Viability of Veterinary-Relevant Viruses in Decomposing Tissues over a 90-Day Period Using an In-Vitro System
Abstract
1. Introduction
2. Materials and Methods
2.1. Viruses and Cells
2.2. Study Design
2.3. Virus Titration and Isolation
2.4. Viral Nucleic Quantification
3. Results and Discussion
3.1. Virus Viability
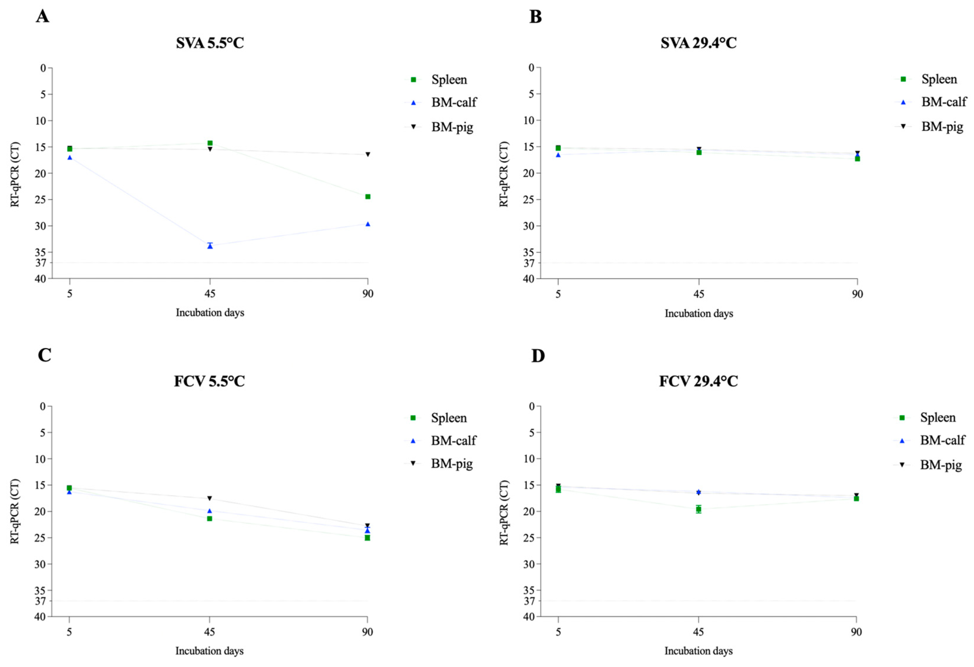
3.1.1. SVA
3.1.2. FCV
3.1.3. BVDV
3.1.4. PEDV
3.1.5. BoHV-1
3.1.6. SwPV
3.2. Nucleic Acid Extraction and qPCR Assay
4. Conclusions
Author Contributions
Funding
Institutional Review Board Statement
Informed Consent Statement
Data Availability Statement
Conflicts of Interest
References
- Paarlberg, P.L.; Seitzinger, A.H.; Lee, J.G.; Mathews, K. Economic Impacts of Foreign Animal Disease. Econ. Res. Rep. 2008, 47, 1–28. [Google Scholar]
- APHIS; USDA. Foreign Animal Disease (FAD) Response Introduction to FAD Preparedness and Response Plan; USDA-APHIS: Riverdale, MD, USA, 2021. Available online: https://www.aphis.usda.gov/animal_health/emergency_management/downloads/fad_rrg_preparedness_and_response.pdf (accessed on 24 March 2023).
- USDA. Ag and Food Sectors and the Economy; USDA: Washington, DC, USA, 2023. Available online: https://www.ers.usda.gov/data-products/ag-and-food-statistics-charting-the-essentials/ag-and-food-sectors-and-the-economy/ (accessed on 29 March 2023).
- National Pork Producers Council the Pork Industry|Economic Impact|National Pork Producers Council. 2022. Available online: https://nppc.org/the-pork-industry/ (accessed on 29 March 2023).
- APHIS; USDA. The Imperative for Foreign Animal Disease Preparedness and Response; USDA-APHIS: Riverdale, MD, USA. Available online: https://www.aphis.usda.gov/animal_health/emergency_management/downloads/intro_fadprep.pdf (accessed on 24 March 2023).
