Abstract
Does media exposure to salient criminological events exacerbate racialized perceptions of injustice? We examine whether closely following media coverage of the fatal encounter of George Zimmerman’s shooting of Trayvon Martin moderates racial and ethnic differences in opinion surrounding the event and the U.S. criminal justice system. Our analysis addresses several key aspects of the case: Whether Zimmerman would have been arrested sooner if Martin had been white, whether respondents felt Zimmerman’s acquittal was justified, and whether there is racial bias against African Americans in the criminal justice system. Relying on national opinion surveys before and after Zimmerman’s trial verdict, our findings support the racial gradient thesis by demonstrating that sustained exposure to racialized framing of the incident in the media affects Hispanics the most and hardens entrenched attitudes among African Americans relative to whites. The analysis supports the continuing relevance of the mass media in attitude formation.
1. Introduction
The 26 February 2012 encounter between Trayvon Martin, an unarmed African American teenager walking home from a local convenience store, and George Zimmerman, a White Hispanic off-duty neighborhood watchman, led to Zimmerman shooting and killing Martin following a brief struggle in Sanford, Florida. The tragic incident garnered tremendous national media attention for well over a year, with some television networks maintaining continual coverage for months following the incident. The Nancy Grace Show for example maintained gavel-to-gavel coverage of the trial to discuss various aspect of the case: From the timeline of the incident to reasons why George Zimmerman was not immediately arrested by Sanford police to whether the jury’s verdict was fair and just (Bloom 2014; Yancy and Jones 2013). Questions about racial bias in the criminal justice system dominated media discussions of the incident as Martin’s parents publicly criticized the Sanford Police Department (SPD) for not arresting Zimmerman. In response, the SPD asserted that there was no reason to dispute Zimmerman’s claim of self-defense. Indeed, it was only after citizens took to the streets and mounted sporadic public protests and demonstrations that Zimmerman was finally arrested by the SPD two months later, on 11 April 2012 and subsequently charged with manslaughter.
Debates surrounding the delayed arrest and the gavel-to-gavel coverage of the trial raise important theoretical questions about the effect of media exposure on attitude strength and perceptions of inequality and injustice both in the case and in the criminal justice system generally. For example, does sustained media exposure to racialized priming and framing of criminological events impact perceptions of injustice? Does media exposure produce homogenous effects on heterogeneous populations such as blacks, Hispanics, and whites? These are important questions because of the media’s role in influencing public debates, the social construction of race, as well as the necessity of safeguarding American democratic principles. These questions form the central analytic focus of this article.
The killing of Trayvon Martin was a salient criminological event in that it captured the attention of the nation. President Obama noted that if he had a son, he would look like Trayvon. Examination of Gallup polls conducted in the immediate aftermath of the shooting revealed that majority of Americans (66%) were following news about the shooting very closely or somewhat closely (Gabbidon and Jordan 2013). Moreover, the not-guilty verdict on 13 July 2013 was followed by subsequent debates on major television networks regarding whether the jury had reached the correct decision and whether blacks are treated equitably and unbiasedly by our court system. Most Americans (54.3%) argued that the verdict was just and that Zimmerman acted in self-defense. Others viewed the killing and verdict as quintessential examples of racism and injustice masquerading under the seemingly innocuous banner of self-defense and stand-your-ground laws. For these Americans, the shooting of Martin was an unprovoked action motivated by racial profiling (Bloom 2014). Both perspectives were widely disseminated and debated across various media outlets for months and public opinion on the case was largely divided along racial lines (Unah and Wright 2015). This is where we think the media might have played a role in shifting and fermenting individual perceptions of the case.1
Since most Americans will not be crime victims nor be directly involved with the criminal justice system, the vast majority of the public relies on secondary information from media outlets to shape their opinions and beliefs about crime and criminological events (Graber 1980; Surette 1998). Empirical research has consistently documented that crime constitutes a substantial portion of news content and that the media does indeed have an impact on the public’s perceptions of crime, punishment, and the criminal justice system (Iyengar and Kinder 2010; Greek and Mason 2005; Potter and Kappeler 2006). Thus, it is plausible that how closely individuals follow a news story may moderate how they perceive a crime event by activating and making salient certain aspects of the incident. Furthermore, it is plausible that effects of media exposure do not move linearly across population groups. The effect of how closely individuals watch the news may vary from one racial/ethnic population to another contrary to common assumptions. We accept the long line of social science research, which indicates that the mass media does have an important and scalable impact on perceptions of injustice (Graber 1980). Our main contribution to this line of inquiry is in asserting that media effects are not homogeneous across population groups. Rather, perceptions are filtered through personal encounters and racial group identification, thereby affecting different racial groups differently in the form of a racial gradient.
We capitalize on the unique opportunity presented by the Zimmerman/Martin incident to test the racial gradient thesis, which emphasizes a hierarchy in the perception of injustice among racial and ethnic groups (Gabbidon and Jordan 2013; Hagan et al. 2005; Shedd and Hagan 2006; Unah and Wright 2015). We pose two major questions. First, does closely following the media on a salient crime story impact citizens’ perceptions of injustice? Second, does media exposure produce a homogenous effect on blacks, Hispanics, and whites? We address these questions by analyzing two independent opinion surveys of American adults on the Zimmerman/Martin incident in the hope of making two distinct contributions to the literature. First, we illustrate that higher exposure to racialized media discussions of a criminological event increases perceptions of injustice about the event for whites, blacks, and Hispanics. In an era where individuals can consume information from a variety of formal and informal sources, media reporting on a salient and controversial criminological event may have the ability to sway perceptions analogous to the way that commercial advertising can sway consumers. Second, relative to blacks and whites, Hispanics are most influenced by racialized media exposure to the Zimmerman/Martin incident. We find that the effect of media exposure is not monolithic; rather, it works differently across racial groups and it affirms the racial gradient thesis.
2. Theories of Media Exposure
In seeking out news and information about important events, media outlets act as an agent of the public at large. This point was underscored long ago by Supreme Court Justice Lewis Powell when he dissented in the case of Saxbe v. Washington Post (1974). The media, Justice Powell noted, “is the means by which the people receive that free flow of information and ideas essential to intelligent self-government.” During the 1990s, about 50 million Americans watched ABC, CBS, and NBC television network news coverage on an average evening (Ansolabehere et al. 1993). With the advent of the 24-hour news cycle and the proliferation of alternative news sources, that number is bound to be lower today but millions continue to tune in each night to watch their favorite specialized news shows or read news online about important social and political events. Indeed, the New York Times reported that the Zimmerman verdict drew approximately 10 million viewers to cable television news (Carter 2013). This all suggests that the media has the potential to shape the views and outlook of millions of Americans on key criminological, political, and social events.
Theories of media exposure argue that media outlets have a powerful ability to inform, cultivate, and possibly alter the attitudes and perceptions of its viewers (Gerbner et al. 1986; Graber 1980; Iyengar and Kinder 2010; Nelson et al. 1997). When it comes to crime and punishment, this potential to change perceptions is accomplished through framing and racial priming (Graber 1980; Nelson et al. 1997; Baumgartner et al. 2008). Both processes focus on media content and the degree of exposure the mass public has with that content.
Framing is the process through which a communication source such as a news organization defines and constructs a criminological event or public controversy. For instance, after self-proclaimed white supremacist, Dylann Roof, recently shot and killed nine black parishioners in the A.M.E. Church in Columbia, South Carolina in 2015, Fox News broadcasters immediately framed the killing as an attack on religion rather than a killing driven first and foremost by racial hatred (Hayden 2015). Since Fox News’ broadcasters failed to frame the incident as a hate crime, viewers are likely to assess the incident based on a post racial frame (i.e., the belief that we live in a post racial society where a black man [Barack Obama] was president) and so a crime of this sort cannot possibly be based on racial animus.
