Serological Survey of Leptospira spp. in Livestock and Rodents from Different Settlements in the Kilombero Wetland, Tanzania
Abstract
1. Introduction
2. Materials and Methods
2.1. Area of Study
2.2. Rodent Trapping and Sample Collection
2.3. Livestock Sample Collection
2.4. Detection of Anti-Leptospira Antibodies Using Microscopic Agglutination Test (MAT)
2.5. Analysis
3. Results
3.1. Rodent and Livestock Population Analysis/Demography
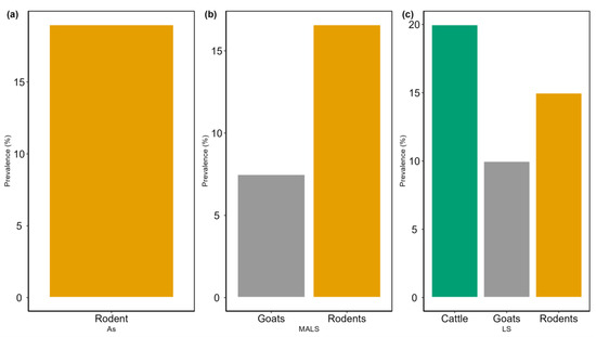
3.2. Prevalence of Leptospira Antibodies in Rodents and Livestock Across Settlements/Villages
3.3. Seroprevalence of Leptospira Serovars
3.4. Seasonal Prevalence of Leptospira Antibodies
4. Discussion
5. Conclusions
Author Contributions
Funding
Institutional Review Board Statement
Data Availability Statement
Acknowledgments
Conflicts of Interest
References
- Adler, B.; de la Peña Moctezuma, A. Leptospira and leptospirosis. Vet. Microbiol. 2010, 140, 287–296. [Google Scholar] [CrossRef] [PubMed]
- Costa, F.; Hagan, J.E.; Calcagno, J.; Kane, M.; Torgerson, P.; Martinez-Silveira, M.S.; Stein, C.; Abela-Ridder, B.; Ko, A.I. Global Morbidity and Mortality of Leptospirosis: A Systematic Review. PLoS Negl. Trop. Dis. 2015, 9, e0003898. [Google Scholar] [CrossRef]
- Haake, D.A.; Levett, P.N. Leptospirosis in humans. Curr. Top. Microbiol. Immunol. 2015, 387, 65–97. [Google Scholar] [CrossRef]
- Mwachui, M.A.; Crump, L.; Hartskeerl, R.; Zinsstag, J.; Hattendorf, J. Environmental and behavioural determinants of leptospirosis transmission: A systematic review. PLoS Neglected Trop. Dis. 2015, 9, e0003843. [Google Scholar] [CrossRef]
- Allan, K.J.; Halliday, J.E.B.; Moseley, M.; Carter, R.W.; Ahmed, A.; Goris, M.G.A.; Hartskeerl, R.A.; Keyyu, J.; Kibona, T.; Maro, V.P.; et al. Assessment of animal hosts of pathogenic Leptospira in northern Tanzania. PLoS Negl. Trop. Dis. 2018, 12, e0006444. [Google Scholar] [CrossRef] [PubMed]
- Hartskeerl, R.; Collares-Pereira, M.; Ellis, W.A. Emergence, control and re-emerging leptospirosis: Dynamics of infection in the changing world. Clin. Microbiol. Infect. 2011, 17, 494–501. [Google Scholar] [CrossRef] [PubMed]
- Ganoza, C.A.; Matthias, M.A.; Collins-Richards, D.; Brouwer, K.C.; Cunningham, C.B.; Segura, E.R.; Gilman, R.H.; Gotuzzo, E.; Vinetz, J.M. Determining risk for severe leptospirosis by molecular analysis of environmental surface waters for pathogenic Leptospira. PLoS Med. 2006, 3, 1329–1340. [Google Scholar] [CrossRef] [PubMed]
- Majawa, C.A.; Lupindu, A.M.; Mhamphi, G.G.; Katakweba, A.A.S. Seroprevalence of Leptospira antibodies in rodents and shrews of Kibondo and Kakonko Districts, Kigoma region, Tanzania. Malawi J. Sci. Technol. 2023, 15, 1. [Google Scholar]
- Msofe, N.; Sheng, L.; Lyimo, J. Land use change trends and their driving forces in the Kilombero Valley Floodplain, Southeastern Tanzania. Sustainability 2019, 11, 505. [Google Scholar] [CrossRef]
- Sasaki, D.M.; Pang, L.; Minette, H.P.; Wakida, C.K.; Fujimoto, W.J.; Manea, S.J.; Kunioka, R.; Middleton, C.R. Active surveillance and risk factors for leptospirosis in Hawaii. Am. J. Trop. Med. Hyg. 1993, 48, 35–43. [Google Scholar] [CrossRef] [PubMed]
