Abstract
In 2000, the United Nations adopted the Millennium Development Goals (MDGs), a set of eight global development goals to be achieved between 2000 and 2015. We estimated the Lorenz Curve and Gini Index for determining any changes in inequality at the global level with countries as a unit of analysis for eight development indicators (proportion of population undernourished, school enrollment rates, the percentage of women in parliament, infant mortality rates, maternal mortality rates, HIV (Human Immunodeficiency Virus) rates, access to improved water sources, and access to a cellular device), representing one MDG each. All of the selected indicators improved on average between 2000 and 2015. An average improvement in an indicator does not necessarily imply a decrease in inequality. For instance, the average infant mortality rate decreased from 39.17 deaths per 1000 births in 2000 to 23.40 in 2015, but the Gini Index remained almost stable over the same period, suggesting no reduction in inequality among countries. For other indicators, inequality among countries decreased at varying rates. A significant data gap existed across countries. For example, only 91 countries had data on primary school enrollment rates in 2000 and 2015. We emphasize developing a global data collection and analysis protocol for measuring the impacts of global development programs, especially in reducing inequality across social, economic, and environmental indicators. This study will feed into currently enacted Sustainable Development Goals (SDGs) for ensuring more inclusive and equitable growth worldwide.
1. Introduction
The Millennium Development Goals (MDGs) were a set of eight global development goals adopted by the United Nations (UN), where each goal had a subset of targets and specific indicators for measuring the attainment status of goals at the national level during the 15-year (2000 to 2015) implementation period (United Nations 2015a). The eight goals of the MDGs included the eradication of extreme poverty and hunger, universal primary education, gender equality and the empowerment of women, the reduction of child mortality, the improvement of maternal health, the combatting of HIV (Human Immunodeficiency Virus)/AIDS (Acquired Immune Deficiency Syndrome), malaria, and other diseases, environmental sustainability, and a global partnership for development. Based on the success of MDGs in achieving global development worldwide, the UN adopted a new set of 17 global goals in 2015 called the Sustainable Development Goals (SDGs) for ending poverty, protecting the planet, and ensuring prosperity for all between 2016 and 2030 (United Nations 2015a).
Goal 10 of the SDGs focuses on “Reducing Inequality Within and Among Countries” by empowering and promoting the social, economic and political inclusion of all, irrespective of age, sex, disability, race, origin, religion or economic or other status through the adoption of better policies, streamlining regulations, the monitoring of global financial markets, and the better targeting of development-related investments (United Nations 2016). The development indicators given by the UN mostly consider levels of inequality within countries. In this context, this study analyzes the progress made during the implementation phase of the MDGs at the global level based on an analysis that uses country-level data for eight selected development indicators. Then, it determines inequality embedded in the selected indicators among countries using the Gini Index and Lorenz Curve. The results of our study are crucial for comparing the average success to the success related to reducing inequality among countries for an MDG indicator, thereby giving us a better understanding of disparities among countries relative to their geographical locations and income status. This understanding will optimize resources for achieving Goal 10 of the SDGs, while particularly assessing inequality among countries. This is especially true as, originally, the MDGs did not contain an equivalent to Goal 10 as it is presented in the SDGs, though equitable development was an underlying theme across MDGs (Vandemoortele 2005). Our study will feed into SDGs to ensure an inclusive and equitable development worldwide.
2. Literature Review
Several studies have deliberated on the achievements made during the implementation period of MDGs at the global level. A 2014 MDG Report (United Nations 2014) found high levels of improvement in MDGs related to reduced poverty, child mortality, and increased universal education. French (2016) discussed the degree to which the MDGs reduced child mortality worldwide, finding that the annual declines were on track with the pre-MDG trends. The study suggested a thorough analysis of the results of MDGs to properly implement and make progress on the SDGs. Manning (2010) credited the MDGs as an influential set of developmental targets that improved the lives of people globally but argues that many changes in approach must occur to ensure the long-term impacts of future development goals.
