Comparison of Cytokine Expression Profile in Chikungunya and Dengue Co-Infected and Mono-Infected Patients’ Samples
Abstract
1. Introduction
2. Results
2.1. Study Population and Demographic Details
2.2. Viral Load and Serological Findings
2.3. CHIKV, DENV Mono-Infections and CHIKV and DENV Co-infections Are Associated with an Inflammatory Cytokine Profile
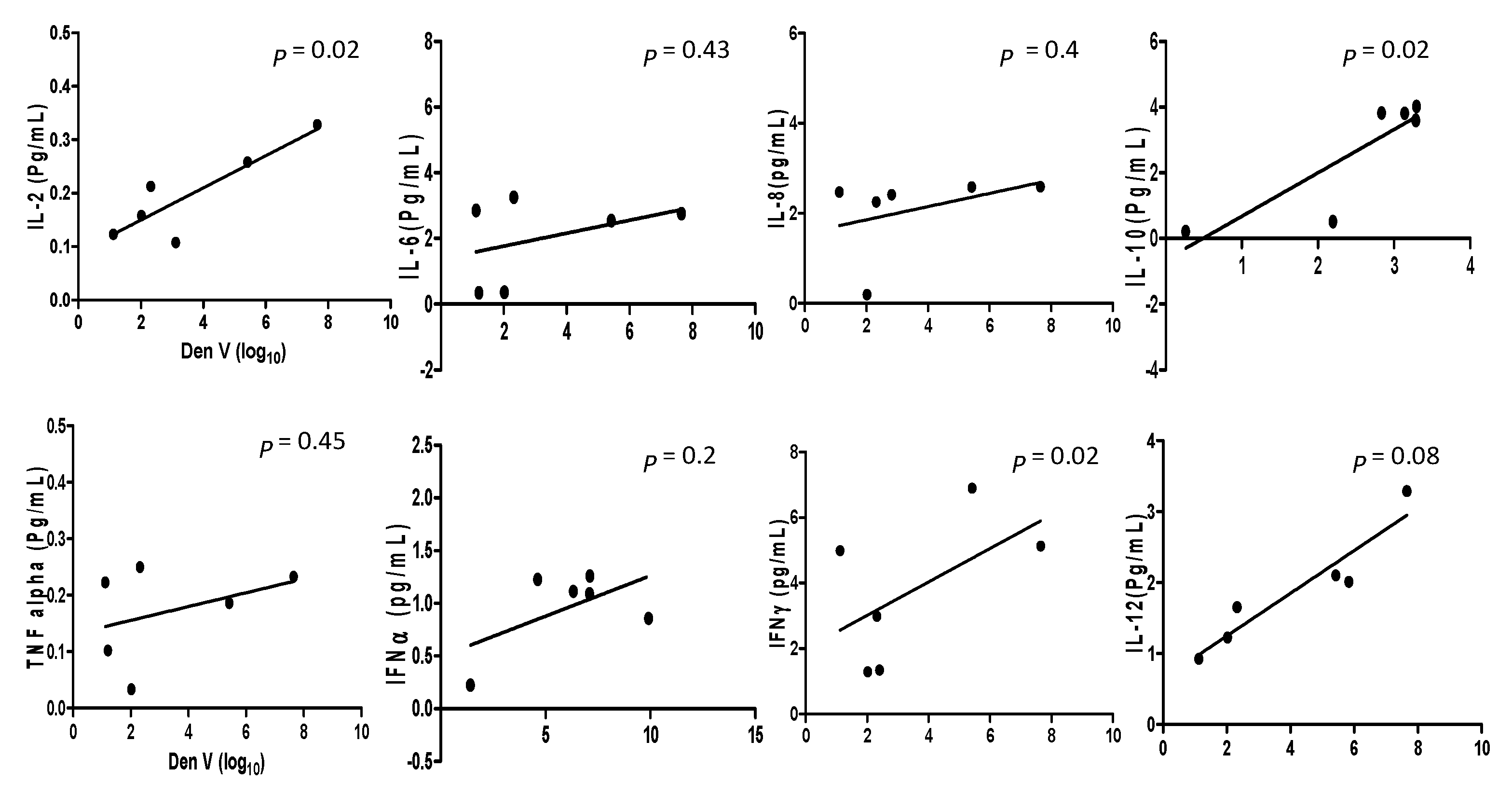
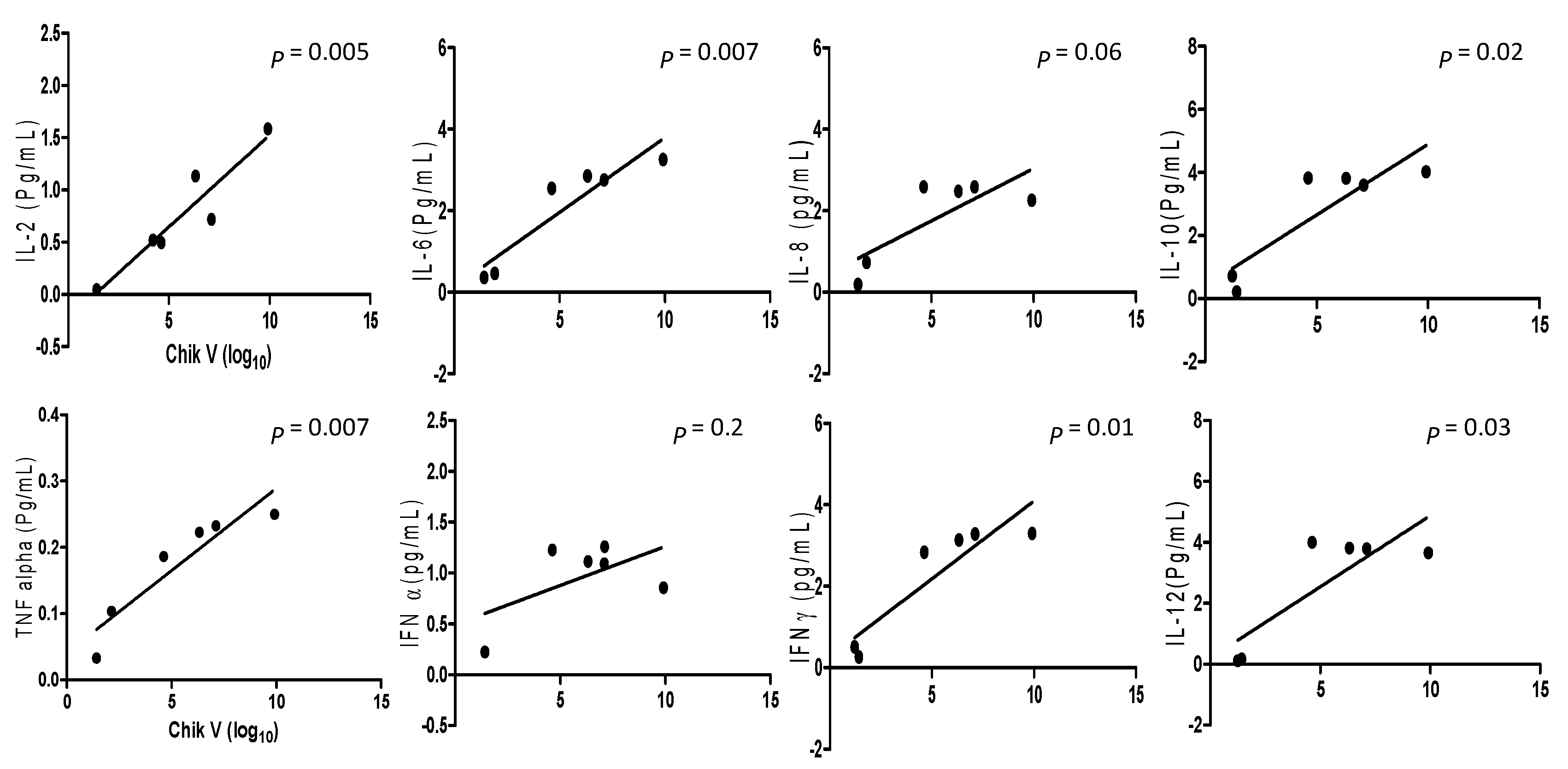
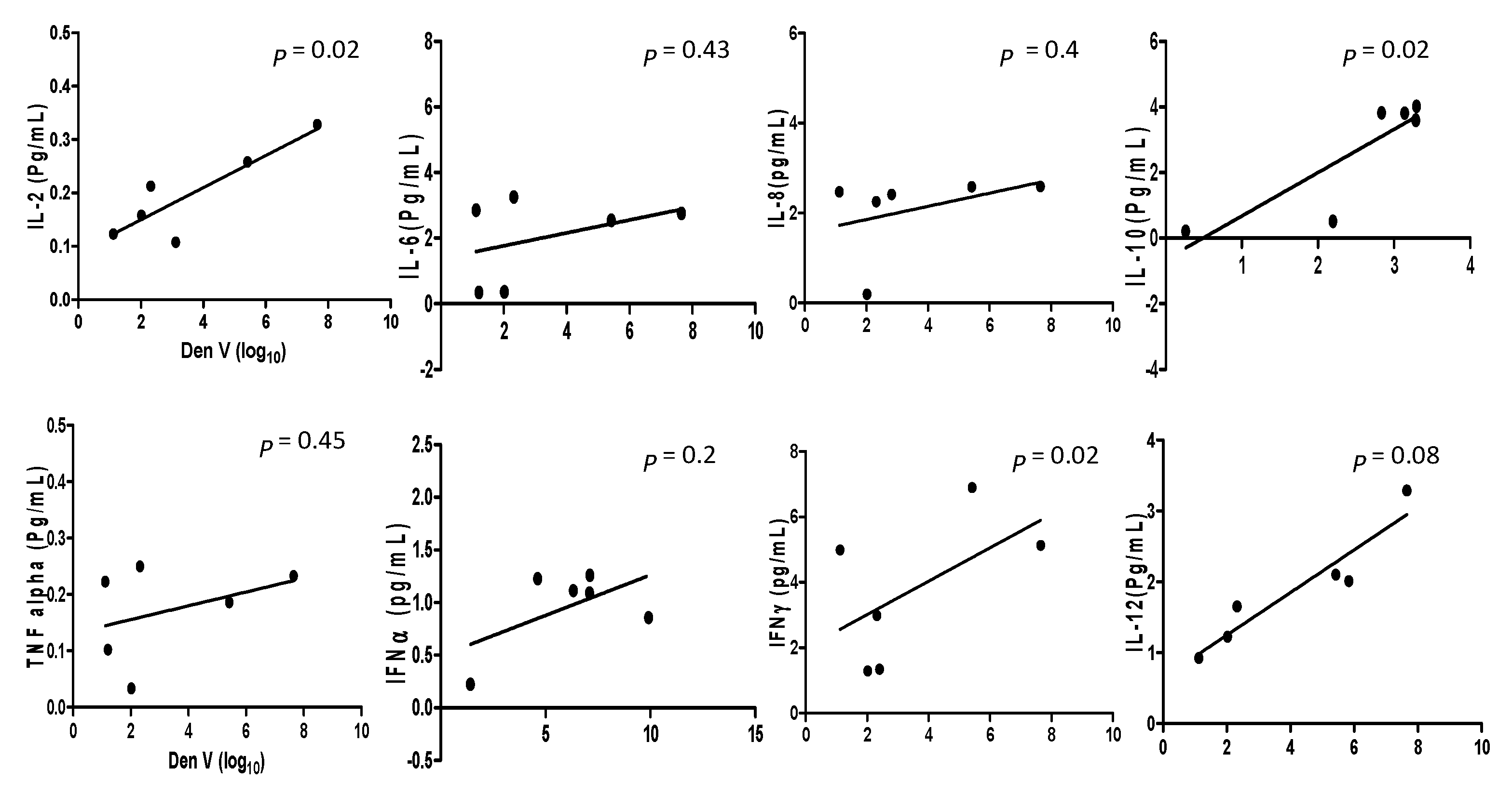
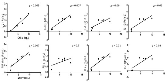
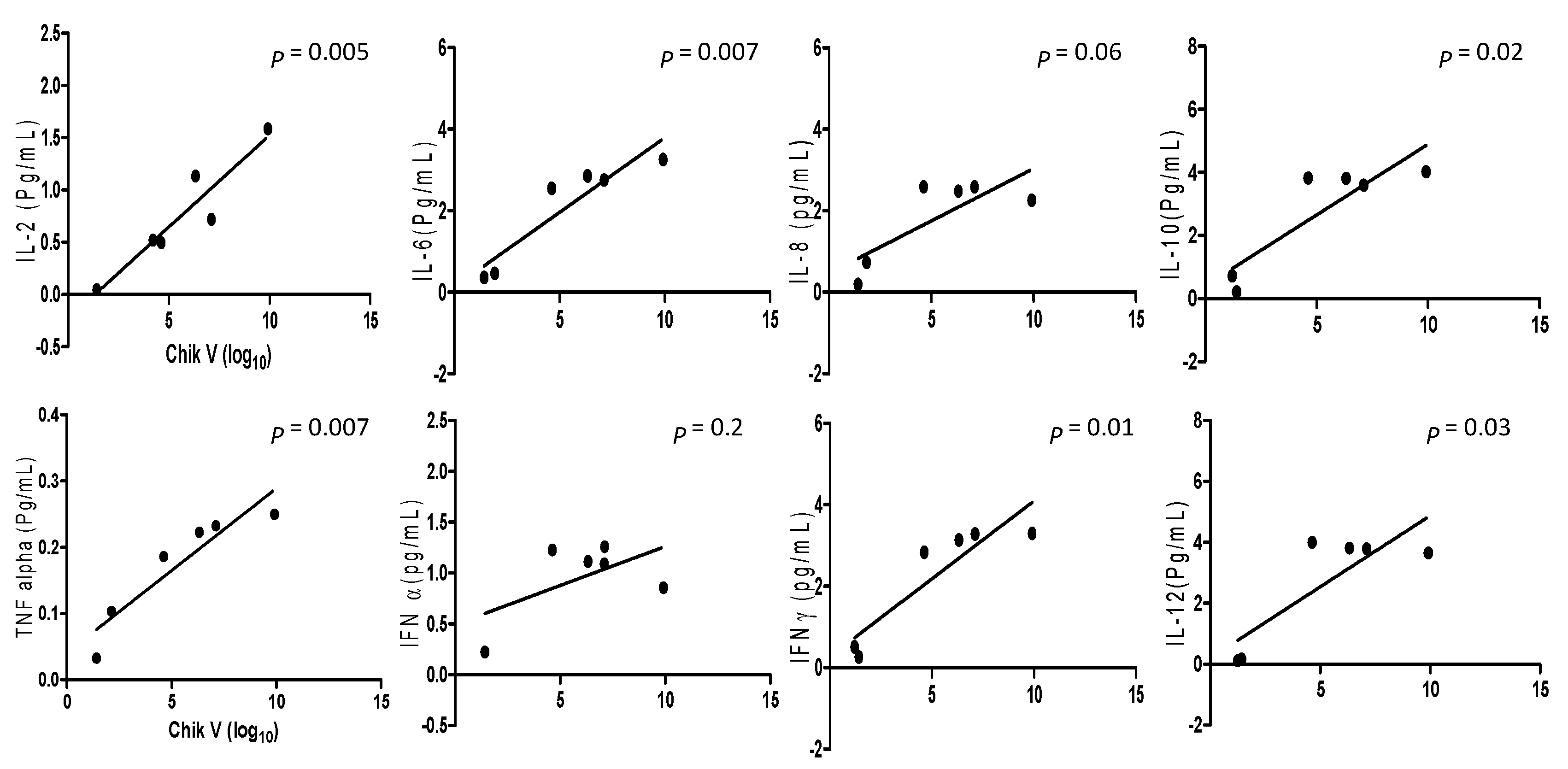
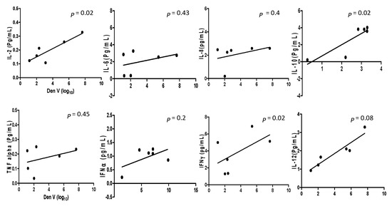
2.4. Correlation between DENV and CHIKV Viral Load and Inflammatory Cytokines
2.5. Comparison of Cytokine Level between DENV and CHIKV Co-Infection, DENV and CHIKV Mono-Infection
3. Discussion
4. Materials and Methods
4.1. Clinical Specimens
4.2. Sample Processing
4.3. Enzyme-Linked Immunosorbent Assay
4.3.1. IgM ELISA for CHIKV and DENGUE
4.3.2. IgG ELISA for CHIKV and DENGUE
4.3.3. NS1 Antigen Detection for DENGUE Virus
4.4. RT-PCR for Chikungunya Virus by Employing a Sensitivity Improved Method
4.5. RT-PCR for Dengue Virus
4.6. Estimation of Viral Load
4.7. Genotyping
4.8. Immunoassay for Cytokine Expression
4.9. Statistical Analysis
5. Conclusions
Supplementary Materials
Author Contributions
Funding
Institutional Review Board Statement
Informed Consent Statement
Data Availability Statement
Acknowledgments
Conflicts of Interest
References
- Vikram, L.; Sachee, A.; Nilima, V.; Seema, K.; Shashtri, J.S.; Sujatha, S. Dengue and Chikungunya virus co-infections: The inside story. J. Assoc. Physicians India 2016, 64, 36–40. [Google Scholar]