Similarly, the killing of Trayvon Martin was framed by some networks as self-defense, a neutral and constitutionally protected legal principle, rather than as racial profiling, a gross form of racial discrimination. In general, scholarship on framing effects in the social sciences suggests that people’s reasoning about divisive criminological issues can be shaped by mass media’s depiction of the issue or of the people involved (Nelson et al. 1997). Gerbner et al. (1986) provided strong empirical evidence suggesting that heavy television viewing cultivates attitudes that are consistent with the media’s portrayal of crime and its perpetrators. To be sure, the substantive effects of heavy television consumption are not innocuous, Doyle (2006) shows that people who watch crime television tend to be more fearful of crime and more supportive of punitive law-and-order measures. Grabe and Drew (2007) reported that media framing is more potent in cultivating perceptions of crime and criminal suspects when it involves real events as opposed to fictitious events with human actors. Together, this literature suggests that increased media exposure is related to heightened levels of fear of crime and punitive attitudes. However, it is unclear whether these effects are homogenous across different racial and ethnic populations.
Historically, African Americans have experienced more biased treatment in the criminal justice system than any other group and they have been portrayed less favorably in the media than whites (Gilliam and Iyengar 2000; Wilkinson and Earle 2013). As such, African Americans maintain more suspicious attitudes about how members of their race are depicted in the media and treated by justice institutions. Studies illustrate that the reporting of crimes involving African Americans and Latinos is often framed in ways that characterize black and Latino/a victims and offenders as menacing, aggressive, and undeserving relative to whites (Gilliam and Iyengar 2000; Washington and Wright 2015). When the media gives attention to African Americans, they are four times more likely than Whites to be portrayed as criminal suspects rather than as victims of crime (Chiricos and Eschholz 2002; Poindexter et al. 2003). We suspect that these racialized depictions would play a significant role in shaping beliefs about racialized criminological events such as the Zimmerman/Martin incident (Surette 1998).
Besides framing, racial priming is another vehicle through which mass media can shape attitudes and views about salient events. Priming is a mental process that refers to the activation of specific associations in memory when people make political and social judgments (Price and Tewksbury 1997). One area in which priming effects have been studied extensively is in the assessment of white attitudes towards political candidates and programs that benefit black people. For instance, during the 1988 presidential election campaign between Vice President George H.W. Bush and Governor Michael Dukakis (D-MA), Bush ran an infamous political campaign advertisement featuring Willie Horton, a black inmate in Massachusetts who was serving a life sentence for murder. Horton was the beneficiary of a weekend furlough at a time when then Governor Dukakis supported such programs to help offenders transition back to society during their reentry process and to aid with rehabilitation. While furloughed, Horton committed rape, robbery, and assault (Butterfield 1995). The ad was designed to racially prime white voters to implicitly associate Michael Dukakis with black criminals and therefore vote against him without necessarily thinking they were being racist (Mendelberg 1997). Dukakis lost the election by a landslide. By associating race with criminal behavior, the media and political elites can alter white Americans’ views about crime and their evaluation of what constitutes justice when criminal incidents involve black people.
Mendelberg (2001) has offered the most rigorous and comprehensive framework for understanding the effects of racial priming on the opinions of white Americans. Mendelberg argues that racial priming works because racial cues present in media messages activate a racial schema (whites’ attitudes about blacks) and makes it more accessible in memory when whites evaluate programs or policies that affect blacks. Those schemas then become automatic responses in subsequent evaluations of events such as judicial rulings. What makes the theory particularly powerful is the insight that racial priming works because it operates at an implicit level. That is, racial bias is activated without whites realizing that they are basing their decisions on implicit racial bias (Mendelberg 2001). We think that similar effects could be afoot in the evaluation of the Zimmerman/Martin incident.
Does media exposure moderate or reinforce perceptions of injustice? We argue that it does. This occurs through the activation of social schemas in the evaluative process. Our observation is based on the formative work of Klapper (1960) who argued that the media is more effective at reinforcing people’s behavior rather than overtly changing it. According to Klapper, media messages are multiple and varied and they depend on a wide range of factors to be effective, including recipient’s social predisposition and group membership (see also (Sacco 1995)). This view suggests that the effect of media exposure on perceptions is likely indirect and likely to operate with varying effectiveness based upon characteristics of the recipient. Based on this theoretical discussion, we expect media exposure to influence perception of injustice among blacks, Hispanics, and whites.
3. Racial Gradient Thesis
Related to this theoretical discussion about media exposure and its effects on how groups are treated is the racial gradient thesis (RGT), a key branch of the comparative conflict framework, which emphasizes group threat to social, political, and economic arrangements as a way of understanding how minority groups are treated in society (Blalock 1967; Chambliss and Seidman 1971; Key 1949). The racial gradient thesis postulates that public opinion on criminal injustice follows an intensity level adhering to a black/Hispanic/white gradient, with blacks being most likely to perceive injustice, whites being least likely to perceive injustice, and Hispanics being sandwiched in-between blacks and whites in their perception of injustice (Gabbidon and Jordan 2013; Hagan et al. 2005; Unah and Wright 2015). In this article, we test whether the degree of media exposure helps augment the racial gradience.
Hagan, Shedd, and Payne (Hagan et al. 2005) have explained the racial gradient pattern by asserting that blacks and Hispanics perceive more injustice relative to whites because they have less social, political, and economic power. These relative power differences have hindered their ability to influence crime policy and have produced racially segregated neighborhoods whereby blacks and Hispanics are more likely to have their neighborhoods frequently patrolled, increasing their encounters with law enforcement. We think that these perceptions of injustice and inequalities arise because, relative to blacks and Hispanics, whites have not had the racialized experiences that minorities have. Moreover, blacks relative to Hispanics, have endured a much longer and more fractious history with the United States criminal justice system (Unah and Wright 2015). Blacks have a historical tapestry of salient criminological events for which they have been victims etched into their collective psyche, taught in history classes, and generationally shared to have been culturally institutionalized as part of their group identity.
Considering these historical differences, it is not surprising that blacks and whites tend to develop significantly differing perceptions of injustice in American society. Blacks tend to perceive injustice as a product of institutional structures whereas whites tend to think of injustice as transient and episodic (Bobo 2001; Peffley and Hurwitz 2010). Blacks are significantly more likely to view the justice system as inequitable compared to whites, who tend to view it most favorably. Blacks are also more likely to perceive that inequities in education, healthcare, and employment exist and that these problems are personally important, emotionally salient, and rooted in prejudice, discrimination, and denial of opportunity by whites (Bobo 2001; Schuman 1997). Whites, however, tend to think that discrimination is ad hoc and largely a thing of the past and to view the apparent inequities experienced by blacks and other minorities as the result of low motivation and lack of effort (Bobo et al. 1997; Sigelman and Welch 1994).
Compared to African Americans and Anglos, there has been less attention paid to Hispanic perceptions of injustice although as the Hispanic population continues to expand, it is likely to receive more empirical consideration. The lack of attention to Hispanic perspectives is not because they are infrequent targets of mistreatment by courts and law enforcement but because, as Hagan and his colleagues noted, Hispanics occupy a “disadvantaged middle ground where they are a less comprehensive and intensive focus of criminalization efforts than African Americans” (Hagan et al. 2005, , p. 384). We think this reduced intensity of focus is due to Hispanics’ lighter skin-tone, which elevates them to a more socially acceptable position in society, making their experiences not as bad as that of blacks but not as good as that of whites. Supporting this account is a growing line of research on colorism, which suggests that skin-tone is an incredibly important criterion of social acceptance and a strong indicator of how individuals are treated in all manner of economic (Goldsmith et al. 2006), socio-legal (Portes and Rumbaut 2001), and political processes (Eberhardt et al. 2006; Terkildsen 1993). Additional work on Latino/a populations indicate that skin tone affects attitudes regarding commonality with Whites (Wilkinson and Earle 2013) as well as self-esteem and self-identity (Hunter 2013). According to Portes and Rumbaut, a “racial gradient continues to exist in U.S. culture so that the darker a person’s skin, the greater is the social distance from dominant groups and the more difficult it is to make his or her personal qualifications count” (Portes and Rumbaut 2001, p. 47).
