Pathology and Clinics of Naturally Occurring Low-Virulence Variants of African Swine Fever Emerged in Domestic Pigs in the South Caucasus
Abstract
1. Introduction
2. Materials and Methods
2.1. Animals
2.2. Sample Collection
2.3. DNA Isolation and Quantitative Real-Time PCR (p72)
2.4. Hemadsorption Assay
2.5. Tissue Samples
2.6. Serum Collection and ELISA
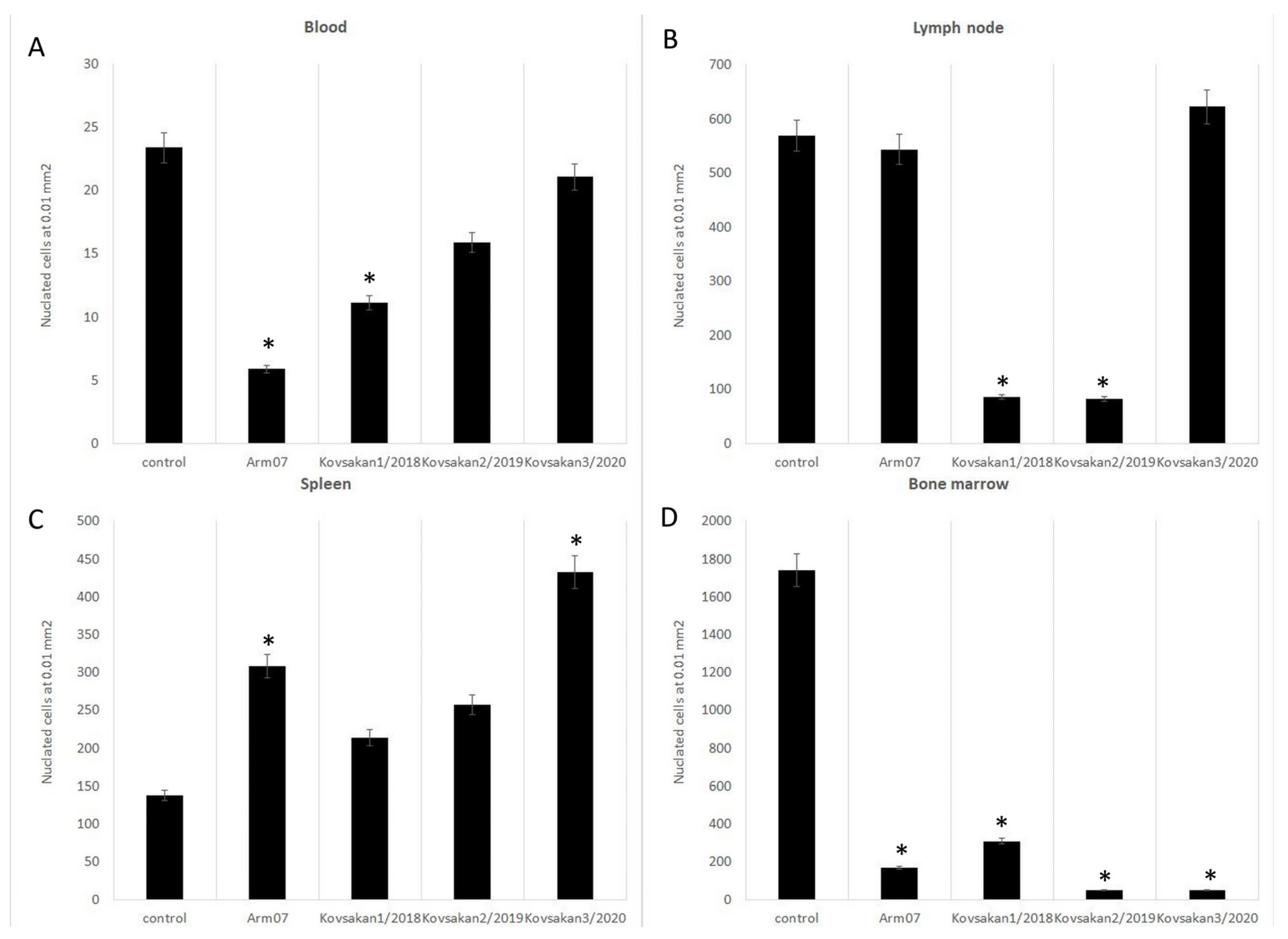
2.7. Cytology of Blood and Hemolymphoid Organs
3. Results
3.1. Virus Load
3.2. Epidemiology
3.3. Clinical Manifestation
3.4. Pathology
3.4.1. Kovsakan 1/2018
3.4.2. Kovsakan 2/2019 and Kovsakan 3/2020
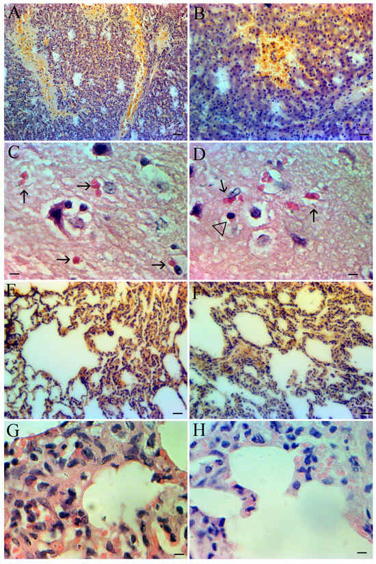
3.5. Histopathology
Kovsakan 1/2018, Kovsakan 2/2019, and Kovsakan 3/2020
3.6. Immunopathology
Cellular Immune Responses Associated with Chronic ASF
4. Discussion
5. Conclusions
Supplementary Materials
Author Contributions
Funding
Institutional Review Board Statement
Informed Consent Statement
Data Availability Statement
Conflicts of Interest
References
- Pikalo, J.; Zani, L.; Hühr, J.; Beer, M.; Blome, S. Pathogenesis of African swine fever in domestic pigs and European wild boar—Lessons learned from recent animal trials. Virus Res. 2019, 271, 197614. [Google Scholar] [CrossRef] [PubMed]
- Rowlands, R.J.; Michaud, V.; Heath, L.; Hutchings, G.; Oura, C.; Vosloo, W.; Dwarka, R.; Onashvili, T.; Albina, E.; Dixon, L.K. African swine fever virus isolate, Georgia, 2007. Emerg. Infect. Dis. 2008, 14, 1870–1874. [Google Scholar] [CrossRef] [PubMed]
- Cwynar, P.; Stojkov, J.; Wlazlak, K. African Swine Fever Status in Europe. Viruses 2019, 11, 310. [Google Scholar] [CrossRef] [PubMed]
- Sargsyan, M.A.; Voskanyan, H.E.; Karalova, E.M.; Hakobyan, L.H.; Karalyan, Z.A. Third wave of African swine fever infection in Armenia: Virus demonstrates the reduction of pathogenicity. Vet. World 2018, 11, 5–9. [Google Scholar] [CrossRef] [PubMed]
- Hess, W.R.; Endris, R.G.; Haslett, T.M.; Monahan, M.J.; McCoy, J.P. Potential arthropod vectors of African swine fever virus in North America and the Caribbean basin. Vet. Parasitol. 1987, 26, 145–155. [Google Scholar] [CrossRef]
