Diagnostic Considerations for Non-Acanthamoeba Amoebic Keratitis and Clinical Outcomes
Abstract
1. Introduction
2. Results
3. Discussion
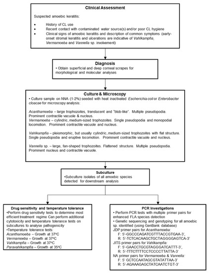
4. Materials and Methods
Author Contributions
Funding
Institutional Review Board Statement
Informed Consent Statement
Data Availability Statement
Conflicts of Interest
References
- Lorenzo-Morales, J.; Khan, N.A.; Walochnik, J. An update on Acanthamoeba keratitis: Diagnosis, pathogenesis and treatment. Parasite 2015, 22, 10. [Google Scholar] [CrossRef] [PubMed]
- Carnt, N.; Hoffman, J.J.; Verma, S.; Hau, S.; Radford, C.F.; Minassian, D.C.; Dart, J.K.G. Acanthamoeba keratitis: Confirmation of the UK outbreak and a prospective case-control study identifying contributing risk factors. Br. J. Ophthalmol. 2018, 102, 1621–1628. [Google Scholar] [CrossRef] [PubMed]
- Randag, A.C.; Van Rooij, J.; Van Goor, A.T.; Verkerk, S.; Wisse, R.P.; Saelens, I.E.; Stoutenbeek, R.; van Dooren, B.T.; Cheng, Y.Y.; Eggink, C.A. The rising incidence of Acanthamoeba keratitis: A 7-year nationwide survey and clinical assessment of risk factors and functional outcomes. PLoS ONE 2019, 14, e0222092. [Google Scholar] [CrossRef]
- Höllhumer, R.; Keay, L.; Watson, S.L. Acanthamoeba keratitis in Australia: Demographics, associated factors, presentation and outcomes: A 15-year case review. Eye 2020, 34, 725–732. [Google Scholar] [CrossRef] [PubMed]
- Scruggs, B.A.; Quist, T.S.; Salinas, J.L.; Greiner, M.A. Acanthamoeba keratitis cases—Iowa, 2002–2017. Morb. Mortal Wkly. Rep. 2019, 68, 448–449. [Google Scholar] [CrossRef]
- Rocha-Azevedo, B.D.; Tanowitz, H.B.; Marciano-Cabral, F. Diagnosis of Infections Caused by Pathogenic Free-Living Amoe-bae. Interdiscip. Perspect. Infect. Dis. 2009, 2009, 251406. [Google Scholar] [PubMed]
- de Lacerda, A.G.; Lira, M. Acanthamoeba keratitis: A review of biology, pathophysiology and epidemiology. Ophthalmic Physiol. Opt. 2020, 41, 116–129. [Google Scholar] [CrossRef]
- Fanselow, N.; Sirajuddin, N.; Yin, X.T.; Huang, A.J.; Stuart, P.M. Acanthamoeba Keratitis, Pathology, Diagnosis and Treatment. Pathology 2021, 10, 323. [Google Scholar] [CrossRef]
- Abedkhojasteh, H.; Niyyati, M.; Rahimi, F.; Heidari, M.; Farnia, S.; Rezaeian, M. First Report of Hartmannella keratitis in a Cosmetic Soft Contact Lens Wearer in Iran. Iran. J. Parasitol. 2013, 8, 481–485. [Google Scholar]
- Hajialilo, E.; Niyyati, M.; Solaymani, M.; Rezaeian, M. Pathogenic Free-Living Amoebae Isolated From Contact Lenses of Keratitis Patients. Iran. J. Parasitol. 2016, 10, 541–546. [Google Scholar]
- Kennedy, S.M.; Devine, P.; Hurley, C.; Ooi, Y.S.; Collum, L.M. Corneal infection associated with Hartmannella vermiformis in contact-lens wearer. Lancet 1995, 346, 637–638. [Google Scholar] [CrossRef]
- Aitken, D.; Hay, J.; Kinnear, F.B.; Kirkness, C.M.; Lee, W.R.; Seal, D.V. Amebic Keratitis in a Wearer of Disposable Contact Lenses due to a Mixed Vahlkampfia and Hartmannella Infection. Ophthalmology 1996, 103, 485–494. [Google Scholar] [CrossRef]
- Inoue, T.; Asari, S.; Tahara, K.; Hayashi, K.; Kiritoshi, A.; Shimomura, Y. Acanthamoeba keratitis with symbiosis of Hartmannella amoeba. Am. J. Oph-Thalmology 1998, 125, 721–723. [Google Scholar] [CrossRef]
- Aimard, L.; Brasseur, P.; Favennec, L.; Perrine, D.; Watt, L.; Brasseur, G. Amebic Keratitis Due to a Mixed Infection with Acanthamoeba and Hartmannella Species. Clin. Infect. Dis. 1998, 26, 187–188. [Google Scholar] [CrossRef][Green Version]
- Alexandrakis, G.; Miller, D.; Huang, A.J. Amebic keratitis due to Vahlkampfia infection following corneal trauma. Arch. Ophthalmol. 1998, 116, 950–951. [Google Scholar]