- Dhara, V.R.; Schramm, P.J.; Luber, G. Climate change and infectious diseases in India: Implications for health care providers. Indian J. Med. Res. 2013, 138, 847. [Google Scholar] [PubMed]
- Guzman, M.G.; Kouri, G. Dengue: An update. Lancet Infect. Dis. 2002, 2, 33–42. [Google Scholar] [CrossRef]
- Gubler, D.J. Dengue, urbanization and globalization: The unholy trinity of the 21st century. Trop. Med. Health 2011, 39, S3–S11. [Google Scholar] [CrossRef]
- Undurraga, E.A.; Halasa, Y.A.; Shepard, D.S. Use of expansion factors to estimate the burden of dengue in Southeast Asia: A systematic analysis. PLoS Negl. Trop. Dis. 2013, 7, e2056. [Google Scholar] [CrossRef] [PubMed]
- Cardoso, F.D.; Rezende, I.M.D.; Barros, E.L.T.; Sacchetto, L.; Garcês, T.C.D.C.S.; Silva, N.I.O. Circulation of Chikungunya virus East-Central-South Africa genotype during an outbreak in 2016–17 in Piaui State, Northeast Brazil. Rev. Inst. Med. Trop. São Paulo. 2019, 61. [Google Scholar] [CrossRef] [PubMed]
- Fontaine, A.; Diouf, I.; Bakkali, N.; Missé, D.; Pagès, F.; Fusai, T.; Rogier, C.; Almeras, L. Implication of haematophagous arthropod salivary proteins in host-vector interactions. Parasites Vectors 2011, 4, 187. [Google Scholar] [CrossRef] [PubMed]
- Lee, V.J.; Chow, A.; Zheng, X.; Carrasco, L.R.; Cook, A.R.; Lye, D.C.; Ng, L.C.; Leo, Y.S. Simple clinical and laboratory predictors of Chikungunya versus dengue infections in adults. PLoS Negl. Trop. Dis. 2012, 6, e1786. [Google Scholar] [CrossRef] [PubMed]
- Caminade, C.; McIntyre, K.M.; Jones, A.E. Impact of recent and future climate change on vector-borne diseases. Ann. N. Y. Acad. Sci. 2019, 1436, 157. [Google Scholar] [CrossRef]
- Lee, V.J.; Lye, D.C.; Sun, Y.; Fernandez, G.; Ong, A.; Leo, Y.S. Predictive value of simple clinical and laboratory variables for dengue hemorrhagic fever in adults. J. Clin. Virol. 2008, 42, 34–39. [Google Scholar] [CrossRef] [PubMed]
