Porcine Gammaherpesviruses in Italian Commercial Swine Population: Frequent but Harmless
Abstract
1. Introduction
2. Results
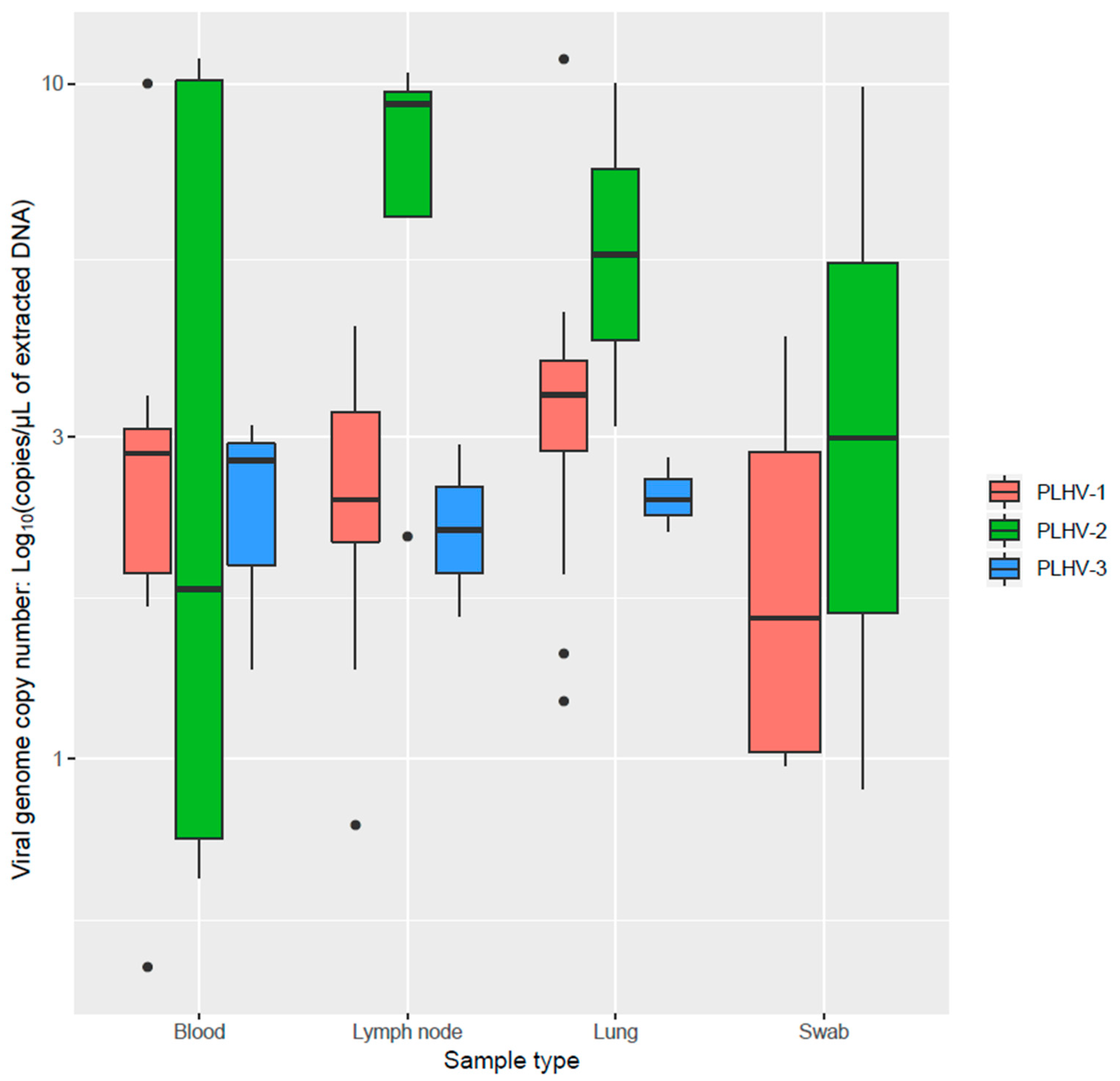
2.1. Infection Frequency and Viral Genome Quantification
2.2. Association with Different Clinical Conditions and Sample Types
3. Discussion
4. Materials and Methods
4.1. Samples
4.2. Real-Time PCR Assays
4.3. Statistical Analysis
Author Contributions
Funding
Institutional Review Board Statement
Informed Consent Statement
Data Availability Statement
Conflicts of Interest
References
- Müller, T.; Hahn, E.C.; Tottewitz, F.; Kramer, M.; Klupp, B.G.; Mettenleiter, T.C.; Freuling, C. Pseudorabies virus in wild swine: A global perspective. Arch. Virol. 2011, 156, 1691–1705. [Google Scholar] [CrossRef] [PubMed]
- Plowright, W.; Edington, N.; Watt, R.G. The behaviour of porcine cytomegalovirus in commercial pig herds. Epidemiol. Infect. 1976, 76, 125–135. [Google Scholar] [CrossRef] [PubMed]
- Ehlers, B.; Ulrich, S.; Goltz, M. Detection of two novel porcine herpesviruses with high similarity to gammaherpesviruses. J. Gen. Virol. 1999, 80, 971–978. [Google Scholar] [CrossRef] [PubMed]
- Chmielewicz, B.; Goltz, M.; Franz, T.; Bauer, C.; Brema, S.; Ellerbrok, H.; Beckmann, S.; Rziha, H.J.; Lahrmann, K.H.; Romero, C.; et al. A novel porcine gammaherpesvirus. Virology 2003, 308, 317–329. [Google Scholar] [CrossRef]
- Meng, X.J. Emerging and Re-emerging Swine Viruses. Transbound. Emerg. Dis. 2012, 59, 85–102. [Google Scholar] [CrossRef] [PubMed]
- Mueller, N.J.; Kuwaki, K.; Knosalla, C.; Dor, F.J.; Gollackner, B.; Wilkinson, R.A.; Arn, S.; Sachs, D.H.; Cooper, D.K.C.; Fishman, J.A. Early weaning of piglets fails to exclude porcine lymphotropic herpesvirus. Xenotransplantation 2005, 12, 59–62. [Google Scholar] [CrossRef] [PubMed]
- McMahon, K.J.; Minihan, D.; Campion, E.M.; Loughran, S.T.; Allan, G.; McNeilly, F.; Walls, D. Infection of pigs in Ireland with lymphotropic γ-herpesviruses and relationship to postweaning multisystemic wasting syndrome. Vet. Microbiol. 2006, 116, 60–68. [Google Scholar] [CrossRef] [PubMed]
- Huang, C.A.; Fuchimoto, Y.; Gleit, Z.L.; Ericsson, T.; Griesemer, A.; Scheier-Dolberg, R.; Melendy, E.; Kitamura, H.; Fishman, J.A.; Ferry, J.A.; et al. Posttransplantation lymphoproliferative disease in miniature swine after allogeneic hematopoietic cell transplantation: Similarity to human PTLD and association with a porcine gammaherpesvirus. Blood 2001, 97, 1467–1473. [Google Scholar] [CrossRef] [PubMed]