4. Racial Group Identification and Perceptions of Injustice
Reactions to salient crime events may well be a function of personal experiences with law enforcement, which have been shown to significantly shape enduring social attitudes about the legal system (Tyler 2006). Reasonable citizens would not discount the fact that the experiences of slavery, discrimination, and segregation have taught blacks and their descendants in America to be suspicious of government institutions. Contemporary news accounts even serve to reinforce that sentiment. In the months after Martin’s death, the public witnessed a string of other salient news stories concerning police killings of unarmed black males across the nation, including Michael Brown in Missouri, Eric Garner in New York, Walter Scott in South Carolina, and Tamir Rice in Ohio. The protests that followed these killings intensified the debates surrounding the relationship between law enforcement and minority communities, particularly African American communities. These incidents provide contemporary evidence to substantiate the claim that blacks are tagged as crime suspects a priori and as such are unreasonably feared by others, including the police. Below we discuss several other reasons that contribute to why blacks more than Hispanics and Hispanics more than whites are more likely to express negative sentiments about the justice system relative to whites.
Bad Treatment by the Police. Research on public perception of law enforcement indicates that opinion is highly polarized by race (Peffley and Hurwitz 2010). Blacks are significantly more likely than whites to report that they have personally experienced discrimination (Weitzer and Tuch 1999), have been racially profiled (Lundman and Kaufman 2003; Weitzer and Tuch 2002), and have had excessive force used against them (Flanagan and Vaughn 1996). These studies focus on both adult and youth perceptions of police mistreatment (Hagan et al. 2005; Stewart et al. 2009; Weitzer and Tuch 2004; Weitzer and Tuch 2006).
More recently, mobile devices have allowed members of the public to record eyewitness accounts of crime incidents involving police and share these depictions with the masses. These recordings provide, for the most part, a real, unadulterated and unfiltered version of the events. No video images exist of the Zimmerman/Martin incident, leaving questions about whether an arrest was the appropriate course of action by police. However, analysis of opinion data indicates that both blacks and Hispanics were more likely than whites to believe that Zimmerman would have been arrested sooner had he killed a white person (Unah and Wright 2015). Given the lack of video evidence in the Zimmerman/Martin incident both the prosecutor and the defense teams had different accounts about what led to the fatal encounter. These competing narratives were continually advanced in the media. Considering that Trayvon Martin’s version of the story cannot be told in the absence of a video, many whites, including the jurors may have given Zimmerman the benefit of the doubt, especially in a jurisdiction that has a “stand your ground law”. Conversely, blacks may have perceived the failure of the Sanford police to arrest Zimmerman as a devaluation of black lives.
In instances where a police shooting is captured on video, questions about fault still dominate the discussions in the media, with citizens taking sides based on their racial group identity. On 6 July 2016, a black motorist named Philando Castile was fatally shot in the presence of his girlfriend and four-year old daughter by a Minnesota police officer as he reached for his driver’s license after the officer asked for it during a routine traffic stop. This killing occurred even though Castile had informed the officer he was licensed to carry a gun and his weapon was concealed inside his pants pocket. White House Chief of Staff, Dennis McDonough, expressed dismay about the incident when he asked: “Would this have happened if those passengers were white? I don’t think it would have” (Chan 2016). President Obama commented that such shootings were not isolated events but were “symptomatic of a broader set of racial disparities that exist in our criminal justice system”. Obama went on to say that “When incidents like this occur, there is a big chunk of our citizenry that feels as if, because of the color of their skin, they are not being treated the same, and that hurts, and that should trouble all of us. This is not just a black issue, not just a Hispanic issue. This is an American issue that we all should care about” (Furber and Perex-Pena 2016). On 16 June 16 2017, the Minnoesota police officer was aquitted of all charges (Smith 2017).
Frequent Contact with Agents of the Criminal Justice System. Another reason that blacks are more likely than whites to perceive injustice is that black neighborhoods have higher levels of police surveillance and arrests (Liska 1992). This increased contact, either directly or vicariously, fosters a perception that the police and other agents of the criminal justice system are unfairly targeting minority communities. Therefore, it is not surprising that black and Hispanic people view with disdain media images of other blacks and Hispanics being arrested and therefore are skeptical of the scripts that accompany the stories. Whites, however, are more inclined to have confidence in media scripts given their decreased likelihood of having personal encounters with police and courts.
Infrequent encounters with the justice system leave whites more likely to rely heavily on the media for knowledge about crime issues. Racial bias, fear of minority populations among whites, media depictions of black and Hispanics may all come across to white audiences as threatening. Bjornstorm and her colleagues (2010) used a racial threat framework to explain divergent patterns of news coverage by race. Despite finding limited support for racial threat theory, it is conceivable that racial threat might help explain why media depictions of crimes, particularly crimes that spark a racial dialogue, may not portray minorities favorably compared to whites. Without a context by which to compare media depictions of crime and justice and real-life encounters, whites may be more inclined to perceive the shooting of Martin by Zimmerman as justified.
The idea of white privilege has also been advanced to explain differential case outcomes in the criminal justice system (Hawkins 1987). This perspective asserts that crimes against whites are treated more seriously by the criminal justice system than crimes against blacks (Hawkins 1987; Weitzer 2000). As such, crimes against whites are investigated, pursued, and punished more vigorously than are crimes against blacks because whites are more likely to be viewed as worthy victims (Weiss and Chermak 1998). When it comes to Hispanics, Carter (1985) found that the perception of injustice among adult Hispanics is a function of frequency of contact with the justice system. In that study, Carter concluded that Hispanics report having a good attitude toward law enforcement only to find that attitudes diminish after more contact with the police.
To summarize, our objectives in this study are to provide a more nuanced understanding of how media exposure influences perceptions of injustice and whether this influence follows a racial gradient. Based upon our theoretical discussions, we test the following hypotheses:
- (1)
- In racially salient criminological events, citizens’ perceptions will adhere to a black, Hispanic, white gradient.
- (2)
- Media exposure moderates the effects of race and ethnicity on attitudes regarding whether Zimmerman would have been arrested if he killed a white person.
- (3)
- Media exposure moderates the effect of race and ethnicity on perceptions of whether Zimmerman’s acquittal was just.
- (4)
- Those who closely follow news accounts of the Zimmerman/Martin incident are more likely to report that the criminal justice system is biased against blacks.
5. Data and Method
To test our hypotheses, we relied on two national surveys of American adults. First, the USA Today/Gallup Poll: Trayvon Martin Case was conducted 2–6 April 2012, roughly one month after the shooting of Trayvon Martin and before Zimmerman’s arrest by SPD. The Gallup organization uses proportionate, stratified sampling design for its surveys. The national random sample of 3006 adults living in all 50 states and the District of Columbia was obtained by calling respondents on landline or cellular phones, with interviews conducted in Spanish for those respondents who were primarily Spanish-speaking. Each daily tracking poll sample of approximately 1000 respondents includes a minimum of 400 cell phone respondents and 600 landline respondents, with additional minimum quotas among landline respondents by region. Landline numbers were chosen at random among listed telephone numbers, while cell phone numbers were selected using random-digit dialing methods. Landline respondents were chosen at random within each household based on which member had the most recent birthday. The most important aspect of such a randomized survey is that every U.S. resident has an equal chance of being in the sample, which makes the findings highly representative and generalizable. Gallup’s daily tracking process allows Gallup analysts to aggregate larger groups of interviews for more detailed analysis. The tracking polls have a margin of error of +/−4 percentage points. However, according to Gallup, the accuracy of the estimates derived marginally improves with larger combined samples (Gallup 2017).