- Paixão, E.S.; Teixeira, M.G.; Rodrigues, L.C. Zika, chikungunya and dengue: The causes and threats of new and re-emerging arboviral diseases. BMJ Glob. Health 2018, 3 (Suppl. 1), e000530. [Google Scholar] [CrossRef]
- Nimmannitya, S.; Halstead, S.B.; Cohen, S.N.; Margiotta, M.R. Dengue and chikungunya virus infection in man in Thailand, 1962–1964. Am. J. Trop. Med. Hyg. 1969, 18, 954–971. [Google Scholar] [CrossRef] [PubMed]
- Halstead, S.Á.; Nimmannitya, S.; Cohen, S. Observations related to pathogenesis of dengue hemorrhagic fever. IV. Relation of disease severity to antibody response and virus recovered. Yale J. Biol. Med. 1970, 42, 311. [Google Scholar] [PubMed]
- Heinze, G.; Schemper, M. A solution to the problem of separation in logistic regression. Stat. Med. 2002, 21, 409–419. [Google Scholar] [CrossRef] [PubMed]
- David, A.M.; Alexandra, C.I.D.; Paul, R.Y. Clinical and laboratory diagnosis of dengue virus infection. J. Infect. Dis. 2017, 215, S89–S95. [Google Scholar]
- Sanchez-Arcila, J.C.; Badolato-correa, J.; de Souza, T.M.A.; Paiva, I.A.; Barbosa, L.S.; Nunes, P.C.G.; Lima, M.R.Q.; dos Santos, F.B.; Damasco, P.V.; da Cunha, R.V.; et al. DENV, ZIKV, and/or CHIKV-infected Brazilian patients. Intervirology 2020, 63, 33–45. [Google Scholar] [CrossRef] [PubMed]
- Peeling, R.W.; Mabe, D. Point-of-care tests for diagnosing infections in the developing world. Clin. Microbiol. Inf. 2010, 16, 1062–1069. [Google Scholar] [CrossRef]
- Reddy, V.; Mani, R.S.; Desai, A.; Ravi, V. Correlation of plasma viral loads and presence of Chikungunya IgM antibodies with cytokine/chemokine levels during acute Chikungunya virus infection. J. Med. Virol. 2014, 86, 1393–1401. [Google Scholar] [CrossRef]