- Tucker, A.W.; McNeilly, F.; Meehan, B.; Galbraith, D.; McArdle, P.D.; Allan, G.; Patience, C. Methods for the exclusion of circoviruses and gammaherpesviruses from pigs. Xenotransplantation 2003, 10, 343–348. [Google Scholar] [CrossRef] [PubMed]
- Chmielewicz, B.; Goltz, M.; Lahrmann, K.H.; Ehlers, B. Approaching virus safety in xenotransplantation: A search for unrecognized herpesviruses in pigs. Xenotransplantation 2003, 10, 349–356. [Google Scholar] [CrossRef] [PubMed]
- Klaumann, F.; Correa-Fiz, F.; Franzo, G.; Sibila, M.; Núñez, J.I.; Segalés, J. Current knowledge on Porcine circovirus 3 (PCV-3): A novel virus with a yet unknown impact on the swine industry. Front. Vet. Sci. 2018, 5, 315. [Google Scholar] [CrossRef] [PubMed]
- Palinski, R.; Piñeyro, P.; Shang, P.; Yuan, F.; Guo, R.; Fang, Y.; Byers, E.; Hause, B.M. A Novel Porcine Circovirus Distantly Related to Known Circoviruses Is Associated with Porcine Dermatitis and Nephropathy Syndrome and Reproductive Failure. J. Virol. 2017, 91, 1–13. [Google Scholar] [CrossRef] [PubMed]
- Franzo, G.; Legnardi, M.; Tucciarone, C.M.; Drigo, M.; Klaumann, F.; Sohrmann, M.; SegalÉs, J. Porcine circovirus type 3: A threat to the pig industry? Vet. Rec. 2018, 182, 83. [Google Scholar] [CrossRef] [PubMed]
- Franzo, G.; Tinello, S.; Grassi, L.; Tucciarone, C.M.; Legnardi, M.; Cecchinato, M.; Dotto, G.; Mondin, A.; Martini, M.; Pasotto, D.; et al. Free to circulate: An update on the epidemiological dynamics of porcine circovirus 2 (PCV-2) in Italy reveals the role of local spreading, wild populations, and Foreign countries. Pathogens 2020, 9, 221. [Google Scholar] [CrossRef] [PubMed]
- Darwich, L.; Segalés, J.; Mateu, E. Pathogenesis of postweaning multisystemic wasting syndrome caused by Porcine circovirus 2: An immune riddle. Arch. Virol. 2004, 149, 857–874. [Google Scholar] [CrossRef] [PubMed]
- Kekarainen, T.; Segalés, J. Porcine circovirus 2 immunology and viral evolution. Porc. Health Manag. 2015, 1, 17. [Google Scholar] [CrossRef] [PubMed]
- Franzo, G.; Legnardi, M.; Centelleghe, C.; Tucciarone, C.M.; Cecchinato, M.; Cortey, M.; Segalés, J.; Drigo, M. Development and validation of direct PCR and quantitative PCR assays for the rapid, sensitive, and economical detection of porcine circovirus 3. J. Vet. Diagn. Investig. 2018, 30, 538–544. [Google Scholar] [CrossRef] [PubMed]