- Bennett, H.G.B.; Hay, J.; Kirkness, C.M.; Seal, D.V.; Devonshire, P. Antimicrobial management of presumed microbial keratitis: Guidelines for treatment of central and peripheral ulcers. Br. J. Ophthalmol. 1998, 82, 137–145. [Google Scholar] [CrossRef] [PubMed]
- Michel, R.; Schmid, E.N.; Böker, T.; Hager, D.G.; Müller, K.-D.; Hoffmann, R.; Seitz, H.M. Vannella sp. harboring Microsporidia-like organisms isolated from the contact lens and inflamed eye of a female keratitis patient. Parasitol. Res. 2000, 86, 514–520. [Google Scholar] [CrossRef] [PubMed]
- Scheid, P. Mechanism of intrusion of a microsporidian-like organism into the nucleus of host amoebae (Vannella sp.) isolated from a keratitis patient. Parasitol. Res. 2007, 101, 1097–1102. [Google Scholar] [CrossRef] [PubMed]
- Lorenzo-Morales, J.; Martínez-Carretero, E.; Batista, N.; Álvarez-Marín, J.; Bahaya, Y.; Walochnik, J.; Valladares, B. Early diagnosis of amoebic keratitis due to a mixed infection with Acanthamoeba and Hartmannella. Parasitol. Res. 2007, 102, 167–169. [Google Scholar] [CrossRef]
- Yera, H.; Zamfir, O.; Bourcier, T.; Viscogliosi, E.; Noël, C.; Dupouy-Camet, J.; Chaumeil, C. The genotypic characterisation of Acanthamoeba isolates from human ocular sam-ples. Br. J. Ophthalmol. 2008, 92, 1139–1141. [Google Scholar] [CrossRef]
- Ozkoc, S.; Tuncay, S.; Delibas, S.B.; Akisu, C.; Ozbek, Z.; Durak, I.; Walochnik, J. Identification of Acanthamoeba genotype T4 and Paravahlkampfia sp. from two clinical samples. J. Med. Microbiol. 2008, 57, 392–396. [Google Scholar] [CrossRef] [PubMed][Green Version]
- Niyyati, M.; Lorenzo-Morales, J.; Rezaie, S.; Rahimi, F.; Martín-Navarro, C.M.; Mohebali, M.; Maghsood, A.H.; Farnia, S.; Valladares, B.; Rezaeian, M. First report of a mixed infection due to Acanthamoeba genotype T3 and Vahlkampfia in a cosmetic soft contact lens wearer in Iran. Exp. Parasitol. 2010, 126, 89–90. [Google Scholar] [CrossRef] [PubMed]
- Mattana, A.; Pinna, A.; Erre, G.; Fiori, P.L.; Cappuccinelli, P. Biological characterization of free-living amoebae isolated from cases of amoebic keratitis in Sassari. Mappe Parassitol. 2012, 18, 49. [Google Scholar]
- Arnalich-Montiel, F.; Lorenzo-Morales, J.; Irigoyen, C.; Morcillo-Laiz, R.; López-Vélez, R.; Muñoz-Negrete, F.; Piñero, J.E.; Valladares, B. Co-isolation of Vahlkampfia and Acanthamoeba in Acanthamoe-ba-Like Keratitis in a Spanish Population. Cornea 2013, 32, 608–614. [Google Scholar] [CrossRef]
- Tolba, M.E.M.; Huseein, E.A.M.; Farrag, H.M.M.; Mohamed, H.E.D.; Kobayashi, S.; Suzuki, J.; Ali, T.A.M.; Sugano, S. Allovahlkampfia spelaea Causing Keratitis in Humans. PLoS Negl. Trop. Dis. 2016, 10, e0004841. [Google Scholar] [CrossRef] [PubMed]
- Pinna, A.; Porcu, T.; Boscia, F.; Cano, A.; Erre, G.; Mattana, A. Free-Living Amoebae Keratitis. Cornea 2017, 36, 785–790. [Google Scholar] [CrossRef]
- Henriquez, F.L.; Mooney, R.; Bandel, T.; Giammarini, E.; Zeroual, M.; Fiori, P.L.; Margarita, V.; Rappelli, P.; Dessì, D. Paradigms of Protist/Bacteria Symbioses Affecting Human Health: Acanthamoeba species and Trichomonas vaginalis. Front. Microbiol. 2021, 11, 616213. [Google Scholar] [CrossRef]
- Griffin, J.L. Temperature Tolerance of Pathogenic and Nonpathogenic Free-Living Amoebas. Science 1972, 178, 869–870. [Google Scholar] [CrossRef]
- Rayamajhee, B.; Willcox, M.D.; Henriquez, F.L.; Petsoglou, C.; Carnt, N. Acanthamoeba keratitis: An increasingly common infectious disease of the cornea. Lancet Microbe 2021, 2, e345–e346. [Google Scholar] [CrossRef]
- Maycock, N.J.R.; Jayaswal, R. Update on Acanthamoeba Keratitis. Cornea 2016, 35, 713–720. [Google Scholar] [CrossRef]
- Scottish Intercollegiate Guidelines Network. Algorithm for Classifying Study Design for Questions of Effectiveness. 2021. Available online: https://www.sign.ac.uk/assets/study_design.pdf (accessed on 17 July 2021).