- Chahar, H.S.; Bharaj, P.; Dar, L.; Guleria, R.; Kabra, S.K.; Broor, S. Co-infections with chikungunya virus and dengue virus in Delhi, India. Emerg. Infect. Dis. 2009, 15, 1077. [Google Scholar] [CrossRef]
- Kumar, D.; Verma, R.K.; Singh, A.; Kumar, M.; Singh, D.P.; Pandey, R.; Krishnappa, K. Evaluation of NS1, IgM ELISA and RT-PCR in diagnosis of dengue fever. Int. J. Res. Med. Sci. 2018, 6, 2440–2443. [Google Scholar] [CrossRef]
- Gubler, D.; Kuno, G.; Sather, G.; Waterman, S. A case of natural concurrent human infection with two dengue viruses. Am. J. Trop. Med. Hyg. 1985, 34, 170–173. [Google Scholar] [CrossRef]
- Bharaj, P.; Chahar, H.S.; Pandey, A.; Diddi, K.; Dar, L.; Guleria, R.; Kabra, S.K.; Broor, S. Concurrent infections by all four dengue virus serotypes during an outbreak of dengue in 2006 in Delhi, India. Virol. J. 2008, 5, 1. [Google Scholar] [CrossRef]
- Myers, R.M.; Carey, D.E. Concurrent isolation from patient of two arboviruses, Chikungunya and dengue type 2. Science 1967, 157, 1307–1308. [Google Scholar] [CrossRef]
- Yergolkar, P.N.; Tandale, B.V.; Arankalle, V.A.; Sathe, P.S.; Sudeep, A.B.; Gandhe, S.S.; Gokhle, M.D.; Jacob, G.P.; Hundekar, S.L.; Mishra, A.C. Chikungunya outbreaks caused by African genotype, India. Emerg. Infect. Dis. 2006, 12, 1580–1583. [Google Scholar] [CrossRef]
- Furuya-Kanamori, L.; Liang, S.; Milinovich, G.; Magalhaes, R.J.S.; Clements, A.C.; Hu, W.; Brasil, P.; Frentiu, F.D.; Dunning, R.; Yakob, L. Co-distribution and co-infection of chikungunya and dengue viruses. BMC Infect. Dis. 2016, 16, 1–11. [Google Scholar] [CrossRef] [PubMed]
