You are currently viewing a new version of our website. To view the old version click .
Social Sciences
  • Article
  • Open Access

28 February 2025

Environmental Quality and Poverty in Montevideo: A Spatial Approach to Exploring Environmental Injustices

,
and
1
PhD Program in City, Territory and Sustainable Planning, Universitat Rovira I Virgili, 43480 Vila-seca, Spain
2
Departamento de Geografía, Facultad de Ciencias, Universidad de la República, Montevideo 11400, Uruguay
3
Departamento de Geografía, Universitat Rovira i Virgili, 43480 Vila-seca, Spain
*
Author to whom correspondence should be addressed.
This article belongs to the Section Social Stratification and Inequality

Abstract

The distributive environmental justice approach focuses on analysing the spatial patterns of environmental effects and identifying situations of inequality between different social groups. These inequalities may be related to specific impacts or be the result of accumulated benefits or harms to certain populations, the latter aspect being less investigated globally and, in particular, in Latin America. This work aims to analyse the existence of environmental injustices in the city of Montevideo (Uruguay). For this purpose, an environmental quality index (EQI) composed of five subindices is proposed: pollution, exposure to risks, health impacts, habitat quality and availability of green spaces, and their relationship with the level of poverty is evaluated through descriptive analyses and spatial regression models. The results reveal an inverse relationship between the cumulative environmental quality and poverty level, this being especially marked in the subindices of environmental pollution and habitat quality. In contrast, the availability of green spaces presents a more favourable situation for the poorest groups of the population. This study highlights the importance of analysing environmental injustices through multiple indicator-based approaches and highlights the need to incorporate these perspectives into the study of cities with high levels of segregation.

1. Introduction

Since the late 1980s, the focus on sustainability (in terms of the global system’s carrying capacity) and the concept of intergenerational equity (the responsibility to protect the environment for future generations) have been very relevant areas for research and policy formulation on environmental issues (Gandy 2013; Pérez-Rincón 2018). However, simultaneously, several perspectives have emerged emphasising intragenerational justice and examining processes that could generate inequalities within the system (Bowen 2002 in Moreno Jiménez 2013). These approaches are based on the idea that there is no territory that is sustainable as such, but that there are certain environmental and social processes that affect some while benefiting others (Swyngedouw and Heynen 2003).
From this perspective, the approach of environmental justice emerges, which can be understood from several dimensions, such as distributive, procedural, recognition- or capability-based (Cook and Swyngedouw 2012). The distributive perspective analyses the spatial patterns of the effects of the environment and the inequalities that these could generate, according to social determinants such as economic situation, age, gender or ethnic origin, among others (Gandy 2013). This work focuses on this dimension, given that its geographical component is key (Prieto-Flores et al. 2017), seeking to integrate Geographic Information Systems (GIS) and data analysis techniques for the identification of territorial patterns in disparities and provide knowledge for land planning and management processes (Török 2018; Qiang 2019; Bosisio and Moreno Jiménez 2019).

1.1. Ways to Highlight Environmental Injustices

The visibility of environmental injustice has historically been linked to social movements, especially in Latin America (Cutter 1995; Sarokin and Schulkin 1994; Merlinsky 2017; Santos et al. 2019). However, since the emergence of this concept, academics have worked on developing tools to measure such injustices. This poses a challenge, particularly when it comes to assessing cumulative injustice, that is, that which results from the sum of multiple simultaneous impacts, past and present (Burris and Canter 1997). As has been proposed by other authors, e.g., Sadd et al. (2011) and Camacho Lorenzo et al. (2024b) more recently, this line of research has been less developed. In the literature reviews carried out by these authors, only 31 of 646 articles on the quantitative analysis of distributive environmental justice developed between 2011 and 2021 addressed the impacts of two or more environmental dimensions at the same time, evidencing a gap in the study of inequalities in cumulative impacts on the population.
Advances have been made in this area thanks to studies carried out by authors such as Sadd et al. (2011), Su et al. (2012) and Cushing et al. (2015) in cities in California, USA. The first authors (Sadd et al. 2011) developed a method to detect environmental injustices by analysing cumulative impacts and social vulnerability. Su et al. (2012), meanwhile, created an index of cumulative environmental inequality focused on measuring the risks of air pollution and thermal stress, while Cushing et al. (2015) used the CalEnviroScreen tool to compare environmental risks and social vulnerability. Also in North America, Carrier et al. (2016) constructed an environmental equity index for Montreal, Canada, considering various aspects of the urban environment in relation to vulnerable population groups.
In Europe, studies by Morrison et al. (2014) analysed the relationship between indicators of soil and air pollution and health and deprivation in Glasgow, UK. Flacke et al. (2016) mapped health-related environmental inequalities in Dortmund, Germany, while Shrestha et al. (2016) proposed a method to assess multiple environmental burdens and benefits, in combination with social vulnerability variables, to identify critical areas in the same city. Likewise, Hoelzl et al. (2021) analysed environmental justice in Berlin, Germany, considering different environmental indicators with regard to various socioeconomic groups from a territorial planning perspective. In a specific approach for small island states, Portelli et al. (2020) developed an environmental justice index for small islands, applying it to the case of Malta through environmental and social variables.
However, the scientific literature shows that most of these studies are concentrated in certain cities in North America and Europe, with less development in the global south and Latin America (Ju et al. 2021; Romero-Lankao et al. 2013). Along these lines, Grineski et al. (2012) conducted a hybrid analysis of environmental justice in the border cities of El Paso (Texas, USA) and Ciudad Juárez (Chihuahua, Mexico), using climate change-related indicators to study social inequalities linked to their impacts. Joseph et al. (2014) analysed environmental injustice in Port-au-Prince, Haiti, assessing urban environmental quality using Geographic Information Systems (GIS) and integrating various environmental indicators through weightings.
In Latin America, the contributions of Fernández and Wu (2018) stand out, who developed a methodological framework with an environmental priority index. They applied this method to address environmental inequities in Santiago de Chile. Also relevant are the approaches of Romero-Lankao et al. (2013), who analysed socioeconomic inequality in exposure to environmental pollutants in cities such as Bogotá, Colombia; Mexico City, Mexico; and Santiago de Chile, Chile. In Spain, the contributions of Moreno Jiménez et al. (2022) are relevant, who applied similar approaches to Madrid and Barcelona.
In the case of Montevideo, Uruguay, although the local government includes the environmental dimension as a central issue in the political agenda addressing solid waste management, water and air quality, beach status and climate change, environmental justice does not receive the same attention. Although there are numerous studies that have identified the spatial manifestations of social inequalities in the city (Aguiar 2016; Couriel 2010; Veiga 2010), there is still a lack of a clear definition of disparities and injustices in terms of environmental quality. Some studies have sought to analyse this issue, such as Renfrew (2007), who tried, from a procedural perspective, to analyse the processes of socio-environmental marginalisation based on the detection of cases of lead pollution in the neighbourhood of La Teja, or Camacho Lorenzo et al. (2024a), who analysed the inequality in exposure to risk during heat waves in the city. Beyond these advances, the number of studies focused on measuring environmental justice in the city continues to be scarce.
Considering the relevance of advancing approaches that address accumulated impacts on the population and seeking to contribute to their development in Ibero-American cities, the objective of this work is to analyse the existence of environmental injustices through the application of an environmental quality index (EQI) and its correlation with the social determinants of inequality, taking the city of Montevideo, Uruguay, as a case study.