For our research purposes, the most important question asked of respondents is this: “How closely are you following the news about the fatal shooting in Florida of an African-American teenager named Trayvon Martin by a neighborhood watch volunteer named George Zimmerman?”2 Respondents were also probed about racial identity, political affiliation, employment status, income, educational level, and demographic characteristics. In reaction to public protests surrounding the reluctance of Sanford police to arrest Zimmerman, the survey asked whether respondents thought Zimmerman would have been arrested sooner had he killed a white person. This question forms the basis of our first dependent variable to assess the role of media exposure in influencing the gradient of opinion among blacks, Hispanics, and whites about injustice. The question taps into respondents’ fundamental understandings about the American legal system and the documented problem of aggressive prosecution for white victims compared to black victims.
Second, we relied on opinion data generated after the not guilty verdict was announced. For that analysis, we turned to the Gallup News Service Poll: George Zimmerman Verdict Reaction, conducted 16–21 July 2013. This Gallup tracking poll is also based on both landline and cell phone interviews with a random sample. In this case, the sample is 2541 adults. The design is similar to that described above for the earlier survey. Importantly, this poll also asked respondents the same question about media exposure as before: “How closely are you following the news about the fatal shooting in Florida of an African-American teenager named Trayvon Martin by a neighborhood watch volunteer named George Zimmerman?” This question allows us to evaluate the potential moderating effect of media exposure in the attitudes expressed by citizens toward various aspects of the case. Interestingly, the 2013 poll asked several additional questions that were not included in the 2012 survey. For example, it asked: “From what you know about the case, do you think the verdict was right or wrong?” Respondents were also asked in that survey: “Do you think the American justice system is biased against black people?” These two questions serve as additional dependent variables to further investigate the role of sustained media exposure to a racialized criminological event.
5.1. Dependent Variables
Based upon the hypotheses stated above, there are three dependent variables. The first is a dummy variable indicating whether Zimmerman would have been arrested sooner if he shot a white person (coded yes = 1, and no = 0). Nearly 11% (326 respondents) answered, “don’t know” to the question about whether Zimmerman would have been arrested sooner had Trayvon Martin been White. These were coded as missing. However, in order to prevent eliminating such a substantial portion of our sample, we used linear multiple imputation to account for these missing responses (Rubin 2004). The second dependent variable concerns attitudes during the post-conviction period and asks whether respondents thought the verdict was correct (yes = 1, no = 0). The third dependent variable is whether respondents thought the justice system is biased against blacks (yes = 1, no = 0). Since the dependent variables are all dichotomous, we employed logistic regression in estimating the models.
5.2. Independent Variables
Since we are interested in whether the effects of media exposure follow a racial gradient among blacks, Hispanics, and whites, our analysis is limited to responses provided by black, Hispanic, and white respondents. We coded responses indicating membership in these race and ethnic groups into dummy variables. The race and ethnicity variables along with the degree of media exposure are our key independent variables of interest. Media exposure measures how closely respondents are following news coverage of Martin’s killing. The response options are: not at all closely = 1, not too closely = 2, somewhat closely = 3, very closely = 4.
5.3. Control Variables
For our control variables, we considered gender, coded as males = 1, female = 0. We coded political ideology as a five-point scale ranging from extremely liberal (−2) to moderate = 0 to extremely conservative (+2).3 We included two measures of social class status: income and educational level. Reported monthly family income is represented as: 1 = less than $2000, 2 = $2001 to $3999, 3 = $4000 to $7499, 4 = $7500 to $14,999, 5 = $15,000 or higher. Educational level is measured as 1 = high school graduate or less, 2 = some college, 3 = college graduate, 4 = post graduate education. We controlled for age to assess its effect on attitudes toward the Zimmerman/Martin incident. Age is a range representing 1 = 18 to 29, 2 = 30 to 49, 3 = 50 to 64, 4 = 65 or older. Social science research suggests the possibility of a curvilinear relationship between respondents’ age and attitudes about salient events (Unah 2011). We included age and its squared term to assess whether very old and very young survey respondents have dramatically divergent attitudes about the incident and about the criminal justice system. Being currently married = 1, unmarried (including widowed or divorce) = 0. Finally, we controlled for regional differences in perceptions of injustice with a dummy variable: Southerner = 1, non-southerner = 0. Because of concerns about possibly losing too much information due to non-attitudes (Converse 1964), linear multiple imputation was used to replace “don’t know” responses for two questions in the Gallup surveys that are susceptible to social desirability concerns: income and whether Zimmerman would have been arrested if he shot a white person.
6. Results
The descriptive statistics of the variables are reported in Table 1. With regards to the dependent variables in the survey, the data indicate that, on average, 37% of Americans think Zimmerman would have been arrested sooner if he shot and killed a white person. Following the verdict, majority of Americans (54.3%) reported that the verdict of not guilty was correct. In the same vein, 34.4% of Americans think that the justice system is biased against African Americans. With respect to media exposure, 66% of American adults responded that they were following the shooting either very closely or somewhat closely. In the survey conducted after the trial verdict was announced, 70% of respondents said so. The surveys mirror very closely the racial and ethnic demographic proportions of the United States, with whites most represented in the sample, African Americans least represented and Hispanics in the middle.
Table 1.
Descriptive Statistics of the Variables.
6.1. Media Exposure and the Racial Gradient Thesis
Our analysis of USA Today/Gallup polls indicate that Americans are highly polarized along racial lines in their perceptions of how citizens are treated in the criminal justice system and in nearly every aspect of the Zimmerman/Martin incident. Within that polarization emerges an interesting story of racial gradience.
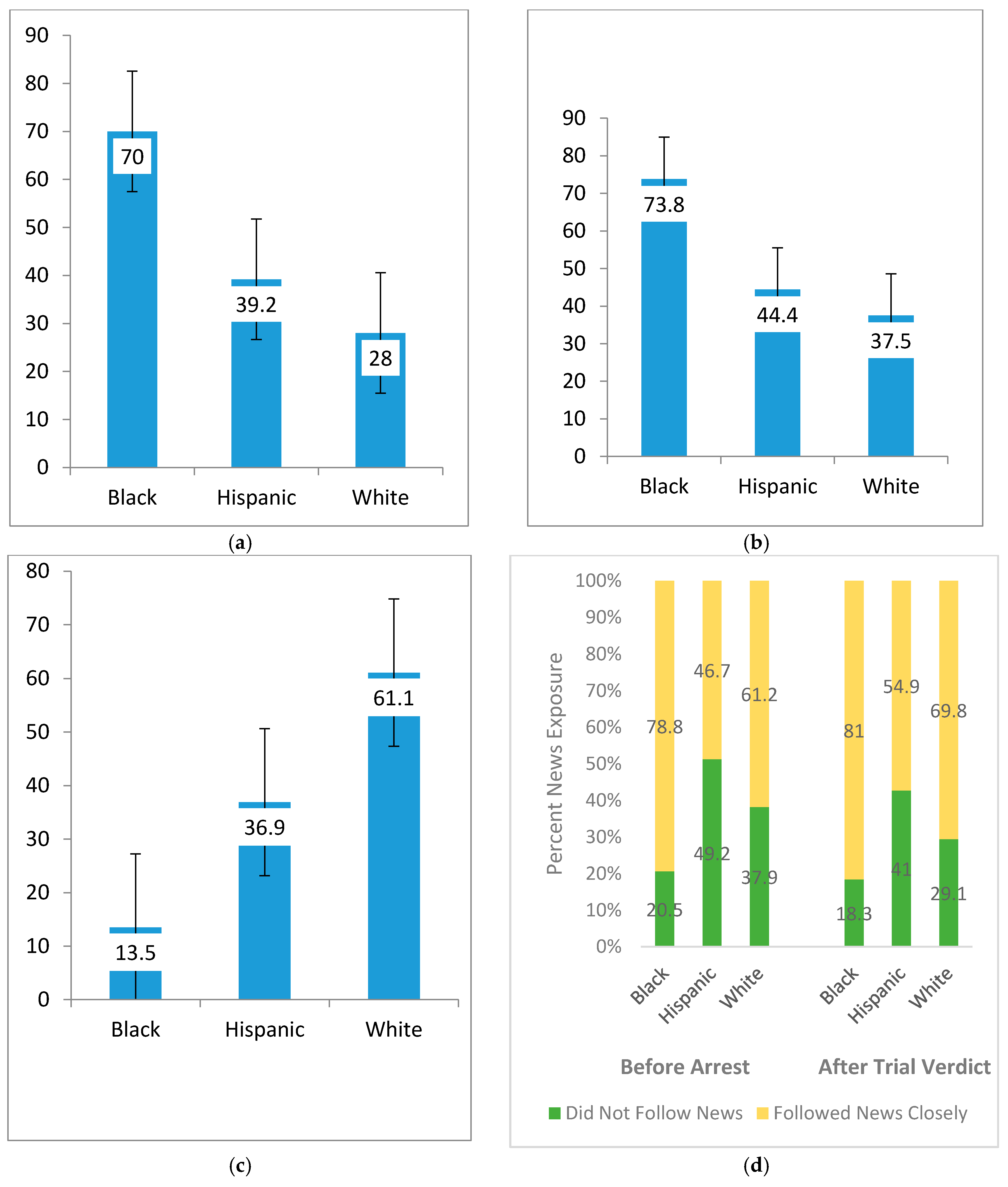
Panels A, B, and C in Figure 1 show a clear pattern of racial gradience. Panel A, shows that 70% of blacks, 39.2% of Hispanics, and 28% of whites believe the justice system is biased against African Americans. Panel B deomonstrates that blacks (73.8%) are most likely to report that Zimmerman would have been arrested sooner had he killed a white person while whites (37.5%) are least likely to hold this view. Panel C indicates that a mere 13.5% of blacks conveyed that they agreed with the decision of the jury to acquit George Zimmerman. Conversely, the majority of white respondents (61.1%) think that the jury reached the correct verdict. As expected, Hispanic views fall in between blacks and whites with 36.9% of them indicating that they agreed with the verdict, thus supporting our racial gradient argument. These responses represent a widespread recognition of the unfairness and inequities within the U.S. criminal justice system. Panel D departs from the racial gradient pattern although it indicates that all racial/ethnic groups are increasing their exposure to the Zimmerman/Martin incident. Blacks were most likely to follow the story closely both before the arrest (78.8%) and after the verdict (81%). However, 61.2% of whites followed the story closely before the verdict compared to 46.7% of Hispanics although both whites and Hispanics increased viewership by similar proportions (8.6 and 8.2% respectively). Interestingly, blacks increased viewership the least while Hispanics were the least likely to follow the story at all.