- Miller, L.; Flory, G. Carcass Management for Small- and Medium-Scale Livestock Farms—Practical Considerations; Focus on, Food and Agriculture Organization of the United Nations: Rome, Italy, 2018; Available online: https://www.fao.org/3/CA2073EN/ca2073en.pdf (accessed on 13 March 2023).
- Taylor, K.C. Environmental impacts of the foot and mouth disease outbreak in Great Britain in 2001: The use of risk analysis to manage the risks in the countryside. Rev. Sci. Tech. l’OIE 2002, 21, 797–813. [Google Scholar] [CrossRef]
- Costa, T.; Akdeniz, N. A review of the animal disease outbreaks and biosecure animal mortality composting systems. Waste Manag. 2019, 90, 121–131. [Google Scholar] [CrossRef]
- Pepin, B.; Williams, T.; Polson, D.; Gauger, P.; Dee, S. Survival of swine pathogens in compost formed from preprocessed carcasses. Transbound. Emerg. Dis. 2020, 68, 2239–2249. [Google Scholar] [CrossRef]
- Schwarz, M.; Specialist, E.S.; Bonhotal, J. Effectiveness of Composting as a Means of Emergency Disposal: A Literature Review. In Proceedings of the 5th International Symposium on Managing Animal Mortality, Products, by Products and Associated Risks, Lancaster, PA, USA, 28 September–1 October 2015; pp. 1–9. [Google Scholar]
- Flory, G.A.; Peer, R.W.; Clark, R.A.; Naceur Baccar, M.; Le, T.-T.; Mbarek, A.B.; Farsi, S. Aboveground burial for managing catastrophic losses of livestock. Int. J. One Health 2017, 3, 50–56. [Google Scholar] [CrossRef]
- Reed, L.J.; Muench, H. A simple method of estimating fifty per cent endpoints. Am. J. Epidemiol. 1938, 27, 493–497. [Google Scholar] [CrossRef]
- Ebling, R.; Paim, W.P.; Turner, J.; Flory, G.; Seiger, J.; Whitcomb, C.; Remmenga, M.; Vuolo, M.; Ramachandran, A.; Cole, L.; et al. Virus viability in spiked swine bone marrow tissue during above-ground burial method and under in vitro conditions. Transbound. Emerg. Dis. 2022, 69, 2987–2995. [Google Scholar] [CrossRef] [PubMed]
- Meli, M.L.; Berger, A.; Willi, B.; Spiri, A.M.; Riond, B.; Hofmann-Lehmann, R. Molecular detection of feline calicivirus in clinical samples: A study comparing its detection by RT-qPCR directly from swabs and after virus isolation. J. Virol. Methods 2018, 251, 54–60. [Google Scholar] [CrossRef] [PubMed]
- Leme, R.A.; Zotti, E.; Alcântara, B.K.; Oliveira, M.V.; Freitas, L.A.; Alfieri, A.F.; Alfieri, A.A. Senecavirus A: An Emerging Vesicular Infection in Brazilian Pig Herds. Transbound. Emerg. Dis. 2015, 62, 603–611. [Google Scholar] [CrossRef]
- Mendes Peter, C.; Pinto Paim, W.; Maggioli, M.F.; Ebling, R.C.; Glisson, K.; Donovan, T.; Vicosa Bauermann, F. Evaluation of Ultraviolet Type C Radiation in Inactivating Relevant Veterinary Viruses on Experimentally Contaminated Surfaces. Pathogens 2022, 11, 686. [Google Scholar] [CrossRef]
- Dee, S.A.; Bauermann, F.V.; Niederwerder, M.C.; Singrey, A.; Clement, T.; De Lima, M.; Long, C.; Patterson, G.; Sheahan, M.A.; Stoian, A.M.M.; et al. Survival of viral pathogens in animal feed ingredients under transboundary shipping models. PLoS ONE 2018, 13, e0194509. [Google Scholar] [CrossRef]
- Turner, J.H.; Paim, W.P.; Maggioli, M.F.; Peter, C.M.; Miknis, R.; Talley, J.; Bauermann, F.V. Prolonged Viability of Senecavirus A in Exposed House Flies (Musca domestica). Viruses 2022, 14, 127. [Google Scholar] [CrossRef]
