Self-Compassion and Empathy as Predictors of Happiness among Late Adolescents
Abstract
1. Introduction
1.1. Self-Compassion
1.2. Empathy
1.3. Gender and Institution Type in Regards to Study Variables
1.4. Rationale of the Study
1.5. Study Hypotheses
- H1: Male adolescents are more likely to have high levels of self-compassion, empathy, and happiness than female adolescents.
- H2: There is likely to be a relationship between self-compassion, empathy, happiness, gender, and institute type of late adolescents.
- H3: Self-compassion and empathy are likely to predict happiness.
- H4: Self-compassion is likely to moderate the relationship between empathy and happiness.
- H5: Self-compassion, empathy, and happiness are likely to be affected by an adolescent’s gender and institute type.
2. Materials and Methods
2.1. Questionaries
2.2. Ethical Approval
2.3. Data Collection and Statistical Analysis
3. Results
3.1. Description of Participants
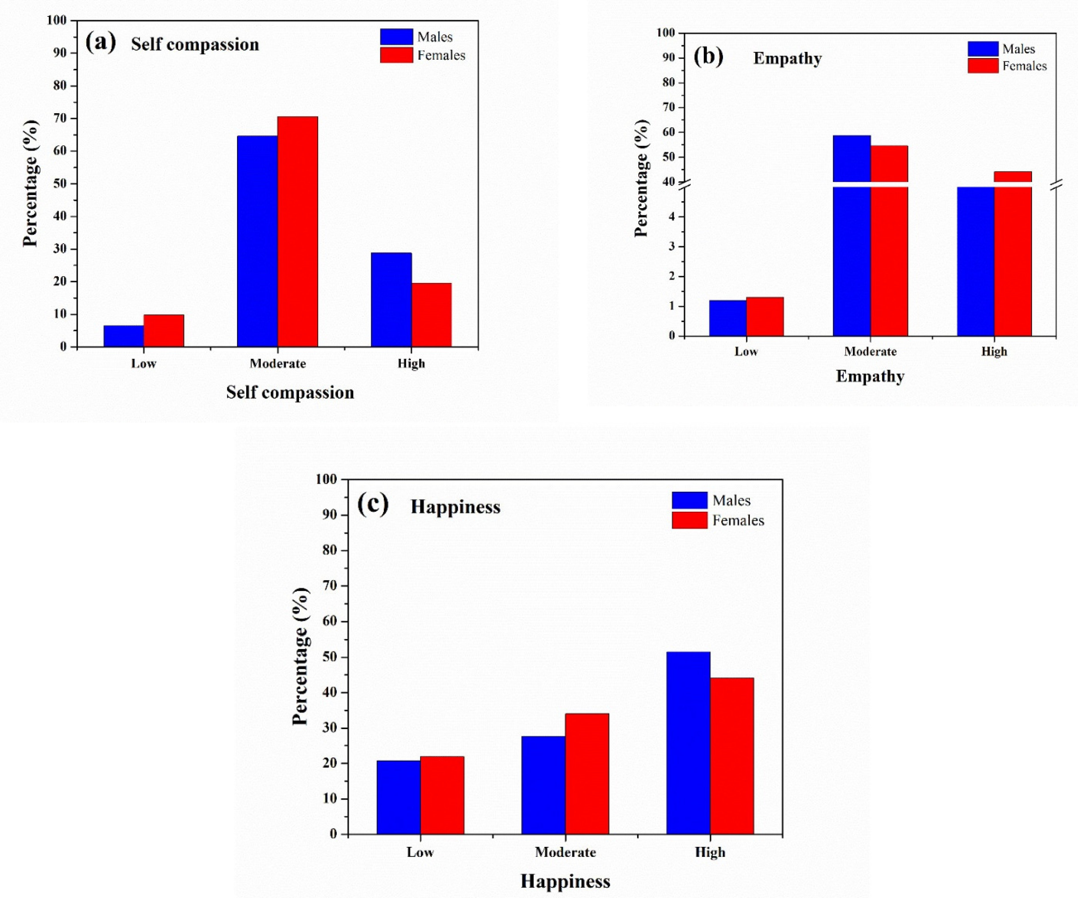
3.2. Levels of Self-Compassion, Empathy, and Happiness among Late Adolescents (N = 566)
3.3. Relationship between Late Adolescents’ Gender, Institute Type, Self-Compassion, Empathy, and Happiness
3.4. Multiple Linear Regression
3.5. Self-Compassion as Moderator between Empathy and Happiness
3.6. Effect of Institute Type and Gender on Self-Compassion, Empathy, and Happiness
4. Discussion
Limitations and Recommendations
5. Conclusions
Author Contributions
Funding
Institutional Review Board Statement
Informed Consent Statement
Data Availability Statement
Acknowledgments
Conflicts of Interest
References
- Ading, Carmella E., Chua Bee Seok, Shazia Iqbal Hashmi, and Ismail Maakip. 2012. Religion and gender differences in stress, happiness and life satisfaction. Southeast Asia Psychology Journal 1: 46–55. [Google Scholar]
- Akin, Ahmet, and Umran Akin. 2014. An Investigation of the Predictive Role of Self-Compassion on Subjective Happiness in Turkish University Students. Education Sciences & Psychology 32: 59–68. [Google Scholar]
- Backes, Emily P., and Richard J. Bonnie. 2019. The Promise of Adolescence: Realizing Opportunity for All Youth. Washington, DC: National Academies Press (US). [Google Scholar]
- Barnard, Laura K., and John F. Curry. 2012. The relationship of clergy burnout to self-compassion and other personality dimensions. Pastoral Psychology 61: 149–63. [Google Scholar] [CrossRef]
- Baron-Cohen, Simon. 2011. The Science ofEvil.‘On Empathy and the Origins of Evil. New York: Basic books. [Google Scholar]
- Bluth, Karen, and Priscilla W. Blanton. 2015. The influence of self-compassion on emotional well-being among early and older adolescent males and females. The Journal of Positive Psychology 10: 219–30. [Google Scholar] [CrossRef] [PubMed]