- Kalenzi Atuhaire, D.; Ochwo, S.; Afayoa, M.; Norbert Mwiine, F.; Kokas, I.; Arinaitwe, E.; Ademun-Okurut, R.A.; Boniface Okuni, J.; Nanteza, A.; Ayebazibwe, C.; et al. Epidemiological Overview of African Swine Fever in Uganda (2001–2012). J. Vet. Med. 2013, 2013, 949638. [Google Scholar] [CrossRef] [PubMed]
- Thomas, L.F.; Bishop, R.P.; Onzere, C.; Mcintosh, M.T.; Lemire, K.A.; de Glanville, W.A.; Cook, E.A.; Fèvre, E.M. Evidence for the presence of African swine fever virus in an endemic region of Western Kenya in the absence of any reported outbreak. BMC Vet. Res. 2016, 12, 192. [Google Scholar] [CrossRef]
- Sehl-Ewert, J.; Deutschmann, P.; Breithaupt, A.; Blome, S. Pathology of African Swine Fever in Wild Boar Carcasses Naturally Infected with German Virus Variants. Pathogens 2022, 11, 1386. [Google Scholar] [CrossRef]
- Martínez Avilés, M.; Bosch, J.; Ivorra, B.; Ramos, Á.M.; Ito, S.; Barasona, J.Á.; Sánchez-Vizcaíno, J.M. Epidemiological impacts of attenuated African swine fever virus circulating in wild boar populations. Res. Vet. Sci. 2023, 162, 104964. [Google Scholar] [CrossRef]
- Sun, E.; Zhang, Z.; Wang, Z.; He, X.; Zhang, X.; Wang, L.; Wang, W.; Huang, L.; Xi, F.; Huangfu, H.; et al. Emergence and prevalence of naturally occurring lower virulent African swine fever viruses in domestic pigs in China in 2020. Sci. China Life Sci. 2021, 64, 752–765. [Google Scholar] [CrossRef]
- Sun, E.; Huang, L.; Zhang, X.; Zhang, J.; Shen, D.; Zhang, Z.; Wang, Z.; Huo, H.; Wang, W.; Huangfu, H.; et al. Genotype I African swine fever viruses emerged in domestic pigs in China and caused chronic infection. Emerg. Microbes Infect. 2021, 10, 2183–2193. [Google Scholar] [CrossRef] [PubMed]
- Gallardo, C.; Soler, A.; Rodze, I.; Nieto, R.; Cano-Gómez, C.; Fernandez-Pinero, J.; Arias, M. Attenuated and non-haemadsorbing (non-HAD) genotype II African swine fever virus (ASFV) isolated in Europe, Latvia 2017. Transbound. Emerg. Dis. 2019, 66, 1399–1404. [Google Scholar] [CrossRef]