Figure 1.
Percent of Respondents Indicating: (a) Justice System Is Biased Against African Americans; (b) Zimmerman Would Be Arrested If He Killed a White Person; (c) Jury Reached Correct Verdict in Zimmerman Trial; (d) Followed/Did Not Follow Martin/Zimmerman Incident. Note: The error bars in Panels A, B, and C represent the standard deviation of the responses from the mean for that group. Shorter bars indicate less variance in responses.
What transpires when attitudes are examined with respect to sustained exposure to media framing of the Zimmerman/Martin incident? We checked by categorizing respondents into two groups. The first is those who followed Trayvon/Zimmerman news story “not at all” or “not too closely”. The second is those who followed “somewhat closely” or “very closely”. We use this aggregation here only for convenience and cleaner graphical presentation. In the regressions models reported below, responses to the media exposure variable are not aggregated. Figure 2 shows that media exposure makes a significant difference, using a difference of proportions test. Black, Hispanic and white respondents who pay close attention to media discussions of the incident are significantly more likely to say that the justice system is biased against African Americans (p < 0.05). In each racial group category, we calculated the difference in the responses between those who are exposed to media discussions and those who are not. Media exposure has the greatest effect on Hispanic respondents. Hispanics who are exposed to media discussions of the Zimmerman/Martin incident are approximately 25% more likely to say that the justice system is biased against African Americans than Hispanics who do not follow the event closely. For whites the difference is 12.69%. For blacks, it is approximately 9%, indicating that media exposure and framing of the incident has the least impact on blacks in their feelings about the justice system.
Figure 2.
Percent of Respondents Indicationg System is Biased by Media Exposure and Race.
6.2. Media Exposure and Imagining Trayvon Martin as a White Victim
Table 2 reports models estimated to test the racial gradient thesis and the role of media exposure directly. Model 1 features only the racial and ethnic group variables along with media exposure and its interaction with race and ethnicity. Whites are used as the comparison category throughout. This model explains five percent of the variance and lends strong credence to the racial gradient thesis. We report our findings in terms of odds ratios, which measure the strength of the effect of each independent variable on the dependent variable. The odds ratio is a statistical ratio of two odds. In this case, it is the odds that Zimmerman would have been arrested sooner had he killed a white person versus the odds that he would not have been arrested sooner had he killed a white person. An odds ratio greater than one means Zimmerman is more likely to be arrested. In addition, an odds ratio less than one means he is less likely to be arrested. Finally, an odds ratio of one means a neutral likelihood of him being arrested. Model 1 indicates that for African Americans compared to whites, the statistical odds are three times higher that Zimmerman would have been arrested sooner if Trayvon Martin had been white, all else equal. Using the divide-by-four rule (Gelman and Hill 2006), we can convert the odds ratio into a probability score for a more straightforward description of the effect.4 Doing so, the probability is 30% higher that George Zimmerman would have been arrested by Sanford Police without delay had he killed a white 17-year old male. For Hispanics, compared to whites, the odds are 1.80 times higher, which means that Hispanics are 15% more likely to say that Zimmerman would have been arrested had Trayvon Martin been white. The effects line up nicely in the form of a racial gradient. Blacks more than Hispanics and Hispanics more than whites have a higher likelihood of perceiving injustice in the delayed arrest of George Zimmerman for the killing of Trayvon Martin.
Table 2.
Media Exposure and Attitudes Toward the Delayed Arrest of George Zimmerman.
Media exposure produces a strong and statistically significant direct effect on whether respondents think Zimmerman would have been arrested had he killed a white person. The odds are 1.43 times higher that respondents with increased media exposure think Zimmerman would have been arrested sooner if he killed a white person, all else being equal. The effect differs depending on the racial or ethnic identity of the respondent and the degree of exposure as demonstrated in Figure 3 for blacks and Figure 4 for Hispanics. In Figure 3, we present the adjusted predicted probability along with 95% confidence intervals for blacks that Zimmerman would have been arrested had Trayvon Martin been a white victim. For blacks who are not following the news accounts of the incident at all, the probability is roughly 51% that they would hold the opinion that Zimmerman would have been arrested had Martin been white. This probability increases steadily to 72% for those blacks who follow the event very closely. For individuals at the low end of the media exposure spectrum, there is no statistically significant difference between blacks and whites since the 95% confidence interval bands intersect. Where significant difference begins to show between the two groups is at the point where respondents start to pay attention and begin to consult news outlets to learn about the incident. For both blacks and whites, media exposure to the incident increases the likelihood that Zimmerman would have been arrested had Martin been white but at significantly higher levels for blacks than for whites. Figure 4 reports a similar finding for Hispanics versus whites. In this case, the probability increases from 50% to 76% that Hispanics think Zimmerman would have been arrested as they receive more exposure to news accounts of the incident. We should note, however, that for this particular aspect of our study, media exposure does not have a differential effect based on racial identity. The interaction effects fail to reach acceptable statistical significance levels.
Figure 3.
Perceptions of Injustice by Media Exposure among Blacks and Non-Blacks.
Figure 4.
Perceptions of Injustice by Media Exposure among Hispanics and Non-Hispanics.
6.3. Media Exposure and Racialized Perceptions of Zimmerman’s Acquittal
In Model 2, we bring in the control variables as a way of assessing the stability of our main effects. The model explains 13% of the variance, which is a meaningful improvement from the abbreviated model. The substantive results are largely unchanged except for the Hispanic variable, which becomes attenuated and drops from statistical significance. However, impact of media exposure remains strong and robust. For the control variables, the estimates for age and age squared are statistically insignificant, indicating that very old and very young respondents are not more or less likely to think that Zimmerman would have been arrested had he killed a white person. Moreover, respondents who are male, conservative, Southern, and who have higher incomes are significantly less likely to believe that Zimmerman would have been arrested had he killed a white person.