1.2. Area of Study

Montevideo, located south of Uruguay on the shores of the Río de la Plata, is the political and administrative capital of the country and its main urban centre, with a population of 1.3 million inhabitants. According to the Directrices Departamentales de Ordenamiento Territorial (Departmental Territorial Planning Guidelines), the city extends over 530 km2, distributed in urban, suburban and rural land areas. Administratively, Montevideo is subdivided into 8 municipalities; however, it is the neighbourhoods that represent the territorial unit with the greatest roots in the population. The city comprises 62 neighbourhoods and 995 urban census segments (Figure 1).
Figure 1. Neighbourhoods and census segments of the city of Montevideo and their situation in Uruguay and the region.
For many years, Montevideo was considered an atypical city in the Latin American context for its relatively high levels of quality of life and well-being. However, since the 1990s, new forms of inequality and social vulnerability have emerged, intensifying urban fragmentation. This process has configured a socio-spatial structure where the highest income sectors are concentrated in the eastern coastal strip, the lowest income sectors are located in the periphery, and the middle class is more dispersed (Veiga 2010). By 2022, the average income of the population of Montevideo reached 102,225 UYU/month, varying significantly in areas: in the coastal strip, where neighbourhoods such as Carrasco and Punta Gorda are located, the average values reach almost 200,000 UYU/month, while in areas such as Paso de la Arena, Casabó, Pajas Blancas and La Paloma, the average income is around 65,000 UYU/month (Unidad de Estadística 2024).
Along the same lines, 12.8% of the city’s population was below the poverty line in 2022, with rates ranging from less than 1.5% in coastal areas to more than 20% in peripheral areas. Unemployment stands at around 8.4%, with a minimum rate of 3.3% in the city centre and a maximum of 14.6% in the northern periphery. This indicator is particularly high among under-25s and women (Unidad de Estadística 2024). In addition, according to the latest national population census (2011), 8.5% of people lived in irregular settlements (INE).
In the environmental field, Montevideo faces several challenges. The city’s waterways are very fragile ecosystems, affected by pollution derived from discharges of industrial effluents, urban solid waste and the existence of areas without sanitation. In addition, informal occupation on the margins of these streams creates additional risks for the population, exposing them to higher levels of pollution and the risk of flooding. In addition, soil contamination by heavy metals has also been detected in these areas (Intendencia de Montevideo 2012). The management of urban solid waste represents one of the most urgent environmental problems since its inadequate management has affected both the quality of natural resources and the well-being of the population. Air quality in the city is generally considered good since its location facilitates the natural dispersion of pollutants; however, there are specific emission sources, such as the ANCAP fuel refinery, the “José Batlle y Ordóñez” thermoelectric generation plant and the La Tablada distribution plant, in addition to mobile emissions generated by vehicle flow (Intendencia de Montevideo 2012).
Regarding environmental risks, urban fires and floods have a high probability of occurring with significant impacts, either due to overflows of streams or problems in the drainage of rainwater. There is also a high probability of storms, hailstorms and frost.
In addition, although less likely, high-risk events such as explosions may occur in hazardous sites, such as the ANCAP refinery or the La Tablada plant. These locations constitute a source of risk (Unidad Ejecutiva de Resiliencia 2019).

2. Materials and Methods

An approach is proposed that considers, on one hand, the environmental quality of the city measured through an environmental quality index (EQI) and, on the other, its comparison with the social determinants of inequality.

2.1. Selected Variables

The selection of environmental variables and social determinants was made based on an exhaustive review of the literature in multidimensional studies of environmental justice (Camacho Lorenzo et al. 2024b). Then, a survey was developed and disseminated involving 41 experts in the field of environmental justice, as well as environmental and social issues in Latin America. The objective of this survey was to obtain the prioritisation, through a Likert scale, of each of the environmental variables and social determinants of inequality. To construct the index, a hierarchical weighting technique was used that made it possible to assign numerical weights to each variable and reflect the relative importance of each of them (Roszkowska 2013).
From the available data, 19 indicators were constructed to measure the 11 selected variables that were grouped into five dimensions of urban environmental quality: environmental pollution, exposure to environmental risks, health impacts, habitat quality and availability of green spaces. Table A1, available in Appendix A, presents the indicators used, the spatial unit at which they were calculated, the source from which the data were obtained and the source of the indicator, corresponding to their use in previous environmental justice studies (indicator source).
To define the spatial limits of the analysis, the extension of the urban area defined by the Instituto Nacional de Estadística (INE) was considered, seeking to facilitate access to and management of socio-demographic information (Figure 1). The data were obtained, for the most part, from institutional repositories of local and national governments, as well as remote sensing.

2.2. Standardisation and Aggregation

A min–max normalisation was applied to obtain a range of values between 0 and 1 in each of the variables, where 1 represents the most favourable environmental condition and 0 represents the most unfavourable condition. In order to respect this condition, variables constructed by negative environmental indicators, such as the percentage of industrial areas or people without access to drinking water, were inverted. In contrast, variables representing benefits (e.g., availability of green spaces) maintained their original distribution. To avoid redundancies in the model, the correlation between variables was evaluated, seeking to eliminate those that maintained a high or very high correlation, using the rule of thumb as a reference for interpreting the size of the correlation coefficient (Hinkle et al. 2003 cited in Mukaka 2012). The housing quality variable was eliminated as it maintained a correlation of 0.71 with access to basic services.
The EQI was constructed hierarchically in three stages: (1) the aggregation of the indicators to construct the variables (affecting access to basic services, quality of housing, quality of public space and availability of green spaces); (2) a weighted sum of the variables was made according to each dimension to generate 5 subindexes (environmental pollution, exposure to environmental risks, impact on health, quality of habitat and availability of green spaces) and (3) a weighted sum of each subindex was prepared with equal weight (Figure A1). For the calculation of the index, two spatial units were selected: census segments and neighbourhoods.