- Souto, R.; Mutowembwa, P.; van Heerden, J.; Fosgate, G.T.; Heath, L.; Vosloo, W. Vaccine Potential of Two Previously Uncharacterized African Swine Fever Virus Isolates from Southern Africa and Heterologous Cross Protection of an Avirulent European Isolate. Transbound. Emerg. Dis. 2016, 63, 224–231. [Google Scholar] [CrossRef]
- Zani, L.; Forth, J.H.; Forth, L.; Nurmoja, I.; Leidenberger, S.; Henke, J.; Carlson, J.; Breidenstein, C.; Viltrop, A.; Höper, D.; et al. Deletion at the 5’-end of Estonian ASFV strains associated with an attenuated phenotype. Sci. Rep. 2018, 8, 6510. [Google Scholar] [CrossRef]
- Wang, Z.; Ai, Q.; Huang, S.; Ou, Y.; Gao, Y.; Tong, T.; Fan, H. Immune Escape Mechanism and Vaccine Research Progress of African Swine Fever Virus. Vaccines 2022, 10, 344. [Google Scholar] [CrossRef] [PubMed]
- Boinas, F.S.; Hutchings, G.H.; Dixon, L.K.; Wilkinson, P.J. Characterization of pathogenic and non-pathogenic African swine fever virus isolates from Ornithodoros erraticus inhabiting pig premises in Portugal. J. Gen. Virol. 2004, 85 Pt 8, 2177–2187. [Google Scholar] [CrossRef]
- Urbano, A.C.; Ferreira, F. African swine fever control and prevention: An update on vaccine development. Emerg. Microbes Infect. 2022, 11, 2021–2033. [Google Scholar] [CrossRef]
- Ginzinger, D.G. Gene quantification using real-time quantitative PCR: An emerging technology hits the mainstream. Exp. Hematol. 2002, 30, 503–512. [Google Scholar] [CrossRef] [PubMed]
- Yin, J.L.; Shackel, N.A.; Zekry, A.; McGuinness, P.H.; Richards, C.; Putten, K.V.; McCaughan, G.W.; Eris, J.M.; Bishop, G.A. Real-time reverse transcriptase-polymerase chain reaction (RT-PCR) for measurement of cytokine and growth factor mRNA expression with fluorogenic probes or SYBR Green I. Immunol. Cell Biol. 2001, 79, 213–221. [Google Scholar] [CrossRef]
- Available online: https://eu.idtdna.com/pagesas (accessed on 5 February 2019).