In Table 3, we further assess the role of media exposure on public opinion. This time, we are interested in testing whether media exposure augments the racial gradient thesis and whether media exposure serves as a reinforcing or moderating influence on the perceptions of black, Hispanic, and white respondents. Model 3 is the baseline model that displays the results on whether respondents perceived Zimmerman’s acquittal as fair and just. Only race, ethnicity, and media exposure variables and their interactions are included in this model. We use whites as the comparison category. As measured by the pseudo R2, eleven percent of the variance is explained by this model and it provides strong and consistent support for the racial gradient thesis.
Table 3.
Comparative Conflict Surrounding Perceptions of Injustice in the U.S. Court System.
Compared to both Hispanics and whites, black respondents are the least likely to agree with the jury’s verdict that acquitted Zimmerman. Blacks are followed by Hispanics who also are less likely than whites to find the acquittal to be just. This result indicates that Anglos are mostly likely to support the Zimmerman verdict. In fact, the odds are 74% less that black respondents will find the verdict justified in spite of Zimmerman’s claim of self-defense. However, this finding for blacks is moderated by exposure to media coverage of the Zimmerman/Martin incident. The odds are 35% lower that African Americans with reasonable media exposure to the case would report that the verdict was just. For Hispanics, even though the direct effect fails to reach an acceptable significance level, the interaction effect is strong and statistically significant. Dependent on the level of media exposure, the odds are 29% lower that Hispanics view Zimmerman’s acquittal as a just outcome.
There is a noticeable improvement in the explanatory capacity of Model 4, which includes all the control variables. Relative to Model 3, the pseudo R2 value more than doubles in size, giving us greater confidence in the findings. Media exposure has a strong and robust effect on citizen evaluation of the Zimmerman trial verdict. The resilience of media exposure can be seen by noticing that this variable is statistically significant and quite powerful across all the models we estimated. In Figure 5, we demonstrate the direct effect of media exposure on whether the Zimmerman trial verdict is justified. The more exposure citizens have of media discussions surrounding this event, the more disheartened they become about the outcome. For respondents who did not follow the event at all closely, the probability is nearly 70% that they would approve of the outcome. This probability drops precipitously to 54% for those who followed the news very closely.
Figure 5.
Perceptions that the Zimmerman Verdict was Just Based on Media Exposure.
Moreover, media exposure moderates the effect of race and ethnicity on perceptions of Zimmerman’s acquittal for both blacks and Hispanics as indicated by the interaction terms in Model 4. When accounting for the extent of media exposure, blacks are 29% less likely to approve of the Zimmerman verdict compared to whites and Hispanics are 51% less likely to view the outcome as just compared to whites. This suggests that Hispanics are more heavily influenced by media exposure to the Zimmerman/Martin incident than are blacks and whites.
Along with race and media exposure, six other variables also register strong and statistically significant effects. The odds are 1.19 times higher that respondents with greater levels of education will find the verdict justified. This is similarly the case for individuals with higher levels of income as well as married individuals and Southerners. Interestingly, we cannot say the same for adults with children under the age of 18. The effects are significantly stronger for men and political conservatives than for most other covariates. For both men and conservatives, the odds are more than two times higher that they would conclude that Zimmerman’s acquittal was justified on the basis of his self-defense argument and Florida’s stand-your-ground law.
6.4. Media Exposure and Perceptions of Bias in the American Criminal Justice System
The final set of analyses in Table 3 reports on the perceptions of blacks, Hispanics, and whites concerning whether the criminal justice system is biased towards African Americans and whether these perceptions are moderated by exposure to media framing of the incident and trial. The analysis demonstrates strong support for the racial gradient thesis. Model 5 includes only race, ethnicity and media exposure variables. It explains eight percent of the variance in perceptions about the criminal justice system. The odds are 12.77 times higher that blacks would view the criminal justice system as biased against members of their racial group compared to the odds that whites would view the criminal justice system in this light. For Hispanics, the effect is significantly contingent upon media exposure to discussions of the Zimmerman/Martin incident. Among Hispanics that have followed the case closely, the odds are 1.24 times higher that Hispanics would find the system to be biased against blacks.
Overall, Americans do have a strong sense that the criminal justice system is biased against African Americans. Figure 6 displays adjusted predicted probabilities that address this question. Media exposure does make a statistically significant and scalable difference in people’s perceptions of the justice system. Overall, evaluation of the justice system becomes worse the more citizens are exposed to media discussions of the Zimmerman/Martin case. The probability is 18% that individuals who do not follow Zimmerman/Martin incident at all in the media would perceive the justice system as biased against blacks. For citizens following the case in the media very closely, the probability jumps to 39%, a double-digit difference of 21 percentage points. At the group level, blacks have the most pessimistic view of the justice system and this view is not necessarily contingent upon exposure to the media. We think this perception is based on the lived experiences of discrimination and marginalization of African Americans throughout American history. Specifically, blacks followed by Hispanics are most likely to perceive bias in the justice system.
Figure 6.
Respondents Perceptions of Bias Based on Media Exposure.
In Model 6, we include all the control variables along with perceptions of the Zimmerman verdict as an independent variable after checking for the possibility of correlated errors. As in previous models, blacks are significantly more likely to think that the justice system is biased against them compared to whites. However, there is no difference in this model between Hispanics and whites. Along these lines, Americans who are married, those with children under the age of 18, conservatives, and respondents who think Zimmerman’s acquittal was just are individuals less inclined to find bias in the justice system against African Americans. Among our control variables we find no support for differences in opinions about injustice based on the age of the respondents. However, there are several other control variables that are statistically significant. For example, we find the educational level of the respondent to be one of the most important determinants of attitude toward the criminal justice system. At all educational attainment levels, the more educated the respondent is, the higher their level of support for the idea that the justice system is biased against blacks. This level of support grows with increased exposure to the Zimmerman/Martin incident. Indeed, as shown in Figure 7, the probability of perceiving the justice system as biased against blacks is highly contingent upon the level of exposure to media discussions about the racially charged Zimmerman/Martin incident as well levels of education. Finally, we find no support for differences in opinion about injustice based on the age of the respondent.
Figure 7.
Respondents Perceptions of Bias Based on Media Exposure and Education Level.
7. Conclusions
Two objectives motivated our research in this article. We wanted to test the racial gradient thesis in the context of citizens’ exposure to media coverage and debate of the Zimmerman/Martin case. We also wanted to understand whether media exposure shapes the perceptions of blacks, Hispanics, and whites about a salient criminological event and racial equity in the criminal justice system more generally. We find support for the racial gradient thesis in four of the six models estimated (Models 1, 3–5). Together, our models demonstrate that blacks more than Hispanics, and Hispanics more than whites are significantly more likely to report that Zimmerman would have been arrested sooner had he killed a white person, that Zimmerman’s verdict was unjust, and that the criminal justice system is biased against blacks. As expected, blacks have the bleakest level of confidence in the criminal justice system. The direct effect of the Hispanic variable was not significant in most of the models but it was significant as an interaction with the media exposure variable, which comports with our theoretical arguments.
We also find strong support for the idea that media exposure to the event, which was largely framed around discussions of race, shapes perceptions of political and social realities about crime and justice. Importantly, when such racialized events are disputed in front of the world, it is a distressing reminder that intergroup conflict remains an inescapable dimension of the American criminal justice landscape. Notably, blacks are least influenced by the media. This is because they are most likely to have negative experiences with the justice system both personally and vicariously based on their own lived experiences. Thus, for blacks, who have had a longstanding history as a marginalized group in America, the media merely serves to reaffirm the conditions they experience routinely and to harden their negative views about the criminal justice system. Hispanics are the group most influenced by media reporting on the fatal event. Increased exposure to the racialized coverage of the incident shifted perceptions among this group such that they were more likely to view the system as biased towards blacks and disagree with the verdict even though Zimmerman is described as a white Hispanic male. Also, Trayvon Martin’s only “transgression” was walking home from a store. This fact coupled with the coverage of his killing illustrates that Hispanics are disinclined to support Zimmerman’s actions and his claim of self-defense.