2.3. Statistical Analysis

To make easier the interpretation and analysis of results, spatial units were grouped into three levels based on their environmental quality, ranging from the least favourable environmental conditions to the most favourable ones. Tertiles (T) were used as the classification criterion.
The spatial dependence of the indices was assessed through the calculation of the Global Moran’s Index, one of the most widely used tools for this type of analysis. Detecting spatial dependence is essential to determine whether the value of a variable in each observation is influenced by the values of neighbouring units, indicating the presence of spatial relationships in the data. This approach is extensively employed in environmental justice studies (Cárdenas et al. 2020; Portelli et al. 2020; Rufat and Marcińczak 2020; Sanchez et al. 2013), as it enables the exploration of patterns in the spatial distribution of environmental quality and their consideration when interpreting variable relationships.
For this analysis, a queen contiguity spatial weight matrix was created. This matrix evaluates the adjacency of spatial units (census segments and neighbourhoods), assigning a value of 1 to neighbouring units (in all directions) and a value of 0 to non-neighbouring units. Additionally, segments with island effects were excluded.
The relationship between the environmental quality index (EQI), its subindices, and poverty levels was analysed at the neighbourhood level, as the available poverty data are not statistically robust at the census segment level. To explore these relationships, a descriptive analysis was conducted using Pearson’s correlation coefficient to evaluate the linear correlation between variables.
Subsequently, two spatial regression models were evaluated: the spatial lag model (SLM) and the spatial error model (SEM). These models were applied to explain the relationship between the indices and poverty while accounting for potential spatial dependence. Spatial regression models are particularly suited for data with spatial dependence, as they correct biases caused by spatial autocorrelation (Anselin 2001 cited in Chakraborty 2009). These models have been widely utilised in environmental justice studies to identify factors influencing environmental conditions (Chakraborty 2009; Carrier et al. 2016).
The SLM analyses spatial relationships between the values of a variable within a region and its neighbouring regions, while the SEM addresses potential biases introduced by spatial relationships in the data without directly focusing on those relationships (Anselin 2001). In this study, both models were applied to determine which one fits the data better, using the previously described spatial weight matrix.

3. Results

3.1. Environmental Quality

Figure 2 presents the results of the environmental quality index (EQI) calculated at the census segment and neighbourhood levels for the city of Montevideo. In Appendix A, the results of all five subindexes calculated for each spatial disaggregation are provided (Figure A2).
Figure 2. Environmental quality index (EQI) according to census segment and neighbourhood level.
On a general scale, environmental quality levels do not show great differences between the most and least favoured areas, with values ranging between 0.5 and 0.9 in most cases. Regarding the distribution of the index at the census segment level, the environmental quality index (EQI) shows a more favourable distribution in coastal areas and those near the periphery, an intermediate distribution in central areas, and a less favourable distribution in the city’s bay area and certain peripheral zones.
At the neighbourhood level, the best results in terms of environmental quality are concentrated in the coastal neighbourhoods, such as Carrasco, Punta Carretas and Parque Rodó (Figure 3c), while the worst environmental conditions are recorded in the La Teja, La Paloma-Tomkinson and Tres Ombúes neighbourhoods (Figure 3a). This situation can be explained by different reasons, such as proximity to contaminated waterways such as the Pantanoso stream in the case of La Paloma-Tomkinson and Tres Ombúes, or the presence of oil refining activities in La Teja (Figure 3b).
Figure 3. Photographs of the neighbourhoods at the extremes of EQI. (a) Housing near the Pantanoso stream in Tres Ombúes neighbourhood. Source: Google Street View. (b) Refinery over the city’s bay in La Teja neighbourhood. (c) Housing in the Carrasco neighbourhood.
Analysing the spatial dependence of the results reveals that environmental quality exhibits high levels of spatial correlation at both the census segment and neighbourhood levels. This indicates that the environmental quality of a spatial unit is significantly influenced by the environmental quality of its neighbouring units. Furthermore, this pattern is also reflected in several subindices that compose the EQI, particularly in dimensions such as environmental pollution, exposure to environmental risks, habitat quality and the availability of green spaces (Table 1).
Table 1. Global Moran’s Index for the EQI and subindexes at neighbourhood and census segment levels.

