Next Article in Journal
Protective Factors against Emergency Stress and Burnout in Healthcare and Emergency Workers during Second Wave of COVID-19
Next Article in Special Issue
Mother’s Partnership Status and Allomothering Networks in the United Kingdom and United States
Previous Article in Journal
From Conventional to Alternative Tourism: Rebalancing Tourism towards a Community-Based Tourism Approach in Hanoi, Vietnam
Previous Article in Special Issue
The Role of Spousal Separation on Norms Related to Gender and Sexuality among Himba Pastoralists
 
 
Font Type:
Arial Georgia Verdana
Font Size:
Aa Aa Aa
Line Spacing:
Column Width:
Background:
Article

Do Data from Large Personal Networks Support Cultural Evolutionary Ideas about Kin and Fertility?

1
Department of Sociology & Inter-University Center for Social Science Theory and Methodology, Grote Rozenstraat 31, 9712 TS Groningen, The Netherlands
2
Department of Psychology, Science Commons, University of Lethbridge, 4401 University Drive, Lethbridge, AB T1K 3M4, Canada
3
Applied Behavioral Ecology and Ecosystems Research Unit, University of South Africa, Private Bag X6, Florida 1710, South Africa
*
Author to whom correspondence should be addressed.
Soc. Sci. 2021, 10(5), 177; https://doi.org/10.3390/socsci10050177
Submission received: 14 April 2021 / Revised: 11 May 2021 / Accepted: 13 May 2021 / Published: 18 May 2021
(This article belongs to the Special Issue The Behavioral Ecology of the Family)

Abstract

The fertility decline associated with economic development has been attributed to a host of interrelated causes including the rising costs of children with industrialization, and shifts in family structure. One hypothesis is that kin may impart more pro-natal information within their networks than non-kin, and that this effect may be exacerbated in networks with high kin-density where greater social conformity would be expected. In this study, we tested these ideas using large personal networks (25 associates of the respondent) collected from a sample of Dutch women (N = 706). Kin (parents) were perceived to exert slightly more social pressure to have children than non-kin, although dense networks were not associated with greater pressure. In contrast, women reported talking to friends about having children to a greater extent than kin, although greater kin-density in the network increased the likelihood of women reporting that they could talk to kin about having children. Both consanguineal and affinal kin could be asked to help with child-care to a greater extent than friends and other non-kin. Overall, there was mixed evidence that kin were more likely to offer pro-natal information than non-kin, and better evidence to suggest that kin were considered to be a better source of child-care support.

1. Introduction

Why do (post)industrial humans have so few children? This question has occupied economists, demographers, quite a few historians, and many evolutionarily-minded social scientists (see Sear et al. 2016). Over time, it has become clear that any explanation must combine both individual level and societal factors, and that industrial societies cannot be treated as monolithic, but have their own distinct reproductive ecologies (Stulp et al. 2016; Sear 2015; Burger and DeLong 2016). Identifying how and why reproductive decision-making shifts across space and time thus requires consideration of the diverse range of changes associated with economic development—from increased mobility to improved hygiene, and from ideas on contraception to child labor laws—any number of which could influence family size, whether alone or through potentially complex intersections (Newson et al. 2005).
Evolutionary approaches to the issue of fertility decline have included both individual-level explanations concerning the costs and benefits of producing children (see Lawson and Mulder (2016) for review) as well as more complex models that consider how cultural norms evolve, both within and outside the reproductive domain (see Colleran (2016) for review). With respect to behavioral ecology-inspired, individual-based models, early work by Turke (1989), for example, suggested that reductions in the size of extended kin networks during modernization meant that people could no longer call on kin for help with child-care (and/or their perceptions of the likelihood of such help declined), which served to raise the relative costs of children; family size therefore shifted downward to reflect the number of children that could be raised adequately by a smaller family unit. In this view, family size limitation reflects a rational, potentially adaptive response to ecological circumstances. Other authors, in contrast, have suggested that family size decline resulted from the misperception of child-rearing cues in a novel environment (Kaplan 1996); specifically, parents assume that greater investment per child is required than is strictly necessary to promote offspring survival and success. As a result, parents engage in an extreme quality–quantity trade-off that accords with life history considerations, but is functionally maladaptive. Although these individually-oriented optimality models offer genuine insight into how and why reproductive decision-making may have shifted with modernization, such models cannot account for why particular social norms regarding family size arise and take hold in ways that continue to influence behavior independently of changes in an individual’s ecological circumstances (see e.g., Lesthaeghe and Surkyn 1988). There has, therefore, been an enduring interest in developing models that consider fertility decline from a cultural evolutionary perspective (see Colleran (2016) for review).
Models that incorporate social norms in addition to individual cost-benefit analyses have often considered how particular kinds of learning biases can shape decision-making such as imitating highly successful or prestigious individuals. An early example is Boyd and Richerson’s (1985) suggestion that fertility decline is a culturally evolved process that reflects shifts in prestige and who people imitate. Under non-industrial conditions, Boyd and Richerson (1985) argued that prestige and success would be associated with high reproductive success, as individuals afforded prestige would likely be the matriarchs or patriarchs of large families. Modernization then generated new forms of success and associated prestige, often in roles associated with education and work outside the domestic sphere, such as teachers. As such high-investment social roles were likely to cause the individuals fulfilling these roles to limit family size, this would then result in smaller family sizes among those imitating high-prestige individuals, thus creating new reproductive norms.
As Newson et al. (2005) point out, however, the manner by which prestige is determined is itself a product of social values and group norms. Thus, this prestige influence model leaves unexplained why norms of social prestige should have changed to favor “the exotic expertise” of school teachers and the like. Newson and colleagues thus suggest we also need to incorporate teaching biases into cultural evolutionary models in order to generate a more complete explanation. Specifically, they suggest that kin and non-kin are likely to differ in the kinds of information they convey, with kin more likely to encourage behavior that leads to reproductive success. If modernization leads to shifts in the composition of networks, possibly along the lines Turke (1989) suggested, then this, in itself, would be sufficient to explain why family limitation took hold as pro-natal kin influence waned, and new cultural norms for small family sizes could develop.
Newson et al. (2005) offer evidence in favor of their hypothesis from the ethnographic literature, and also by reference to close-knit religious sects like the Amish and Hutterites. They offer further suggestive evidence from a study of family planning in Mozambique, where conversations about family limitation were more likely to occur between friends than relatives. More specific tests of their model require attention to the following two hypotheses: (a) among individuals in the same culture, those with more kin-based networks should be more inclined to behave in ways likely to lead to reproductive success, and (b) in conversations about reproduction, relatives should be more likely to condone or encourage pro-natal behavior. Of course, one has to keep in mind that the hypothesis is concerned with the kinds of teaching biases that serve to initiate a demographic transition and it is possible that these may have changed over time, such that kin and non-kin may converge much more closely in the present day. This is an empirical issue, however, and so it remains valid to test whether different kinds of teaching biases are conveyed via kin versus non-kin.
Here, we use data on the personal networks of Dutch women to investigate (i) whether kin-rich networks are associated with higher levels of social pressure to reproduce, and whether women feel they can talk to kin about having children to a greater extent than the non-kin members of their networks (that is, kin-related teaching bias may come about through both unsolicited and solicited advice). This speaks directly to Newson et al.’s (2005) ideas regarding teaching biases. We also consider (ii) whether people perceive kin as more likely to help with child-care than non-kin, as this may also increase receptiveness to pro-natal information, and so factor into kin-based influences on reproductive success (more in line with Turke’s (1989) behavioral ecological approach).
In addition, we consider network density (i.e., the proportion of all possible ties between alters in the network that are present) as this has the potential to influence both the degree to which novel information is transmitted, and the extent to which social norms are adhered to and policed (Montgomery and Casterline 1996; Marsden 1987; Kohler et al. 2001). If kin-rich networks are also denser, this could amplify the influence of kin as proposed by Newson et al. (2005), because close kin relationships within the network could potentially enable close monitoring and maintenance of pro-natal norms and resist outside influence. This adds a further twist to Newson et al.’s ideas, as kin influence could potentially weaken with modernization due to changes in internal network structure in addition to changes in network composition. In line with this, Colleran (2020), using data from a large sample of Polish women across 22 villages, found that greater market integration was associated with a loosening of kin ties in women’s networks (i.e., the proportion of all possible ties that were kin-based was lower), even though network size did not change.
Interestingly, in an earlier study on the same population, Colleran et al. (2014) found that less educated women, when living among more highly educated neighbors, had fewer children than expected and more highly educated social networks. This effect was not due to a greater presence of non-kin in the network, nor to horizontal transmission between strong ties in the network; rather, it seemed to reflect more frequent interactions with highly educated women. This suggests that reproductive decision-making was partly driven by cultural dynamics beyond the individual (i.e., women’s personal circumstances alone could not fully account for their reproductive decisions). Taken together, these findings suggest either that prestige-based copying of educated women may, in fact, drive decision-making contra Newson et al., and/or greater contact with highly educated women combined with reduced kin density allows new social norms to diffuse more easily due to a reduced capacity for personal networks to resist change. One limitation of this earlier work is that, despite an impressive sample size in general, ego-networks were small, with respondents asked to name up to five other women to whom they could talk about important personal matters (mean network size was 3.11 individuals); such small networks may not be fully representative. Women in our sample were asked to name 25 alters (of either sex, kin and non-kin).
In what follows, we therefore begin by establishing whether network density relates to the proportion of kin in large networks, and whether network structure in our sample varies in ways that would reinforce or undermine Newson et al.’s (2005) hypotheses concerning kin-related teaching biases. We then go on to test our two main hypotheses. In our analyses, we consider the influence of both consanguineal and affinal kin, in line with Bogin et al.’s (2012) characterization of human reproduction as biocultural, rather than as cooperative per se; that is, unlike non-human cooperative breeders, the provision of care and resource transfers among humans is often decoupled from genetic relatedness—a distinction that is worth making explicit. In addition, the blood relatives of an individual’s partner obviously have a vested interest in the reproduction of the couple (Burton-Chellew and Dunbar 2011; Hughes 1988). In our view, then, support, information, and pressure are likely to be exerted by both consanguineal and affinal kin in similar fashion (although it should be remembered that the interests of kin and affinal kin may diverge: Sear et al. 2003).