- Chiani, Y.T.; Jacob, P.; Mayora, G.; Aquino, D.S.; Quintana, R.D.; Mesa, L. Presence of Leptospira spp. in a Mosaic of Wetlands Used for Livestock Raising under Differing Hydroclimatic Conditions. Appl. Environ. Microbiol. 2023, 89, e0197122. [Google Scholar] [CrossRef]
- Hercik, C.; Cosmas, L.; Mogeni, O.D.; Wamola, N.; Kohi, W.; Houpt, E.; Liu, J.; Ochieng, C.; Onyango, C.; Fields, B.; et al. A combined syndromic approach to examine viral, bacterial, and parasitic agents among febrile patients: A pilot study in Kilombero, Tanzania. Am. J. Trop. Med. Hyg. 2018, 98, 625–632. [Google Scholar] [CrossRef] [PubMed]
- Mgode, G.F.; Machang’u, R.S.; Mhamphi, G.G.; Katakweba, A.; Mulungu, L.S.; Durnez, L.; Leirs, H.; Hartskeerl, R.A.; Belmain, S.R. Leptospira Serovars for Diagnosis of Leptospirosis in Humans and Animals in Africa: Common Leptospira Isolates and Reservoir Hosts. PLoS Negl. Trop. Dis. 2015, 9, e0004251. [Google Scholar] [CrossRef] [PubMed]
- Goris, M.G.A.; Leeflang, M.M.G.; Loden, M.; Wagenaar, J.F.P.; Klatser, P.R.; Hartskeerl, R.A.; Boer, K.R. Prospective evaluation of three rapid diagnostic tests for diagnosis of human leptospirosis. PLoS Negl. Trop. Dis. 2013, 7, e2290. [Google Scholar] [CrossRef]
- Motto, S.K.; Shirima, G.M.; de Clare Bronsvoort, B.M.; Cook, E.A.J. Epidemiology of leptospirosis in tanzania: A review of the current status, serogroup diversity and reservoirs. PLoS Negl. Trop. Dis. 2021, 15, e0009918. [Google Scholar] [CrossRef] [PubMed]
- Schoonman, L.; Swai, E.S. Risk factors associated with the seroprevalence of leptospirosis, amongst at-risk groups in and around Tanga city, Tanzania. Ann. Trop. Med. Parasitol. 2009, 103, 711–718. [Google Scholar] [CrossRef]
- Biggs, H.M.; Hertz, J.T.; Munishi, O.M.; Galloway, R.L.; Marks, F.; Saganda, W.; Maro, V.P.; Crump, J.A. Estimating Leptospirosis Incidence Using Hospital-Based Surveillance and a Population-Based Health Care Utilization Survey in Tanzania. PLoS Negl. Trop. Dis. 2013, 7, e2589. [Google Scholar] [CrossRef]
- Goris, M.G.A.; Hartskeerl, R.A. Leptospirosis serodiagnosis by the microscopic agglutination test. Curr. Protoc. Microbiol. 2014, 32, 12E.5.1–12E.5.18. [Google Scholar] [CrossRef] [PubMed]
- Schoonman, L.; Swai, E.S. Herd- and animal-level risk factors for bovine leptospirosis in Tanga region of Tanzania. Trop. Anim. Heal. Prod. 2010, 42, 1565–1572. [Google Scholar] [CrossRef]
- Assenga, J.A.; Matemba, L.E.; Muller, S.K.; Mhamphi, G.G.; Kazwala, R.R. Predominant leptospiral serogroups circulating among humans, livestock and wildlife in Katavi-Rukwa ecosystem, Tanzania. PLoS Negl. Trop. Dis. 2015, 9, e0003607. [Google Scholar] [CrossRef] [PubMed]
- Sunaryo, S.; Priyanto, D. Leptospirosis in rats and livestock in Bantul and Gunungkidul district, Yogyakarta, Indonesia. Vet. World 2022, 15, 1449–1455. [Google Scholar] [CrossRef] [PubMed]
- Hairgrove, T.B. Leptospirosis in cattle. In Proceedings of the Thirty-Seventh Annual Conference, Fort Worth, TX, USA, 23–25 September 2004; Available online: https://bovine-ojs-tamu.tdl.org/AABP/article/view/4897 (accessed on 12 October 2024).