3.2. Environmental Justice Analysis

The correlation analysis between the EQI and the poverty level of the population (Table 2) reveals a significant negative relationship (−0.59), indicating that higher levels of poverty correspond to worse environmental conditions. However, Table 2 also presents the correlation between the poverty level and the subindices that compose the index, which shows differentiated patterns of behaviour. Environmental pollution and habitat quality exhibit the strongest negative correlations between the dimensions analysed (−0.57 and −0.62, respectively), suggesting that poorer areas of the city could have higher levels of pollution and worse habitat quality. On the other hand, exposure to environmental risks does not show a significant relationship with poverty, while health impacts have moderate negative and statistically significant correlations (−0.35). In contrast, the availability of green spaces is the only dimension with a positive correlation (0.36), suggesting that areas with greater access to green spaces are associated with higher levels of poverty.
Table 2. Pearson’s correlation coefficient between each index and the poverty level.
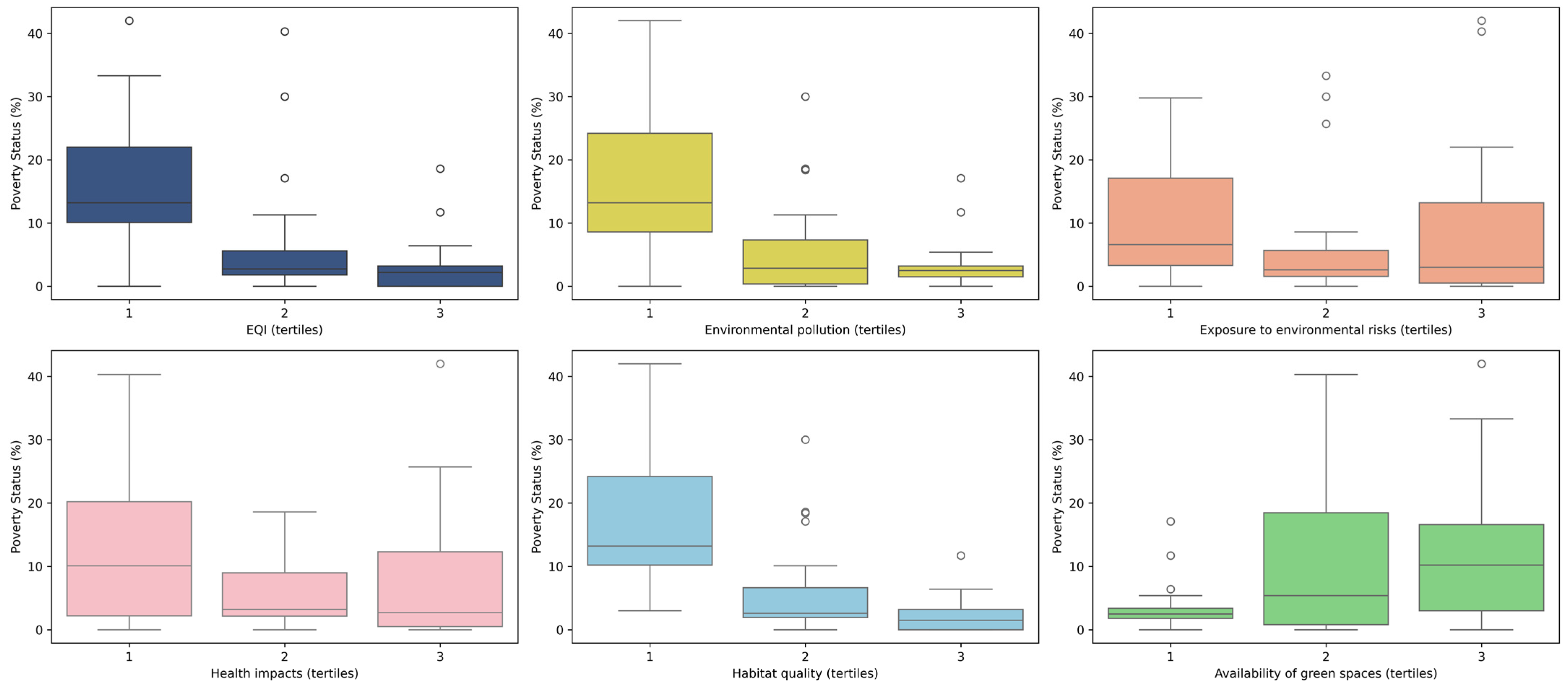
Figure 4 shows a boxplot of poverty levels according to neighbourhoods grouped into EQI and subindex tertiles. When analysing poverty levels, it is observed that, in general, areas with more favourable environmental conditions (higher tertiles) tend to have lower levels of poverty. Neighbourhoods with less favourable environmental conditions show an average poverty rate of 16.27%, while among the neighbourhoods with better environmental status, this value decreases to 3.1%. Similarly, environmental pollution presents significant differences, with an average poverty rate of 16.84% in the first tertile (less favourable environmental condition) and 3.37% in the third (more favourable environmental condition) (Table A2).
Figure 4. Poverty level boxplot (%) according to EQI tertiles and subscripts.
Habitat quality follows a similar pattern, with an average poverty rate of 17.54% in the first tertile and 2.2% in the third. On the other hand, exposure to environmental risks and health impacts, while presenting higher poverty levels in the first tertile, show a less clear relationship: the intermediate tertile (2) has lower poverty levels than the upper tertile. Finally, the availability of green spaces breaks this trend, since the upper tertile shows a higher level of poverty (12.23%) than the others, confirming the exception previously observed.
The spatial lag model (Table 3) demonstrated a better fit compared to the spatial error model (Table A3), although both models showed low and similar AIC values (−360.243 for SLM and −358.987 for SEM). This model achieved a reasonable coefficient of determination (greater than 50%) for all indices, except for the subindexes on health impacts and the availability of green spaces. When evaluating the spatial autocorrelation of model residuals in both cases, it was found that the spatial lag model did not exhibit significant autocorrelation, except in the environmental risk exposure dimension. In contrast, the spatial error model showed significant autocorrelations across all dimensions, indicating that it fails to adequately capture the underlying spatial structure.
Table 3. SLM.
These results suggest that the SLM provides a better representation of the distribution of environmental quality in the city, with high and significant spatial parameters, where neighbourhoods with similar environmental characteristics tend to cluster and the environmental quality of one neighbourhood is strongly influenced by that of its neighbours.
Generally, when analysing the relationship between EQI and poverty using the spatial lag model, a negative, moderate and significant relationship was observed (coefficient = −0.0005; p < 0.01). This suggests that, even after accounting for spatial autocorrelation, part of the environmental quality can be explained by poverty levels.
When breaking down the relationships by subindices, there were differences identified that provide a deeper understanding of the overall relationship. On one hand, environmental pollution and habitat quality showed negative, moderate and significant relationships (coefficient = −0.0021 in the first case and coefficient = −0.0003 in the second). This indicates that higher poverty percentages are associated with higher exposure to pollutants and lower habitat quality. On the other hand, the availability of green spaces showed a positive, but not significant relationship with poverty levels (coefficient = 0.0002, p = 0.5367). This suggests that areas with higher poverty percentages might be associated with greater availability of green spaces, which could partially counterbalance the negative relationships observed in the other subindices.
Finally, subindices related to environmental risk exposure and health impacts showed greater limitations in their explanation through the models. In the case of environmental risk exposure, spatial autocorrelation in residuals was detected, indicating that the model does not adequately capture the spatial data structure. For health impacts, a low coefficient of determination (0.391) was obtained, along with non-significant relationships. This suggests the need for further refinement, possibly incorporating additional spatial variables or alternative modelling approaches.

4. Discussion

Although there are well-established frameworks for assessing environmental quality and justice, with standardised indicators that enable the analysis of cumulative impacts and global comparisons—such as the environmental quality index developed by the EPA, the environmental justice screening method (EJSM) by Sadd et al. (2011), the cumulative environmental hazard inequality index (CEHII) by Su et al. (2012) and tools like EJSCREEN (also from the EPA) and CalEnviroScreen from the California Environmental Protection Agency—these have been designed for contexts with distinct environmental and social characteristics. Consequently, key aspects in the Global South, such as access to sanitation services or electricity, as well as other factors like public space quality and risks associated with climate-related events, are not always considered in these frameworks, despite being crucial in contexts of social vulnerability. In the introduction, we highlighted advancements in this field within Ibero-American contexts. While it is challenging for a single model to be applicable across all contexts, this study aligns with these efforts. A similar reference framework is the one developed by Joseph et al. (2014), who analysed complex environmental quality indices by assessing multiple cumulative impacts from an environmental justice perspective. However, this model has not been validated for application in other contexts, as its validation was conducted through a local survey.
This study represents the first approach to measuring cumulative environmental quality with a focus on justice in the city of Montevideo. Although there are aspects that could improve the analysis model, this approach is fundamental, since it allows progress in the integration of environmental equity in urban planning, something especially relevant for cities with high levels of socioeconomic segregation, as identified by Fernández and Wu (2016) in previous studies, and which is also the case in Montevideo.
Both descriptive analysis and regression models confirm an inverse relationship between the environmental quality and poverty level in Montevideo. Although the magnitude of this relationship is not high, it manifests itself consistently and with high statistical significance. These results suggest that the connection between environmental quality and poverty levels in Montevideo is largely influenced by patterns of territorial segregation shared by both dimensions, rather than by the intrinsic characteristics of each one. In other words, the unequal distribution of environmental quality and poverty across the territory reflects common spatial dynamics. Lower income sectors tend to live in worse environmental conditions, something also observed in previous research on environmental justice in other cities (Carrier et al. 2016; Rufat and Marcińczak 2020; Flacke et al. 2016; Joseph et al. 2014). The areas with the most unfavourable environmental conditions are mainly in the periphery, linked to the presence of watercourses, industrial areas or waste disposal sites, as well as in the bay, where the oil refinery is located. The latter is a consolidated area of the city that requires specific impact mitigation measures; in contrast, the population near contaminated waterways or the waste disposal plant is associated with informal settlements, for which measures such as relocation should be evaluated.
As demonstrated by Su et al. (2012), it is crucial to employ cumulative harm approaches to analysing environmental disparities. In their studies in California, these authors showed that, although some individual indicators affect white communities more in certain contexts, analysis of cumulative impacts reveals that non-white communities are the most affected. Similarly, in this study, analysis by dimension shows varied scenarios, including an advantage for the poor population in terms of the availability of green spaces. However, when examining cumulative impacts, it is observed that this population faces a lower overall environmental quality.
As mentioned, the availability of green spaces shows a different pattern than that identified in other studies (Apparicio et al. 2016; Csomós et al. 2021; Escobedo et al. 2015), favouring in this case the lower income populations. These findings align with those reported by Orlando and Berazategui (2024) who highlighted this advantage for low-income neighbourhoods when analysing the effects of the urban heat island. This requires a particular analysis to understand its dynamics. From a strictly hypothetical perspective, this situation could be due to factors such as less urban development or the existence of informal green areas, such as vacant land. It would also be interesting to take into account the quality of these spaces since it could be that areas with the highest income have high quality spaces, while the less favoured ones have a larger area of closed spaces, but of low quality. In this regard, future research should consider complementing this analysis by examining green spaces from an ecosystem services perspective. The scientific literature has extensively documented the benefits these spaces provide to people, although their magnitude and nature may vary depending on the geographical context, scale and heterogeneity (Jennings and Gaither 2015). While some regulating services, such as air purification and heat mitigation, may be accounted for in this analysis, others, such as cultural ecosystem services (e.g., landscape aesthetics, outdoor recreation and spiritual and cultural values), have not been included. Their incorporation would require considering additional aspects, such as safety, space quality and use. As highlighted by Jennings et al. (2016), these factors are essential for human health and well-being, yet they are often underestimated.
Finally, some limitations and aspects that could optimise the environmental justice analysis model in the city were identified. First, the health impact dimension is limited exclusively to mortality from cardiovascular diseases. While this indicator is associated, among other factors, with environmental conditions (Jennings and Gaither 2015) and has been used in environmental justice studies (Table A1), it would be necessary to include other health conditions, such as mortality from other causes, asthma prevalence, low birth weight and diseases related to metal contamination, among others. However, their inclusion has been constrained by the difficulty of accessing data at the scale of analysis used in this study. In addition, it is necessary to incorporate direct pollution indicators, given that the current ones are indirect approaches. Although Montevideo has an air quality monitoring network, it is insufficient to perform robust interpolations across the city. It would also be valuable to have more accurate measurements of the impact of water pollution on populations near contaminated waterways, as well as information on floodplains. There are other indicators of a relevant nature for the Montevideo context, such as the presence of waste on public roads, informal landfills, soil contamination and fire risk, which could not be incorporated into the model due to the lack of data. In addition, indicators of access to basic services need updating, as the latest data available (at the time of writing this article) are from the 2011 national census. To adapt our model to different territorial contexts, it would be advisable to incorporate a sensitivity analysis. This would allow for the assessment of the model’s behaviour under variations in its assumptions, such as the number of indicators or the weights assigned to them.