- Rodriguez-Morales, A.J.; Villamil-Gómez, W.E.; Franco-Paredes, C. The arboviral burden of disease caused by co-circulation and co-infection of dengue, chikungunya and Zika in the Americas. Travel Med. Infect Dis. 2016, 14, 177–179. [Google Scholar] [CrossRef] [PubMed]
- Vogels, C.B.F.; Rückert, C.; Cavany, S.M.; Perkins, T.A.; Ebel, G.D.; Grubaugh, N.D. Arbovirus coinfection and co-transmission: A neglected public health concern? PLoS Biol. 2019, 17, e3000130. [Google Scholar] [CrossRef] [PubMed]
- Rojas, J.M.; Avia, M.; Martín, V.; Sevilla, N. IL-10: A Multifunctional cytokine in viral infections. J. Immunol. Res. 2017, 6104054. [Google Scholar] [CrossRef]
- Schaible, H.G.; von Banchet, G.S.; Boettger, M.K.; Bräuer, R.; Gajda, M.; Richter, F.; Hensellek, S.; Brenn, D.; Natura, G. The role of proinflammatory cytokines in the generation and maintenance of joint pain. Ann. N. Y. Acad. Sci. 2010, 1193, 60–69. [Google Scholar] [CrossRef] [PubMed]
- Cronstein, B.N. Interleukin-6--a key mediator of systemic and local symptoms in rheumatoid arthritis. Bull. NYU Hosp. Jt. Dis. 2007, 65 (Suppl. 1), S11–S15. [Google Scholar] [PubMed]
- Deshmane, S.L.; Kremlev, S.; Amini, S.; Sawaya, B.E. Monocyte chemoattractant protein-1 [MCP-1]: An overview. J. Interferon Cytokine Res. 2009, 29, 313–326. [Google Scholar] [CrossRef] [PubMed]
- Kelvin, A.A.; Banner, D.; Silvi, G.; Moro, M.L.; Spataro, N.; Gaibani, P.; Cavrini, F.; Pierro, A.; Rossini, G.; Cameron, M.J.; et al. Inflammatory cytokine expression is associated with chikungunya virus resolution and symptom severity. PLoS Negl. Trop. Dis. 2011, 5, e1279. [Google Scholar] [CrossRef] [PubMed]
- Silva, M.R.; Briseño, J.A.A.; Upasani, V.; van der Ende-Metselaar, H.; Smit, J.M.; Rodenhuis-Zybert, I.A. Suppression of chikungunya virus replication and differential innate responses of human peripheral blood mononuclear cells during co-infection with dengue virus. PLOS Negl. Trop. Dis. 2017, 11, e0005712. [Google Scholar]