- Bluth, Karen, Rebecca A. Campo, William S. Futch, and Susan A. Gaylord. 2017. Age and gender differences in the associations of self-compassion and emotional well-being in a large adolescent sample. Journal of Youth and Adolescence 46: 840–53. [Google Scholar] [CrossRef] [PubMed]
- Bourgault, Patricia, Stephan Lavoie, Emilie Paul-Savoie, Maryse Grégoire, Cécile Michaud, Emilie Gosselin, and Celeste C. Johnston. 2015. Relationship between empathy and well-being among emergency nurses. Journal of Emergency Nursing 41: 323–28. [Google Scholar] [CrossRef] [PubMed]
- Carnicer, Josep Gustems, and Caterina Calderón. 2014. Empathy and Coping Strategies as Predictors of Well-being in Spanish University Students. Electronic Journal of Research in Educational Psychology 12: 129–46. [Google Scholar]
- Chen, Ke-Mei. 2020. Subjective poverty, deprivation, and the subjective well-being of children and young people: A multilevel growth curve analysis in Taiwan. Children and Youth Services Review 114: 105045. [Google Scholar] [CrossRef]
- Chen, Wuying, Jiamei Lu, Lianqi Liu, and Wenyi Lin. 2014. Gender differences of empathy. Advances in Psychological Science 22: 1423. [Google Scholar] [CrossRef]
- Choi, Damee, Natsumi Minote, Takahiro Sekiya, and Shigeki Watanuki. 2016. Relationships between trait empathy and psychological well-being in Japanese university students. Psychology 7: 1240. [Google Scholar] [CrossRef]
- Christov-Moore, Leonardo, Elizabeth A. Simpson, Gino Coudé, Kristina Grigaityte, Marco Iacoboni, and Pier Francesco Ferrari. 2014. Empathy: Gender effects in brain and behavior. Neuroscience & Biobehavioral Reviews 46: 604–27. [Google Scholar]
- Chung, Myung-Sun. 2014. Pathways between attachment and marital satisfaction: The mediating roles of rumination, empathy, and forgiveness. Personality and Individual Differences 70: 246–51. [Google Scholar] [CrossRef]
- Daltry, Rachel M., Kristin E. Mehr, Lindsay Sauers, and Janelle Silbert. 2018. Examining the Relationship between Empathy for Others and Self-Compassion in College Students. Educational Research and Reviews 13: 617–21. [Google Scholar]
- Diener, ed. 2016. Happiness: The Science of Subjective Well-Being. Noba Textbook Series: Psychology; Champaign: DEF Publishers. [Google Scholar]
- Diener, Ed, and Micaela Y. Chan. 2011. Happy people live longer: Subjective well-being contributes to health and longevity. Applied Psychology: Health and Well-Being 3: 1–43. [Google Scholar]
- Eaton, Nicholas R., Katherine M. Keyes, Robert F. Krueger, Steve Balsis, Andrew E. Skodol, Kristian E. Markon, Bridget F. Grant, and Deborah S. Hasin. 2012. An invariant dimensional liability model of gender differences in mental disorder prevalence: evidence from a national sample. Journal of Abnormal Psychology 121: 282. [Google Scholar] [CrossRef]
