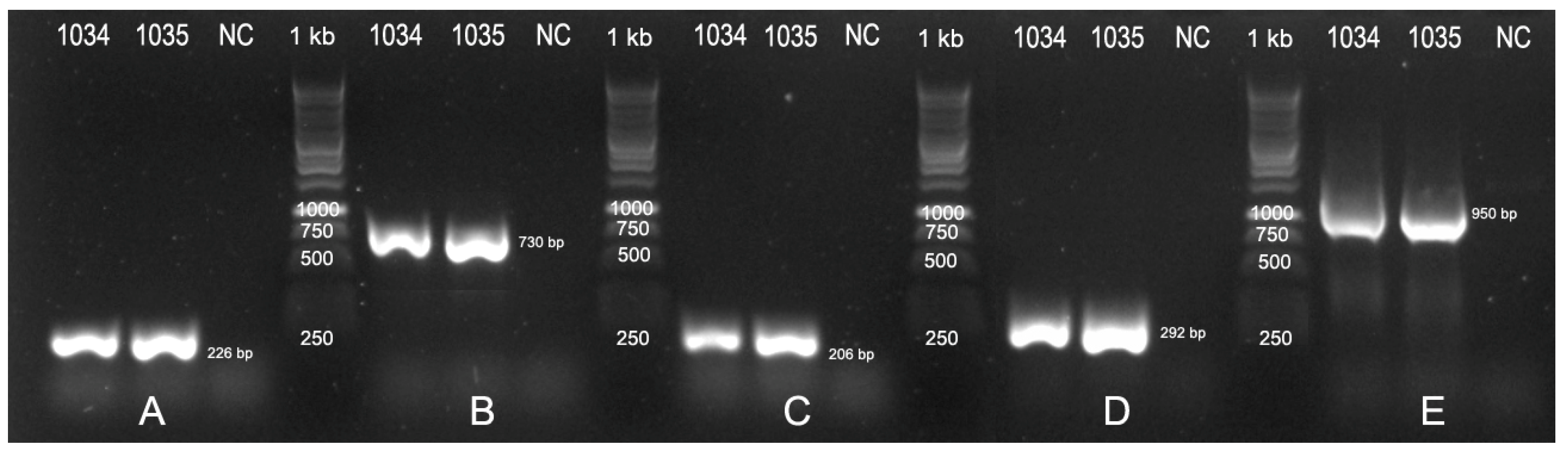
3.4. Quantification of Agrobacterium tumefaciens from Rose Roots Using qPCR
4. Discussion
Supplementary Materials
Author Contributions
Funding
Institutional Review Board Statement
Informed Consent Statement
Data Availability Statement
Acknowledgments
Conflicts of Interest
References
- Fougère-Danezan, M.; Joly, S.; Bruneau, A.; Gao, X.F.; Zhang, L.B. Phylogeny and Biogeography of Wild Roses with Specific Attention to Polyploids. Ann. Bot. 2015, 115, 275–291. [Google Scholar] [CrossRef]
- Raymond, O.; Gouzy, J.; Just, J.; Badouin, H.; Verdenaud, M.; Lemainque, A.; Vergne, P.; Moja, S.; Choisne, N.; Pont, C.; et al. The Rosa Genome Provides New Insights into the Domestication of Modern Roses. Nat. Genet. 2018, 50, 772–777. [Google Scholar] [CrossRef]
- Debener, T.; Linde, M. Exploring complex ornamental genomes: The Rose as a Model Plant. Crit. Rev. Plant Sci. 2009, 28, 267–280. [Google Scholar] [CrossRef]
- National Agriculture Statistics Service. 2020. 2019 Census of Horticultural Specialties. 2017 Census of Agriculture. Available online: https://www.nass.usda.gov/Publications/AgCensus/2017/Online_Resources/Census_of_Horticulture_Specialties/HORTIC.pdf (accessed on 25 July 2023).