Many studies have explored the reasons behind the variability in outcomes of the MDGs for a country or region during the implementation period. Reddy and Sen (2013) explored the possible explanations for the lack of success by three countries (Mexico, India, and Nigeria) in achieving poverty and health goals, finally attributing the failure of these countries to understanding the interconnectivity between each of the eight goals. Oleribe and Taylor-Robinson (2016) discussed the potential explanations for the lack of success in meeting MDGs for Nigeria, citing bureaucracy, a poor healthcare system, and the lack of baseline data, as well as the lack of proper evaluations. Abbott et al. (2017) found improvements in Rwanda to be a function of strategic government planning and the incorporation of the MDGs in policy and government spending decisions. McClure et al. (2018) addressed the disparities of results in Cambodia between rural and urban regions, finding better outcomes in urban areas in the context of the attainment of MDGs. Martín et al. (2016) studied the progress in the least developed countries of Asia in achieving MDGs 4 (reducing child mortality) and 5 (improving maternal health). They emphasized that the progress was unevenly distributed among and within countries. Some studies discuss the impacts of the MDGs specifically on the African region, including Easterly (2009), who suggested that Africa failed to achieve MDGs’ goals, as the goals were numerical targets which were unattainable for this region to begin with. Sanga (2011) also attributed the MDG results in Africa to unattainable targets, as well as data gaps, insufficient official data, and the use of imputed or adjusted figures for specific countries.
A few studies have discussed the impacts of MDGs on a global scale, especially looking into indicators. Clemens et al. (2007) asserts that policies and efforts were weakened by the unavoidable “failure” of unattainable goals. This discouraged or minimized success in less developed countries by failing to provide reasonable targets. Fukuda-Parr et al. (2013) analyzed cross-country inequality issues related to MDGs, stating that indicators should be used as a measure of national performance, so as to focus on the pace of progress rather than on achieving the targets. Manning (2010) suggested ways for improving the SDGs, such as creating targets based on the current rates of progress, including a human rights dimension to all of the goals, and allowing for flexibility without straying from the core developmental goals. Jacob (2017) highlighted the impact of data collection and the data measurement gap on the actual and perceived results of the MDGs. Besides the general lack of data in some countries, having no baseline measurement for the pre-MDG levels of an indicator prevented the proper assessment of improvement. Many studies corroborate these findings by assessing a country’s success in relation to data availability. While Abbott et al. (2017) attributed the improvements in Rwanda to consistent data collection and measurement, Oleribe and Taylor-Robinson (2016) addressed the larger role of the missing data in Nigeria’s inability to succeed in attaining MDGs. The findings emphasized the need for proper and consistent data collection and measurement to ensure meeting or exceeding the SDGs.
No study, to the best of our understanding, has yet analyzed inequality among countries related to the progress made during the implementation period of MDGs worldwide. This type of analysis is crucial for developing a deeper understanding of the impacts of global development initiatives that could sharpen the approaches currently used for achieving the goals as set in the SDGs (Jacob 2017). In this context, we first estimate the changes in eight development indicators, each of which corresponds to an MDG, during the implementation period of the MDGs. We then assess inequality related to these indicators at the global level, with countries as a unit of analysis. This study will provide the much-needed baseline information on the status of global inequality in the context of indicators related to MDGs, and suitably guide future research in measuring and evaluating inequality related to the attainment of the SDGs over the implementation period.
3. Methods
When the MDGs were implemented, the UN created a list of indicators to measure the success of each goal, as well as a dataset storing the available data on these indicators for each country (United Nations Statistics Division 2008). Ideally, an analysis of the results of the MDGs should use the UN dataset for consistency, but the data availability of recent years (2014–2018) for selected indicators created limitations (Table 1). This is especially true as the current study was designed to analyze development indicators before and after the implementation period of the MDGs and needed data specifically for 2000 and 2015; as a result, we were unable to use the UN dataset for the analysis for seven out of eight selected indicators. The only indicator with sufficient data in the UN database was the proportion of a country’s population that is undernourished, as this was the only indicator which had data in both years for over 100 countries. For other seven selected development indicators, we used the World Development Indicators Database available from The World Bank (The World Bank 2019) based on the indicators given by the UN.
Table 1.
Millennium Development Goals (MDGs), selected development indicator, indicator definition, support for the choice of indicator, other United Nations (UN) indicators for that goal, and the related UN target number.
The indicators were chosen based on several criteria; the relation to given UN indicators, data availability, and understandability. Each of the development indicators that was used was listed by the UN, but some were more explicit than others. For example, we used the first indicator listed by the UN (net primary enrollment) to discuss the goal of universal primary education. Conversely, we used the proportion of seats held by women in parliament to assess the goal of gender equality, which was the last of three indicators listed by the UN. The other indicators for gender equality included the ratio of boys to girls in primary school and the share of women in non-agricultural wage employment, both of which had little data from both the UN and World Bank, making the used indicator the best option. Additionally, we used access to mobile devices as an indicator for representing MDG 8 because it was more understandable than other suggested UN indicators, such as the “proportion of bilateral official development assistance of OECD/DAC donors that is untied”, and it still gave an idea of the development of a global partnership through the spread of new technologies and communications during the implementation period. Despite these caveats, we believe that the selected indicators comprehensively represented several dimensions of development as reflected by the MDGs.