2. Results

2.1. Descriptives

Overall, we obtained data from 706 Dutch women between the ages of 18 and 41. Each woman reported on exactly 25 alters with whom they had been in contact within the last year and with whom they would be able to communicate if needed. This gave us information on 17,650 alters. On average, respondents reported seven kin in their personal networks, which equates to 28% (SD = 15%), although there was substantial variation with 16 respondents reporting no kin and five reporting 80% or more (Figure 1). The proportion of affinal kin was considerably lower at 10% (SD = 11%) (if we exclude women’s partners this declines to 7% (SD = 10%) for those women who named their partner as an alter). This implies that, on average, networks consisted mostly of non-kin (62%; SD = 18%). Those who reported more kin reported slightly fewer affinal kin (r = −0.05), but many fewer non-kin (r = −0.80). Similarly, reporting more affinal kin meant reporting fewer non-kin (r = −0.56).

2.2. Are More Kin-Heavy Networks More Densely Connected?

Respondents were asked to indicate whether each alter in their network was in contact with each of the other alters, where contact referred to both face-to-face interactions as well as other forms of contact. This meant that respondents had to evaluate 300 alter-alter-ties. The nature of our question means that it need not be the case that all kin are connected (e.g., divorced parents may not be in contact) as is often assumed in kin networks (e.g., Colleran 2020; David-Barrett 2019). The average density of the network across respondents was 24% (SD = 11%), which means that, on average, 24% of the possible 300 ties between all 25 alters exist (Figure 2). Density was positively but weakly associated with the number of consanguineal kin that people reported in their network (r = 0.30; Figure 2), and even more weakly with the number of affinal kin (r = 0.16). A linear regression predicted a density of 23% with five kin alters in the network, which increased to 27% with 10 kin alters in the network. The number of non-kin was negatively associated with density (r = −0.35; Figure 2; combining the number of consanguineal and affinal kin would lead to an identical, but positive correlation with density of r = 0.35).

2.3. Are Kin More Supportive with Respect to Child-Care and Communication?

For each alter, respondents were asked whether they could (i) ask the alter for help with child-care, and (ii) talk to the alter about having children. On average, 35% (SD = 21%) of alters were available for help with child-care and respondents stated they could talk to 28% (SD = 24%) of alters about having children.
Respondents reported that approximately 55% of consanguineal and affinal kin could help with child-care (Figure 3), but only 24% of non-kin. Non-kin were further broken down into those that were or were not considered friends: 37% of friends were able to help with child-care, whereas this was true for only 7% of non-friends.
Approximately 40% of affinal kin were reported as approachable for discussions about having children, compared to approximately 25% for consanguineal kin and non-kin. However, when partners were excluded from affinal kin, this percentage dropped to 21%. Thus, for kin beyond the potential reproductive partnership, respondents talk to affinal kin to the same degree that they talk to consanguineal kin or non-kin. Again, if we split non-kin into friends and non-friends, talking about children was more likely with friends (41%) than non-friends (9%). Thus, respondents were likely to speak to friends about having children to a greater extent than both kin categories, and most unlikely to talk about such things with non-friends.
We modeled these data with a binomial mixed model, controlling for respondent age, partnership status, and whether the respondent had children, and corroborated these results (Appendix A, Table A1). Compared to non-kin, non-friend alters, the odds of being able to ask for help with child-care was 10.2 (95% CI: 8.8–11.8) times higher for friends, 32.9 (95% CI: 28.3–38.3) times higher for consanguineal kin, and 36.6 (95% CI: 30.7–43.8) times higher for affinal kin. When examining whether respondents could talk to the alter about having children, weaker but still strong patterns emerged: compared to non-kin, non-friend alters, the odds of talking about children were 6.0 (95% CI: 5.2–6.9) times higher for consanguineal kin, 11.6 (95% CI: 9.7–13.7) for affinal kin, and 12.4 (95% CI: 10.8–14.2) for friends.
We then considered both the composition and density of the network on respondent perceptions. In order to do so, we needed to consider ties between groups of alters, and among kin in particular. We therefore modeled the four alter categories separately (i.e., consanguineal kin, affinal kin, friends, and non-friends). With respect to network composition (i.e., the number of alters in the network belonging to a given category), an increase in the number of consanguineal kin, affinal kin, and non-friends decreased the probability of being able to ask an alter to help with child-care (Figure 4; Table A2; controlling for the density among that group, the age of the respondent, partnership status, and whether the respondent has children). Specifically, the predicted odds of being able to ask an alter to help with child-care decreased by 8.1 (95% CI: 5.4–12.1) for consanguineal kin as we moved from no consanguineal kin alters in the network (composition of 0%) to all individuals in the network being consanguineal kin (composition of 100%). For affinal kin, the odds declined by 3.7 (95% CI: 1.5–9.5), and for non-kin/non-friend alters, the odds declined by 11.6 (95% CI: 5.6–24.1). For non-kin friends, in contrast, the odds increased very slightly by 1.4 (95% CI: 1.1–1.9).
Reporting more consanguineal and affinal kin in the network also decreased the probability of being able to talk to these categories of alters about having children, whereas this was less pronounced for friends and non-friends (Figure 4). For consanguineal kin, the predicted odds of talking to an alter about children decreased by 11.1 (95% CI: 6.8–18.0) when moving from no consanguineal kin alters in the network (composition of 0%) to all individuals being consanguineal kin (composition of 100%). For affinal kin, the odds decreased by 4.4 (95% CI: 1.7–11.5), and for non-friend alters by 1.5 (95% CI: 0.8–2.7). The number of friends in the network produced no change in the odds of talking to an alter about having children (i.e., the predicted odds had a value of 1.0 (95% CI: 0.8–1.4), Table A2).
With respect to density, we also found a strong impact on whether an individual could be asked for help with child-care but, in this case, the relationship was positive for both kin categories in addition to friends (controlling for the number of alters in the network of that particular group, the age of the respondent, partnership status, and whether the respondent has children). That is, for consanguineal kin, affinal kin, and non-kin friends, increased network density was associated with a higher probability of women being able to ask for help with child-care, but there was no such relationship for non-friend alters (Figure 5). The predicted odds of being able to ask an alter to help with child-care increased by 5.6 (95% CI: 4.2–7.4) for consanguineal kin as we moved from no ties between the alters (density of 0%) to all ties existing between the alters (density of 100%), while for affinal kin, the odds increased by 10.7 (95% CI: 6.2–18.6). For friends, the odds increased by 2.0 (95% CI: 1.5–2.5), and for non-friends, the odds increased by only 1.1 (95% CI: 0.7–1.6) (Table A2).
Different patterns, however, emerged for talking about having children. With respect to consanguineal and affinal kin, increased density was associated with being able to talk about children, whereas the relationship was reversed and weaker for friends (Figure 5): higher friend-density was associated with a lower probability that women could talk about having children. Density had little impact among non-kin/non-friend alters. The predicted odds of talking to an alter about children were raised by 3.0 (95% CI: 2.2–4.2) for consanguineal kin and 2.6 (95% CI: 1.5–4.4) affinal kin, when moving from no ties between the alters (density of 0%) to all ties existing between the alters (density of 100%), while they decreased by 1.3 (95% CI: 1.0–1.6) for friends, and by 1.1 (95% CI: 0.7–1.6) for non-friend alters (Table A2).