- Weaver, S.C.; Osorio, J.E.; Livengood, J.A.; Chen, R.; Stinchcomb, D.T. Chikungunya virus and prospects for a vaccine. Expert Rev. Vaccines 2012, 11, 1087–1101. [Google Scholar] [CrossRef]
- Chang, A.Y.; Tritsch, S.; Reid, S.P.; Martins, K.; Encinales, L.; Pacheco, N.; Amdur, R.L.; Porras-Ramirez, A.; Rico-Mendoza, A.; Li, G.; et al. The cytokine profile in acute chikungunya infection is predictive of chronic arthritis 20 months post infection. Diseases 2018, 6, 95. [Google Scholar] [CrossRef]
- Jain, J.; Nayak, K.; Tanwar, N.; Gaind, R.; Gupta, B.; Shastri, J.S.; Bhatnagar, R.K.; Kaja, M.K.; Chandele, A.; Sunil, S. Clinical, Serological, and virological analysis of 572 Chikungunya patients from 2010 to 2013 in India. Clin. Infect. Dis. 2017, 65, 133–140. [Google Scholar] [CrossRef]
- Sathish, N.; Manayani, D.; Shankar, V.; Abraham, M. Comparison of IgM capture ELISA with a commercial rapid immunochromatographic card test and IgM microwell ELISA for the detection of antibodies to dengue viruses. Ind. J. Med. Res. 2002, 115, 31. [Google Scholar]
- Shanthi, G.; Purushothaman, I.; Rajarajan, S. Phylogenetic analysis of Dengue Virus Serotype 1 isolated from clinically suspected pediatric patients in Chennai, Tamilnadu. Int. J. Adv. Biotech. Res. 2016, 7, 106–111. [Google Scholar]
- Tuekprakhon, A.; Puiprom, O.; Sasaki, T.; Michiels, J.; Bartholomeeusen, K.; Nakayama, E.E.; Meno, M.K.; Phadungsombat, J.; Huits, R.; Ariën, K.K.; et al. Broad-spectrum monoclonal antibodies against chikungunya virus structural proteins: Promising candidates for antibody-based rapid diagnostic test development. PLoS ONE 2018, 13, e0208851. [Google Scholar] [CrossRef] [PubMed]