The 218 countries and major territories in The World Bank dataset are divided into seven regions: Europe and Central Asia, East Asia and the Pacific, Latin America and the Caribbean, Middle East and North Africa, North America, South Asia, and Sub-Saharan Africa. The countries were also sub-divided into four income groups: high-income, upper-middle income, lower-middle income, and low-income. We followed The World Bank dataset to divide the countries present in the UN dataset into regions and the income groups. We selected data for the years 2000 (Pre-MDG) and 2015 (Post-MDG) from the original databases for the analysis. We calculated the percentage change for the selected indicators between 2000 and 2015 for all the countries present in the World Bank and the UN dataset. To assess the success of the MDGs in reducing inequality for the selected indicators across regions and income levels, we used popular measures of Lorenz Curve (LC) and Gini Index (GI). The LC is a graphical representation of inequality and typically plots the cumulative percentage of a population against the cumulative percentage of income for each individual in that population (Langel and Tillé 2013). This curve is compared to a line of perfect equality, where the cumulative percentage of the population and income are equal for all values. As the distribution of income among the population becomes more equal, the LC will move closer to the line of perfect equality, i.e., the area between the LC and the line of perfect equality starts decreasing. The GI ranges between zero and one, zero being perfectly equal and one being perfectly unequal; that represents the area between the LC and the line of perfect equality.
We estimated the LC and calculated the GI for the years 2000 and 2015 to ascertain any changes in inequality among countries for each selected development indicator. Many studies have applied these calculations to address levels of inequality in different disciplines (Yang et al. 2019; Chowdhury et al. 2018; Alinia et al. 2018; Malakar et al. 2018; Saez et al. 2018; Stensrud and Valberg 2017). In this study, we use the cumulative percentage of a given indicator for each country to derive a global GI. For example, to ascertain the cumulative percentage of the infant mortality rate at the global level, we added up the values for each country, which were more than 7500 in 2000 and 4500 in 2015. Then the countries were sorted from the lowest rates to highest, and the cumulative percentage of infant mortality was found by adding up a country’s mortality rate with the rates of all previous countries and dividing by the total world mortality rates. Therefore, the y-axis in the LC would represent the cumulative percentage of the mortality rate, with the countryy=1 being the country with the highest infant mortality rate and the countryy=0 being the country with the lowest infant mortality rate.
4. Results
4.1. Average Results
Figure 1 summarizes the average global values for each selected indicator between 2000 and 2015. Each indicator has improved during this time frame, but some more significantly than others. For example, the percentage of the population with mobile cellular access increased from an average of 16.77% to 108.19% in 15 years, showing a rise of more than 545%. Conversely, school enrollment levels increased from an average of 86.67% enrollment in 2000 to only 90.66% in 2015. The average infant mortality rate and maternal mortality rate decreased significantly. The average infant mortality rate decreased from 39.17 deaths per 1000 births in 2000 to 23.4 in 2015, and the average maternal mortality rate decreased from 270.85 deaths per 100,000 births in 2000 to 168.7 in 2015. These are all positive results, but each indicator had several outlying countries with significant improvements. For example, the maternal mortality rate for Sierra Leonne was 1360 deaths per 100,000 births in 2015, while this value was 3 for Poland in the same year, indicating a need for a continued effort to improve on the indicator.
Figure 1.
Data summary of the selected eight development indicators, each representing one Millennium Development Goal (MDG).
The changes in the proportion of a population that is undernourished varied considerably. Although some countries, such as Azerbaijan, had incredible improvements (22.5% undernourished to less than 5% between 2000 and 2015), the worldwide average decrease was promising (16.1% in 2000 and 11.1% in 2015) as well. However, there were countries with increases in this indicator. Namibia had an increase in its undernourished population, going from 30.4% to 42.3% during the implementation period. Compared to the countries with an undernourished population of only 5% in 2015, these results suggest vast differences in living conditions across countries. The global average percentage of the population infected by the HIV indicator decreased from 2.29% to 1.99% between 2000 and 2015. The percentage of women in parliament increased from 12.58% to 22.17% between 2000 and 2015. In 2000, no country had the expected 50% of women in parliament, but in 2015 there were two countries (Bolivia and Rwanda) above this mark. Last, access to improved water sources increased from 81.65% to 87.13% over the 15-year implementation period.