- Avagyan, H.R.; Hakobyan, S.A.; Poghosyan, A.A.; Bayramyan, N.V.; Arzumanyan, H.H.; Abroyan, L.O.; Avetisyan, A.S.; Hakobyan, L.A.; Karalova, E.M.; Karalyan, Z.A. African Swine Fever Virus Manipulates the Cell Cycle of G0-Infected Cells to Access Cellular Nucleotides. Viruses 2022, 14, 1593. [Google Scholar] [CrossRef]
- Cackett, G.; Portugal, R.; Matelska, D.; Dixon, L.; Werner, F. African Swine Fever Virus and Host Response: Transcriptome Profiling of the Georgia 2007/1 Strain and Porcine Macrophages. J. Virol. 2022, 96, e0193921. [Google Scholar] [CrossRef]
- Enjuanes, L.; Carrascosa, A.L.; Moreno, M.A.; Viñuela, E. Titration of African swine fever (ASF) virus. J. Gen. Virol. 1976, 32, 471–477. [Google Scholar] [CrossRef] [PubMed]
- Zakaryan, H.; Cholakyans, V.; Simonyan, L.; Misakyan, A.; Karalova, E.; Chavushyan, A.; Karalyan, Z. A study of lymphoid organs and serum proinflammatory cytokines in pigs infected with African swine fever virus genotype II. Arch. Virol. 2015, 160, 1407–1414. [Google Scholar] [CrossRef] [PubMed]
- Karalova, E.M.; Sargsyan, K.hV.; Hampikian, G.K.; Voskanyan, H.E.; Abroyan, L.O.; Avetisyan, A.S.; Hakobyan, L.A.; Arzumanyan, H.H.; Zakaryan, H.S.; Karalyan, Z.A. Phenotypic and cytologic studies of lymphoid cells and monocytes in primary culture of porcine bone marrow during infection of African swine fever virus. Vitr. Cell. Dev. Biol. Anim. 2011, 47, 200–204. [Google Scholar] [CrossRef] [PubMed]
- Harvey, J.W. Atlas of Veterinary Hematology: Blood and Bone Marrow of Domestic Animals; W.O. Saunders Company: Philadelphia, PA, USA, 2001; p. 224. [Google Scholar]
- Karalyan, Z.A.; Ter-Pogossyan, Z.R.; Abroyan, L.O.; Hakobyan, L.H.; Avetisyan, A.S.; Yu, K.N.; Karalova, E.M. Characterization of the atypical lymphocytes in African swine fever. Vet. World 2016, 9, 792–800. [Google Scholar] [CrossRef] [PubMed]
- Ito, S.; Bosch, J.; Martínez-Avilés, M.; Sánchez-Vizcaíno, J.M. The Evolution of African Swine Fever in China: A Global Threat? Front. Vet. Sci. 2022, 9, 828498. [Google Scholar] [CrossRef]
- Gallardo, C.; Nurmoja, I.; Soler, A.; Delicado, V.; Simón, A.; Martin, E.; Perez, C.; Nieto, R.; Arias, M. Evolution in Europe of African swine fever genotype II viruses from highly to moderately virulent. Vet. Microbiol. 2018, 219, 70–79. [Google Scholar]
- Zakaryan, H.; Karalova, E.; Voskanyan, H.; Ter-Pogossyan, Z.; Nersisyan, N.; Hakobyan, A.; Saroyan, D.; Karalyan, Z. Evaluation of hemostaseological status of pigs experimentally infected with African swine fever virus. Vet. Microbiol. 2014, 174, 223–228. [Google Scholar] [CrossRef] [PubMed]
- Zhenzhong, W.; Chuanxiang, Q.; Shengqiang, G.; Jinming, L.; Yongxin, H.; Xiaoyue, Z.; Yan, L.; Naijun, H.; Xiaodong, W.; Zhiliang, W.; et al. Genetic variation and evolution of attenuated African swine fever virus strain isolated in the field: A review. Virus Res. 2022, 319, 198874. [Google Scholar] [CrossRef]
- Ayanwale, A.; Trapp, S.; Guabiraba, R.; Caballero, I.; Roesch, F. New Insights in the Interplay Between African Swine Fever Virus and Innate Immunity and Its Impact on Viral Pathogenicity. Front. Microbiol. 2022, 13, 958307. [Google Scholar] [CrossRef]
- Atyeo, C.; Alter, G. The multifaceted roles of breast milk antibodies. Cell 2021, 184, 1486–1499. [Google Scholar] [CrossRef] [PubMed]
- Schlafer, D.H.; McVicar, J.W.; Mebus, C.A. African swine fever convalescent sows: Subsequent pregnancy and the effect of colostral antibody on challenge inoculation of their pigs. Am. J. Vet. Res. 1984, 45, 1361–1366. [Google Scholar] [PubMed]
- Armengaud, J.; Delaunay-Moisan, A.; Thuret, J.Y.; van Anken, E.; Acosta-Alvear, D.; Aragón, T.; Arias, C.; Blondel, M.; Braakman, I.; Collet, J.F.; et al. The importance of naturally attenuated SARS-CoV-2in the fight against COVID-19. Environ. Microbiol. 2020, 22, 1997–2000. [Google Scholar] [CrossRef] [PubMed]
- Warr, A.; Newman, C.; Craig, N.; Vendelė, I.; Pilare, R.; Cariazo Cruz, L.; Barangan, T.G.; Morales, R.G.; Opriessnig, T.; Venturina, V.M.; et al. No part gets left behind: Tiled nanopore sequencing of whole ASFV genomes stitched together using Lilo. bioRxiv 2021. [Google Scholar] [CrossRef]
- Multiple Sequence Alignment (MSA). Available online: https://www.ebi.ac.uk/Tools/msa/ (accessed on 15 January 2023).