- Li, Q.; Guo, R.; Li, Y.; Hartman, W.H.; Li, S.; Zhang, Z.; Tringe, S.G.; Wang, H. Insight into the bacterial endophytic communities of peach cultivars related to crown gall disease resistance. Appl. Environ. Microbiol. 2019, 85, e2931–e3018. [Google Scholar] [CrossRef]
- Barton, I.S.; Fuqua, C.; Platt, T.G. Ecological and evolutionary dynamics of a model facultative pathogen: Agrobacterium and crown gall disease of plants. Environ. Microbiol. 2018, 20, 16–29. [Google Scholar] [CrossRef]
- Pulawska, J. Crown gall stone fruits and nuts, economic significance and diversity of its causal agents: Tumorigenic Agrobacterium spp. J. Plant Pathol. 2010, 92, 87–98. [Google Scholar]
- Poncet, C.; Antonini, C.; Bettachini, A.; Hericher, D.; Pionnat, S.; Simonini, L.; Dessaux, Y.; Nesme, X. Impact of the crown gall disease on vigour and yield of rose trees. Acta Hort. 1996, 424, 221–225. [Google Scholar] [CrossRef]
- Marti, R.; Cubero, J.; Daza, A.; Piquer, J.; Salcedo, C.I.; Morente, C.; Lopez, M.M. Evidence of migration and endophytic presence of Agrobacterium tumefaciens in rose plants. Eur. J. Plant Pathol. 1999, 105, 39–50. [Google Scholar] [CrossRef]
- Kawaguchi, A.; Inoue, K.; Ichinose, Y. Biological Control of Crown Gall of Grapevine, Rose, and Tomato by Nonpathogenic Agrobacterium vitis strain VAR03-1. Phytopathology 2008, 98, 1218–1225. [Google Scholar] [CrossRef]
- Chen, L.; Ma, Q.; Liu, H.; Bian, L.; Wang, X.; Liu, Y. Reduced Root Secretion of Valine in Rosa-Microbe Interaction Contributes to the Decreased Colonization of Pathogenic Agrobacterium tumefaciens. Plant Dis. 2021, 105, 599–606. [Google Scholar] [CrossRef]
- Han, K.S.; Kim, W.H.; Park, J.H.; Han, Y.K.; Cheong, S.R. Influence of crown gall infection on growth and flowering of rose. Res. Plant Dis. 2008, 14, 159–164. [Google Scholar] [CrossRef]
- Van Larebeke, N.; Engler, G.; Holsters, M.; Van den Elsacker, S.; Zaene, I.; Schilpreroort, R.A.; Schell, J. Large Plasmid in Agrobacterium tumefaciens Essential for Crown Gall Inducing Activity. Nature 1974, 252, 169–170. [Google Scholar] [PubMed]
- Watson, B.; Currier, T.C.; Gordon, M.P.; Chilton, M.D.; Nester, E.W. Plasmid Required for Virulence of Agrobacterium tumefaciens. J. Bacteriol. 1975, 123, 255–264. [Google Scholar] [CrossRef] [PubMed]
- Caplan, A.; Herrera-Estrella, L.; Inze, D.; Van Haute, E.; Van Montagu, M.; Schell, J.; Zambryski, P. Introduction of Genetic Material into Plant Cells. Science 1983, 222, 815–821. [Google Scholar] [CrossRef] [PubMed]
- Clarence, L.; Kado, P.D. Molecular Mechanisms of Crown Gall Tumorigenesis. Crit. Rev. Plant Sci. 1991, 10, 1–32. [Google Scholar] [CrossRef]
- Palanichelvam, K.; Veluthambi, K. Octopine- and Nopaline-Inducible Proteins in Agrobacterium tumefaciens are also Induced by Arginine. Curr. Microbiol. 1996, 33, 156–162. [Google Scholar] [CrossRef] [PubMed]
- Gan, H.M.; Savka, M.A. One More Decade of Agrobacterium Taxonomy. Curr. Top. Microbiol. Immunol. 2018, 418, 1–14. [Google Scholar] [CrossRef]
- Diel, B.; Dequivre, M.; Wisniewski-Dye, F.; Vial, L.; Hommais, F. A Novel Plasmid-transcribed Regulatory sRNA, QfsR, Controls Chromosomal Polycistronic Gene Expression in Agrobacterium fabrum. Environ. Microbiol. 2019, 21, 3063–3075. [Google Scholar] [CrossRef]
- Lim, S.; Chun, S.C.; Kim, J.W. Cultivar Resistance of Korean Breeding Cut-rose against Crown Gall by Agrobacterium tumefaciens Evaluated by an in vitro Inoculation. Plant Pathol. J. 2023, 39, 220–227. [Google Scholar] [CrossRef]
- Wang, H.; Wang, J.; Tzibun, N. The Pathogen of Crown Gall Disease on Flowering Cherry and Its Sensitivity to strain K1026. Eur. J. Plant Pathol. 2000, 106, 475–479. [Google Scholar] [CrossRef]
- Rhouma, A.; Boubaker, A.; Nesme, X.; Dessaux, Y. Plasmid and Chromosomal Diversity of a Tunisian Collection of Agrobacterium tumefaciens Strains. Tunis. J. Plant Prot. 2006, 1, 73–84. [Google Scholar]