- University of Strathclyde. Systematic Review Steps. 2020. Available online: https://guides.lib.strath.ac.uk/systematic/steps (accessed on 10 July 2021).
- The Joanna Briggs Institute. Checklist for Case Control Studies. Available online: https://jbi.global/critical-appraisal-tools (accessed on 1 May 2021).
- Centre for Evidence Based Management. Critical Appraisal. 2019. Available online: https://cebma.org/resources-and-tools/what-is-critical-appraisal/ (accessed on 17 July 2021).


| First Author, Year and Journal | Study Type and Location | Patient Information and Research Aim | Clinical Manifestations | Laboratory Investigation(s) | Findings | Treatment |
|---|---|---|---|---|---|---|
| Kennedy et al. (1995) The lancet [11] | CR (Ireland) | Analysing causative agent(s) of keratitis in a 17-year-old F soft CL wearer | Corneal erosion and stromal ring infiltration | Corneal scrapes: culture and microscopy | Vermamoeba detected (in isolation) | Polyhexamethylene |
| Aitken et al. (1996) Ophthalmol [12] | CR (UK) | Analysing causative agent(s) of keratitis in a 21-year-old M soft CL wearer | Eye pain, watery discharge, corneal lesion, inflammation, epithelial defect, oedema, decreased visual acuity, photophobia, keratic precipitates and endothelial damage | Corneal scrapes and corneal biopsy: culture and microscopy | Vermamoeba and Vahlkampfia detected | Propamidine isethionate, neomycin sulfate, prednisolone, atropine and keratoplasty |
| Inoue et al. (1998) American Journal of Ophthalmol [13] | CR (Japan) | Analysing causative agent(s) of keratitis in a 54-year-old F hard CL wearer | Eye pain, foreign body sensation, stromal ring infiltration, stromal ulcer, corneal lesion, impaired vision, epithelial defect, photophobia and anterior chamber inflammation | Corneal scrapes: culture and microscopy | Acanthamoeba and Vermamoeba detected | miconazole, fluconazole, natamycin, ofloxacin and keratoplasty |
| Aimard et al. (1998) Clinical Infectious Diseases [14] | CR (France) | Analysing causative agent(s) of keratitis in a 40-year-old F CL wearer | Stromal involvement observed and symptoms described as “typical of Acanthamoeba“ | Corneal scrapes and corneal biopsy: culture and microscopy | Acanthamoeba and Vermamoeba detected | Neomycin, polymyxin, fluconazole, hexamidine, propamidine and keratoplasty |
| Alexandrakis et al. (1998) Arch Ophthalmol [15] | CR (USA) | Analysing causative agent(s) of keratitis in a 30-year-old M non-CL wearer who incurred ocular trauma | Severe ocular pain, irritation, stromal infiltrates, corneal oedema, epithelial defect and inflammation | Corneal scrapes: culture and microscopy | Vahlkampfia detected (in isolation) | Propamidine, polyhexamethylene, neomycin, polymyxin, bacitracin zinc and Clotrimazole |
| Bennett et al. (1998) The British Journal of Ophthalmol [16] | CS (UK) | Analysing causative agents of keratitis in a small cohort (24 M and 31 F patients with presumed microbial keratitis) | Central or peripheral infiltrates | Corneal scrapes: culture and microscopy | 1 Vahlkampfia positive case (detected in isolation in CL wearer) | Gentamicin and Cefuroxime |
| Michel et al. (2000) Parasitology Resources [17] | CR (Germany) | Analysing causative agent(s) of keratitis in a 24-year-old F CL wearer | Pain, photophobia, reduced visual acuity, inflammation, corneal ulcer, conjunctival hyperaemia and central ring infiltrate | Corneal and CL swabs: culture and microscopy | P. aeruginosa, Vermamoeba and two Vannella sp. detected | Gentamicin, cefazolin, propamidine, artificial tears and keratoplasty |