- Domingo, E.; Verdaguer, N.; Ochoa, W.F.; Ruiz-Jarabo, C.M.; Sevilla, N.; Baranowski, E.; Mateu, M.G.; Fita, I. Biochemical and structural studies with neutralizing antibodies raised against foot-and-mouth disease virus. Virus Res. 1999, 62, 169–175. [Google Scholar] [CrossRef] [PubMed]
- Rosenfeld, S.J.; Young, N.S. Viruses and bone marrow failure. Blood Rev. 1991, 5, 71–77. [Google Scholar] [CrossRef]
- Karalyan, Z.R.; Ter-Pogossyan, Z.R.; Karalyan, N.Y.; Semerjyan, Z.B.; Tatoyan, M.R.; Karapetyan, S.A.; Karalova, E.M. Hemophagocytic lymphohistiocytosis in acute African swine fever clinic. Vet. Immunol. Immunopathol. 2017, 187, 64–68. [Google Scholar] [CrossRef]
- Li, Q.X.; Fan, H. Bone marrow depletion by 89Sr complements preleukemic defect in a long terminal repeat variant of Moloney murine leukemia virus. J. Virol. 1991, 65, 4442–4448. [Google Scholar] [CrossRef]




| Arm07 | Kovsakan2018 | Kovsakan2019 and Kovsakan2020 | |
|---|---|---|---|
| Late Stage | Late Stage | Late Stage | |
| Permanent loss of appetite (%) | 100 | 100 | 47 |
| Skin hemorrhages | Severe (on ears, abdomen, etc.) | Mild (predominantly on ears) | Mild (predominantly on ears) |
| Internal bleeding | Severe | Mild | Mild, sometimes absent |
| Lethality (%) | 100 | 12 out of 19 (63.6%) | 4 out of 17 (26.7%) * |
| Average life expectancy (day) | 4–7 | 25–35 * | 48 and more * |
| Blood | Arm07 | Kovsakan1/2018 | Kovsakan2/2019 | Kovsakan3/2020 | |
|---|---|---|---|---|---|
| Cells | Control | Late Stage | Late Stage | ||
| Erythroblasts | 0 | 3.1 ± 0.3 | 8 ± 0.9 * | 6.2 ± 0.9 | 4.1 ± 0.5 |
| Lymphoblast | 0 | 2.8 ± 0.3 | 5 ± 0.9 * | 6.3 ± 1.1 | 2.2 ± 0.1 |
| Lymphocyte | 56.0 ± 4.7 | 44 ± 6.1 | 24 ± 3.6 * | 32.9 ± 4.4 | 53.7 ± 6.9 |
| Monoblast | 0.5 ± 0.1 | 0.2 ± 0.01 | 5 ± 0.7 * | 1.0 ± 0.3 | 0.8 ± 0.2 |
| Monocyte | 7.7 ± 1.3 | 7.4 ± 0.8 | 8 ± 1.1 | 3.3 ± 0.5 | 1.5 ± 0.1 * |
| Myeloid | 0 | 0.1 ± 0.01 | 2 ± 0.4 * | 0.8 ± 0.2 | 1.3 ± 0.3 |
| Metamielocyte | 0.1 ± 0.02 | 7.3 ± 1.0 | 12 ± 2.1 ** | 2.1 ± 0.5 | 5.8 ± 1.4 ** |
| Band | 7.7 ± 1.0 | 5.6 ± 0.7 | 13 ± 0.9 * | 9.9 ± 1.4 | 6.8 ± 0.3 * |
| Segment | 23.1 ± 3.3 | 1.9 ± 0.3 | 5 ± 0.8 * | 16.1 ± 3.4 | 7.7 ± 1.2 * |
| Pathol neutrophil | 0 | 2.1 ± 0.5 | 9 ± 1.1 * | 5.6 ± 2.1 | 2.4 ± 0.6 * |