Exposure to coverage of this salient event influenced the perceptions of whites as well, albeit not to the extent it influenced Hispanics. Apparently, the racialized framing of the event in the media, along with the subsequent debates that frequently focused on racial bias, provided whites with a window into the experiences and vantage points of blacks regarding inequitable treatment in the criminal justice system. All things considered, this event garnered the public’s attention and the media coverage sparked dialogue about racism that was inclusive and allowed citizens, including whites, to debate aspects of the case that were most controversial. Being exposed to the plight described by many blacks, especially young black males, alongside being more aware of evidence and facts presented during the trial may have caused white opinion to shift in favor of greater empathy toward Trayvon Martin. The media is a powerful tool for safeguarding American democracy, highlighting polarized views, and operating as a fact-finding entity for the public. As such, it is important to ensure that minority groups can perceive legal institutions as fair because perceptions of inequality have important implications for legal, social, and political outcomes, especially since access to opposing viewpoints has increased rapidly in the era of social media. The public can consume, contribute, and create media content through many avenues. This new climate makes it increasingly important for our political leaders and institutions to address the sentiments of two of the largest racial groups if the U.S. justice system is to maintain its legitimacy.
Author Contributions
The authors contributed equally to the analysis and writing of this paper.
Conflicts of Interest
The authors declare no conflicts of interest
References
- Ansolabehere, Stephen, Roy Behr, and Shanto Iyengar. 1993. Media Game: American Politics in the Television Age. New York: Macmillan. [Google Scholar]
- Baumgartner, Frank R., Suzanna L. De Boef, and Amber E. Boydstun. 2008. The Decline of the Death Penalty and the Discovery of Innocence. Cambridge: Cambridge University Press. [Google Scholar]
- Blalock, Hubert M. 1967. Toward a Theory of Minority-Group Relations. New York: Wiley. [Google Scholar]
- Bloom, Lisa. 2014. Suspicion Nation: The Inside Story of the Trayvon Martin Injustice and Why we Continue to Repeat It. Berkeley: Counterpoint. [Google Scholar]
- Bobo, Lawrence. 2001. Racial Attitudes and Relations at the Close of the Twentieth Century. America Becoming: Racial Trends and their Consequences 1: 264–301. [Google Scholar]
- Bobo, Lawrence, James R. Kluegel, and Ryan A. Smith. 1997. Laissez-Faire Racism: The Crystallization of a Kinder, Gentler, Antiblack Ideology. Racial Attitudes in the 1990s: Continuity and Change 15: 23–25. [Google Scholar]
- Butterfield, Fox. 1995. All God's Children: The Bosket Family and the American Tradition of Violence. New York: Vintage Books. [Google Scholar]
- Chambliss, William J., and Robert B. Seidman. 1971. Law, Order, and Power. Boston: Addison-Wesley Reading. [Google Scholar]
- Chan, Melissa. 2016. Minnesota Governor Doesn’t Think Philando Castile Would Have Been Killed if He Were White. Time, July 7. [Google Scholar]
- Carter, Bill. 2013. Zimmerman Verdict Drew 10 Million to Cable TV News. Available online: http://www.nytimes.com/2013/07/16/business/media/zimmerman-verdict-drew-millions-to-cable-tv.html (accessed on 15 July 2016).
- Carter, David L. 1985. Hispanic Perception of Police Performance: An Empirical Assessment. Journal of Criminal Justice 13: 487–500. [Google Scholar] [CrossRef]
- Chiricos, Ted, and Sarah Eschholz. 2002. The Racial and Ethnic Typification of Crime and the Criminal Typification of Race and Ethnicity in Local Television News. Journal of Research in Crime and Delinquency 39: 400–20. [Google Scholar] [CrossRef]
- Converse, Philip E., ed. 1964. The Nature of Belief Systems in Mass Publics. In Ideology and Discontent. New York: Free Press. [Google Scholar]
- Doyle, Aaron. 2006. How Not to Think about Crime in the Media. Canadian Journal of Criminology and Criminal Justice 48: 867–885. [Google Scholar] [CrossRef]
- Eberhardt, Jennifer L., Paul G. Davies, Valerie J. Purdie-Vaughns, and Sheri Lynn Johnson. 2006. Looking Deathworthy: Perceived Stereotypicality of Black Defendants Predicts Capital-Sentencing Outcomes. Psychological Science 17: 383–86. [Google Scholar] [CrossRef] [PubMed]
- Flanagan, Timothy J., and Michael S. Vaughn, eds. 1996. Public Opinion about Police Abuse of Force. In Police Violence: Understanding and Controlling Police Abuse of Force. New Haven: Yale University Press. [Google Scholar]
- Furber, Matt, and Richard Perex-Pena. 2016. After Philando Castile’s Killing, Obama Calls Police Shootings an American Issue. The New York Times, July 7. [Google Scholar]
- Gabbidon, Shaun L., and Kareem L. Jordan. 2013. Public Opinion on the Killing of Trayvon Martin: A Test of the Racial Gradient Thesis. Journal of Crime and Justice 36: 283–98. [Google Scholar] [CrossRef]
- Gallup. 2017. How does Gallup polling work? Available online: http://www.gallup.com/poll/101872/howdoes-gallup-polling-work.aspx (accessed on 3 June 2017).
- Gelman, Andrew, and Jennifer Hill. 2006. Data Analysis Using Regression and Multilevel/Hierarchical Models. Cambridge: Cambridge University Press. [Google Scholar]
- Gerbner, George, Larry Gross, Michael Morgan, and Nancy Signorielli, eds. 1986. Living with Television: The Dynamics of the Cultivation Process. In Perspectives on Media Effects. Mahwah: Erlbaum. [Google Scholar]
- Gilliam, Franklin D., Jr., and Shanto Iyengar. 2000. Prime Suspects: The Influence of Local Television News on the Viewing Public. American Journal of Political Science 44: 560–73. [Google Scholar] [CrossRef]
- Goldsmith, Arthur H., Darrick Hamilton, and William Darity. 2006. Shades of Discrimination: Skin Tone and Wages. The American Economic Review 96: 242–45. [Google Scholar] [CrossRef]
- Grabe, Maria Elizabeth, and Dan G. Drew. 2007. Crime Cultivation: Comparisons across Media Genres and Channels. Journal of Broadcasting & Electronic Media 51: 147–71. [Google Scholar]
- Graber, Doris Appel. 1980. Crime News and the Public. New York: Praeger. [Google Scholar]
- Greek, Cecil E., and Paul Mason. 2005. Criminal Visions: Media Representations of Crime and Justice. London: Willan Publishing. [Google Scholar]
- Hagan, John, Carla Shedd, and Monique R. Payne. 2005. Race, Ethnicity, and Youth Perceptions of Criminal Injustice. American Sociological Review 70: 381–407. [Google Scholar] [CrossRef]
- Hawkins, Darnell F. 1987. Beyond Anomalies: Rethinking the Conflict Perspective on Race and Criminal Punishment. Social Forces 65: 719–45. [Google Scholar] [CrossRef]
- Hayden, Jen. 2015. Fox News: Charleston shooting is an attack on faith, not race—Calls for pastors to arm themselves. Available online: https://www.dailykos.com/story/2015/6/18/1394261/-Fox-News-Charleston-shooting-is-an-attack-on-faith-not-race-calls-for-pastors-to-arm-themselves (accessed on 14 December 2016).