| Scheid (2007) Parasitology Resources [18] | CR (Germany) | Analysing causative agent(s) of keratitis in a 24-year-old F CL wearer | Inflammation, impaired vision, photophobia, central ring infiltrate and severe pain | Corneal and CL swabs: culture and microscopy | P. aeruginosa, Vermamoeba and two Vannella sp. detected | Gentamicin, cefazolin, propamidine artificial tears and keratoplasty |
| Lorenzo-Morales et al. (2007) Parasitology Resources [19] | CR (Spain) | Analysing causative agent(s) of keratitis in a 21-year-old M soft CL wearer | Severe pain, reduced visual acuity, photophobia, inflammation and stromal keratitis | Corneal scrapes: culture and microscopy; PCR tests | Acanthamoeba and Vermamoeba detected | Tobramycin, Propamidine, povidone-iodine, diclofenac and ofloxacin |
| Yera et al. (2008) The British Journal of Ophthalmol [20] | CS (France) | Analysing causative agent(s) of keratitis in a small cohort (37 M and F patients with suspected AK). All CL wearers | Pain and stromal ring infiltrates | Corneal scrapes: culture and microscopy; CL and CL case investigations; PCR tests | 1 Vermamoeba positive case (detected in isolation) 1 Vahlkampfia positive case (detected in isolation) | Unexplained |
| Ozkoc et al. (2008) Journal of Medical Microbiology [21] | CR (Turkey) | Analysing causative agent(s) of keratitis in a 61-year-old M non-CL wearer who incurred ocular trauma | Irritation, pain, redness, reduced visual acuity, corneal oedema, epithelial defect and epithelial erosions | Corneal scrapes: culture and microscopy; PCR tests | Paravahlkampfia and herpes simplex virus detected | Acyclovir, propamidine and polyhexamethylene |
| Niyyati et al. (2010) Experimental Parasitology [22] | CR (Iran) | Analysing causative agent(s) of keratitis in a 35-year-old F soft CL wearer | Severe pain, redness, irritation, ulceration, photophobia and opacity in the left eye | Corneal scrapes: culture and microscopy; PCR tests; CL and CL case investigations | Acanthamoeba and Vahlkampfia detected | Propamidine and keratoplasty |
| Mattana et al. (2012) Mappe Parassitologiche [23] | CS (Italy) | Analysing causative agent(s) of keratitis in a small cohort with suspected early stage Acanthamoeba keratitis | Diffuse punctate epitheliopathy and/or epithelial lesions | Corneal scrapes: culture and microscopy; PCR tests | 1 mixed case of Vermamoeba and Vahlkampfia, 7 positive Vermamoeba cases (detected in isolation) (all CL wearers) | Propamidine and polyhexanide |
| Arnalich-Montiel et al. (2013) Cornea [24] | CS (Spain) | Analysing causative agent(s) of keratitis in a small cohort with suspected AK (5 F and 2 M patients) | Subepithelial changes, ulceration, ring infiltrates and stromal keratitis | Epitheliectomy and corneal scrapes: culture and microscopy; PCR tests | 2 cases of mixed keratitis with Acanthamoeba and Vahlkampfia (both CL wearers) | Chlorhexidine, Propamidine, polyhexamethylene voriconazole and amniotic membrane transplant |
| Abedkhojasteh et al. (2013) Iranian Journal of Parasitology [9] | CR (Iran) | Analysing causative agent(s) of keratitis in a 22-year-old F soft CL wearer | Eye pain, photophobia, blurred vision, redness, tearing, foreign body sensation, opacity in epithelium and stroma | Culture and microscopy with CL, storage case and cleaning solutions; PCR tests | Vermamoeba detected (in isolation) | Polyhexamethylene |
| Hajialilo et al. (2015) Iranian Journal of Parasitology [10] | CS (Iran) | Analysing causative agent(s) of keratitis in a 23-year-old M and 21-year-old F soft CL wearers | Foreign body sensation, eye pain, photophobia, redness, tearing, burning, blurred vision and impaired vision | Culture and microscopy with CL and associating paraphernalia; PCR tests | 1 mixed case of Acanthamoeba and Vermamoeba, 1 Vermamoeba positive case (in isolation) | Polyhexamethylene |