- Di Azevedo, M.I.N.; Lilenbaum, W. An overview on the molecular diagnosis of animal leptospirosis. Lett. Appl. Microbiol. 2021, 72, 496–508. [Google Scholar] [CrossRef]
- Cook, E.A.J.; de Glanville, W.A.; Thomas, L.F.; Kariuki, S.; Bronsvoort, B.M.d.C.; Fèvre, E.M. Risk factors for leptospirosis seropositivity in slaughterhouse workers in western Kenya. Occup. Environ. Med. 2017, 74, 357–365. [Google Scholar] [CrossRef] [PubMed]
- Herrik, A.L.; Mogensen, N.; Svenning, J.-C.; Buitenwerf, R. Rotational grazing with cattle-free zones supports the coexistence of cattle and wild herbivores in African rangelands. J. Appl. Ecol. 2023, 60, 2154–2166. [Google Scholar] [CrossRef]
- Ruvuga, P.R.; Wredle, E.; Nyberg, G.; Hussein, R.A.; Masao, C.A.; Selemani, I.S.; Sangeda, A.Z.; Kronqvist, C. Evaluation of rangeland condition in miombo woodlands in eastern Tanzania in relation to season and distance from settlements. J. Environ. Manag. 2021, 290, 112635. [Google Scholar] [CrossRef] [PubMed]
- Ssuuna, J.; Makundi, R.H.; Chidodo, S.J.; Isabirye, M.; Mbije, N.E.; Mulungu, L.S. Spatio-temporal home range of the dominant rodent species in Mabira central forest reserve, Uganda. BMC Evol. Biol. 2023, 23, 40. [Google Scholar] [CrossRef] [PubMed]
- Gomard, Y.; Dellagi, K.; Goodman, S.M.; Mavingui, P.; Tortosa, P. Tracking Animal Reservoirs of Pathogenic Leptospira: The Right Test for the Right Claim. Trop. Med. Infect. Dis. 2021, 6, 205. [Google Scholar] [CrossRef]
- Herrera, J.P.; Wickenkamp, N.R.; Turpin, M.; Baudino, F.; Tortosa, P.; Goodman, S.M.; Soarimalala, V.; Ranaivoson, T.N.; Nunn, C.L. Effects of land use, habitat characteristics, and small mammal community composition on leptospira prevalence in northeast madagascar. PLoS Negl. Trop. Dis. 2020, 14, e0008946. [Google Scholar] [CrossRef] [PubMed]
- Peterson, A.C.; Ghersi, B.M.; Riegel, C.; Wunder, E.A.; Childs, J.E.; Blum, M.J. Amplification of pathogenic Leptospira infection with greater abundance and co-occurrence of rodent hosts across a counter-urbanizing landscape. Mol. Ecol. 2021, 30, 2145–2161. [Google Scholar] [CrossRef]
- Ricardo, T.; Jacob, P.; Chiani, Y.; Schmeling, M.F.; Cornejo, P.; Ojeda, A.A.; Teta, P.V.; Vanasco, N.B.; Previtali, M.A. Seroprevalence of leptospiral antibodies in rodents from riverside communities of Santa Fe, Argentina. PLoS Negl. Trop. Dis. 2020, 14, e0008222. [Google Scholar] [CrossRef]
- Rosli, M.Z.; Mohd-Taib, F.S.; Khoo, J.J.; Chee, H.Y.; Wong, Y.P.; Shafie, N.J.; Mohamed, N.Z.; AbuBakar, S.; Nor, S.M. A Multi-landscape Assessment of Leptospira Prevalence on a Diversity of Small Mammals. Ecohealth 2023, 20, 208–224. [Google Scholar] [CrossRef]
- Mulungu, L.S.; Mahlaba, T.A.; Massawe, A.W.; Kennis, J.; Crauwels, D.; Eiseb, S.; Monadjem, A.; Makundi, R.H.; Katakweba, A.A.S.; Leirs, H.; et al. Dietary differences of the multimammate mouse, Mastomys natalensis (Smith, 1834), across different habitats and seasons in Tanzania and Swaziland. Wildl. Res. 2011, 38, 640–646. [Google Scholar] [CrossRef]
- Harper, G.; Dickinson, K.J.M.; Seddon, P.J. Habitat use by three rat species (Rattus spp.) on Stewart Island/Rakiura, New Zealand. N. Z. J. Ecol. 2005, 29, 251–260. [Google Scholar]