- Lelliot, R.A.; Stead, D.E. Methods for the Diagnosis of Bacterial Diseases of Plants. In Methods in Plant Pathology; Preece, T.F., Ed.; Black Well Scientific Publications: Oxford, UK, 1987; pp. 176–177. [Google Scholar]
- Chandrasekaran, M.; Lee, J.M.; Ye, B.M.; Jung, S.M.; Kim, J.; Kim, J.W.; Chun, S.C. Isolation and Characterization of Avirulent and Virulent strains of Agrobacterium tumefaciens from Rose Crown Gall in Selected Regions of South Korea. Plants 2019, 8, 452. [Google Scholar] [CrossRef] [PubMed]
- Christie, P.J.; Gordon, J.E. The Agrobacterium Ti plasmids. Microbiol. Spectr. 2014, 2, 1–18. [Google Scholar] [CrossRef]
- Nemoto, K.; Hara, M.; Suzuki, M.; Seki, H.; Suzuki, M.; Oka, A.; Muranak, T.; Mano, Y. The aux1 gene of the Ri Plasmid is Sufficient to Confer Auxin Autotrophy in Tobacco BY-2 Cells. J. Plant Physiol. 2009, 166, 729–738. [Google Scholar] [CrossRef]
- Palacio-Bielsa, A.; Gonzalez-Abolafio, R.; Alvarez, B.; Lastra, B.; Cambra, M.A.; Salcedo, C.I.; Lopez, M.M.; Penyalver, R. Chromosomal and Ti Plasmid Characterization of Tumorigenic Strains of Three Agrobacterium Species Isolated from Grapevine Tumors. Plant Pathol. 2009, 58, 584. [Google Scholar] [CrossRef]
- Costechareyre, D.; Rhouma, A.; Lavire, C.; Portier, P.; Chapulliot, D.; Bertolla, F.; Boubaker, A.; Dessaux, Y.; Nesme, X. Rapid and Efficient Identification of Agrobacterium species by recA Allele Analysis: Agrobacterium recA Diversity. Microb. Ecol. 2010, 60, 862–872. [Google Scholar] [CrossRef]
- Shams, M.; Vial, L.; Chapulliot, D.; Nesme, X.; Lavire, C. Rapid and Accurate Species and Genomic Species Identification and Exhaustive Population Diversity Assessment of Agrobacterium spp. Using recA-based PCR. Syst. Appl. Microbiol. 2013, 36, 351–358. [Google Scholar] [CrossRef]
- Lassalle, F.; Planel, R.; Penel, S.; Chapulliot, D.; Barbe, V.; Dubost, A.; Calteau, A.; Vallenet, D.; Mornico, D.; Bigot, T.; et al. Ancestral Genome Estimation Reveals the History of Ecological Diversification in Agrobacterium. Genome Biol. Evol. 2017, 9, 3413–3431. [Google Scholar] [CrossRef]
- Heindl, J.E.; Wang, Y.; Heckel, B.C.; Mohari, B.; Feirer, N.; Fuqua, C. Mechanisms and Regulation of Surface Interactions and Biofilm Formation in Agrobacterium. Front. Plant Sci. 2014, 5, 176. [Google Scholar] [CrossRef]
- Moore, L.W.; Kado, C.I.; Bouzar, H. Agrobacterium. In Laboratory Guide of Identification of Plant Pathogenic Bacteria; Schaad, N., Ed.; APS Press: St. Paul, MN, USA, 1988; pp. 16–36. [Google Scholar]
- Lopez, M.M. Genero Agrobacterium. In Manual de Laboratorio. Diagnostico de Hongos, Bacterias y Nematodos Fitopatogenos; Madrid Ministorio de Agricultura Pesca y Alimentacion, Direccion General de Sanidad de la Producción Agraria: Madrid, Spain, 1991; pp. 149–156. [Google Scholar]
- Chen, F.C.; Hseu, S.H.; Hung, S.T.; Chen, M.C.; Lin, C.Y. Leaf, Stem and Crown Galls on Perennial Asters Caused by Agrobacterium tumefaciens in Taiwan. Bot. Bull. Acad. Sin. 1999, 40, 237–242. [Google Scholar]
- Canfield, M.L.; Moore, L.W. Isolation and Characterization of Opine-utilizing Strain of Agrobacterium tumefaciens and Fluorescent Strains of Pseudomonas spp. from Rootstocks of Malus. Phytopathology 1991, 81, 440–443. [Google Scholar]
- Petrovicheva, A.; Joyner, J.; Muth, T.R. Quantification of Agrobacterium tumefaciens C58 Attachment to Arabidopsis thaliana Roots. FEMS Microbiol. Lett. 2017, 364, fnx158. [Google Scholar] [CrossRef]
- Guo, M.; Ye, J.; Gao, D.; Xu, N.; Yang, J. Agrobacterium-mediated Horizontal Gene Transfer: Mechanism, Biotechnological Application, Potential Risk and Forestalling Strategy. Biotechnol. Adv. 2019, 37, 259–270. [Google Scholar] [CrossRef]
- Jailani, A.; Ahmed, B.; Lee, J.H.; Lee, J. Inhibition of Agrobacterium tumefaciens Growth and Biofilm Formation by Tannic Acid. Biomedicines 2022, 10, 1619. [Google Scholar] [CrossRef]
- Sundin, G.W.; Castiblanco, L.F.; Yuan, X.; Zeng, Q.; Yang, C.H. Bacterial Disease Management: Challenges, Experience, Innovation and Future Prospects. Mol. Plant Pathol. 2016, 17, 1506–1518. [Google Scholar] [CrossRef]