4.2. Income Group and Regional Differences
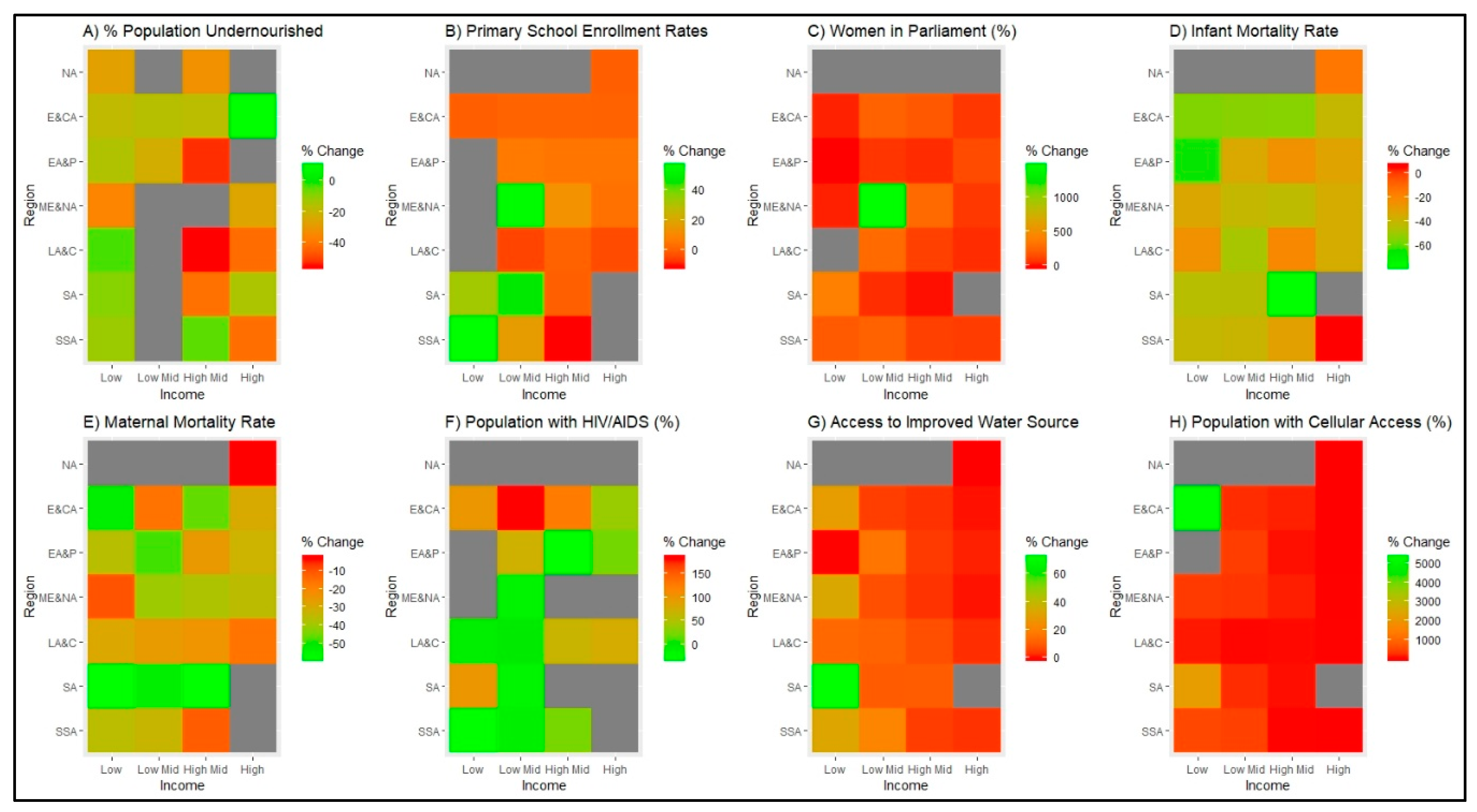
Table 2 shows the number of countries in The World Bank dataset for each income group and region. Figure 2 shows the changes in each indicator broken down by income group and region, with significant improvements shown in green and small improvements or declines shown in red. All selected indicators improved on average during the implementation period of MDGs, but these improvements varied across regions and income levels. For instance, the highest reduction in the undernourished population was observed in the upper-middle (e.g., Maldives) and low (e.g., Nepal) income countries located in the South Asian region by 60% and 53%, respectively. Conversely, the low-income countries in the East-Asian and Pacific region had an increase in the undernourished population of almost 10%. Similarly, access to mobile cellular devices increased by about 5320% in low-income countries located in the E&CA region during the implementation period, where an increase of 200% was found in high-income North American countries. The least improved indicator during the MDGs was the primary school enrollment rates, with a maximum increase of 55.91% in low-income countries in Sub-Saharan Africa and a maximum reduction of 11.31% in medium high-income countries in Sub-Saharan Africa. Overall, the percentage growth across other social and economic well-being development indicators was higher than the indicators of primary education during the implementation period. On average, the percentage increase was higher for developing or under-developed countries than in developed countries for the selected indicators. This could be easily attributed to the fact that developing or under-developed countries started with much lower attainment values in the year 2000 relative to developed countries.