- Cottral, G.E. Persistence of foot-and-mouth disease virus in animals, their products and the environment. Bull. l’Office Int. des Epizoot. 1969, 70, 549–568. [Google Scholar]
- Stenfeldt, C.; Bertram, M.R.; Smoliga, G.R.; Hartwig, E.J.; Delgado, A.H.; Arzt, J. Duration of Contagion of Foot-And-Mouth Disease Virus in Infected Live Pigs and Carcasses. Front. Vet. Sci. 2020, 7, 334. [Google Scholar] [CrossRef] [PubMed]
- Bøtner, A.; Belsham, G.J. Virus survival in slurry: Analysis of the stability of foot-and-mouth disease, classical swine fever, bovine viral diarrhoea and swine influenza viruses. Vet. Microbiol. 2012, 157, 41–49. [Google Scholar] [CrossRef]
- Guan, J.; Chan, M.; Grenier, C.; Brooks, B.W.; Spencer, J.L.; Kranendonk, C.; Copps, J.; Clavijo, A. Degradation of foot-and-mouth disease virus during composting of infected pig carcasses. Can. J. Vet. Res. 2010, 74, 40–44. [Google Scholar] [PubMed]
- Radford, A.D.; Coyne, K.P.; Dawson, S.; Porter, C.J.; Gaskell, R.M. Feline calicivirus. Vet. Res. 2007, 38, 319–335. [Google Scholar] [CrossRef] [PubMed]
- Horowitz, M.C.; Berry, R.; Holtrup, B.; Sebo, Z.; Nelson, T.; Fretz, J.A.; Lindskog, D.; Kaplan, J.L.; Ables, G.; Rodeheffer, M.S.; et al. Bone marrow adipocytes. Adipocyte 2017, 6, 193–204. [Google Scholar] [CrossRef] [PubMed]
- Doultree, J.C.; Druce, J.D.; Birch, C.J.; Bowden, D.S.; Marshall, J.A. Inactivation of feline calicivirus, a Norwalk virus surrogate. J. Hosp. Infect. 1999, 41, 51–57. [Google Scholar] [CrossRef] [PubMed]
- Cannon, J.L.; Papafragkou, E.; Park, G.W.; Osborne, J.; Jaykus, L.-A.; Vinjé, J. Surrogates for the Study of Norovirus Stability and Inactivation in the Environment: A Comparison of Murine Norovirus and Feline Calicivirus. J. Food Prot. 2006, 69, 2761–2765. [Google Scholar] [CrossRef]
- Baker, J.C. The clinical manifestations of bovine viral diarrhea infection. Vet. Clin. N. Am. Food Anim. Pract. 1995, 11, 425–445. [Google Scholar] [CrossRef] [PubMed]
- Weesendorp, E.; Stegeman, A.; Loeffen, W.L.A. Survival of classical swine fever virus at various temperatures in faeces and urine derived from experimentally infected pigs. Vet. Microbiol. 2008, 132, 249–259. [Google Scholar] [CrossRef] [PubMed]
- Cowan, L.; Haines, F.J.; Everett, H.E.; Crudgington, B.; Johns, H.L.; Clifford, D.; Drew, T.W.; Crooke, H.R. Factors affecting the infectivity of tissues from pigs with classical swine fever: Thermal inactivation rates and oral infectious dose. Vet. Microbiol. 2015, 176, 1–9. [Google Scholar] [CrossRef] [PubMed]
- Pfaender, S.; Heyden, J.; Friesland, M.; Ciesek, S.; Ejaz, A.; Steinmann, J.; Steinmann, J.; Malarski, A.; Stoiber, H.; Tsiavaliaris, G.; et al. Inactivation of hepatitis C virus infectivity by human breast milk. J. Infect. Dis. 2013, 208, 1943–1952. [Google Scholar] [CrossRef]
- Lee, C. Porcine epidemic diarrhea virus: An emerging and re-emerging epizootic swine virus. Virol. J. 2015, 12, 193. [Google Scholar] [CrossRef] [PubMed]
- Pujols, J.; Segalés, J. Survivability of porcine epidemic diarrhea virus (PEDV) in bovine plasma submitted to spray drying processing and held at different time by temperature storage conditions. Vet. Microbiol. 2014, 174, 427–432. [Google Scholar] [CrossRef] [PubMed]
- Goyal, S. Environmental stability of PEDV (porcine epidemic diarrhea virus); Pork checkoff: Des Moines, IA, USA, 2014; Available online: https://www.porkcheckoff.org/wp-content/uploads/2021/02/13-215-GOYAL-UMN.pdf (accessed on 29 June 2023).