- Munoz-Zanzi, C.; Mason, M.; Encina, C.; Gonzalez, M.; Berg, S. Household characteristics associated with rodent presence and Leptospira infection in rural and urban communities from Southern Chile. Am. J. Trop. Med. Hyg. 2014, 90, 497–506. [Google Scholar] [CrossRef] [PubMed]
- Muñoz-Zanzi, C.; Mason, M.R.; Encina, C.; Astroza, A.; Romero, A. Leptospira Contamination in Household and Environmental Water in Rural Communities in Southern Chile. Int. J. Environ. Res. Public Health 2014, 11, 6666–6680. [Google Scholar] [CrossRef] [PubMed]
- Mgode, G.; Mhamphi, G.; Katakweba, A.; Thomas, M. Leptospira infections in freshwater fish in Morogoro Tanzania: A hidden public health threat. Tanzan. J. Health Res. 2014, 16, 112–117. [Google Scholar] [CrossRef]
- Allan, K.J.; Biggs, H.M.; Halliday, J.E.B.; Kazwala, R.R.; Maro, V.P.; Cleaveland, S.; Crump, J.A. Epidemiology of leptospirosis in Africa: A systematic review of a neglected zoonosis and a paradigm for ‘One Health’ in Africa. PLoS Negl. Trop. Dis. 2015, 9, e0003899. [Google Scholar] [CrossRef]
- Mgode, G.F.; Japhary, M.M.; Mhamphi, G.G.; Kiwelu, I.; Athaide, I.; Machang’u, R.S. Leptospirosis in sugarcane plantation and fishing communities in Kagera northwestern Tanzania. PLOS Negl. Trop. Dis. 2019, 13, e0007225. [Google Scholar] [CrossRef] [PubMed]
- Maze, M.J.; Shirima, G.M.; Lukambagire, A.-H.S.; Bodenham, R.F.; Rubach, M.P.; Cash-Goldwasser, S.; Carugati, M.; Thomas, K.M.; Sakasaka, P.; Mkenda, N.; et al. Prevalence and risk factors for human leptospirosis at a hospital serving a pastoralist community, Endulen, Tanzania. PLoS Negl. Trop. Dis. 2023, 17, e0011855. [Google Scholar] [CrossRef] [PubMed]
- Msemwa, B.; Mirambo, M.M.; Silago, V.; Samson, J.M.; Majid, K.S.; Mhamphi, G.; Genchwere, J.; Mwakabumbe, S.S.; Mngumi, E.B.; Mgode, G.; et al. Existence of Similar Leptospira Serovars among Dog Keepers and Their Respective Dogs in Mwanza, Tanzania, the Need for a One Health Approach to Control. Pathogens 2021, 10, 609. [Google Scholar] [CrossRef]
- Kessy, M.J.; Machang’u, R.S.; Swai, E.S. A microbiological and serological study of leptospirosis among pigs in the Morogoro municipality, Tanzania. Trop. Anim. Health Prod. 2010, 42, 523–530. [Google Scholar] [CrossRef]
- Said, K.; Bakari, G.G.; Machang’u, R.; Katakweba, A.S.; Muhairwa, A.P. Seroprevalence of canine leptospirosis, in Urban and Periurban, Morogoro, Tanzania. Afr. J. Microbiol. Res. 2018, 12, 481–487. [Google Scholar] [CrossRef]
- Ngugi, J.N.; Fèvre, E.M.; Mgode, G.F.; Obonyo, M.; Mhamphi, G.G.; Otieno, C.A.; Cook, E.A.J. Seroprevalence and associated risk factors of leptospirosis in slaughter pigs; a neglected public health risk, western Kenya. BMC Vet. Res. 2019, 15, 403. [Google Scholar] [CrossRef] [PubMed]
- Motto, S.K.; Hernandez-Castro, L.E.; Shirima, G.M.; Mengele, I.J.; Bwatota, S.F.; Bronsvoort, B.M.d.C.; Lyatuu, E.T.; Komwihangilo, D.M.; Cook, E.A.J. Seroepidemiology of Leptospira serovar Hardjo and associated risk factors in smallholder dairy cattle in Tanzania. PLOS Negl. Trop. Dis. 2023, 17, e0011199. [Google Scholar] [CrossRef] [PubMed]
- Joshi, Y.P.; Kim, E.-H.; Cheong, H.-K. The influence of climatic factors on the development of hemorrhagic fever with renal syndrome and leptospirosis during the peak season in Korea: An ecologic study. BMC Infect. Dis. 2017, 17, 406. [Google Scholar] [CrossRef] [PubMed]