- Endedijk, Hinke M., Stefanie A. Nelemans, Remmelt R. Schür, Marco PM Boks, Pol van Lier, Wim Meeus, Susan Branje, and Christiaan H. Vinkers. 2020. The Role of Stress and Mineralocorticoid Receptor Haplotypes in the Development of Symptoms of Depression and Anxiety During Adolescence. Frontiers in Psychiatry 11: 367. [Google Scholar] [CrossRef]
- Ferreira, Cláudia, Marcela Matos, Cristiana Duarte, and José Pinto-Gouveia. 2014. Shame memories and eating psychopathology: The buffering effect of self-compassion. European Eating Disorders Review 22: 487–94. [Google Scholar] [CrossRef]
- Garaigordobil, Maite, Carmen Maganto, José Ignacio Pérez, and Eneko Sansinenea. 2009. Gender differences in socioemotional factors during adolescence and effects of a violence prevention program. Journal of Adolescent Health 44: 468–77. [Google Scholar] [CrossRef]
- Gilbert, Paul. 2005. Social Mentalities: A Biopsychosocial and Evolutionary Approach to Social Relationships. New York: Routledge/Taylor & Francis Group. [Google Scholar]
- Hendriks, Martijn, and David Bartram. 2019. Bringing Happiness Into the Study of Migration and Its Consequences: What, Why, and How? Journal of Immigrant & Refugee Studies 17: 279–98. [Google Scholar]
- Homan, Kristin J., and Tracy L. Tylka. 2015. Self-compassion moderates body comparison and appearance self-worth’s inverse relationships with body appreciation. Body Image 15: 1–7. [Google Scholar] [CrossRef]
- Jaisri, M. 2015. Happiness and Self esteem among College Students. International Journal in Management & Social Science 3: 168–78. [Google Scholar]
- Jolliffe, Darrick, and David P. Farrington. 2006. Development and validation of the Basic Empathy Scale. Journal of Adolescence 29: 589–611. [Google Scholar] [CrossRef] [PubMed]
- Juruena, Mario F. 2014. Early-life stress and HPA axis trigger recurrent adulthood depression. Epilepsy & Behavior 38: 148–59. [Google Scholar]
- Kamthan, Shivam, Saurabh Sharma, Rahul Bansal, Bhawna Pant, Parul Saxena, Shivakshi Chansoria, and Arvind Shukla. 2019. Happiness among second year MBBS students and its correlates using Oxford Happiness Questionnaire. Journal of Oral Biology and Craniofacial Research 9: 190–92. [Google Scholar] [CrossRef] [PubMed]
- Kelly, Allison C., Kiruthiha Vimalakanthan, and Kathryn E. Miller. 2014. Self-compassion moderates the relationship between body mass index and both eating disorder pathology and body image flexibility. Body Image 11: 446–53. [Google Scholar] [CrossRef]
- Khajeh Amirhesam, Baharloo Ghafar, and Soliemani Fatemeh. 2014. The relationship between psychological well-being and empathy quotient. Management Science Letters 4: 1211–14. [Google Scholar] [CrossRef][Green Version]
- Kushlev, Kostadin, Samantha J. Heintzelman, Lesley D. Lutes, Derrick Wirtz, Jacqueline M. Kanippayoor, Damian Leitner, and Ed Diener. 2020. Does happiness improve health? Evidence from a randomized controlled trial. Psychological Science 31: 807–21. [Google Scholar] [CrossRef]