Table 2.
Number of countries with data in 2000 and 2015 for each region based on income group.
Figure 2.
Percentage change for eight development indicators across seven world regions and four income categories before and after the 15-year implementation period (2000–2015) of the MDGs. North America (NA), Europe & Central Asia (E&CA), East Asia & Pacific (EA&P), Middle Eastern & North Africa (ME&NA), Latin America & Caribbean (LA&C), South Asia (SA), and Sub-Saharan Africa (SSA). To estimate the percentage changes, we used only those countries for which data were available both in 2000 and 2015. Green color indicates the regions and income groups with the highest improvements while red indicates those with the lowest improvements. The grey color indicates the lack of data to calculate the percentage change for an income group in a specific region.
4.3. Gini Index and Lorenz Curve
Figure 3 plots the LCs for all the indicators and reports the GIs corresponding to a LC for 2000 and 2015. Although noticeable shifts in LC were made during the implementation period for undernourished population, school enrollment, women in parliament, improved water sources, and cellular access indicators, many indicators had changes that were less notable. The LC for the infant mortality, maternal mortality, and HIV/AIDS indicators do not have clear shifts, making the change in inequality uncertain. Except for the indicator of infant mortality, the overall GI in 2015 was smaller than 2000 for all other selected indicators at the global level, indicating a decrease in inequality among countries for these indicators. For instance, the GI for the indicator of undernourished population changed from 0.45 in 2000 to 0.41 in 2015, suggesting a reduced inequality in economic development across countries over the implementation period. Like many of the indicators, this decrease in inequality was small compared to the increase in average values. Similarly, the GIs for the maternal mortality and HIV/AIDS indicators decreased by 0.15% and 1.8%, respectively. There were some indicators with significant decreases in inequality, represented by a decrease in the GI. The GI for the primary school enrollment decreased by more than 40%, going from 0.091 in 2000 to 0.054 in 2015. The GI also decreased significantly for the indicators of women in parliament (18.8%) and access to improved water sources (30%). The GI decreased by over 70% for the indicator of access to mobile cellular devices, dropping from 0.66 in 2000 to 0.195 in 2015, indicating a vast spread of connectivity even in least-developing countries during the implementation period. Last, the only indicator to show an increase in inequality represented by an increase in the GI was the infant mortality rate, which went from 0.475 in 2000 to 0.481 in 2015, i.e., an increase of 1.3%.
Figure 3.
Lorenz Curves (LC) for eight development indicators in 2000 (represented by the continuous curve) and 2015 (represented by the dotted curve) relative to the line of Perfect Equality (represented by the straight line). The Gini Index (GI) assigns a numerical value on the Lorenz Curve, which allows for a comparison across selected indicators. The GI ranges from zero to one, with zero representing a perfectly equal distribution and one being a perfectly unequal distribution. To estimate the percentage changes, we used only those countries for which data were available both in 2000 and 2015.
5. Discussion
Consistent with other studies addressing the impacts of MDGs, this study finds improvements in global development indicators during the implementation period of MDGs (United Nations 2014, 2015a, 2015b). The indicator with the most significant improvement on average was cellular access, and the indicator with the smallest improvement was the school enrollment rate. We found promising aggregate results in the Sub-Sahara African, South Asian, and East Asian & Pacific regions, consistent with the results of previous studies focusing on the impacts of the MDGs in low-income countries (Cha 2017; Cuenca-García et al. 2019). The infant mortality rate, GDP per capita, cellular device access, and school enrollment showed significant improvements among all regions on average, while the indicators for women in parliament, maternal and infant mortality, and HIV rates varied greatly across regions. Despite improvement, the variability in the indicator improvement across regions and income groups addressed in this study reemphasizes the previous research findings (Cha 2017; Reddy and Sen 2013; McClure et al. 2018). By assessing the average results across four different income groups, we found that the lower and lower-middle income groups had the most significant improvements. We found that high-income groups had the smallest changes across the indicators, most likely due to their higher level of achievements in selected indicators at the onset of the MDGs.