- Hunter, Margaret L. 2013. Race, Gender, and the Politics of Skin Tone. Abingdon-on-Thames: Routledge. [Google Scholar]
- Iyengar, Shanto, and Donald R. Kinder. 2010. News that Matters: Television and American Opinion. Chicago: University of Chicago Press. [Google Scholar]
- Key, Valdimer O. 1949. Southern Politics in State and Nation. Tennessee: University of Tennessee Press. [Google Scholar]
- Klapper, Joseph T. 1960. The Effect of Mass Communications. New York: Free Press. [Google Scholar]
- Sigelman, Lee, and Susan Welch. 1994. Black Americans’ Views of Racial Inequality: The Dream Deferred. Cambridge: Cambridge University Press Archive. [Google Scholar]
- Liska, Allen E. 1992. Social Threat and Social Control. Albany: Suny Press. [Google Scholar]
- Lundman, Richard J., and Robert L. Kaufman. 2003. Driving while Black: Effects of Race, Ethnicity, and Gender on Citizen Self-reports of Traffic Stops and Police Actions. Criminology 41: 195–220. [Google Scholar] [CrossRef]
- Mendelberg, Tali. 1997. Executing Hortons: Racial Crime in the 1988 Presidential Campaign. Public Opinion Quarterly 61: 134–57. [Google Scholar] [CrossRef]
- Mendelberg, Tali. 2001. The Race Card: Campaign Strategy, Implicit Messages, and the Norm of Equality. Princeton: Princeton University Press. [Google Scholar]
- Nelson, Thomas E., Rosalee A. Clawson, and Zoe M. Oxley. 1997. Media Framing of a Civil Liberties Conflict and its Effect on Tolerance. American Political Science Review 91: 567–83. [Google Scholar] [CrossRef]
- Peffley, Mark, and Jon Hurwitz. 2010. Justice in America: The Separate Realities of Blacks and Whites. Cambridge: Cambridge University Press. [Google Scholar]
- Poindexter, Paula M., Laura Smith, and Don Heider. 2003. Race and Ethnicity in Local Television News: Framing, Story Assignments, and Source Selections. Journal of Broadcasting & Electronic Media 47: 524–36. [Google Scholar]
- Portes, Alejandro, and Rubén G. Rumbaut. 2001. The Story of the Immigrant Second Generation: Legacies. New York: Russell Sage Foundation. [Google Scholar]
- Potter, Gary W., and Victor E. Kappeler, eds. 2006. Constructing Crime: Perspectives on Making News and Social Problems. Long Grove: Waveland Press. [Google Scholar]
- Price, Vincent, and David Tewksbury. 1997. News Values and Public Opinion: A Theoretical Account of Media Priming and Framing. Progress in Communication Sciences 13: 173–212. [Google Scholar]
- Rubin, Donald B. 2004. Multiple Imputation for Nonresponse in Surveys. Hoboken: John Wiley & Sons, vol. 81. [Google Scholar]
- Schuman, Howard. 1997. Racial Attitudes in America: Trends and Interpretations. Harvard: Harvard University Press. [Google Scholar]
- Sacco, Vincent F. 1995. Media Constructions of Crime. In The ANNALS of the American Academy of Political and Social Science. Paris: Presses Universitaires de France. [Google Scholar] [CrossRef]
- Shedd, Carla, and John Hagan, eds. 2006. Toward a Developmental and Comparative Conflict Theory of Race, Ethnicity, and Perceptions of Criminal Injustice. In The Many Colors of Crime: Inequalities of Race, Ethnicity, and Crime in America. New York: New York University Press. [Google Scholar]
- Smith, Mitch. 2017. Minnesota Office Acquitted in Killing of Philando Castile. New York Times, June 16. [Google Scholar]
- Stewart, Eric A., Eric P. Baumer, Rod K. Brunson, and Ronald L. Simons. 2009. Neighborhood Racial Context and Perceptions of Police-Based Racial Discrimination among Black Youth. Criminology 47: 847–87. [Google Scholar] [CrossRef]
- Surette, Ray. 1998. Media, Crime and Criminal Justice: Images and Realities. Cambridge: Wadsworth. [Google Scholar]
- Terkildsen, Nayda. 1993. When White Voters Evaluate Black Candidates: The Processing Implications of Candidate Skin Color, Prejudice, and Self-Monitoring. American Journal of Political Science 37: 1032–53. [Google Scholar] [CrossRef]
- Tyler, Tom R. 2006. Why People Obey the Law. Princeton: Princeton University Press. [Google Scholar]
- Unah, Isaac. 2011. Empirical Analysis of Race and the Process of Capital Punishment in North Carolina. Michigan State Law Review 2011: 609–58. [Google Scholar]
- Unah, Isaac, and Valerie Wright, eds. 2015. Divided by Race. In Deadly Injustice: Trayvon Martin, Race, and the Criminal Justice System. New York: New York University Press. [Google Scholar]
- Washington, Heather M., and Valerie Wright, eds. 2015. Read between the Lines: Media Coverage of Youth Homicide. In Deadly Injustice: Trayvon Martin, Race, and the Criminal Justice System. New York: New York University Press. [Google Scholar]
- Weiss, Alexander, and Steven M. Chermak. 1998. The News Value of African-American Victims: An Examination of the Media’s Presentation of Homicide. Journal of Crime and Justice 21: 71–88. [Google Scholar] [CrossRef]
- Weitzer, Ronald. 2000. Racialized Policing: Residents’ Perceptions in Three Neighborhoods. Law and Society Review 34: 129–55. [Google Scholar] [CrossRef]
- Weitzer, Ronald, and Steven A. Tuch. 1999. Race, Class, and Perceptions of Discrimination by the Police. Crime & Delinquency 45: 494–507. [Google Scholar]
- Weitzer, Ronald, and Steven A. Tuch. 2002. Perceptions of Racial Profiling: Race, Class, and Personal Experience. Criminology 40: 435–56. [Google Scholar] [CrossRef]
- Weitzer, Ronald, and Steven A. Tuch. 2004. Race and Perceptions of Police Misconduct. Social Problems 51: 305–25. [Google Scholar] [CrossRef]
- Weitzer, Ronald, and Steven A. Tuch. 2006. Race and Policing in America: Conflict and Reform. Cambridge: Cambridge University Press. [Google Scholar]
- Wilkinson, Betina Cutaia, and Emily Earle. 2013. Taking a New Perspective to Latino Racial Attitudes: Examining the Impact of Skin Tone on Latino Perceptions of Commonality with Whites and Blacks. American Politics Research 41: 783–818. [Google Scholar] [CrossRef]
- Yancy, George, and Janine Jones. 2013. Pursuing Trayvon Martin: Historical Contexts and Contemporary Manifestations of Racial Dynamics. Lanham: Rowman & Littlefield. [Google Scholar]
| 1 | Considering the additional knowledge likely acquired from following the story closely, it is not surprising that people from all racial categories may have been exposed to elements about the incident that they construed as being biased. Indeed, one key aspect of the fatal encounter centered on Zimmerman leaving his vehicle to approach Martin. The controversy arose after the media broadcast the 911 call Zimmerman made to report Martin as “suspicious.” During this call, the police instructed him to remain in his vehicle and to not approach Martin. This fact alone was continually debated on-air as many commentators viewed Zimmerman as the aggressor who initiated the interaction despite his claims of self-defense. |
| 2 | The information about how closely respondents are following the news is self-reported. While we have faith in these self-reports, the sources and definitive amounts of news consumption are unknown and unverifiable. Also, respondents could have consumed news content from a variety of formal and informal sources including newspapers, television, Internet, social media as well as other outlets. |
| 3 | There were 103 respondents (three percent) who refused to answer the ideology question. Because the number is relatively small, we assigned these respondents to the moderate (neutral) category. Analysis both with and without this assignment made no substantive difference in our results. |
| 4 | The rule is simply to divide the logistic regression coefficient by 4 to derive a probability score. According to Gelman and Hill (2006, p. 82), the score nicely approximates the impact of the independent variable on the dependent variable, holding potential confounding factors constant. |
© 2017 by the authors. Licensee MDPI, Basel, Switzerland. This article is an open access article distributed under the terms and conditions of the Creative Commons Attribution (CC BY) license (http://creativecommons.org/licenses/by/4.0/).