5. Conclusions

This study constitutes a significant advance in the analysis of environmental justice in the city of Montevideo. Through the application of the environmental quality index (EQI) and its interpretation together with the social determinants, a replicable method is proposed in other cities in the region to identify situations of injustice. The methodology used shows the importance of using multi-indicators and different dimensions to reliably determine environmental justice. The results show that, for example, if only a subscript such as the availability of green spaces is used, in this case composed of three indicator variables (NDVI, percentage of green areas and distance to green areas), environmental injustice is masked.
Montevideo shows situations of environmental injustice, characterised by a lower quality of the general environment in the most disadvantaged areas and especially relevant if the indicators related to pollution and the quality of the habitat are observed. While the inverse relationship between poverty and environmental quality may be expected, it has not been previously demonstrated for this city. This opens an important line of inquiry that should be strengthened not only through the enhancement of measurement tools, as mentioned earlier, but also by examining the causal mechanisms, both historical and current, that produce these inequalities.

Author Contributions

Conceptualization, S.C.L., Y.P.A. and J.A.G.; methodology, S.C.L., Y.P.A. and J.A.G.; formal analysis, S.C.L.; investigation, S.C.L.; data curation, S.C.L.; writing—original draft preparation, S.C.L.; writing—review and editing, S.C.L., Y.P.A. and J.A.G.; visualization, S.C.L.; supervision, Y.P.A. and J.A.G.; funding acquisition, Y.P.A. All authors have read and agreed to the published version of the manuscript.

Funding

This research was funded by Ministerio de Ciencia, Innovación y Universidades. Agencia Estatal de Investigación, grant number PID2020-114363GB-I00, and Secretaria d’Universitats i Recerca del Departament de Recerca i Universitats de la Generalitat de Catalunya and European Social Fund, grant number 2022 FI_B 00791.

Institutional Review Board Statement

This study has been approved by the Research Ethics Committee on People, Society and Environment of the Universitat Rovira i Virgili (CEIPSA-2021-PR-0026).

Data Availability Statement

The raw data supporting the conclusions of this article will be made available by the authors on request.

Acknowledgments

We would like to express our gratitude to the experts who shared their valuable opinions, which enabled us to prioritise and weight the indicators of this study. Furthermore, we would like to acknowledge the support provided by the Geography Department of the Universidad de la República (Uruguay). In particular, we extend our appreciation to Virginia Fernández for her significant contributions. Additionally, we would like to thank the institutions that provided data, especially the Comisión Honoraria para la Salud Cardiovascular.

Conflicts of Interest

The authors declare no conflicts of interest.