2.4. Do Women with Kin-Heavy Networks Feel More Pressure to Have Children?

In order to assess whether kin and non-kin differed in the kinds of information they passed to respondents, we investigated the extent to which respondents reported feeling pressure from their parents (or caretakers) and the pressure they felt from friends to have children (on a 7-point scale; ranging from strongly disagree to strongly agree). Excluding women that responded with “I don’t know” (N = 92 for pressure from parents and N = 162 for pressure from friends) and “not applicable” (N = 38 for pressure from parents), respondents reported slightly higher levels of pressure to reproduce from parents (mean = 4.21; SD = 2.19; N = 576) than from friends (mean = 3.97; SD = 2.12; N = 544; t-test: t(1118) = 1.92; p = 0.056; d = 0.11; paired t-test: mean difference = 0.14; t(510) = 3.00; p = 0.0028; d = 0.13) (Figure 6). About half (53%) of respondents felt at least some pressure to reproduce from parents—defined as those responding with “somewhat agree”, “agree”, and “strongly agree”—whereas the rest (47%) did not (i.e., those responding with “neither agree/disagree” up to “strongly disagree”). Slightly less than half of respondents (46%) felt at least some pressure from friends.
Perceived pressure was very different for women with and without children (Figure 6). Among those with children, only 25% felt some pressure to reproduce from parents and only 22% reported pressure from friends, whereas this increased to 67% and 59% among those women without children. Moreover, the most frequent response among those with children was “completely disagree”, whereas for women without children it was “agree”. The overall pattern of responses to pressure from parents and friends was very similar within women with children and within women without children (Figure 6). This resemblance is also apparent from the strong correlation between the pressure felt from friends and from parents (r = 0.88; N = 511).
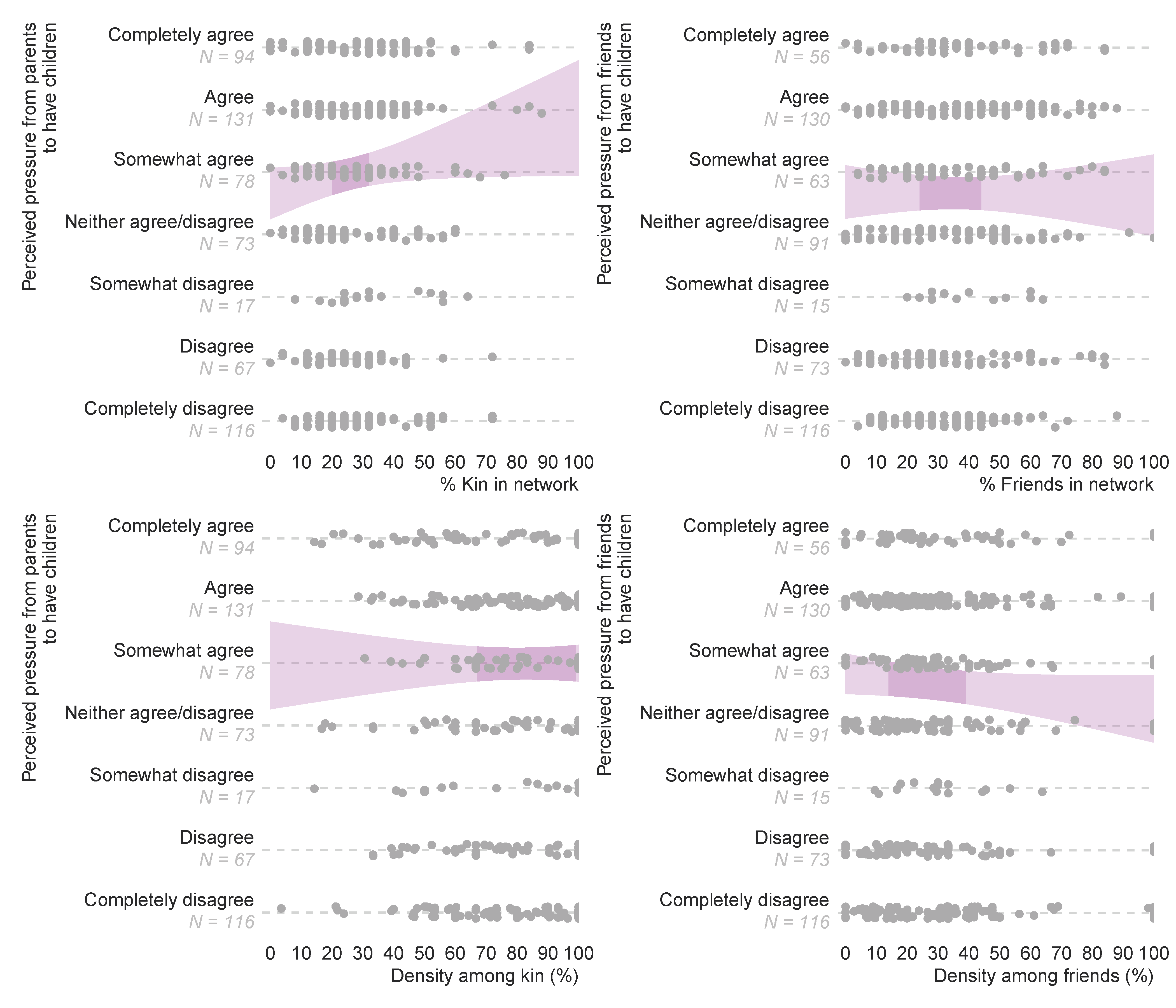
Neither the number of kin nor the density among kin had a substantive impact on the degree of pro-natal pressure that women reported (Figure 7; Table A3). The strongest effect was observed for the number of kin, but the effect was negligible (and the 95% confidence interval included zero): more than 20 extra kin were predicted to be required to move the scale up by one point up (e.g., from somewhat agree to agree). Adding the number of kin to the model increased the explained variance by 0.5% in perceived pressure from parents, whereas kin-density increased this by 0.001%. Density among friends had a negative effect on perceived pressure from friends, but again, the effect was negligible (again, the 95% confidence interval included zero): moving from no ties between friends (density of 0%) to all friends being connected (density of 100%) decreased the perceived pressure on average by about half a point. Adding density to the model increased the explained variance by 0.4% in perceived pressure from friends, whereas the number of friends increased this by 0.002%.