- Engels, M.; Ackermann, M. Pathogenesis of ruminant herpesvirus infections. Vet. Microbiol. 1996, 53, 3–15. [Google Scholar] [CrossRef] [PubMed]
- Stoian, A.M.M.; Petrovan, V.; Constance, L.A.; Olcha, M.; Dee, S.; Diel, D.G.; Sheahan, M.A.; Rowland, R.R.R.; Patterson, G.; Niederwerder, M.C. Stability of classical swine fever virus and pseudorabies virus in animal feed ingredients exposed to transpacific shipping conditions. Transbound. Emerg. Dis. 2020, 67, 1623–1632. [Google Scholar] [CrossRef]
- Garcia-Siera, J.; Rozeboom, D.W.; Straw, B.E.; Thacker, B.J.; Granger, L.M.; Fedorka-Cray, P.J.; Gray, J.T. Studies on survival of pseudorabies virus, Actinobacillus pleuropneumoniae, and Salmonella serovar Choleraesuis in composted swine carcasses. J. Swine Health Prod. 2001, 9, 225–231. [Google Scholar]
- Mech, P.; Bora, D.P.; Neher, S.; Barman, N.N.; Borah, P.; Tamuly, S.; Dutta, L.J.; Das, S.K. Identification of swinepox virus from natural outbreaks in pig population of Assam. VirusDisease 2018, 29, 395–399. [Google Scholar] [CrossRef]
- Sprygin, A.; Pestova, Y.; Wallace, D.B.; Tuppurainen, E.; Kononov, A.V. Transmission of lumpy skin disease virus: A short review. Virus Res. 2019, 269, 197637. [Google Scholar] [CrossRef] [PubMed]
- Namazi, F.; Khodakaram Tafti, A. Lumpy skin disease, an emerging transboundary viral disease: A review. Vet. Med. Sci. 2021, 7, 888–896. [Google Scholar] [CrossRef] [PubMed]
- Spyrou, V.; Valiakos, G. Orf virus infection in sheep or goats. Vet. Microbiol. 2015, 181, 178–182. [Google Scholar] [CrossRef] [PubMed]
- Bergqvist, C.; Kurban, M.; Abbas, O. Orf virus infection. Rev. Med. Virol. 2017, 27, e1932. [Google Scholar] [CrossRef]
- Mercer, A.A.; Schmidt, A.; Weber, O.; Smith, G.L. Genus Orthopoxvirus: Vaccinia virus. In Poxviruses; Birkhäuser: Basel, Switzerland, 2007; pp. 1–45. [Google Scholar] [CrossRef]
- Fischer, M.; Hühr, J.; Blome, S.; Conraths, F.J.; Probst, C. Stability of African swine fever virus in carcasses of domestic pigs and wild boar experimentally infected with the ASFV “Estonia 2014” isolate. Viruses 2020, 12, 1118. [Google Scholar] [CrossRef]
- Fischer, M.; Pikalo, J.; Beer, M.; Blome, S. Stability of African swine fever virus on spiked spray-dried porcine plasma. Transbound. Emerg. Dis. 2021, 68, 2806–2811. [Google Scholar] [CrossRef]
- Tun, H.M.; Cai, Z.; Khafipour, E. Monitoring Survivability and Infectivity of Porcine Epidemic Diarrhea Virus (PEDv) in the Infected On-Farm Earthen Manure Storages (EMS). Front. Microbiol. 2016, 7, 265. [Google Scholar] [CrossRef]
- Lin, Q.; Lim, J.Y.C.; Xue, K.; Yew, P.Y.M.; Owh, C.; Chee, P.L.; Loh, X.J. Sanitizing agents for virus inactivation and disinfection. View 2020, 1, e16. [Google Scholar] [CrossRef]









| Target Virus | Surrogate Viruses Employed | Viral Family | Envelope | Genetic Material | Cell Line | Virus Titer (TCID50/mL) |
|---|---|---|---|---|---|---|
| Foot and mouth disease virus (FMDV) | Senecavirus A1 (SVA) | Picornaviridae | Non-enveloped | +ssRNA | ST | 108.8 |