| Eosinophil | 4.9 ± 2.1 | 1.9 ± 0.4 | 2 ± 0.3 | 2.8 ± 0.8 | 3.5 ± 0.9 |
| Basophil | 0.2 ± 0.1 | 0.4 ± 0.1 | >0.1 | >0.1 | >0.1 |
| Smudge cells (remnants of cells) without clear cytoplasmic borders | 0 | 22.7 ± 4.7 | 6 ± 1.2 * | 12.9 ± 4.5 * | 10.1 ± 3.0 * |
| Bone Marrow | Arm07 | Kovsakan1/2018 | Kovsakan2/2019 | Kovsakan3/2020 | |
|---|---|---|---|---|---|
| Cells | Control | Late Stage | Late Stage | Late Stage | Late Stage |
| Nucleated erythroid cells | 31.9 ± 4.4 | 32.1 ± 2.7 | 7.7 ± 0.9 * | 54 ± 9.5 * | 28 ± 4.3 |
| Lymphoblasts | 6.5 ± 0.8 | 8.1 ± 1.2 | 7.1 ± 1.3 | 2 ± 0.4 * | 10 ± 0.5 |
| Lymphocytes | 20.6 ± 1.2 | 14.6 ± 2.2 | 23.4 ± 3.0 * | 26 ± 3.8 | 41 ± 7.6 * |
| Monoblasts | 4.2 ± 0.5 | 7 ± 0.9 | 1.0 ± 0.2 | 1.0 ± 0.5 | 2.0 ± 0.4 |
| Monocytes | 3.2 ± 0.8 | 4.1 ± 0.7 | 2.5 ± 0.7 | 0.001 | 0.001 |
| Myeloid cells | 2.7 ± 0.6 | 3 ± 1.0 | 7.6 ± 1.3 * | 5.1 ± 0.7 | 3.0 ± 0.1 |
| Metamielocytes | 6.3 ± 0.9 | 3 ± 0.5 | 9.2 ± 1.1 | 3.0 ± 0.9 | 3.1 ± 1.1 |
| Band neutrophils | 10.6 ± 2.1 | 7.8 ± 0.9 | 20.3 ± 2.8 * | 0.9 ± 0.3 * | 2.8 ± 0.5 * |
| Segment neutrophils | 4.1 ± 0.9 | 3.8 ± 0.9 | 1.5 ± 0.2 | 2.1 ± 0.6 | 0.9 ± 0.4 * |
| Pathol neutrophils | 0 | 0.4 ± 0.1 | 1.0 ± 0.1 | 0 | 0 |
| Eosinophils | 8.5 ± 0.8 | 7.1 ± 0.9 | 6.1 ± 0.6 | 3.7 ± 0.8 | 3.9 ± 1.1 * |
| Basophils | 1.4 ± 0.1 | 2.4 ± 0.2 | 0.5 ± 0.1 * | 0.001 | 0 |
| Macrophages | 0.1 ± 0.04 | 1.3 ± 0.1 | 5.1 ± 0.9 * | 1.1 ± 0.05 | 3.9 ± 0.6 * |
| Atypical lymphocytes | 0 | 4.4 ± 0.3 | 3.0 ± 0.5 | 0 | 0 |
| Smudge cells (remnants of cells) without clear cytoplasmic borders | 0 | 1 ± 0.4 | 4.1 ± 0.9 * | 1.9 ± 0.3 | 1.1 ± 0.2 |
| Spleen | Arm07 | Kovsakan1/2018 | Kovsakan2/2019 | Kovsakan3/2020 | |
|---|---|---|---|---|---|
| Cells | Control | Late Stage | Late Stage | Late Stage | Late Stage |
| Nucleated erythroid cells | 5.5 ± 1.6 | 16.5 ± 2.8 | 5.0 ± 2.0 | 5.9 ± 1.1 | 5.8 ± 1.9 |
| Lymphoblasts | 5.7 ± 1.3 | 4.4 ± 1.6 | 4.1 ± 1.2 | 4.4 ± 1.0 | 1.9 ± 0.8 * |
| Lymphocytes | 60.4 ± 6.3 | 26.1 ± 4.9 | 44.3 ± 4.8 * | 47.3 ± 5.6 | 82.6 ± 9.1 * |
| Monoblasts | 3.1 ± 0.9 | 2.4 ± 1.0 | 0.5 ± 0.1 * | 0.5 ± 0.6 | 0.4 ± 0.3 * |
| Monocytes | 7.0 ± 1.2 | 2.2 ± 0.3 | 0.3 ± 0.1 * | 0.3 ± 0.1 * | 0.2 ± 0.1 * |