3. Discussion

Overall, we did not find strong support for the idea that kin and non-kin differ in the level of pro-natal information they impart and the degree of social pressure they exert. Although women, on average, experienced slightly more pressure from parents than from friends, the similarity in response was more striking than the differences. There were, however, stark differences in perceived pressure from both family and friends for women with and without children, with the latter reporting higher levels of pressure. This is no doubt to be expected: the decision to have any children at all is likely to be seen as more consequential from the point of view of parents, and so most pressure may be felt at this point in the life course. We found a negligible influence of overall network composition (proportion of kin and friends in the network) and structure (kin-density and friend-density) on the extent to which respondents reported experiencing social pressure. When we considered respondents themselves seeking advice on having children, we found that women reported that they could talk about having children with their friends to a greater extent than either their consanguineal or affinal kin. In this case, there was an effect of network density: for both kin categories, denser networks meant that women could talk more to their kin about having children compared to those with sparser networks. This was not the case for friends, where more ties between friends reduced the probability of talking to friends about children.
One limitation of our study is that we asked only about pressure from parents, rather than from all categories of kin. Thus, we did not capture how other categories of kin may reinforce pro-natal pressure received from parents—it may be that pro-natal social influence is a form of complex contagion (e.g., Hodas and Lerman 2014), and asking about parents alone fails to pick up on this. However, our findings showed a positive (if weak) relationship between density and the number of kin and a negative relationship with the number of non-kin. This implies that kin-dense networks should show more social conformity and relay more similar information than the more diffuse networks associated with larger numbers of non-kin, but we found no evidence that this was the case.
It could also be true that the norms transmitted and sustained within kin networks relate to the support and encouragement of any expressed desire to reproduce on the part of respondents, or a general emphasis on the happiness and fulfilment that children bring, rather than exerting a pressure to have children per se; the particular phrasing of our question cannot distinguish between different kinds of pro-natal sentiment, plus the word “pressure” may have been interpreted in wholly negative terms. The idea that density among kin increased women’s perceptions that kin could help with child-care and that they could talk to kin about having children gives some support to this idea. Overall, then, we cannot rule out the possibility that a more fine-grained analysis would identify kin-based teaching biases, but our current analyses offer no consistent evidence that, in this sample at least, kin and non-kin differ in the kinds of information they are likely to pass on and circulate within networks. We should also note that Newson et al.’s (2005) hypothesis focuses on the origins of low fertility norms, which are potentially distinct from the processes that maintain such norms in the population once established.
More generally, our data show that, even in a low-fertility population like the Netherlands, personal networks contain a substantial number of kin: on average, seven consanguineal kin are reported plus an additional 2.5 affinal kin. This means that some 40% of people’s self-reported personal networks can be considered kin. This reinforces the idea that, while the size of (extended) kin networks may have diminished (Murphy 2011), kin nevertheless remain important social contacts in contemporary populations (e.g., Marsden 1987; Höllinger and Haller 1990; Allan 2008). Again, it is worth noting that our findings come from much larger personal networks than is often the case. This is important because structural and compositional aspects of networks are only reliably estimated with a large number of alters (>15–20; McCarty et al. 2007a, 2007b; Stadel and Stulp 2021). With 25 alters, we can thus be fairly confident that we have reliable estimates of the density and the composition of the networks, and that we are tapping into weak links, meaning that people are not simply calling to mind the most readily available members of their network. Of course, 25 alters remains a low number compared to people’s total social network size, and our estimates of density are thus confined to respondents’ personal networks and will not hold for entire sociocentric networks.
These findings raise the further question of whether this level of kin representation would be sufficient to resist the influence of new norms being introduced into the network by non-kin and weak ties, and whether it would be sufficient to provide the level of support needed to act as an incentive for women to reproduce rather than postpone birth (or produce a smaller family size than they desire). With respect to the first issue, our answer is only speculative, but we consider this unlikely, given our finding that women talk to their friends about having children much more than their kin; if kin are not sought out for their advice, then their ability to influence decisions will be reduced, no matter how well they are represented (although, as noted above, density may need to be factored in here). With respect to the latter question, consanguineal kin and affinal kin were equally likely to contribute to child-care if needed, and did so at a higher level than non-kin friends and non-friends, which corroborates the idea that networks with many kin are able to ease the burden of child-rearing in ways that might open up opportunities for further reproduction (Turke 1989). The fact that women also reported a substantial likelihood of asking friends for help with child-care means that kin-based help is likely to be augmented by that from friends, and confirms that human reproduction should be considered to be biocultural (Bogin et al. 2012), where affinal kin and non-kin are important for raising children, in addition to biological kin.
One surprising finding was that women reported that they could ask for support from their consanguineal and affinal kin to a much greater extent than they could talk to them about having children. Compared to both categories of kin, friends were somewhat less likely to be asked for help, but they were spoken to about children to a greater extent. This suggests that there are certain social expectations around kin-based help with child-care, which makes it easy to request such help from a large proportion of kin, but that conversations about having children may be limited to network members with whom one shares a close relationship. This is supported to some degree by our findings on network composition: as the number of consanguineal and affinal kin in the network increased, women reported being less likely to ask for help and to talk about children, which suggests that we are perhaps capturing more distantly related kin, who are less approachable for help. Overall, these findings are in line with the notion that kin can be asked for more practical support, while people turn to friends for emotional support (e.g., Allan 2008; Voorpostel and Lippe 2007).
Modernization has dramatically changed personal networks, and people in contemporary populations experience greater freedom in their choice of interaction partners. Friends have taken a prominent role in people’s social environment, but this does not mean that kin have lost their importance. The strong reciprocity that is considered important for (maintaining) friendships, does not hold to the same extent for family relations. Novel information and norms may spread more freely in a world with fewer kin, but help with raising children—a service that is not easily reciprocated—seemingly continues to fall predominantly on kin.

4. Materials and Methods

4.1. Participants

Here, we make use of data from the LISS (Longitudinal Internet Studies for the Social sciences) panel administered by CentERdata (Tilburg University, The Netherlands). This is a representative sample of Dutch individuals who participate in monthly Internet surveys. The panel is based on a true probability sample of households drawn from the population register by Statistics Netherlands (CBS). Households that could not otherwise participate are provided with a computer and Internet connection. Only households in which at least one household member spoke Dutch are included. A longitudinal study consisting of 10 core surveys are fielded in the panel every year, covering a large variety of topics. The representativeness of the LISS-panel is similar to those from traditional surveys based on probability sampling (Knoef and de Vos 2009; Scherpenzeel and Bethlehem 2011). Initial selection biases were substantially corrected by refreshment samples, and further refreshment samples were planned for attrition biases (Scherpenzeel 2011). The LISS-panel has information on over 10,000 individuals.