| Vesicular exanthema of swine virus (VESV) | Feline calicivirus (FCV) | Caliciviridae | Non-enveloped | +ssRNA | CRFK | 108.2 |
| Classical swine fever virus (CSFV) | Bovine viral diarrhea virus (BVDV) | Flaviviridae | Enveloped | +ssRNA | MDBK | 106.0 |
| Porcine epidemic diarrhea virus (PEDV) | Not applied | Coronaviridae | Enveloped | +ssRNA | VERO | 106.0 |
| Pseudorabies virus (PRV) | Bovine alphaherpesvirus 1 (BoHV-1) | Orthoherpesviridae | Enveloped | dsDNA | MDBK | 107.6 |
| Lumpy skin diseases virus (LSDV); African swine fever virus (ASFV) | Swinepox virus (SwPV) | Poxviridae | Enveloped | dsDNA | PK-15 | 106.8 |
| Viruses | Tissue | Viability (Days) in the Tested Temperatures | |
|---|---|---|---|
| 5.5 °C | 29.4 °C | ||
| Senecavirus A1 (SVA) | Spleen | ≥90 * | 14 |
| BM-calf | ≥90 | 45 | |
| BM-pig | ≥90 | 45 | |
| Feline calicivirus (FCV) | Spleen | ≥90 | 5 |
| BM-calf | ≥90 | 5 | |
| BM-pig | 45 | <5 ** | |
| Bovine viral diarrhea virus (BVDV) | Spleen | 75 | 14 |
| BM-calf | 25 | 10 | |
| BM-pig | 45 | 5 | |
| Porcine epidemic diarrhea virus (PEDV) | Spleen | 10 | <5 |
| BM-calf | 5 | 5 | |
| BM-pig | <5 | 5 | |
| Bovine alphaherpesvirus 1 (BoHV-1) | Spleen | 60 | 5 |
| BM-calf | 45 | 10 | |
| BM-pig | 25 | 14 | |
| Swinepox virus (SwPV) | Spleen | 60 | 5 |
| BM-calf | 60 | 10 | |
| BM-pig | 60 | 14 | |
Disclaimer/Publisher’s Note: The statements, opinions and data contained in all publications are solely those of the individual author(s) and contributor(s) and not of MDPI and/or the editor(s). MDPI and/or the editor(s) disclaim responsibility for any injury to people or property resulting from any ideas, methods, instructions or products referred to in the content. |
© 2023 by the authors. Licensee MDPI, Basel, Switzerland. This article is an open access article distributed under the terms and conditions of the Creative Commons Attribution (CC BY) license (https://creativecommons.org/licenses/by/4.0/).
Share and Cite
Merchioratto, I.; Mendes Peter, C.; Ramachandran, A.; Maggioli, M.F.; Vicosa Bauermann, F. Viability of Veterinary-Relevant Viruses in Decomposing Tissues over a 90-Day Period Using an In-Vitro System. Pathogens 2023, 12, 1104. https://doi.org/10.3390/pathogens12091104
Merchioratto I, Mendes Peter C, Ramachandran A, Maggioli MF, Vicosa Bauermann F. Viability of Veterinary-Relevant Viruses in Decomposing Tissues over a 90-Day Period Using an In-Vitro System. Pathogens. 2023; 12(9):1104. https://doi.org/10.3390/pathogens12091104
Chicago/Turabian StyleMerchioratto, Ingryd, Cristina Mendes Peter, Akhilesh Ramachandran, Mayara Fernanda Maggioli, and Fernando Vicosa Bauermann. 2023. "Viability of Veterinary-Relevant Viruses in Decomposing Tissues over a 90-Day Period Using an In-Vitro System" Pathogens 12, no. 9: 1104. https://doi.org/10.3390/pathogens12091104
APA StyleMerchioratto, I., Mendes Peter, C., Ramachandran, A., Maggioli, M. F., & Vicosa Bauermann, F. (2023). Viability of Veterinary-Relevant Viruses in Decomposing Tissues over a 90-Day Period Using an In-Vitro System. Pathogens, 12(9), 1104. https://doi.org/10.3390/pathogens12091104