- Liu, K.; Newman, M.; Mclnroy, J.A.; Hu, C.H.; Kloepper, J.W. Selection and Assessment of Plant Growth Promoting Rhizobacteria for Biological Control of Multiple Plant Diseases. Phytopathology 2017, 107, 928–936. [Google Scholar] [CrossRef]
- Yakabe, L.E.; Parker, S.R.; Kluepfel, D.A. Effect of pre-plant soil fumigants on Agrobacterium tumefaciens, pythiaceous species, and subsequent soil recolonization by A. tumefaciens. Crop Prot. 2020, 29, 583–590. [Google Scholar] [CrossRef]
- Grimm, R. Control of crown gall in Swiss apple nurseries. EPPO Bull. 1987, 17, 269–272. [Google Scholar]
- Utkhede, R.S.; Smith, E.M. Evaluation of Biological and Chemical Treatments for Control of Crown Gall on Young Apple Trees in the Kootenay Valley of British Columbia. J. Phytopathol. 1993, 137, 265–271. [Google Scholar] [CrossRef]
- Opisa, O.M.; Anchwanya, O.S.; Otaye, D.O.; Muthamia, J.M. The Efficacy of Sterilization Agents, Copper Oxychloride, Vegatable Oil and Agrowipe (Botanic Neem Exctract) against Crown Gall Disease of Roses in Kericho, Kenya. Afr. J. Bio Sc. 2021, 2, 115–121. [Google Scholar] [CrossRef]
- Kerr, A. Biological Control of Crown Gall through Production of Agrocin 84. Plant Dis. 1980, 64, 24–30. [Google Scholar]
- Farrand, S.K.; Ryder, M.H.; Hayman, G.T.; O’Morchoe, S.B.; Shim, J.S.; Kerr, A. Genetic and Molecular Biology of Agrocin Production and Sensitivity in Agrobacterium. In Plant Pathogenic Bacteria; Civerolo, E.L., Collmar, A., Davis, R.E., Gillaspie, A.G., Eds.; Current Plant Science and Biotechnology in Agriculture; Springer: Dordrecht, The Netherlands, 1987; Volume 4, pp. 42–55. [Google Scholar] [CrossRef]
- Kerr, A.; Htay, K. Biological Control of Crown Gall through Bacteriocin Production. Physiol. Plant Pathol. 1974, 4, 37–44. [Google Scholar] [CrossRef]
- Panagopoulos, C.G.; Psallidas, P.G.; Alivizatos, A.S. Evidence of a Breakdown in the Effectiveness of Biological Control of Crown Gall. In Borne Plant Pathogens; Schippers, B., Gams, W., Eds.; Academic Press: London, UK, 1979; pp. 569–578. [Google Scholar]
- Moore, L.W.; Canfield, M. Biology of Agrobacterium and Management of Crown Gall Disease. In Principles and Practice of Managing Soil Borne Plant Pathogens; Hall, R., Ed.; APS Press: St. Paul, MN, USA, 1996; pp. 151–191. [Google Scholar]
- Rhouma, A.; Ferchichi, A.; Hafsa, M.; Boubaker, A. Efficacy of the Non-pathogenic Agrobacterium Strains K84 and K1026 against Crown Gall in Tunisia. Phytopathol. Mediterr. 2004, 43, 167–176. [Google Scholar]
- Chilton, M.D.; Saiki, R.K.; Yadav, N.; Gordon, M.P.; Quetier, F. T-DNA from Agrobacterium Ti Plasmid is in the Nuclear DNA Fraction of Crown Gall Tumor Cells. Proc. Natl. Acad. Sci. USA 1980, 77, 4060–4064. [Google Scholar]
- Jones, D.A.; Kerr, A. Agrobacterium radiobacter Strain K1026, a Genetically Engineered Derivative of Strain K84, for Biological Control of Crown Gall. Plant Dis. 1989, 73, 15–18. [Google Scholar]
- Vicedo, B.; Penalver, R.; Asins, M.J.; Lopez, M.M. Biological Control of Agrobacterium tumefaciens, Colonization pAgK84 Transfer with Agrobacterium radiobacter K84 and the Tra- Mutant Strain K1026. Appl. Environ. Microbiol. 1993, 59, 309–315. [Google Scholar] [CrossRef]
- Chen, F.; Guo, Y.B.; Wang, J.H.; Li, J.Y.; Wang, H.M. Biological Control of Grape Crown Gall by Rahnella aquatilis HX2. Plant Dis. 2007, 91, 957–963. [Google Scholar] [CrossRef] [PubMed]
- Gupta, A.K.; Khosla, K. Integration of Soil Solarization and Potential Native Antagonist for the Management of Crown Gall on Cherry Rootstock Colt. Sci. Hortic. 2007, 112, 51–57. [Google Scholar] [CrossRef]
- Ferrigo, D.; Causin, R.; Raiola, A. Effect of Potential Biocontrol Agents Selected Grapevine Endophytes and Commercial Products on Crown Gall Disease. BioControl 2017, 62, 821–833. [Google Scholar] [CrossRef]