4.2. Social Networks and Fertility Survey

The LISS-panel allows researchers to do their own survey within the panel. We added a study named the Social Networks and Fertility survey (for further details see Stulp 2021; Buijs and Stulp 2019). This research involves investigating social influences on fertility desires and outcomes (i.e., how many children people have or would like to have). All women in the LISS panel between the ages of 18 and 40 (N = 1332) were invited to participate in this survey between 20 February and 27 March 2018. Due to constraints on our budget for renumerating respondents and concerns about statistical power, we focused on women only, rather than collecting data on smaller samples for both men and women. In total, 758 women completed the survey with a mean age of 29.2 (SD = 6.5). Respondents were similar to non-respondents based on a comparison of a range of measures that are collected for all respondents and are continuously updated including birth year, position in household, number of children, marital status, region of living, income, educational level, and (migration) background (Stulp 2021).
For this study, we only selected respondents that listed 25 alters. We excluded respondents that gave problematic responses to alter relationship questions, who did the survey on their phone (against explicit instructions), that had more than 10 missing values, and the one respondent that reported no alter-alter-ties (see Stulp 2021). This led to a final sample of 706 respondents.
Ethical approval for this particular study was obtained through the ethical committee of sociology at the University of Groningen (ECS-170920). For information on the ethical approval on the LISS-panel as a whole, see https://www.lissdata.nl/faq-page#n5512 (accessed on 17 May 2021). The survey was in Dutch. For the full survey in Dutch, an English translation of the questionnaire, further description of the survey, and code to clean and correct the LISS survey data, please visit: https://doi.org/10.34894/EZCDOA (accessed on 17 May 2021). R-code to produce the results in the current manuscript can be found here: https://doi.org/10.34894/DTCZWA (accessed on 17 May 2021). Data will become available on https://www.lissdata.nl (accessed on 17 May 2021).

4.3. Procedure

Respondents were invited to participate in a study on “social networks and fertility” and instructed that the survey would probably take around 25–30 min and that they would receive €12.50 for completing the survey. The first block of questions was about the fertility intentions and desires of the respondents and their partners if they had one.
The second part of the questionnaire involved generating 25 names. Respondents were asked: “Please list 25 names of individuals 18 years or older with whom you have had contact in the last year. This can be face-to-face contact, but also contact via phone, Internet, or email. You know these people and these people also know you by your name or face (think of friends, family, acquaintances, etcetera). You could reach out to these people if you would have to. Please name your partner in case you have one. The names do not have to match perfectly; you can also use nicknames. It is important that you would recognize these names in a future survey. For this research, it is important that you actually name 25 individuals!”. This phrasing was based on the studies by McCarty and colleagues (McCarty et al. 2007a, 2007b). When a respondent proceeded with the questionnaire without listing 25 names, a pop-up screen appeared, reminding respondents that listing 25 alters was important for this study, and that if they had difficulties coming up with names, they could use a contact list. They were also informed that if they still wanted to continue without listing 25 names, that this was also possible. The choice to ask respondents to list exactly 25 names, rather than allowing respondents to freely name as many network members as they liked, was deliberate: allowing respondents a free choice of how many alters to report could lead to variation in network size that reflects motivation to complete the questionnaire and/or differences in how the question was interpreted. Some respondents may have found listing 25 alters hard, others may have found it easy, and this will be reflected in the characteristics of the alters. It is this latter kind of variation that is of interest to network researchers (McCarty et al. 2019). We chose 25 alters because people can easily do so (McCarty 2002; McCarty and Govindaramanujam 2005), because this size of the network is large enough to consist of weak(er) ties, and because networks smaller than 25 individuals reduce the reliability of estimates of the composition and structure of the network (McCarty et al. 2007b; Stadel and Stulp 2021). In total, 738 respondents (97%) listed exactly 25 alters, and 632 of those (90%) came up with the names from memory (Stulp 2021).
Subsequently, 16 alter characteristics were asked about (see Stulp 2021). Here we only list those relevant for this study: (i) type of relationship, with the choice of partner, parent, siblings, other relative, relative of partner, acquaintance/friend of partner, from primary school, from high school, from college/university, from work, from a social activity, through a mutual acquaintance/friend, from the neighborhood, and other. These categories were reduced to kin, affinal kin, and non-kin; (ii) whether the alter was considered a friend; (iii) which of these individuals could the respondent ask for help with the care of the child; and (iv) with whom of these individuals did the respondent discuss having children. Nineteen alters were not given a relationship and we assumed these to be non-kin.
The final question about the alters concerned ties between alters. The following question was asked: “With whom does the alter have contact? With contact, we meant all forms of contact including face-to-face contact, contact via (mobile) phone, letters, emails, texts, and other forms of online and offline communication”.
The survey ended with some additional questions among which two were about the pressure felt to have children. Respondents were asked to state their agreement with the statement “Most of my friends think that I should have (more) children” (scale from completely agree (1) to completely disagree (7) and a “I don’t know” option). They were then asked the same but for parents/caretakers (similar answer options except the possibility “Not applicable” was also added).

4.4. Data Analysis

In all our models, we control for respondent age (centered on 29), whether the respondent has a partner, and whether the respondent has children, all of which are important predictors for network composition and structure, and fertility behavior. For analyses where the dependent variable is a characteristic of the alter (e.g., can talk to this alter about having children, or can ask this alter for help with child-care), we presented results from binomial mixed models to accommodate the nested structure of the data (alters nested in ego; van Duijn et al. 1999). We performed linear regressions in the case of the pressure felt to reproduce from parents and friends. To examine the effects of composition and density on the probability of talking to alters about having children or being able to ask them for help with child-care, we used binomial models.
We used R (R Core Team 2018) for cleaning, transforming, analyzing, and visualizing all data and to write the manuscript. We made use of the following R-packages: ggplot2 (Wickham 2016), tidyverse (Wickham 2017), patchwork (Pedersen 2017), ggtext (Wilke 2020), rmarkdown (Xie et al. 2018), broom (Robinson et al. 2021), and kableExtra (Zhu 2019). We report on how we determined our sample size, all data exclusions (if any), all manipulations, and all measures in the study.

Author Contributions

Conceptualization, G.S. and L.B.; Methodology, G.S.; Data curation, G.S.; Writing—original draft preparation, G.S. and L.B.; Writing—review and editing, G.S. and L.B.; Visualization, G.S. and L.B.; Project administration, G.S.; Funding acquisition, G.S. All authors have read and agreed to the published version of the manuscript.

Funding

The LISS panel data were collected by CentERdata (Tilburg University, The Netherlands) through its MESS project funded by the Netherlands Organization for Scientific Research. This work was further supported by the Netherlands Organization for Scientific Research, VENI grant number 451-15-034 to GS, and NSERC Discovery Grant and Canada Research Chair awards to LB.

Informed Consent Statement

Informed consent was obtained from all subjects involved in the study.

Data Availability Statement

Data will become available on https://www.lissdata.nl/ (accessed on 17 May 2021). Researchers wanting access to data need to submit a statement through https://www.lissdata.nl/access-data (accessed on 17 May 2021).

Conflicts of Interest

The authors declare no conflict of interest. The funders had no role in the design of the study; in the collection, analyses, or interpretation of data; in the writing of the manuscript, or in the decision to publish the results.