Appendix A

Table A1. Indicators.
Table A1. Indicators.
Environmental Variables
DimensionVariableIndicatorSpace UnitData SourceIndicator Source
Environmental pollutionWater pollution% of population in segments < 300 m from contaminated watercourses, slope < 12% and altitude < 250 m.Census segmentIntendencia de Montevideo(Joseph et al. 2014)
Location of polluting foci % of industrial areasCensus segmentIntendencia de Montevideo(Rufat and Marcińczak 2020)
Presence of waste % of surface area located < 2000 m from final waste disposal sitesCensus segmentOwn production Adapted from Cushing et al. (2015)
Exposure to environmental risksExtreme weather events.Risk index for extreme weather events (physical risk)Census segmentSistema Nacional de Emergencias New gauge
Extreme temperaturesUHRI: surface temperature, NDVI and NDBICensus segmentSentinel 2 and 3 images(Mitchell et al. 2021; Mitchell and Chakraborty 2018)
Industrial and technological risks% of surface area located < 1500 m from sites considered hazardous: refineries, fuel distribution centres and thermal power plantsCensus segmentOwn production (Sadd et al. 2011)
Health impactsHealth impactsMortality rate for cardiovascular diseasesCensus segmentComisión honoraria para la salud cardiovascular(Romero-Lankao et al. 2013)
Habitat qualityAccess to basic services% of households without access to safe drinking water Census segmentINE (INE-CENSOS 2011)(Rufat and Marcińczak 2020)
% of households without access to electricityMitchell et al. (2021)
% of households without access to sanitationNew gauge
Housing adequacy% of households with housing built predominantly by waste materials and dirt flooringCensus segmentINE (INE-CENSOS 2011)Adapted from Lejeune and Teller (2016)
% of overcrowded households (3 or more people share the same room)Adapted from Romero-Lankao et al. (2013)
Quality of urban public space% of public use areaCensus segmentIntendencia de MontevideoCárdenas et al. (2020)
Distance to public squares and plazasCensus segmentIntendencia de MontevideoNew gauge
Distance to bike lanesCensus segmentIntendencia de MontevideoNew gauge
Public banks per 1000 inhabitantsCensus segmentIntendencia de MontevideoNew gauge
Availability of green spacesAvailability of green spacesNDVIPixel 20 × 20 mSentintel 2 Images(Bellini et al. 2016; Bonilla-Bedoya et al. 2020; Fernández and Wu 2018; Mitchell et al. 2021; Portelli et al. 2020)
% of green areas/public parksCensus SegmentIntendencia de MontevideoBonilla-Bedoya et al. (2020); Pineda-Pinto et al. (2021)
Distance to green areas/public parksPixel 10 × 10 mIntendencia de MontevideoAdapted from Shrestha et al. (2016)
Social Determinants
DimensionVariableIndicatorSpace UnitData SourceIndicator Source
Socioeconomic statusPoverty status% of people below the poverty lineNeighbourhoodContinuous Survey of Households (INE-ECH 2022)(Barzyk et al. 2011; Sadd et al. 2011; Su et al. 2012)
Figure A1. Environmental justice analysis model.
Figure A2. EQI subindices according to census segment and neighbourhood level.
Table A2. Average poverty level (%) according to EQI tertiles and subindexes.
Table A2. Average poverty level (%) according to EQI tertiles and subindexes.
EQIEnvironmental PollutionExposure to
Environmental Risk
Health ImpactsHabitat QualityAvailability of Green Spaces
1st tercile16.27%16.84%10.13%12.55%17.54%3.7%
2nd tertile6.97%6.08%6.70%5.91%6.57%10.55%
3rd tertile3.1%3.37%9.49%7.82%2.2%12.25%
Table A3. SEM.
Table A3. SEM.
EQIEnvironmental PollutionExposure to
Environmental Risk
Health ImpactsHabitat QualityAvailability of Green Spaces
Pseudo R-squared0.34630.32350.00040.120.38420.1290
AIC−358.987−159.743−334.663−356.194−401.181−258.036
Constant0.7829 **0.9157 **0.77 **0.93 **0.8440 **0.4528 **
Poverty status−0.0006 **−0.002 **−0.0002−0.0003−0.0003 *0.0000
Special lambda parameter0.7985 **0.8481 **0.90220.6201 **0.8923 **0.8788 **
* p value < 0.1, ** p value < 0.001.