Significant improvements in MDG indicators between 2000 and 2015 and the growing focus on reducing inequality in development strategies and policy (Vandemoortele et al. 2014; Gounder 2005; Wagstaff 2001; Unterhalter 2005) suggests that the inequality among countries would have improved during the implementation phase of the MDGs. On the contrary, our study found relatively smaller decreases in inequality during the implementation period. Several indicators showed large improvements on average, paired with little changes in equality. This potentially indicates a lack of focus on the global inequality of indicator improvements during the MDG implementation period, despite vast improvements in the selected indicators. Regardless, the changes in the development indicators were generally positive, and this analysis helped us to chart a way forward in the context of SDGs. Ensuring equality among countries in the future policies, programs, and results of the SDGs will be necessary for low-performing countries to converge closer to the development levels of higher-performing countries.
We found that the lack of an accurate and consistent worldwide data-measurement system is preventing the proper assessment of the world’s poorest and most remote countries, with some indicators in our analysis missing over 100 countries. Figure 4 shows how many countries had data available for 2000, 2015, and both years for each indicator, to emphasize the extent of the data gap. The measurement and tracking of indicators within different areas of a country were also very important for countries who successfully achieved any of the MDGs, as will be true with the success of the current SDGs. Some of the most common development indicators discussed and understood (i.e., school enrollment rates, GDP per capita) still have several countries missing from the World Bank dataset, emphasizing the need for an improvement. Since most of the countries missing data are the poorest and least advanced countries, the results of this research are likely skewed to make the changes in indicators seem slightly more successful and equally distributed. Though not critical to the implications of the research, this fact emphasizes the need for proper data measurement while continuing the pursuit of attaining the SDGs.
Figure 4.
Number of available countries in the World Bank Data of each indicator for 2000 and 2015 and the number of countries that had data for an indicator for both years.
Several policy and research implications result from this study. This study shows that significant improvements on average do not always lead to improvements in equality, elucidating the need to shift focus from measuring success in terms of the percentage improvement in averages to a new paradigm based on equality. Despite many indicators given by the UN to measure inequality within countries, there is a lack of indicators measuring the equality among countries. We suggest the use of the GI and LC as potential measurement tools for assessing the progress made during the implementation period of SDGs. This will also guide the cross-country attainment of SDG 10, which focuses on reducing inequalities. There are several contradicting results between the averages and equality measurements in the selected indicators, and although both measures have their benefits, looking at the average growth and equality at the same time would better address the overall goals of promoting sustainable development.
This study finds large variations in improvements made under selected MDG indicators across different countries, regions, and income groups. It seems that some of the biggest downfalls of the MDGs result from the way they were written and measured. The goals make no distinction between targets for developed and developing countries, which can make some goals seem unattainable to lower developed countries and make it difficult for these countries to measure results. To address this, Meuleman and Niestroy (2015) suggests “common but differentiated governance” to create efficient and effective SDG policies that consider differences between regions, countries, and communities. Our study suggests using the LC and GI to guide the creation of differentiated policies by addressing cross-country inequality for development indicators. Last, this study finds a large data gap that impacts any MDG analysis, starting with the choice of indicators, and emphasizing the need to adopt consistent data tracking and measurement standards. This has been addressed in previous literature, which finds success in countries with a standardized tracking and measurement of indicators and little to no improvements in countries with large amounts of missing data (Jacob 2017; Oleribe and Taylor-Robinson 2016; Abbott et al. 2017; Cha 2017; McClure et al. 2018). This indicates a need for a worldwide data-collection and measurement system, which is critical for measuring the performance of development goals. We hope that a more nuanced approach is used for ensuring a more integrated and inclusive development at the global level.
6. Conclusions
This paper focuses on the average progress and worldwide inequality using data on eight development indicators before and after the 15-year implementation period of the MDGs. The eight indicators that were analyzed include undernourished population, school enrollment, percentage of women in parliament, infant mortality, maternal mortality, HIV rates, access to improved drinking water, and the percentage of the population with cellular access. We used a single indicator for each MDG in this study to provide a quantitative framework for measuring progress and inequality related to global development programs to the readers without overwhelming them.
Each indicator shows improvements between 2000 and 2015, with varying levels of success across countries, regions, and income groups. These findings corroborate the existing literature that discusses the results of individual indicators for MDG (McDougall 2016; French 2016; Cha 2017; Manning 2010; United Nations 2014). We plotted the LCs and estimated GIs for each indicator to assess the level of inequality among countries. The GI increased only for infant mortality, indicating the only increase in the inequality. Three indicators achieved significant inequality improvements (school enrollment, access to improved water source, and internet access), but the remaining five indicators had comparatively smaller changes in equality. This study also discussed the extent of data availability and the implications of lacking measurements for development indicators.