Appendix A

Table A1. Binomial mixed model parameter estimates (95% CI) for the effect of type of alter on whether alter can help with child-care or can be talked to about having children while controlling for age, partnership status, and parenthood.
Table A1. Binomial mixed model parameter estimates (95% CI) for the effect of type of alter on whether alter can help with child-care or can be talked to about having children while controlling for age, partnership status, and parenthood.
EstimateCan Help with Child-CareCan Talk to about Children
Intercept−3.069 (−3.298; −2.839)−3.126 (−3.386; −2.865)
Age−0.024 (−0.043; −0.005)0.018 (−0.004; 0.041)
Has partner−0.055 (−0.284; 0.175)0.139 (−0.138; 0.416)
Has child−0.091 (−0.353; 0.172)−0.102 (−0.417; 0.212)
Friend2.321 (2.177; 2.465)2.517 (2.377; 2.656)
Affinal kin3.601 (3.423; 3.779)2.447 (2.275; 2.618)
Consanguineal kin3.495 (3.343; 3.646)1.786 (1.644; 1.929)
SD random intercept1.1801.443
Age was centered around 29; women without partners or children were the reference category. Alters (N = 17,650) are nested within respondents (N = 706).
Table A2. Binomial regression estimates (95% confidence interval) for the effect of density on whether alters can help with child-care or can be talked to about having children while controlling for age, partnership status, and parenthood.
Table A2. Binomial regression estimates (95% confidence interval) for the effect of density on whether alters can help with child-care or can be talked to about having children while controlling for age, partnership status, and parenthood.
OutcomeEstimateConsanguineal KinAffinal KinFriendsNon-Friends
Can help with child-careIntercept−0.415 (−0.739; −0.090)−1.441 (−2.567; −0.315)−0.723 (−0.914; −0.531)−1.676 (−2.076; −1.276)
Age−0.034 (−0.046; −0.023)−0.065 (−0.088; −0.042)0.005 (−0.006; 0.016)0.039 (0.017; 0.061)
Has partner0.067 (−0.074; 0.209)0.050 (−0.964; 1.065)−0.201 (−0.321; −0.081)−0.273 (−0.549; 0.002)
Has child−0.107 (−0.268; 0.053)−0.112 (−0.373; 0.149)−0.043 (−0.199; 0.113)0.231 (−0.063; 0.525)
Composition−0.084 (−0.100; −0.068)−0.053 (−0.090; −0.015)0.015 (0.003; 0.026)−0.098 (−0.127; −0.069)
Density1.721 (1.439; 2.004)2.372 (1.823; 2.922)0.672 (0.411; 0.933)0.061 (−0.365; 0.488)
Can talk to about having childrenIntercept−1.218 (−1.599; −0.836)−2.028 (−3.393; −0.663)−0.238 (−0.426; −0.050)−2.259 (−2.62; −1.898)
Age0.001 (−0.012; 0.014)−0.011 (−0.034; 0.012)0.026 (0.015; 0.037)0.023 (0.004; 0.042)
Has partner0.163 (0.004; 0.323)0.988 (−0.281; 2.256)−0.065 (−0.184; 0.055)0.119 (−0.121; 0.360)
Has child0.014 (−0.165; 0.193)−0.120 (−0.388; 0.147)0.104 (−0.047; 0.255)0.054 (−0.201; 0.308)
Composition−0.096 (−0.116; −0.077)−0.059 (−0.098; −0.020)−0.001 (−0.013; 0.011)−0.016 (−0.040; 0.008)
Density1.101 (0.771; 1.431)0.937 (0.390; 1.484)−0.240 (−0.500; 0.020)−0.078 (−0.469; 0.314)
# respondents676339668606
# in group4891162459614915
# help26498992232329
# talk12765612454445
Age was centered around 29; women without partners or children were the reference category. Composition refers to the number of alters in the network for that particular group (e.g., affinal kin). Density refers to the density among the particular group. The number of respondents vary, because density can only be calculated when respondents list at least two alters of that particular group. “# in group” refers to the number of alters in that group, “# help” refers to how many alters in that group can help with child-care, and “# talk” refers to how many alters in that group can be talked to about having children.
Table A3. Linear regression parameter estimates (95% CI) for the number of kin/friends and density among alters on the pressure felt to reproduce by parents and friends while controlling for age, partnership status, and parenthood.
Table A3. Linear regression parameter estimates (95% CI) for the number of kin/friends and density among alters on the pressure felt to reproduce by parents and friends while controlling for age, partnership status, and parenthood.
EstimatePressure from ParentsPressure from Friends
Intercept4.044 (3.100; 4.989)4.266 (3.677; 4.854)
Age−0.045 (−0.076; −0.013)−0.064 (−0.096; −0.031)
Has partner0.581 (0.190; 0.973)0.583 (0.175; 0.991)
Has child−1.948 (−2.386; −1.511)−1.546 (−1.991; −1.102)
Composition0.049 (0.000; 0.097)−0.002 (−0.040; 0.036)
Density0.036 (−0.769; 0.840)−0.562 (−1.237; 0.113)
N557521
R22422
Age was centered around 29; women without partners or children were the reference category. “Composition” and “Density” refer to number of kin and density among kin in the model on pressure felt from parents and the number of friends and density among friends in the model on pressure felt from friends. Analysis samples include respondents with minimally two kin or friends in their networks.