- Asghari, S.; Harighi, B.; Mozafari, A.A.; Esmaeel, Q.; Barka, E.A. Screening of Endophytic Bacteria Isolated from Domesticated and Wild Growing Grapevines as Potential Biological Control Agents against Crown Gall Disease. BioControl 2019, 64, 723–735. [Google Scholar] [CrossRef]
- Kovacs, N. Identification of Pseudomonas pyocyanea by the Oxidase Reaction. Nature 1956, 178, 703. [Google Scholar] [CrossRef] [PubMed]
- Haas, J.H.; Moore, L.W.; Ream, W.; Manulis, S. Universal PCR Primers for Detection of Phytopathogenic Agrobacterium strains. Appl. Environ. Microbiol. 1995, 61, 2879–2884. [Google Scholar] [CrossRef]
- Bini, F.; Kuczmog, A.; Putnoky, P.; Otten, L.; Bazzi, C.; Szegedi, E. Novel Pathogen-specific Primers for the Detection of Agrobacterium vitis and Agrobacterium tumefaciens. Vitis 2008, 47, 181–189. [Google Scholar] [CrossRef]
- Tan, B.; Yabuki, J.; Matsumoto, S.; Kageyama, K.; Fukui, H. PCR Primers for Identification of Opine Types of Agrobacterium tumefaciens in Japan. J. Gen. Plant Pathol. 2003, 69, 258–266. [Google Scholar] [CrossRef]
- Aysan, Y.; Sahin, F.; Mirik, M.; Donmez, M.F.; Tekman, H. First Report of Crown Gall of Apricot (Prunus armeniaca) Caused by Agrobacterium tumefaciens in Turkey. Plant Pathol. 2003, 52, 793–795. [Google Scholar] [CrossRef]
- Doksoz, S.F.; Bozkurt, I.A. A New and Simple Pathogenicity Test Using Carrot Slices for Pseudomonas savastanoi pv. savastanoi, Causal Disease Agent of Olive Knot. J. Plant Pathol. 2020, 102, 1173–1177. [Google Scholar] [CrossRef]
- Rhouma, A.; Bouri, M.; Boubaker, A.; Nesme, X. The Management of Crown Gall Disease Caused by Agrobacterium tumefaciens biovar 1. J. Plant Pathol. 2008, 90, 517–526. [Google Scholar]
- Jennings, C.; Simmons, T.; Parajuli, M.; Oksel, C.; Liyanapathiranage, P.; Hikkaduwa Epa Liyanage, K.; Baysal-Gurel, F. Chemical Control of Powdery Mildew of Bigleaf Hydrangea. HortScience 2024, 59, 173–178. [Google Scholar] [CrossRef]
- Hartman, G.L.; Sinclair, J.B. Read Leaf Blotch (Dactuliochaeta glycines) of Soybeans (Glycine max) and Its Relationship to Yield. Plant Pathol. 1996, 45, 332–343. [Google Scholar] [CrossRef]
- New, P.B.; Kerr, A. Biological Control of Crown gall; Field Measurements and Glasshouse Experiment. J. Appl. Microbiol. 1972, 35, 279–287. [Google Scholar] [CrossRef]
- Chen, L.; Wang, X.; Ma, Q.; Bian, L.; Liu, X.; Xu, Y.; Zhang, H.; Shao, J.; Liu, Y. Bacillus velezensis CLA178 Induced Systemic Resistance of Rosa multiflora against Crown Gall Disease. Front. Microbiol. 2020, 11, 1–12. [Google Scholar] [CrossRef]
- Moore, L.W.; Bouzar, H.; Burr, T.J. Agrobacterium. In Plant Pathogenic Bacteria; Schaad, N.W., Jones, J.B., Chun, W., Eds.; APS Press: St. Paul, MN, USA, 2001; pp. 17–34. [Google Scholar]
- Campillo, T.; Lavire, C.; Shams, M.; Pothier, J.F.; Puławska, J. Detection and Identification Methods and New Tests as Developed and Used in The Framework of COST873 for Bacteria Pathogenic to Stone Fruits and Nuts, Tumorigenic Agrobacterium spp. J. Plant Pathol. 2012, 94, 97–104. [Google Scholar]
- Cubero, J.; Martinez, M.C.; Llop, P.; Lopez, M.M. A Simple and Efficient PCR Method for Detection of Agrobacterium tumefaciens in Plant Tumors. J. App Microbiol. 1999, 86, 591–602. [Google Scholar] [CrossRef]
- Mougel, C.; Thioulouse, J.; Perriere, G.; Nesme, X. A Mathematical Method for Determining Genome Divergence and Species Delineation Using AFLP. Int. J. Syst. Evol. Microbiol. 2002, 52, 573–586. [Google Scholar] [CrossRef] [PubMed]
- Portier, P.; Saux, M.F.; Mougel, C.; Lerondelle, C.; Chapulliot, D.; Thioulouse, J.; Nesme, X. Identification of Genomic Species in Agrobacterium biovar 1 by AFLP Genomic Markers. Appl. Environ. Microbiol. 2006, 72, 7123–7131. [Google Scholar] [CrossRef]
- Lindstrom, K.; Young, J.P.W. International Committee on Systematics of Prokaryotes; Sub-committee on the Taxonomy of Rhizobium and Agrobacterium. Int. J. Syst. Evol. Microbiol. 2011, 61, 3089–3093. [Google Scholar] [CrossRef]