Many reports on the MDGs discuss the global levels of success, looking at averages that say little about the distribution of the impacts. Additionally, the UN has few SDG indicators that address the levels of cross-country inequalities rather than inequality within countries. We emphasize the need to assess both the aggregate success levels and the distribution of indicator improvements across countries in future studies. To do this, we recommend using the GI and LC for assessing the changes in all development indicators during the SDGs. This will allow for more diversified and individualized policies to address the SDGs and will encourage success in low-income and developing countries. We cannot manage global initiatives (e.g., SDGs) without measuring their impacts on a concurrent basis. Additionally, we suggest the use of time-series data as it is released to see a more detailed perspective of the trends of these indicators. We emphasize developing a global data collection and analysis protocol for measuring the impacts of SDGs, especially to reduce inequality across social, economic, and environmental indicators in real time to facilitate policies and programs.
Author Contributions
P.D. conceived and designed the study. M.F. and P.D. performed the research, analyzed the data, and wrote the paper.
Funding
Authors acknowledge the support of the University of Georgia’s Center for Undergraduate Research Opportunities.
Conflicts of Interest
The authors declare no competing interests.
References
- Abbott, Pamela, Roger Sapsford, and Agnes Binagwaho. 2017. Learning from Success: How Rwanda Achieved the Millennium Development Goals for Health. World Development 92: 103–16. [Google Scholar] [CrossRef]
- Alinia, Cyrus, Seyed Farzad Mohammadi, Mahmoud Jabbarvand, and Hasan Hashemi. 2018. Geographical Inequality in Cataract Surgery Among Iranians Between 2006 and 2011. Eastern Mediterranean Health Journal. 24: 664–71. [Google Scholar] [CrossRef]
- Cha, Seungman. 2017. The Impact of the Worldwide Millennium Development Goals Campaign on Maternal and Under-Five Child Mortality Reduction: ‘Where Did the Worldwide Campaign Work Most Effectively?’. Global Health Action 10: 1267961. [Google Scholar] [CrossRef] [PubMed]
- Chowdhury, Samik, Indrani Gupta, Mayur Trivedi, and Shankar Prinja. 2018. Inequity & Burden of Out-of-Pocket Health Spending: District Level Evidences from India. Indian Journal of Medical Research 148: 180–89. [Google Scholar] [CrossRef]
- Clemens, Michael A., Charles J. Kenny, and Todd J. Moss. 2007. The Trouble with the MDGs: Confronting Expectations of Aid and Development Success. World Development 35: 735–51. [Google Scholar] [CrossRef]
- Cuenca-García, Eduardo, Angeles Sánchez, and Margarita Navarro-Pabsdorf. 2019. Assessing the Performance of the Least Developed Countries in Terms of the Millennium Development Goals. Evaluation and Program Planning 72: 54–66. [Google Scholar] [CrossRef] [PubMed]
- Easterly, William. 2009. How the Millennium Development Goals Are Unfair to Africa. World Development 37: 26–35. [Google Scholar] [CrossRef]
- French, Declan. 2016. Did the Millennium Development Goal Change Trends in Child Mortality? Health Economics 25: 1300–17. [Google Scholar] [CrossRef]
- Fukuda-Parr, Sakiko, Joshua Greenstein, and David Stewart. 2013. How Should MDG Success and Failure Be Judged: Faster Progress or Achieving the Targets? World Development 41: 19–30. [Google Scholar] [CrossRef]
- Gounder, Rukmani. 2005. Neglected Dimensions of Development: Inequality, Conflict and Aid. International Journal of Social Economics 32: 60–76. [Google Scholar] [CrossRef]
- Jacob, Arun. 2017. Mind the Gap: Analyzing the Impact of Data Gap in Millennium Development Goals’ (MDGs) Indicators on the Progress toward MDGs. World Development 93: 260–78. [Google Scholar] [CrossRef]
- Langel, Matti, and Yves Tillé. 2013. Variance Estimation of the Gini Index: Revisiting a Result Several Times Published. Journal of the Royal Statistical Society. Series A: Statistics in Society 176: 521–40. [Google Scholar] [CrossRef]
- Malakar, Krishna, Trupti Mishra, and Anand Patwardhan. 2018. Inequality in Water Supply in India: An Assessment Using the Gini and Theil Indices. Environment, Development and Sustainability 20: 841–64. [Google Scholar] [CrossRef]
- Manning, Richard. 2010. The Impact and Design of the MDGs: Some Reflections. IDS Bulletin 41: 7–14. [Google Scholar] [CrossRef]