References

  1. Allan, Graham. 2008. Flexibility, Friendship, and Family. Personal Relationships 15: 1–16. [Google Scholar] [CrossRef]
  2. Bogin, Barry, Jared Bragg, and Christopher Kuzawa. 2012. Humans Are Not Cooperative Breeders but Practice Biocultural Reproduction. Annals of Human Biology 41: 368–80. [Google Scholar] [CrossRef] [PubMed]
  3. Boyd, R., and P. J. Richerson. 1985. Culture and the Evolutionary Process. Chicago: The University of Chicago Press. [Google Scholar]
  4. Buijs, Vera L., and Gert Stulp. 2019. Friends, Family, and Family Friends: Predicting Friendships of Dutch Women. Open Science Framework. [Google Scholar] [CrossRef]
  5. Burger, Oskar, and John P. DeLong. 2016. What If Fertility Decline Is Not Permanent? The Need for an Evolutionarily Informed Approach to Understanding Low Fertility. Philosophical Transactions of the Royal Society B: Biological Sciences 371: 20150157. [Google Scholar] [CrossRef] [PubMed]
  6. Burton-Chellew, M. N., and R. I. M. Dunbar. 2011. Are Affines Treated as Biological Kin? A Test of Hughes’s Hypothesis. Current Anthropology 52: 741–46. [Google Scholar] [CrossRef]
  7. Colleran, Heidi. 2016. The Cultural Evolution of Fertility Decline. Philosophical Transactions of the Royal Society B: Biological Sciences 371: 20150152. [Google Scholar] [CrossRef] [PubMed]
  8. Colleran, Heidi. 2020. Market Integration Reduces Kin Density in Women’s Ego-Networks in Rural Poland. Nature Communications 11. [Google Scholar] [CrossRef]
  9. Colleran, Heidi, Grazyna Jasienska, Ilona Nenko, Andrzej Galbarczyk, and Ruth Mace. 2014. Community-Level Education Accelerates the Cultural Evolution of Fertility Decline. Proceedings of the Royal Society B: Biological Sciences 281: 20132732. [Google Scholar] [CrossRef] [PubMed]
  10. David-Barrett, Tamas. 2019. Network Effects of Demographic Transition. Scientific Reports 9: 2361. [Google Scholar] [CrossRef]
  11. Hodas, Nathan O., and Kristina Lerman. 2014. The Simple Rules of Social Contagion. Scientific Reports 4: 4343. [Google Scholar] [CrossRef]
  12. Höllinger, Franz, and Max Haller. 1990. Kinship and Social Networks in Modern Societies: A Cross-Cultural Comparison among Seven Nations. European Sociological Review 6: 103–24. [Google Scholar] [CrossRef]
  13. Hughes, Austin L. 1988. Evolution and Human Kinship. Oxford: Oxford University Press. [Google Scholar]
  14. Kaplan, Hillard S. 1996. A Theory of Fertility and Parental Investment in Traditional and Modern Human Societies. American Journal of Physical Anthropology 101: 91–135. [Google Scholar] [CrossRef]
  15. Knoef, Marike, and Klaas de Vos. 2009. The Representativeness of LISS, an Online Probability Panel. Tilburg: CentERdata. [Google Scholar]
  16. Kohler, H. P., J. R. Behrman, and Susan Cotts Watkins. 2001. The Density of Social Networks and Fertility Decisions: Evidence from South Nyanza District, Kenya. Demography 38: 43–58. [Google Scholar] [CrossRef] [PubMed]
  17. Lawson, David W., and Monique Borgerhoff Mulder. 2016. The Offspring Quantity-Quality Trade-off and Human Fertility Variation. Philosophical Transactions of the Royal Society B: Biological Sciences 371: 20150145. [Google Scholar] [CrossRef] [PubMed]
  18. Lesthaeghe, Ron, and Johan Surkyn. 1988. Cultural Dynamics and Economic Theories of Fertility Change. Population and Development Review 14: 1–45. [Google Scholar] [CrossRef]
  19. Marsden, Peter V. 1987. Core Discussion Networks of Americans. American Sociological Review 52: 122–31. [Google Scholar] [CrossRef]
  20. McCarty, Christopher. 2002. Structure in Personal Networks. Journal of Social Structure 3. Available online: http://www.cmu.edu/joss/content/articles/volume3/McCarty.html (accessed on 17 May 2021).
  21. McCarty, Christopher, and Sama Govindaramanujam. 2005. A Modified Elicitation of Personal Networks Using Dynamic Visualization. Connections 26: 9–17. [Google Scholar]
  22. McCarty, Christopher, J. L. Molina, C. Aguilar, and L. Rota. 2007a. A Comparison of Social Network Mapping and Personal Network Visualization. Field Methods 19: 145–62. [Google Scholar] [CrossRef]
  23. McCarty, Christopher, Peter D. Killworth, and James Rennell. 2007b. Impact of Methods for Reducing Respondent Burden on Personal Network Structural Measures. Social Networks 29: 300–15. [Google Scholar] [CrossRef]
  24. McCarty, Christopher, Miranda J. Lubbers, Raffaele Vacca, and José Luis Molina. 2019. Conducting Personal Network Research: A Practical Guide. New York: The Guilford Press. [Google Scholar]
  25. Montgomery, M. R., and J. B. Casterline. 1996. Social Learning, Social Influence, and New Models of Fertility. Population and Development Review 22: 151–75. [Google Scholar] [CrossRef]
  26. Murphy, Michael. 2011. Long-Term Effects of the Demographic Transition on Family and Kinship Networks in Britain. Population and Development Review 37: 55–80. [Google Scholar] [CrossRef]
  27. Newson, Lesley, Tom Postmes, S. E. G. Lea, and Paul Webley. 2005. Why Are Modern Families Small? Toward an Evolutionary and Cultural Explanation for the Demographic Transition. Personality and Social Psychology Review 9: 360–75. [Google Scholar] [CrossRef] [PubMed]
  28. Pedersen, Thomas Lin. 2017. Patchwork: The Composer of Ggplots. Available online: https://github.com/thomasp85/patchwork (accessed on 17 May 2021).
  29. R Core Team. 2018. R: A Language and Environment for Statistical Computing. Vienna: R Foundation for Statistical Computing. Available online: https://www.R-project.org/ (accessed on 17 May 2021).
  30. Robinson, David, Alex Hayes, and Simon Couch. 2021. Broom: Convert Statistical Objects into Tidy Tibbles. Manual. Available online: https://CRAN.R-project.org/package=broom (accessed on 17 May 2021).
  31. Scherpenzeel, Annette C. 2011. Data Collection in a Probability-Based Internet Panel: How the Liss Panel Was Built and How It Can Be Used. BMS: Bulletin of Sociological Methodology/Bulletin de Méthodologie Sociologique 109: 56–61. [Google Scholar] [CrossRef]
  32. Scherpenzeel, Annette C., and Jelke G. Bethlehem. 2011. How Representative Are Online Panels? Problems of Coverage and Selection and Possible Solutions. In Social and Behavioral Research and the Internet. Advances in Applied Methods and Research Strategies. Edited by Marcel Das, Peter Ester and Lars Kaczmirek. Abingdon: Routledge. [Google Scholar] [CrossRef]
  33. Sear, Rebecca. 2015. Evolutionary Contributions to the Study of Human Fertility. Population Studies 69 Suppl. 1: S39–S55. [Google Scholar] [CrossRef]
  34. Sear, Rebecca, Ruth Mace, and Ian A McGregor. 2003. The Effects of Kin on Female Fertility in Rural Gambia. Evolution and Human Behavior 24: 25–42. [Google Scholar] [CrossRef]
  35. Sear, Rebecca, David W Lawson, Hillard S. Kaplan, and Mary K Shenk. 2016. Understanding Variation in Human Fertility: What Can We Learn from Evolutionary Demography? Philosophical Transactions of the Royal Society B 371: 20150144. [Google Scholar] [CrossRef]
  36. Stadel, Marie, and Gert Stulp. 2021. Balancing Bias and Burden in Personal Network Studies. PsyArXiv. [Google Scholar] [CrossRef]
  37. Stulp, Gert. 2021. Collecting Large Personal Networks in a Representative Sample of Dutch Women. Social Networks 64: 63–71. [Google Scholar] [CrossRef]
  38. Stulp, Gert, Rebecca Sear, and Louise Barrett. 2016. The Reproductive Ecology of Industrial Societies, Part I: Why Measuring Fertility Matters. Human Nature 27: 422–44. [Google Scholar] [CrossRef]
  39. Turke, Paul W. 1989. Evolution and the Demand for Children. Population and Development Review 15: 61–90. [Google Scholar] [CrossRef]
  40. van Duijn, Marijtje A. J., Jooske T. van Busschbach, and Tom A. B. Snijders. 1999. Multilevel Analysis of Personal Networks as Dependent Variables. Social Networks 21: 187–210. [Google Scholar] [CrossRef]
  41. Voorpostel, Marieke, and Tanja Van Der Lippe. 2007. Support Between Siblings and Between Friends: Two Worlds Apart? Journal of Marriage and Family 69: 1271–82. [Google Scholar] [CrossRef]
  42. Wickham, Hadley. 2016. Ggplot2: Elegant Graphics for Data Analysis. New York: Springer. Available online: http://ggplot2.org (accessed on 17 May 2021).
  43. Wickham, Hadley. 2017. Tidyverse: Easily Install and Load the “Tidyverse”. Available online: https://CRAN.R-project.org/package=tidyverse (accessed on 17 May 2021).
  44. Wilke, Claus O. 2020. Ggtext: Improved Text Rendering Support for ‘Ggplot2.’ Manual. Available online: https://CRAN.R-project.org/package=ggtext (accessed on 17 May 2021).