- Gupta, A.K.; Khosla, K.; Bhardwaj, S.S.; Thakur, A.; Devi, S.; Jarial, R.S.; Sharma, C.; Singh, K.P.; Srivastava, D.K.; Lal, R. Biological Control of Crown Gall on Peach and Cherry Rootstock Colt by Native Agrobacterium radiobacter Isolates. Open Hortic. J. 2010, 3, 1–10. [Google Scholar] [CrossRef]
- Ben Abdallah, D.; Tounsi, S.; Gharsallah, H.; Hammami, A.; Frikha-Gargouri, O. Lipopeptides from Bacillus amyloliquefaciens strain 32a as Promising Biocontrol Compounds against the Plant Pathogen Agrobacterium tumefaciens. Environ. Sci. Pollut. Res. Int. 2018, 25, 36518–36529. [Google Scholar] [CrossRef]
- Gharsa, H.B.; Bouri, M.; Hamdane, A.M.; Schuster, C.; Leclerque, A.; Rhouma, A. Bacillus velezensis strain MBY2, a Potential Agent for the Management of Crown Gall Disease. PLoS ONE 2021, 16, e0252823. [Google Scholar] [CrossRef]
- Donner, S.C.; Jones, D.A.; McClure, N.C.; Rosewarne, G.M.; Tate, M.E.; Kerr, A.; Fajardo, N.N.; Clare, B.G. Agrocin 434, a New Plasmid Encoded Agrocin from the Biocontrol Agrobacterium strains K84 and K1026, Which Inhibits biovar 2 Agrobacteria. Physiol. Mol. Plant Pathol. 1993, 42, 185–194. [Google Scholar] [CrossRef]
- Ellis, J.G.; Kerr, A.; Van Montagu, M.; Schell, J. Agrobacterium: Genetic Studies on Agrocin 84 Production and the Biological Control of Crown Gall. Physiol. Plant Pathol. 1979, 15, 311–319. [Google Scholar] [CrossRef]
- Kawaguchi, A.; Inoue, K.; Tanina, K. Evaluation of Nanpathogenic Agrobacterium vitis strain ARK-1 for Crown Gall Control in Diverse Plant Species. Plant Dis. 2015, 99, 409–414. [Google Scholar] [CrossRef]
- Habbadi, K.; Yahyaoui, H.; Benchlih, S.; Benbouazza, A.; Houssaini, S.E.I.E. Crown Gall Disease in Moroccan Almond Trees: Tumorigenic Bacteria and Sustainable Management through Biological Control. Afr. J. Agric. Res. 2023, 140, 1–18. [Google Scholar]
- Nguyen, K.A.; Forster, H.; Adaskaveg, J.E. Quaternary Ammonium Compounds as New Sanitizers for Reducing the Spread of the Olive Knot Pathogen on Orchard Equipment. Plant Dis. 2017, 101, 1188–1193. [Google Scholar] [CrossRef]
- Baysal-Gurel, F.; Miller, S.A.; Bledsoe, M. Postharvest Applications of Disinfectants Using a Fog Tunnel System to Manage Botrytis Gray Mold in Tomatoes. Acta Hortic. 2014, 1053, 237–244. [Google Scholar] [CrossRef]
- Baysal-Gurel, F.; Kurowski, C.J.; Li, R.; Ling, K.S.; Miller, S.A. Developing Hygiene Protocols against Mechanically Transmitted Pathogens in Greenhouse Tomato Production Systems. Acta Hortic. 2015, 1069, 275–280. [Google Scholar] [CrossRef]
- Copes, W.E.; Mavrodi, O.V.; Mavrodi, D.V. Control of Pseudomonas amygdali pv. loropetali on Metal, Wood, and Loropetalum chinense stem Surfaces. Plant Health Prog. 2019, 20, 270–277. [Google Scholar] [CrossRef]
- Baysal-Gurel, F.; Bika, R.; Jennings, C.; Palmer, C.; Simmons, T. Comparative Performance of Chemical and Biological-based Products in Management of Algal Leaf Spot on Magnolia. Horttechnology 2020, 30, 733–740. [Google Scholar] [CrossRef]
- Bika, R.; Copes, W.; Baysal-Gurel, F. Comparative Performance of Sanitizers in Managing Plant-to-Plant Transfer and Postharvest Infection of Calonectria pseudonaviculata and Pseudonectria foliicola on Boxwood. Plant Dis. 2021, 105, 2809–2821. [Google Scholar] [CrossRef]
- Gordon, M.; Thomas, W.; Putnam, M.L. Transmission and Management of Pathogenic Agrobacterium tumefaciens and Rhodococcus fascians in Select Ornamentals. Plant Dis. 2024, 108, 50–61. [Google Scholar] [CrossRef]
- Williams, L.E.; Pittman, J.K.; Hell, J.L. Emerging Mechanisms for Heavy Metal Transport in Plants. Biochim. Biophys. Acta 2000, 1465, 104–126. [Google Scholar] [CrossRef]
- Sobiczewski, P.; Piotrowski, S.A. Preliminary Investigation on the Biological Control of Crown Gall (Agrobacterium radiobacter pv. tumefaciens). Fruit Sci. Rep. 1983, 10, 189–194. [Google Scholar]
- Burr, T.J. Grape Crown Gall Biology and Strategies for Control. Foundation Plant Services FPS Grape Program Newsletter. University of California, Davis, CA, USA, 2004; pp. 16–18.