- Thibeaux, R.; Geroult, S.; Benezech, C.; Chabaud, S.; Soupé-Gilbert, M.-E.; Girault, D.; Bierque, E.; Goarant, C. Seeking the environmental source of Leptospirosis reveals durable bacterial viability in river soils. PLoS Negl.Trop. Dis. 2017, 11, e0005414. [Google Scholar] [CrossRef] [PubMed]
- Mcgrath, J.C.; Drummond, G.B.; Mclachlan, E.M.; Kilkenny, C.; Wainwright, C.L. Guidelines for reporting experiments involving animals: The ARRIVE guidelines. Br. J. Pharmacol. 2010, 160, 1573–1576. [Google Scholar] [CrossRef]




| Agricultural | Settlement/Village Category Mixed (Agricultural–Livestock) | Livestock | ||||
|---|---|---|---|---|---|---|
| M. natalensis | R. rattus | M. natalensis | R. rattus | M. natalensis | R. rattus | |
| Agricultural fields | 18.4% (7/38) | 0 (0/0) | 25% (3/12) | 100% (1/1) | 100% (3/3) | 0% (0/0) |
| Peridomestic surroundings | 11.5% (3/26) | 50% (1/2) | 100% (2/2) | 100% (1/1) | 0% (0/0) | 100% (1/1) |
| In houses | 20% (2/10) | 37.5% (3/8) | 0% (0/1) | 0% (0/25) | 0% (0/0) | 8.1% (4/49) |
| Livestock | Rodents | ||||
|---|---|---|---|---|---|
| Cattle | Goats | M. natalensis | R. rattus | ||
| Leptospira Serovar | Serogroup | ||||
| Sokoine | Icterohaemorrhagiae | 3.7% (n = 3/80) | 5% (n = 6/120) | 7.6% (n = 7/92) | 9% (n = 8/87) |
| Hebdomadis | Hebdomadis | 3.7% (n = 3/80) | 4% (n = 5/120) | 4.3% (n = 4/92) | 3.4% (n=3/87) |
| Lora | Australis | 0 | 0 | 6.5% (n = 6/92) | 0 |
| Gripothyphosa | Gripothyphosa | 1.2% (n = 1/80) | 0 | 0 | 0 |
| Canicola | Canicola | 0 | 0 | 0 | 0 |
| Pomona | Pomona | 0 | 3.2% (n = 3/92) | 0 | |
| Hardjo | Sejroe | 13% (n = 11/80) | 0 | 0 | 0 |
Disclaimer/Publisher’s Note: The statements, opinions and data contained in all publications are solely those of the individual author(s) and contributor(s) and not of MDPI and/or the editor(s). MDPI and/or the editor(s) disclaim responsibility for any injury to people or property resulting from any ideas, methods, instructions or products referred to in the content. |
© 2024 by the authors. Licensee MDPI, Basel, Switzerland. This article is an open access article distributed under the terms and conditions of the Creative Commons Attribution (CC BY) license (https://creativecommons.org/licenses/by/4.0/).
Share and Cite
Selemani, M.; Makundi, R.H.; Massawe, A.W.; Katakweba, A.S. Serological Survey of Leptospira spp. in Livestock and Rodents from Different Settlements in the Kilombero Wetland, Tanzania. Pathogens 2024, 13, 1059. https://doi.org/10.3390/pathogens13121059
Selemani M, Makundi RH, Massawe AW, Katakweba AS. Serological Survey of Leptospira spp. in Livestock and Rodents from Different Settlements in the Kilombero Wetland, Tanzania. Pathogens. 2024; 13(12):1059. https://doi.org/10.3390/pathogens13121059
Chicago/Turabian StyleSelemani, Mwajabu, Rhodes H. Makundi, Apia W. Massawe, and Abdul S. Katakweba. 2024. "Serological Survey of Leptospira spp. in Livestock and Rodents from Different Settlements in the Kilombero Wetland, Tanzania" Pathogens 13, no. 12: 1059. https://doi.org/10.3390/pathogens13121059
APA StyleSelemani, M., Makundi, R. H., Massawe, A. W., & Katakweba, A. S. (2024). Serological Survey of Leptospira spp. in Livestock and Rodents from Different Settlements in the Kilombero Wetland, Tanzania. Pathogens, 13(12), 1059. https://doi.org/10.3390/pathogens13121059