  45. Xie, Yihui, J. J. Allaire, and Garrett Grolemund. 2018. R Markdown: The Definitive Guide. Boca Raton: Chapman and Hall/CRC. Available online: https://bookdown.org/yihui/rmarkdown (accessed on 17 May 2021).
  46. Zhu, Hao. 2019. KableExtra: Construct Complex Table with ‘kable’ and Pipe Syntax. Manual. Available online: https://CRAN.R-project.org/package=kableExtra (accessed on 17 May 2021).
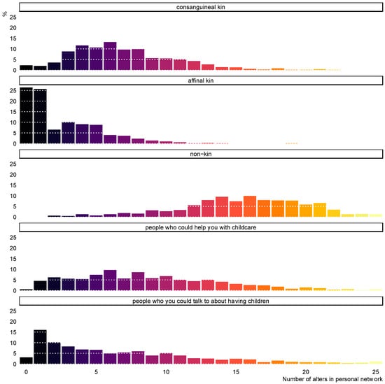
Figure 1. The number of people in the network that are consanguineal kin; affinal kin; non-kin; that can help you with child-care; or that you could talk to about having children. % refers to percentage of respondents (N = 706).
Figure 1. The number of people in the network that are consanguineal kin; affinal kin; non-kin; that can help you with child-care; or that you could talk to about having children. % refers to percentage of respondents (N = 706).
Socsci 10 00177 g001
Figure 2. (a) The association between the number of consanguineal kin in the network and density (r = 0.30); (b) The association between the number of non-kin in the network and density (r = −0.35); (c) histogram of density (binwidth = 2.5%). Shaded band is 95% confidence interval around linear regression line.
Figure 2. (a) The association between the number of consanguineal kin in the network and density (r = 0.30); (b) The association between the number of non-kin in the network and density (r = −0.35); (c) histogram of density (binwidth = 2.5%). Shaded band is 95% confidence interval around linear regression line.
Socsci 10 00177 g002
Figure 3. Percentage of kin, affinal kin, and non-kin (which are divided into friends and not friends) that respondents can ask for help with child-care or talk to about having children. Estimates presented in white are those for affinal kin excluding the respondent’s partner (N = 1316).
Figure 3. Percentage of kin, affinal kin, and non-kin (which are divided into friends and not friends) that respondents can ask for help with child-care or talk to about having children. Estimates presented in white are those for affinal kin excluding the respondent’s partner (N = 1316).
Socsci 10 00177 g003
Figure 4. Predicted percentages (95% confidence band based on binomial regressions; see Table A2) of responses to the questions “can ask alter for help with child-care” and “can talk to alter about having children” depending on composition for consanguineal kin (N = 676 respondents), affinal kin (N = 339), friends (N = 668), and non-friend alters (N = 606). Composition refers the percentage of alters in the network belonging to that particular group. Darker shades represent the middle 50% of data. Sample sizes vary because density (which is included in the models) could only be calculated for particular groups when the respondent listed at least two of that group. An increase of 4% in composition means one extra alter is listed in the network of 25. Models were evaluated for 29 year-old women with a partner and children, and average density among the particular groups. On top of the panels, histograms of composition for each group are displayed (binwidth = 4%).
Figure 4. Predicted percentages (95% confidence band based on binomial regressions; see Table A2) of responses to the questions “can ask alter for help with child-care” and “can talk to alter about having children” depending on composition for consanguineal kin (N = 676 respondents), affinal kin (N = 339), friends (N = 668), and non-friend alters (N = 606). Composition refers the percentage of alters in the network belonging to that particular group. Darker shades represent the middle 50% of data. Sample sizes vary because density (which is included in the models) could only be calculated for particular groups when the respondent listed at least two of that group. An increase of 4% in composition means one extra alter is listed in the network of 25. Models were evaluated for 29 year-old women with a partner and children, and average density among the particular groups. On top of the panels, histograms of composition for each group are displayed (binwidth = 4%).
Socsci 10 00177 g004
Figure 5. Predicted percentages (95% confidence band based on binomial regressions; see Table A2) of responses to the questions “can ask alter for help with child-care” and “can talk to alter about having children” depending on density for consanguineal kin (N = 676 respondents), affinal kin (N = 339), friends (N = 668), and non-friend alters (N = 606). Darker shades represent middle 50% of data. Sample sizes vary because density could only be calculated for particular groups when the respondent listed at least two of that group. Models were evaluated for 29 year-old women with a partner and children, and average composition among the particular groups. On top of the panels, histograms of density for each group are displayed (binwidth = 5%).
Figure 5. Predicted percentages (95% confidence band based on binomial regressions; see Table A2) of responses to the questions “can ask alter for help with child-care” and “can talk to alter about having children” depending on density for consanguineal kin (N = 676 respondents), affinal kin (N = 339), friends (N = 668), and non-friend alters (N = 606). Darker shades represent middle 50% of data. Sample sizes vary because density could only be calculated for particular groups when the respondent listed at least two of that group. Models were evaluated for 29 year-old women with a partner and children, and average composition among the particular groups. On top of the panels, histograms of density for each group are displayed (binwidth = 5%).
Socsci 10 00177 g005
Figure 6. Do you feel pressure to have (more) children from parents and friends? Each stacked bar chart is of equivalent width, covering all responses, and centered on the response “neither agree/disagree”. Responses “I don’t know” and “not applicable” were excluded from the counts.
Figure 6. Do you feel pressure to have (more) children from parents and friends? Each stacked bar chart is of equivalent width, covering all responses, and centered on the response “neither agree/disagree”. Responses “I don’t know” and “not applicable” were excluded from the counts.
Socsci 10 00177 g006
Figure 7. (a) The association between network composition (percentage of kin) (top) and density among kin (bottom) and the pressure felt to have children by parents. (b) The association between network composition (percentage of friends) (top) and density among friends and the pressure felt to have children by friends. The shaded band is the 95% confidence interval around predictions from linear regressions (see Table A3). Darker shades represent middle 50% of data. Models were evaluated for 29 year-old women with a partner and without children, and for average composition or density.
Figure 7. (a) The association between network composition (percentage of kin) (top) and density among kin (bottom) and the pressure felt to have children by parents. (b) The association between network composition (percentage of friends) (top) and density among friends and the pressure felt to have children by friends. The shaded band is the 95% confidence interval around predictions from linear regressions (see Table A3). Darker shades represent middle 50% of data. Models were evaluated for 29 year-old women with a partner and without children, and for average composition or density.
Socsci 10 00177 g007
Publisher’s Note: MDPI stays neutral with regard to jurisdictional claims in published maps and institutional affiliations.

Share and Cite

MDPI and ACS Style

Stulp, G.; Barrett, L. Do Data from Large Personal Networks Support Cultural Evolutionary Ideas about Kin and Fertility? Soc. Sci. 2021, 10, 177. https://doi.org/10.3390/socsci10050177

AMA Style

Stulp G, Barrett L. Do Data from Large Personal Networks Support Cultural Evolutionary Ideas about Kin and Fertility? Social Sciences. 2021; 10(5):177. https://doi.org/10.3390/socsci10050177

Chicago/Turabian Style

Stulp, Gert, and Louise Barrett. 2021. "Do Data from Large Personal Networks Support Cultural Evolutionary Ideas about Kin and Fertility?" Social Sciences 10, no. 5: 177. https://doi.org/10.3390/socsci10050177

APA Style

Stulp, G., & Barrett, L. (2021). Do Data from Large Personal Networks Support Cultural Evolutionary Ideas about Kin and Fertility? Social Sciences, 10(5), 177. https://doi.org/10.3390/socsci10050177

Note that from the first issue of 2016, this journal uses article numbers instead of page numbers. See further details here.

Article Metrics

Back to TopTop