- Degani, O.; Movshowitz, D.; Dor, S.; Meerson, A.; Goldlat, Y.; Rabinovitz, O. Evaluating Azoxystrobin Seed Coating against Maize Late Wilt Disease Using a Sensitive qPCR-based Method. Plant Dis. 2019, 103, 238–248. [Google Scholar] [CrossRef] [PubMed]
- Muranaka, L.S.; Giorgiano, T.E.; Takita, M.A.; Forim, M.R.; Silva, L.F.C.; Coletta-Filho, H.D.; Machado, M.A.; Souza, A.A. N-acetylcysteine in Agriculture, a Novel Use for an Old Molecule: Focus on Controlling the Plant-pathogen Xylella fastidiosa. PLoS ONE 2013, 8, e72937. [Google Scholar] [CrossRef]
- Voegel, T.M.; McGonigal, P.; Nelson, L.M.; Urbez-Torres, J. Health Status of Ready-to-Plant Grapevine Nursery Material in Canada Regarding Crown Gall and Description of the First Allorhizobium vitis strain OP-G1 Isolated from British Columbia. Plant Dis. 2023, 107, 3666–3673. [Google Scholar] [CrossRef] [PubMed]









| Treatment | Application Rate |
|---|---|
| Agrobacterium radiobacter strain K1026 | 0.623 g·L−1 |
| Agrobacterium radiobacter strain 1 | 1.2 × 109 CFU mL−1 |
| Agrobacterium radiobacter strain 2 | 1.2 × 109 CFU mL−1 |
| Didecyl dimethyl ammonium chloride | 4 mL·L−1 |
| Copper octanoate | 10 mL·L−1 |
| Didecyl dimethyl ammonium chloride + copper octanoate | 2 mL·L−1 + 5 mL·L−1 |
| Treatment | Height Increase (cm) | Width Increase (cm) | Total Fresh Weight (g) | Root Fresh Weight (g) | ||||
|---|---|---|---|---|---|---|---|---|
| Trial 1 | Trial 2 | Trial 1 | Trial 2 | Trial 1 | Trial 2 | Trial 1 | Trial 2 | |
| Agrobacterium radiobacter strain K1026 | 30.73 ± 2.29 a* | 33.65 ± 0.72 a | 11.68 ± 1.27 a | 12.05 ± 0.68 a | 34.01 ± 2.83 bc | 30.50 ± 2.14 bc | 17.29 ± 1.98 bc | 15.10 ± 1.38 bc |
| Agrobacterium radiobacter strain 1 | 21.84 ± 3.30 a | 25.10 ± 1.05 bcd | 12.45 ± 1.78 a | 13.90 ± 0.62 a | 34.01 ± 2.83 bc | 28.90 ± 2.94 bc | 18.42 ± 1.70 bc | 16.10 ± 2.20 bc |
| Agrobacterium radiobacter strain 2 | 22.10 ± 2.54 a | 24.60 ± 1.92 cd | 16.0 ± 1.52 a | 13.90 ± 0.59 a | 42.52 ± 5.66 ab | 36.22 ± 1.94 b | 22.39 ± 2.83 ab | 18.78 ± 1.76 b |
| Didecyl dimethyl ammonium chloride | 28.19 ± 2.79 a | 29.40 ± 1.25 ab | 14.22 ± 2.03 a | 12.63 ± 0.68 a | 25.51 ± 2.83 c | 23.95 ± 2.30 c | 13.89 ± 1.13 c | 11.40 ± 1.25 c |
| Copper octanoate | 25.91 ± 3.30 a | 27.45 ± 1.62 bc | 15.24 ± 2.29 a | 13.40 ± 0.96 a | 34.01 ± 5.66 bc | 30.13 ± 2.27 bc | 18.42 ± 3.40 bc | 15.19 ± 1.60 bc |
| Didecyl dimethyl ammonium chloride + copper octanoate | 25.91 ± 2.29 a | 27.10 ± 1.73 bc | 10.41 ± 1.02 a | 11.15 ± 0.72 a | 39.68 ± 2.83 b | 33.30 ± 4.39 b | 19.27 ± 1.41 abc | 17.90 ± 2.33 b |
| Inoculated, non-treated control | 18.29 ± 2.29 a | 22.0 ± 1.75 d | 11.43 ± 1.27 a | 12.85 ± 0.81 a | 31.18 ± 2.83 bc | 28.85 ± 3.9 bc | 17.57 ± 1.41 bc | 15.25 ± 1.90 bc |
| Non-inoculated, non-treated control | 25.15 ± 3.30 a | 28.65 ± 2.32 bc | 12.45 ± 1.52 a | 13.05 ± 0.89 a | 51.02 ± 5.66 a | 46.89 ± 2.05 a | 24.66 ± 1.98 a | 25.06 ± 1.10 a |
| p value | 0.0777 | 0.0002 | 0.155 | 0.1676 | 0.001 | 0.0001 | 0.0233 | 0.0001 |
| F value | 1.93 | 4.72 | 1.58 | 1.54 | 4.14 | 5.29 | 2.5 | 4.97 |
| Treatment | Defoliation (%) | Chlorophyll Content (SPAD Value) | ||
|---|---|---|---|---|
| Trial 1 | Trial 2 | Trial 1 | Trial 2 | |