| Myeloid cells | 1.0 ± 0.5 | 10.5 ± 2.6 | 8.2 ± 2.3 | 9.2 ± 1.8 | 1.3 ± 0.4 |
| Metamielocytes | 3.1 ± 0.8 | 4.8 ± 1.6 | 5.1 ± 1.1 | 5.1 ± 1.2 | 1.0 ± 0.1 |
| Band neutrophils | 4.3 ± 0.7 | 7.1 ± 1.8 | 1.2 ± 0.2 * | 1.2 ± 0.5 * | 1.3 ± 0.1 * |
| Segment neutrophils | 4.0 ± 0.7 | 6.5 ± 2.2 | 0.8 ± 0.2 * | 0.8 ± 0.1 * | 1.3 ± 0.1 * |
| Pathol neutrophils | 0 | 0.1 ± 0.1 | 0.1 ± 0.1 | 0.1 ± 0.1 | 0.05 ± 0.1 |
| Eosinophils | 4.7 ± 1.0 | 11.0 ± 2.8 | 18.1 ± 3.9 | 3.3 ± 1.0 * | 1.3 ± 0.2 * |
| Basophils | 1.2 ± 0.6 | 1.1 ± 0.3 | 0.1 ± 0.1 | 0.0 ± 0.0 | 0.01 ± 0.01 |
| Macrophages | 0.1 ± 0.1 | 0.2 ± 0.1 | 0.3 ± 0.1 | 0.3 ± 0.1 | 0.8 ± 0.1 |
| Atypical lymphocytes | 0 | 3.0 ± 1.0 | 0.7 ± 0.2 * | 21.6 ± 2.8 * | 1.9 ± 0.7 |
| Smudge cells (remnants of cells) without clear cytoplasmic borders | 0.1 ± 0.1 | 4.5 ± 2.2 | 11.2 ± 3.0 | 4.4 ± 1.3 | 5.8 ± 1.7 |
| Lymph Node | Arm07 | Kovsakan1/2018 | Kovsakan2/2019 | Kovsakan3/2020 | |
|---|---|---|---|---|---|
| Cells | Control | Late Stage | Late Stage | ||
| Nucleated erythroid cells | 1.4 ± 0.1 | 20.7 ± 3.4 | 17.9 ± 3.3 | 17.6 ± 1.7 | 0.5 ± 0.4 * |
| Lymphoblasts | 1.9 ± 0.4 | 1.0 ± 0.7 | 8.1 ± 2.4 * | 8.1 ± 1.1 * | 1.3 ± 1.0 |
| Lymphocytes | 83.0 ± 5.1 | 38.5 ± 5.9 | 49.7 ± 3.7 * | 60.7 ± 5.2 * | 92.4 ± 10.7 * |
| Monoblasts | 1.0 ± 0.2 | 0.2 ± 0.1 | 1.4 ± 0.3 * | 1.4 ± 0.4 * | 0.3 ± 0.1 |
| Monocytes | 1.1 ± 0.2 | 5.0 ± 1.3 | 0.3 ± 0.1 * | 0.3 ± 0.1 * | 0.3 ± 0.1 * |
| Myeloid cells | 4.3 ± 1.1 | 18.5 ± 3.4 | 3.1 ± 0.4 * | 3.1 ± 0.5 * | 0.0 |
| Metamielocytes | 2.5 ± 1.0 | 3.7 ± 1.5 | 5.1 ± 0.9 | 0.1 ± 0.1 * | 0.0 |
| Band neutrophils | 1.2 ± 0.5 | 3.9 ± 2.6 | 0.1 ± 0.1 * | 0.2 ± 0.1 * | 0.1 ± 0.1 * |
| Segment neutrophils | 0.8 ± 0.4 | 1.2 ± 0.8 | 0.1 ± 0.1 * | 0.1 ± 0.1 * | 0.9 ± 0.2 |
| Pathol neutrophils | 0 | 0.1 ± 0.1 | 0.1 ± 0.01 | 0.1 ± 0.1 | 0.0 |
| Eosinophils | 2.2 ± 0.6 | 2.0 ± 0.9 | 1.7 ± 0.4 | 1.7 ± 0.4 | 0.3 ± 0.1 * |
| Basophils | 0.6 ± 0.1 | 0.2 ± 0.1 | 0 | 0.0 | 0.1 ± 0.1 |
| Macrophages | 0 | 0.1 ± 0.1 | 1.0 ± 0.2 | 1.0 ± 0.2 | 0.7 ± 0.2 |
| Atypical lymphocytes | 0 | 1.0 ± 0.5 | 0.2 ± 0.1 | 5.7 ± 0.8 * | 3.1 ± 1.1 * |
| Smudge cells (remnants of cells) without clear cytoplasmic borders | 0.1 ± 0.1 | 2.1 ± 0.4 | 11.2 ± 4.4 * | 8.1 ± 1.1 * | 1.3 ± 0.6 |