References

  1. Aguiar, Sebastián. 2016. Acercamientos a la Segregación Urbana en Montevideo. Ph.D. dissertation/thesis, Universidad de la República, Montevideo, Uruguay. [Google Scholar]
  2. Anselin, Luc. 2001. Spatial Econometrics. In A Companion to Theoretical Econometrics. Edited by Badi H. Baltagi. Oxford: Blackwell Publishing, pp. 310–30. [Google Scholar]
  3. Apparicio, Philippe, Thi-Thanh-Hien Pham, Anne-Marie Séguin, and Jean Dube. 2016. Spatial Distribution of Vegetation in and around City Blocks on the Island of Montreal: A Double Environmental Inequity? Applied Geography 76: 128–36. [Google Scholar] [CrossRef]
  4. Barzyk, Timothy M., Brandi M. White, Margaret Millard, Marilou Martin, Lars D. Perlmutt, Francene Harris, Phuong Nguyen, Alan Walts, and Andrew Geller. 2011. Linking Socio-Economic Status, Adverse Health Outcome, and Environmental Pollution Information to Develop a Set of Environmental Justice Indicators with Three Case Study Applications. Environmental Justice 4: 171–77. [Google Scholar] [CrossRef]
  5. Bellini, Juliana H., Ítalo I. Caixeiro Stephan, and José M. Gleriani. 2016. The environmental inequality analysis in rio das Ostras-Rj, Brazil, using AHP (analitic hierarchy process) technique. RA’E GA—O Espaco Geografico em Analise 38: 82–106. [Google Scholar] [CrossRef]
  6. Bonilla-Bedoya, Santiago, Anabel Estrella, Fabian Santos, and Miguel A. Herrera. 2020. Forests and Urban Green Areas as Tools to Address the Challenges of Sustainability in Latin American Urban Socio-Ecological Systems. Applied Geography 125: 102343. [Google Scholar] [CrossRef]
  7. Bosisio, Andrea, and Antonio Moreno Jiménez. 2019. Measuring Environmental Injustice on Vulnerable and Deprived Populations Caused by Pluvial Waterlogging: A Gis-based Analysis in Santa Fe de la Vera Cruz (Argentina). Estudios Geograficos 80: 287. [Google Scholar] [CrossRef]
  8. Bowen, William. 2002. An analytical review of environmental justice research: What do we really know? Environmental Management 29: 3–15. [Google Scholar] [CrossRef]
  9. Burris, R. K., and Larry W. Canter. 1997. Cumulative Impacts Are Not Properly Addressed in Environmental Assessments. Environmental Impact Assessment Review 17: 5–18. [Google Scholar] [CrossRef]
  10. Camacho Lorenzo, Soledad, Joan Alberich González, and Yolanda Pérez Albert. 2024a. Climate Justice and Environmental Equity: An Analysis of Ex-Treme Heat Exposure in the City of Montevideo, Uruguay. Paper presented at 2nd International Conference on Future Challenges in Sustainable Urban Planning & Territorial Management: SUPTM 2024, Cartagena, Spain, January 30. [Google Scholar]
  11. Camacho Lorenzo, Soledad, Yolanda Pérez Albert, and Joan Alberich González. 2024b. Indicators for measuring urban environmental equity: A scoping review. BAGE Boletín de la Asociación Española de Geografía 101. [Google Scholar] [CrossRef]
  12. Carrier, Mathieu, Philippe Apparicio, Yan Kestens, Anne-Marie Séguin, Hien Pham, Dan Crouse, and Jack Siemiatycki. 2016. Application of a Global Environmental Equity Index in Montreal: Diagnostic and Further Implications. Annals of the American Association of Geographers 106: 1268–85. [Google Scholar] [CrossRef]
  13. Cárdenas, Maria Fernanda, Jhon F. Escobar, and Katheryn Gutierrez. 2020. Territorial Equity in Medellin: Public Space, Natural Hazards and Air Quality. Estudios Socioterritoriales 27. [Google Scholar] [CrossRef]
  14. Chakraborty, Jayajit. 2009. Automobiles, Air Toxics, and Adverse Health Risks: Environmental Inequities in Tampa Bay, Florida. Annals of the Association of American Geographers 99: 674–97. [Google Scholar] [CrossRef]
  15. Cook, Ian R., and Erik Swyngedouw. 2012. Cities, Social Cohesion and the Environment: Towards a Future Research Agenda. Urban Studies 49: 1959–79. [Google Scholar] [CrossRef]
  16. Couriel, Jack. 2010. De Cercanías a Lejanías: Fragmentación Sociourbana En El Gran Montevideo. Montevideo: Trilce. [Google Scholar]
  17. Csomós, György, Zsolt J. Farkas, Ronald A. Kolcsár, Péter Szilassi, and Zoltán Kovács. 2021. Measuring Socio-Economic Disparities in Green Space Availability in Post-Socialist Cities. Habitat International 117: 102434. [Google Scholar] [CrossRef]
  18. Cushing, Lara, John Faust, Laura M. August, Rose Cendak, Walker Wieland, and George Alexeeff. 2015. Racial/Ethnic Disparities in Cumulative Environmental Health Impacts in California: Evidence from a Statewide Environmental Justice Screening Tool (CalEnviroScreen 1.1). American Journal of Public Health 105: 2341–48. [Google Scholar] [CrossRef]
  19. Cutter, Susan L. 1995. Race, Class and Environmental Justice. Progress in Human Geography 19: 111–22. [Google Scholar] [CrossRef]
  20. Escobedo, Francisco J., Nicola Clerici, Christina L. Staudhammer, and Germán Tovar Corzo. 2015. Socio-Ecological Dynamics and Inequality in Bogotá, Colombia’s Public Urban Forests and Their Ecosystem Services. Urban Forestry and Urban Greening 14: 1040–53. [Google Scholar] [CrossRef]
  21. Fernández, Ignacio C., and Jianguo Wu. 2016. Assessing Environmental Inequalities in the City of Santiago (Chile) with a Hierarchical Multiscale Approach. Applied Geography 74: 160–69. [Google Scholar] [CrossRef]
  22. Fernández, Ignacio C., and Jianguo Wu. 2018. A GIS-Based Framework to Identify Priority Areas for Urban Environmental Inequity Mitigation and Its Application in Santiago de Chile. Applied Geography 94: 213–22. [Google Scholar] [CrossRef]
  23. Flacke, Johannes, Steffen A. Schuele, Heike Koeckler, and Gabriele Bolte. 2016. Mapping Environmental Inequalities Relevant for Health for Informing Urban Planning Interventions-A Case Study in the City of Dortmund, Germany. International Journal of Environmental Research and Public Health 13: 711. [Google Scholar] [CrossRef]
  24. Gandy, Oscar H., Jr. 2013. Wedging Equity and Environmental Justice into the Discourse on Sustainability. TripleC 11: 221–36. [Google Scholar] [CrossRef][Green Version]
  25. Grineski, Sara E., Timothy W. Collins, Paula Ford, Rosa Fitzgerald, Raed Aldouri, Gilberto Velazquez-Angulo, Maria de Lourdes Romo Aguilar, and Duanjun Lu. 2012. Climate Change and Environmental Injustice in a Bi-National Context. Applied Geography 33: 25–35. [Google Scholar] [CrossRef]
  26. Hoelzl, Sonja Edith, Mihailo Veskov, Toni Scheibner, Ti Thuong Le, and Birgit Kleinschmit. 2021. Vulnerable Socioeconomic Groups Are Disproportionately Exposed to Multiple Environmental Burden in Berlin—Implications—for Planning. International Journal of Urban Sustainable Development 13: 334–50. [Google Scholar] [CrossRef]
  27. INE-CENSOS. 2011. Censos 2011, 8º censo de población, 4º censo de hogares, 6º censo de viviendas y 1° Entorno Urbanístico. Available online: https://www4.ine.gub.uy/Anda5/index.php/catalog/243 (accessed on 25 February 2025).
  28. INE-ECH. 2022. Encuesta Continua de Hogares. Available online: https://www4.ine.gub.uy/Anda5/index.php/catalog/730 (accessed on 25 February 2025).
  29. Intendencia de Montevideo. 2012. Directrices Departamentales de Ordenamiento Territorial y Desarrollo Sostenible de Montevideo. Available online: https://montevideo.gub.uy/areas-tematicas/planificacion/ordenamiento-territorial/directrices-departamentales-de-ordenamiento-territorial-y-desarrollo-sostenible-de-montevideo (accessed on 10 December 2024).
  30. Jennings, Viniece, and Cassandra Johnson Gaither. 2015. Approaching Environmental Health Disparities and Green Spaces: An Ecosystem Services Perspective. International Journal of Environmental Research and Public Health 12: 1952–68. [Google Scholar] [CrossRef] [PubMed]
  31. Jennings, Viniece, Lincoln Larson, and Jessica Yun. 2016. Advancing Sustainability through Urban Green Space: Cultural Ecosystem Services, Equity, and Social Determinants of Health. International Journal of Environmental Research and Public Health 13: 196. [Google Scholar] [CrossRef] [PubMed]