| PLHV-1 | PLHV-2 | PLHV-3 | PCV-2 | PCV3 | TOTAL | |
|---|---|---|---|---|---|---|
| PLHV-1 | 5 | 7 | 25 | 5 | 42 | |
| PLHV-2 | 2.84% | 0 | 3 | 2 | 5 | |
| PLHV-3 | 3.97% | 0% | 4 | 1 | 5 | |
| PCV-2 | 14.20% | 1.70% | 2.27% | 5 | 5 | |
| PCV-3 | 2.84% | 1.13% | 0.56% | 2.83% | 12 | |
| TOTAL | 23.85% | 2.83% | 2.83% | 2.83% | 6.82% | 69/176 (39.2%) |
| Healthy | Systemic | Respiratory | Reproductive | |
|---|---|---|---|---|
| PLHV-1 | 25/101 (24.75%) | 17/43 (39.53%) | 8/24 (33.33%) | 1/8 (12.5%) |
| PLHV-2 | 8/101 (7.92%) | 8/43 (18.6%) | 3/24 (12.5%) | 0/8 (0%) |
| PLHV-3 | 4/101 (3.96%) | 2/43 (4.64%) | 1/24 (4.16%) | 1/8 (12.5%) |
| PCV-2 | 42/101 (41.58%) | 21/43 (48.83%) | 7/24 (29.16%) | 2/8 (25%) |
| PCV-3 | 7/101 (6.93%) | 5/43 (11.62%) | 1/24 (4.16%) | 1/8 (12. 5%) |
Publisher’s Note: MDPI stays neutral with regard to jurisdictional claims in published maps and institutional affiliations. |
© 2021 by the authors. Licensee MDPI, Basel, Switzerland. This article is an open access article distributed under the terms and conditions of the Creative Commons Attribution (CC BY) license (http://creativecommons.org/licenses/by/4.0/).
Share and Cite
Franzo, G.; Drigo, M.; Legnardi, M.; Grassi, L.; Menandro, M.L.; Pasotto, D.; Cecchinato, M.; Tucciarone, C.M. Porcine Gammaherpesviruses in Italian Commercial Swine Population: Frequent but Harmless. Pathogens 2021, 10, 47. https://doi.org/10.3390/pathogens10010047
Franzo G, Drigo M, Legnardi M, Grassi L, Menandro ML, Pasotto D, Cecchinato M, Tucciarone CM. Porcine Gammaherpesviruses in Italian Commercial Swine Population: Frequent but Harmless. Pathogens. 2021; 10(1):47. https://doi.org/10.3390/pathogens10010047
Chicago/Turabian StyleFranzo, Giovanni, Michele Drigo, Matteo Legnardi, Laura Grassi, Maria Luisa Menandro, Daniela Pasotto, Mattia Cecchinato, and Claudia Maria Tucciarone. 2021. "Porcine Gammaherpesviruses in Italian Commercial Swine Population: Frequent but Harmless" Pathogens 10, no. 1: 47. https://doi.org/10.3390/pathogens10010047
APA StyleFranzo, G., Drigo, M., Legnardi, M., Grassi, L., Menandro, M. L., Pasotto, D., Cecchinato, M., & Tucciarone, C. M. (2021). Porcine Gammaherpesviruses in Italian Commercial Swine Population: Frequent but Harmless. Pathogens, 10(1), 47. https://doi.org/10.3390/pathogens10010047