| Tolba et al. (2016) PLOS Neglected Tropical Diseases [25] | CR (Egypt) | Analysing causative agent(s) of keratitis in an Egyptian patient who incurred ocular trauma | Unexplained | Corneal scrapes: culture and microscopy; PCR tests | Allovahlkampfia spelaea detected (in isolation) | Unexplained |
| Pinna et al. (2017) Cornea [26] | CS (Italy) | Analysing causative agents of keratitis in a small cohort (43 M and F patients with suspected keratitis) 95% CL wearers | Corneal inflammation, keratoneuritis, epithelial defects and haze, pseudodendrites, ring infiltrates, inflammation and limbitis | Corneal scrapes: culture and microscopy; PCR tests | 24 Vermamoeba positive cases detected (in isolation), 12 Vahlkampfia positive cases (in isolation), 3 mixed cases of Vermamoeba and Vahlkampfia | Polyhexamethylene (5 patients with advanced keratitis showed chronic visual impairment, likely requiring keratoplasty) |
| Study Type (n = 18) | |
| CR | 12 |
| CS | 6 |
| Publication Dates (n = 18) | |
| 1995–2009 | 11 |
| 2010–2019 | 7 |
| Location (n = 18) | |
| UK | 2 |
| Ireland | 1 |
| USA | 1 |
| France | 2 |
| Japan | 1 |
| Germany | 2 |
| Spain | 2 |
| Turkey | 1 |
| Iran | 3 |
| Italy | 2 |
| Egypt | 1 |
| Participants (n = 20) | |
| Females ≤ 30 years old | 5 |
| Females > 30 years old | 3 |
| Males ≤ 30 years old | 4 |
| Males > 30 years old | 1 |
| CR unknown gender and age | 1 |
| 1 Case series | 6 |
| 2CL history (n = 66) | |
| CL wearer | 61 |
| Non-CL wearer | 5 |
| Amoebae sp. Detected | Percent of Cases (n = 66) |
| Vermamoeba | 53% |
| Vahlkampfia | 23% |
| Vermamoeba and Vahlkampfia | 7.5% |
| Acanthamoeba and Vermamoeba | 6% |
| Acanthamoeba and Vahlkampfia | 4.5% |
| Vermamoeba and Vannella | 3% |
| Paravahlkampfia | 1.5% |
| Allovahlkampfia | 1.5% |
| Symptoms | Percent of Studies (n = 18) |
| Pain | 61% |
| Inflammation, irritation and redness | 61% |
| Stromal keratitis and ulcerations | 56% |
| Epithelial erosion, defects, lesions and haze | 50% |
| Ring infiltrates | 50% |
| Impaired vision | 44% |
| Photophobia | 44% |
| Foreign body sensation | 17% |
| Oedema | 17% |
| Opacity | 11% |
| Burning/stinging | 6% |
| Discharge | 6% |
| Keratoneuritis | 6% |
| Pseudodendrites | 6% |
Publisher’s Note: MDPI stays neutral with regard to jurisdictional claims in published maps and institutional affiliations. |
© 2022 by the authors. Licensee MDPI, Basel, Switzerland. This article is an open access article distributed under the terms and conditions of the Creative Commons Attribution (CC BY) license (https://creativecommons.org/licenses/by/4.0/).
Share and Cite
Moran, S.; Mooney, R.; Henriquez, F.L. Diagnostic Considerations for Non-Acanthamoeba Amoebic Keratitis and Clinical Outcomes. Pathogens 2022, 11, 219. https://doi.org/10.3390/pathogens11020219
Moran S, Mooney R, Henriquez FL. Diagnostic Considerations for Non-Acanthamoeba Amoebic Keratitis and Clinical Outcomes. Pathogens. 2022; 11(2):219. https://doi.org/10.3390/pathogens11020219
Chicago/Turabian StyleMoran, Siobhan, Ronnie Mooney, and Fiona L. Henriquez. 2022. "Diagnostic Considerations for Non-Acanthamoeba Amoebic Keratitis and Clinical Outcomes" Pathogens 11, no. 2: 219. https://doi.org/10.3390/pathogens11020219
APA StyleMoran, S., Mooney, R., & Henriquez, F. L. (2022). Diagnostic Considerations for Non-Acanthamoeba Amoebic Keratitis and Clinical Outcomes. Pathogens, 11(2), 219. https://doi.org/10.3390/pathogens11020219