Disclaimer/Publisher’s Note: The statements, opinions and data contained in all publications are solely those of the individual author(s) and contributor(s) and not of MDPI and/or the editor(s). MDPI and/or the editor(s) disclaim responsibility for any injury to people or property resulting from any ideas, methods, instructions or products referred to in the content. |
© 2024 by the authors. Licensee MDPI, Basel, Switzerland. This article is an open access article distributed under the terms and conditions of the Creative Commons Attribution (CC BY) license (https://creativecommons.org/licenses/by/4.0/).
Share and Cite
Avagyan, H.; Hakobyan, S.; Baghdasaryan, B.; Arzumanyan, H.; Poghosyan, A.; Bayramyan, N.; Semerjyan, A.; Sargsyan, M.; Voskanyan, H.; Vardanyan, T.; et al. Pathology and Clinics of Naturally Occurring Low-Virulence Variants of African Swine Fever Emerged in Domestic Pigs in the South Caucasus. Pathogens 2024, 13, 130. https://doi.org/10.3390/pathogens13020130
Avagyan H, Hakobyan S, Baghdasaryan B, Arzumanyan H, Poghosyan A, Bayramyan N, Semerjyan A, Sargsyan M, Voskanyan H, Vardanyan T, et al. Pathology and Clinics of Naturally Occurring Low-Virulence Variants of African Swine Fever Emerged in Domestic Pigs in the South Caucasus. Pathogens. 2024; 13(2):130. https://doi.org/10.3390/pathogens13020130
Chicago/Turabian StyleAvagyan, Hranush, Sona Hakobyan, Bagrat Baghdasaryan, Hranush Arzumanyan, Arpine Poghosyan, Nane Bayramyan, Anna Semerjyan, Mariam Sargsyan, Henry Voskanyan, Tigranuhi Vardanyan, and et al. 2024. "Pathology and Clinics of Naturally Occurring Low-Virulence Variants of African Swine Fever Emerged in Domestic Pigs in the South Caucasus" Pathogens 13, no. 2: 130. https://doi.org/10.3390/pathogens13020130
APA StyleAvagyan, H., Hakobyan, S., Baghdasaryan, B., Arzumanyan, H., Poghosyan, A., Bayramyan, N., Semerjyan, A., Sargsyan, M., Voskanyan, H., Vardanyan, T., Karalyan, N., Hakobyan, L., Abroyan, L., Avetisyan, A., Karalova, E., Semerjyan, Z., & Karalyan, Z. (2024). Pathology and Clinics of Naturally Occurring Low-Virulence Variants of African Swine Fever Emerged in Domestic Pigs in the South Caucasus. Pathogens, 13(2), 130. https://doi.org/10.3390/pathogens13020130