- Harder, T.C.; Harder, M.; Vos, H.; Kulonen, K.; Kennedy-Stoskopf, S.; Liess, B.; Appel, M.J.; Osterhaus, A.D. Characterization of phocid herpesvirus-1 and -2 as putative alpha- and gammaherpesviruses of North American and European pinnipeds. J. Gen. Virol. 1996, 77, 27–35. [Google Scholar] [CrossRef] [PubMed]
- Edwards, C.J.; Welch, S.R.; Chamberlain, J.; Hewson, R.; Tolley, H.; Cane, P.A.; Lloyd, G. Molecular diagnosis and analysis of Chikungunya virus. J. Clin. Virol. 2007, 39, 271–275. [Google Scholar] [CrossRef] [PubMed]
- Amsen, D.; De Visser, K.E.; Town, T. Approaches to determine expression of inflammatory cytokines. Inflamm. Cancer 2009, 107–142. [Google Scholar] [CrossRef]



| Symptoms | Number of Cases | Percentage |
|---|---|---|
| Fever | 292 | 100 |
| Myalgia | 243 | 83.2 |
| Vomiting | 95 | 35.2 |
| Headache | 256 | 87.6 |
| Arthralgia | 266 | 84.9 |
| Hemorrhagic manifestation with petechiae | 212 | 72.6 |
| Diarrhea | 25 | 8.5 |
| Hematuria | 12 | 4.1 |
| Skin rashes | 14 | 4.7 |
| Control Mean ± SD (Pg/mL) | CHIKV Infected Patients Group Mean ± SD | DENV Infected Patients Group Mean ± SD | DENV and CHIKV Co-Infected Patient Group Mean ± SD | |
|---|---|---|---|---|
| IL-2 | 11.08 ± 10.05 | 7.2 ± 6.4 | 16.25 ± 10.19 | 17.44 ± 13.19 |
| IL-6 | 12.9 ± 11.4 | 15.2 ± 94.9 | 16.4 ± 11.0 | 18.27 ± 12.42 |
| IL-8 | 5.3 ± 1.8 | 5.4 ± 2.8 | 9.09 ± 1.4 | 8.88 ± 3.53 |
| IL-10 | 1.2 ± 0.8 | 4.7 ± 4.5 | 3.7 ± 2.5 | 5.01 ± 3.92 |
| TNF-α | 1.2 ± 0.8 | 2.6 ± 5.9 | 1.5 ± 0.9 | 2.18 ± 0.079 |
| IFN-α | 0.6 ± 0.2 | 7.8 ± 9.4 | 11.6 ± 9.6 | 12.92 ± 10.38 |
| IFN-γ | 3.12 ± 2.1 | 15.2 ± 4.5 | 4.4 ± 4.3 | 3.91 ± 2.32 |