  32. Joseph, Myrtho, Fahui Wang, and Lei Wang. 2014. GIS-Based Assessment of Urban Environmental Quality in Port-Au-Prince, Haiti. Habitat International 41: 33–40. [Google Scholar] [CrossRef]
  33. Ju, Yang, Mika Moran, Xize Wang, Ioane Avila-Palencia, Andrea Cortinez-O’Ryan, Kari Moore, Anne D. Slovic, Olga L. Sarmiento, Nelson Gouveia, and Waleska Teixeira Caiaffa. 2021. Latin American Cities with Higher Socioeconomic Status Are Greening from a Lower Baseline: Evidence from the SALURBAL Project. Environmental Research Letters 16: 104052. [Google Scholar] [CrossRef]
  34. Lejeune, Zoé, and Jacques Teller. 2016. Incentives and Barriers to Environmental Inequality Mobilization: A Case-Study Analysis in Wallonia, Belgium. Environmental Science and Policy 66: 208–16. [Google Scholar] [CrossRef]
  35. Merlinsky, Gabriela. 2017. Los Movimientos de Justicia Ambiental. La Defensa de Lo Común Frente al Avance Del Extractivismo. Voces En El Fénix 60: 6–15. [Google Scholar]
  36. Mitchell, Bruce C., and Jayajit Chakraborty. 2018. Exploring the Relationship between Residential Segregation and Thermal Inequity in 20 U.S. Cities. Local Environment 23: 796–813. [Google Scholar] [CrossRef]
  37. Mitchell, Bruce C., Jayajit Chakraborty, and Pratyusha Basu. 2021. Social Inequities in Urban Heat and Greenspace: Analyzing Climate Justice in Delhi, India. International Journal of Environmental Research and Public Health 18: 4800. [Google Scholar] [CrossRef]
  38. Moreno Jiménez, Antonio. 2013. Población y Polución Atmosférica Intraurbana Por Dióxido de Nitrógeno. Cuadernos Geográficos 52: 84–107. [Google Scholar]
  39. Moreno Jiménez, Antonio, Rosa Cañada Torrecilla, Pedro Martínez Suárez, Jesús Vidal Domínguez, and Antonio Palacios García. 2022. How Much Inequality in Exposure to High PM10 Pollution Is Too Much to Be Considered Environmentally Unfair? An Assessment for Vulnerable Groups in Two Major Spanish Cities. Boletin de La Asociacion de Geografos Espanoles 92. [Google Scholar] [CrossRef]
  40. Morrison, S., F. M. Fordyce, and E. M. Scott. 2014. An Initial Assessment of Spatial Relationships between Respiratory Cases, Soil Metal Content, Air Quality and Deprivation Indicators in Glasgow, Scotland, UK: Relevance to the Environmental Justice Agenda. Environmental Geochemistry and Health 36: 319–32. [Google Scholar] [CrossRef]
  41. Mukaka, M. M. 2012. Statistics Corner: A Guide to Appropriate Use of Correlation Coefficient in Medical Research. Malawi Medical Journal 24: 69–71. [Google Scholar] [PubMed]
  42. Orlando, Luis, and Mauro Berazategui. 2024. An Urban Ecology Primer for Montevideo: Heat Island in a Latin American Social-Ecological Context. Urban Climate 57: 102091. [Google Scholar] [CrossRef]
  43. Pérez-Rincón, Mario. 2018. La Justicia Ambiental Como Línea Estratégica de La Economía Ecológica: ¿cómo Evidenciar Las Injusticias Ambientales? Gestión y Ambiente 21: 57–68. [Google Scholar] [CrossRef]
  44. Pineda-Pinto, Melissa, Christian A. Nygaard, Manoj Chandrabose, and Niki Frantzeskaki. 2021. Mapping Social-Ecological Injustice in Melbourne, Australia: An Innovative Systematic Methodology for Planning Just Cities. Land Use Policy 104: 105361. [Google Scholar] [CrossRef]
  45. Portelli, Maria S., Elisabeth Conrad, and Charles Galdies. 2020. Developing an Environmental Justice Index for Small Island States: The Case of Malta. Sustainability 12: 9519. [Google Scholar] [CrossRef]
  46. Prieto-Flores, María E., Antonio Moreno Jiménez, Diana Gómez-Barroso, Rosa Cañada Torrecilla, and Pedro Martínez Suárez. 2017. Contaminación Del Aire, Mortalidad Cardiovascular y Grupos Vulnerables En Madrid: Un Estudio Exploratorio Desde La Perspectiva de La Justicia Ambiental. Scripta Nova 21: 1–32. [Google Scholar] [CrossRef]
  47. Qiang, Yi. 2019. Disparities of Population Exposed to Flood Hazards in the United States. Journal of Environmental Management 232: 295–304. [Google Scholar] [CrossRef]
  48. Renfrew, Daniel. 2007. Justicia Ambiental y Contaminación por Plomo en Uruguay. In Antropología Social y Cultural En Uruguay. Paris: UNESCO. [Google Scholar]
  49. Romero-Lankao, Patricia, Hua Qin, and Mercy Borbor-Cordova. 2013. Exploration of Health Risks Related to Air Pollution and Temperature in Three Latin American Cities. Social Science and Medicine 83: 110–18. [Google Scholar] [CrossRef] [PubMed]
  50. Roszkowska, Ewa. 2013. Rank Ordering Criteria Weighting Methods—A Comparative Overview. Optimum. Studia Ekonomiczne 5: 14–33. [Google Scholar] [CrossRef]
  51. Rufat, Samuel, and Szymon Marcińczak. 2020. The Equalising Mirage? Socioeconomic Segregation and Environmental Justice in Post-Socialist Bucharest. Journal of Housing and the Built Environment 35: 917–938. [Google Scholar] [CrossRef]
  52. Sadd, James L., Manuel Pastor, Rachel Morello-Frosch, Justin Scoggins, and Bill Jesdale. 2011. Playing It Safe: Assessing Cumulative Impact and Social Vulnerability through an Environmental Justice Screening Method in the South Coast Air Basin, California. International Journal of Environmental Research and Public Health 8: 1441–59. [Google Scholar] [CrossRef]
  53. Sanchez, Georgina M., A. Pouyan Nejadhashemi, Zhen Zhang, Sean A. Woznicki, Geoffrey Habron, Sandra Marquart-Pyatt, and Ashton Shortridge. 2013. Development of a Socio-Ecological Environmental Justice Model for Watershed-Based Management. Journal of Hydrology 518: 162–77. [Google Scholar] [CrossRef]
  54. Santos, Carlos, Laura Prol, and Lucía Bergós. 2019. Co-producción de conocimientos e injusticias socio-ambientales. Reflexiones a partir de dosexperiencias en Argentina y Uruguay. Fronteras 12: 115–128. [Google Scholar]
  55. Sarokin, David J., and Jay Schulkin. 1994. Environmental Justice: Co-Evolution of Environmental Concerns and Social Justice. Environmentalist 14: 121–29. [Google Scholar] [CrossRef]
  56. Shrestha, Rehana, Johannes Flacke, Javier Martinez, and Martin Van Maarseveen. 2016. Environmental Health Related Socio-Spatial Inequalities: Identifying ‘Hotspots’ of Environmental Burdens and Social Vulnerability. International Journal of Environmental Research and Public Health 13: 691. [Google Scholar] [CrossRef] [PubMed]
  57. Su, Jason G., Michael Jerrett, Rachel Morello-Frosch, Bill M. Jesdale, and Amy D. Kyle. 2012. Inequalities in Cumulative Environmental Burdens among Three Urbanized Counties in California. Environment International 40: 79–87. [Google Scholar] [CrossRef]
  58. Swyngedouw, Erik, and Nikolas C. Heynen. 2003. Urban Political Ecology, Justice and the Politics of Scale. Antipode 35: 898–918. [Google Scholar] [CrossRef]
  59. Török, Ibolya. 2018. Qualitative Assessment of Social Vulnerability to Flood Hazards in Romania. Sustainability 10: 3780. [Google Scholar] [CrossRef]
  60. Unidad de Estadística. 2024. Información Física y Sociodemográfica Por CCZ. Montevideo. Available online: https://montevideo.gub.uy/sites/default/files/biblioteca/ech2022cczfinal.pdf (accessed on 10 December 2024).
  61. Unidad Ejecutiva de Resiliencia. 2019. Primer Plan de Gestión Integral del Riesgo de Montevideo 2020–2024. Montevideo. Available online: https://montevideo.gub.uy/sites/default/files/documentos/plangirdweb11-19final_0.pdf (accessed on 10 December 2024).
  62. Veiga, Danilo. 2010. Estructura Social y Ciudades En El Uruguay: Tendencias Recientes. Montevideo: Departamento de Sociología, Facultad de Ciencias Sociales, Udelar. [Google Scholar]
Disclaimer/Publisher’s Note: The statements, opinions and data contained in all publications are solely those of the individual author(s) and contributor(s) and not of MDPI and/or the editor(s). MDPI and/or the editor(s) disclaim responsibility for any injury to people or property resulting from any ideas, methods, instructions or products referred to in the content.

Article Metrics

Citations

Article Access Statistics

Multiple requests from the same IP address are counted as one view.