- Martín, José Antonio Rodríguez, Juan de Dios Jiménez Aguilera, José Antonio Salinas Fernández, and José María Martín Martín. 2016. Millennium Development Goals 4 and 5: Progress in the Least Developed Countries of Asia. Social Indicators Research 129: 489–504. [Google Scholar] [CrossRef]
- McClure, Karen, Jeany K. Jun, Casey R. Johnson, Philip R. Fischer, Lydia Lu, Sophakna Vy, and Dale Knutson. 2018. Disparities in Rural-vs-Urban Achievement of Millennium Development Goals in Cambodia: Implications for Current and Future Child Health. Pediatrics and International Child Health 38: 235–43. [Google Scholar] [CrossRef]
- McDougall, Lori. 2016. Discourse, Ideas and Power in Global Health Policy Networks: Political Attention for Maternal and Child Health in the Millennium Development Goal Era. Globalization and Health 12: 15–17. [Google Scholar] [CrossRef]
- Meuleman, Louis, and Ingeborg Niestroy. 2015. Common but Differentiated Governance: A Metagovernance Approach to Make the SDGs Work. Sustainability 7: 12295–321. [Google Scholar] [CrossRef]
- Oleribe, Obinna Ositadimma, and Simon David Taylor-Robinson. 2016. Before Sustainable Development Goals (SDG): Why Nigeria Failed to Achieve the Millennium Development Goals (MDGs). Pan African Medical Journal 24: 1–5. [Google Scholar] [CrossRef]
- Reddy, Bhavya, and Gita Sen. 2013. Breaking Through the Development Silos: Sexual and Reproductive Health and Rights, Millennium Development Goals and Gender Equity—Experiences from Mexico, India and Nigeria. Reproductive Health Matters 21: 18–31. [Google Scholar] [CrossRef]
- Saez, Marta Pascual, David Cantarero-Prieto, and Jose R. Pires Manso. 2018. Gross Inland Energy Consumption Inequality in Europe: An Empirical Approach. World Economy Magazine 49: 149–64. [Google Scholar]
- Sanga, Dimitri. 2011. The Challenges of Monitoring and Reporting on the Millennium Development Goals in Africa by 2015 and Beyond. African Statistics 12: 104–18. [Google Scholar]
- Stensrud, Mats Julius, and Morten Valberg. 2017. Inequality in Genetic Cancer Risk Suggests Bad Genes Rather than Bad Luck. Nature Communications 8: 1–8. [Google Scholar] [CrossRef][Green Version]
- The World Bank. 2019. World Development Indicators. Available online: http://datatopics.worldbank.org/world-development-indicators/ (accessed on 15 April 2019).
- United Nations. 2014. The Millennium Development Goals Report 2014. New York: United Nations. [Google Scholar]
- United Nations. 2015a. “The Sustainable Development Agenda.” Sustainable Development Goals. Available online: https://www.un.org/sustainabledevelopment/development-agenda/ (accessed on 30 April 2019).
- United Nations. 2015b. We Can End Poverty: Millennium Development Goals and Beyond. Available online: https://www.un.org/millenniumgoals/ (accessed on 3 May 2019).
- United Nations. 2016. Goal 10: Reduce Inequality Within and Among Countries. Available online: https://www.un.org/sustainabledevelopment/inequality/ (accessed on 20 February 2019).
- United Nations Statistics Division. 2008. Millennium Development Goals Indicators. Available online: http://mdgs.un.org/unsd/mdg/Host.aspx?Content=Indicators/OfficialList.htm (accessed on 16 March 2019).
- Unterhalter, Elaine. 2005. Global Inequality, Capabilities, Social Justice: The Millennium Development Goal for Gender Equality in Education. International Journal of Educational Development 25: 111–22. [Google Scholar] [CrossRef]
- Vandemoortele, Jan. 2005. Ambition Is Golden: Meeting the MDGs. Development 48: 5–11. [Google Scholar] [CrossRef]
- Vandemoortele, Milo, Luisa Natali, and Matt Geddes. 2014. Measuring Equitable MDG Progress. The European Journal of Development Research 26: 651–75. [Google Scholar] [CrossRef]
- Wagstaff, Adam. 2001. Economics, Health and Development: Some Ethical Dilemmas Facing the World Bank and the International Community. Journal of Medical Ethics 27: 262–67. [Google Scholar] [CrossRef] [PubMed]
- Yang, Le, Yufu Yin, and Hongman Wang. 2019. Is the Health Workforce Distribution in Beijing, China Perfectly Equitable? Ethiopian Journal of Health and Development 33: 22–27. [Google Scholar]
© 2019 by the authors. Licensee MDPI, Basel, Switzerland. This article is an open access article distributed under the terms and conditions of the Creative Commons Attribution (CC BY) license (http://creativecommons.org/licenses/by/4.0/).