| IL-12 | 9.7 ± 8.5 | 8.8 ± 7.4 | 12.63 ± 10.6 | 16.05 ± 12.46 |
Publisher’s Note: MDPI stays neutral with regard to jurisdictional claims in published maps and institutional affiliations. |
© 2021 by the authors. Licensee MDPI, Basel, Switzerland. This article is an open access article distributed under the terms and conditions of the Creative Commons Attribution (CC BY) license (http://creativecommons.org/licenses/by/4.0/).
Share and Cite
Krishnan, S.M.; Mahalingam, J.; Sabarimurugan, S.; Muthu, T.; Venkidasamy, B.; Krishnasamy, K.; Sharma, A.; Ramalingam, S. Comparison of Cytokine Expression Profile in Chikungunya and Dengue Co-Infected and Mono-Infected Patients’ Samples. Pathogens 2021, 10, 166. https://doi.org/10.3390/pathogens10020166
Krishnan SM, Mahalingam J, Sabarimurugan S, Muthu T, Venkidasamy B, Krishnasamy K, Sharma A, Ramalingam S. Comparison of Cytokine Expression Profile in Chikungunya and Dengue Co-Infected and Mono-Infected Patients’ Samples. Pathogens. 2021; 10(2):166. https://doi.org/10.3390/pathogens10020166
Chicago/Turabian StyleKrishnan, Saravana Murali, Jayashri Mahalingam, Shanthi Sabarimurugan, Thiruvengadam Muthu, Baskar Venkidasamy, Kaveri Krishnasamy, Ashutosh Sharma, and Sathishkumar Ramalingam. 2021. "Comparison of Cytokine Expression Profile in Chikungunya and Dengue Co-Infected and Mono-Infected Patients’ Samples" Pathogens 10, no. 2: 166. https://doi.org/10.3390/pathogens10020166
APA StyleKrishnan, S. M., Mahalingam, J., Sabarimurugan, S., Muthu, T., Venkidasamy, B., Krishnasamy, K., Sharma, A., & Ramalingam, S. (2021). Comparison of Cytokine Expression Profile in Chikungunya and Dengue Co-Infected and Mono-Infected Patients’ Samples. Pathogens, 10(2), 166. https://doi.org/10.3390/pathogens10020166