| Agrobacterium radiobacter strain K1026 | 20 ± 4 a* | 21 ± 5 b | 42.72 ± 1.26 bc | 45.54 ± 1.33 a |
| Agrobacterium radiobacter strain 1 | 14 ± 4 a | 13 ± 5 b | 43.60 ± 1.37 bc | 44.43 ± 1.36 a |
| Agrobacterium radiobacter strain 2 | 27 ± 11 a | 30 ± 13 b | 40.90 ± 2.51 c | 43.61 ± 1.68 a |
| Didecyl dimethyl ammonium chloride | 44 ± 9 a | 47 ± 10 a | 44.63 ± 1.56 abc | 47.39 ± 1.44 a |
| Copper octanoate | 31 ± 12 a | 36 ± 13 b | 40.88 ± 3.34 c | 42.94 ± 2.93 a |
| Didecyl dimethyl ammonium chloride + copper octanoate | 17 ± 9 a | 19 ± 9 b | 43.33 ± 1.24 bc | 44.88 ± 1.28 a |
| Inoculated, non-treated control | 29 ± 10 a | 27 ± 9 b | 47.10 ± 2.15 ab | 46.17 ± 2.13 a |
| Non-inoculated, non-treated control | 11 ± 2 a | 12 ± 3 b | 49.44 ± 1.94 a | 47.86 ± 1.66 a |
| p value | 0.0541 | 0.0037 | 0.0476 | 0.4713 |
| F value | 2.11 | 3.42 | 2.17 | 0.95 |
| Treatment | Crown Gall Incidence (%) | Root Gall Incidence (%) | ||
|---|---|---|---|---|
| Trial 1 | Trial 2 | Trial 1 | Trial 2 | |
| Agrobacterium radiobacter strain K1026 | 10 | 10 | 30 | 30 |
| Agrobacterium radiobacter strain 1 | 20 | 10 | 30 | 40 |
| Agrobacterium radiobacter strain 2 | 50 | 30 | 60 | 50 |
| Didecyl dimethyl ammonium chloride | 90 | 90 | 90 | 100 |
| Copper octanoate | 80 | 100 | 90 | 100 |
| Didecyl dimethyl ammonium chloride + copper octanoate | 100 | 100 | 100 | 100 |
| Inoculated, non-treated | 100 | 100 | 100 | 100 |
| Non-inoculated, non-treated | 10 | 10 | 10 | 10 |
Disclaimer/Publisher’s Note: The statements, opinions and data contained in all publications are solely those of the individual author(s) and contributor(s) and not of MDPI and/or the editor(s). MDPI and/or the editor(s) disclaim responsibility for any injury to people or property resulting from any ideas, methods, instructions or products referred to in the content. |
© 2024 by the authors. Licensee MDPI, Basel, Switzerland. This article is an open access article distributed under the terms and conditions of the Creative Commons Attribution (CC BY) license (https://creativecommons.org/licenses/by/4.0/).
Share and Cite
Oksel, C.; Liyanapathiranage, P.; Parajuli, M.; Avin, F.A.; Jennings, C.; Simmons, T.; Baysal-Gurel, F. Evaluation of Chemical and Biological Products for Control of Crown Gall on Rose. Pathogens 2024, 13, 708. https://doi.org/10.3390/pathogens13080708
Oksel C, Liyanapathiranage P, Parajuli M, Avin FA, Jennings C, Simmons T, Baysal-Gurel F. Evaluation of Chemical and Biological Products for Control of Crown Gall on Rose. Pathogens. 2024; 13(8):708. https://doi.org/10.3390/pathogens13080708
Chicago/Turabian StyleOksel, Cansu, Prabha Liyanapathiranage, Madhav Parajuli, Farhat A. Avin, Christina Jennings, Terri Simmons, and Fulya Baysal-Gurel. 2024. "Evaluation of Chemical and Biological Products for Control of Crown Gall on Rose" Pathogens 13, no. 8: 708. https://doi.org/10.3390/pathogens13080708
APA StyleOksel, C., Liyanapathiranage, P., Parajuli, M., Avin, F. A., Jennings, C., Simmons, T., & Baysal-Gurel, F. (2024). Evaluation of Chemical and Biological Products for Control of Crown Gall on Rose. Pathogens, 13(8), 708. https://doi.org/10.3390/pathogens13080708