- Kyoung Hwang, Yeoun, and Chang Seek Lee. 2018. Relationship between stress and happiness in middle school students: Dual mediation effect of growth mindset and self-esteem. Medico-Legal Update 18: 248–53. [Google Scholar] [CrossRef]
- Löffler, Charlotte S., and Tobias Greitemeyer. 2021. Are women the more empathetic gender? The effects of gender role expectations. Current Psychology 2021: 1–12. [Google Scholar]
- Lyubomirsky, Sonja, and Heidi S. Lepper. 1999. A measure of subjective happiness: Preliminary reliability and construct validation. Social Indicators Research 46: 137–55. [Google Scholar] [CrossRef]
- MacBeth, Angus, and Andrew Gumley. 2012. Exploring compassion: A meta-analysis of the association between self-compassion and psychopathology. Clinical Psychology Review 32: 545–52. [Google Scholar] [CrossRef] [PubMed]
- Magnus, Cathy MR, Kent C. Kowalski, and Tara-Leigh F. McHugh. 2010. The role of self-compassion in women’s self-determined motives to exercise and exercise-related outcomes. Self and Identity 9: 363–82. [Google Scholar] [CrossRef]
- Mahmoodi, Hassan, Haidar Nadrian, Fahime Javid, Ghadriye Ahmadi, Rojia Kasravi, Masomeh Chavoshi, and Fariba Golmohammadi. 2019. Factors associated with happiness among college students: do academic self-efficacy and stress predict happiness? International Journal of Happiness and Development 5: 14–24. [Google Scholar] [CrossRef]
- Meyzari Ali, Raziyeh, and Zahra Dasht Bozorgi. 2016. The relationship of altruistic behavior, empathetic sense, and social responsibility with happiness among university students. Practice in Clinical Psychology 4: 51–56. [Google Scholar]
- Moksnes, Unni K., and Geir A. Espnes. 2013. Self-esteem and life satisfaction in adolescents—Gender and age as potential moderators. Quality of Life Research 22: 2921–28. [Google Scholar] [CrossRef] [PubMed]
- Morelli, Sylvia A., Desmond C. Ong, Rucha Makati, Matthew O. Jackson, and Jamil Zaki. 2017. Empathy and well-being correlate with centrality in different social networks. Proceedings of the National Academy of Sciences 114: 9843–47. [Google Scholar] [CrossRef] [PubMed]
- Muris, Peter, Cor Meesters, Anna Pierik, and Bo de Kock. 2016. Good for the self: Self-compassion and other self-related constructs in relation to symptoms of anxiety and depression in non-clinical youths. Journal of Child and Family Studies 25: 607–17. [Google Scholar] [CrossRef]
- Myers, David G., and Ed Diener. 1995. Who is happy? Psychological Science 6: 10–19. [Google Scholar] [CrossRef]
- Neff, Kristin. 2004. Self-compassion and psychological well-being. Constructivism in the Human Sciences 9: 27. [Google Scholar]
- Neff, Kristin D. 2016. The self-compassion scale is a valid and theoretically coherent measure of self-compassion. Mindfulness 7: 264–74. [Google Scholar] [CrossRef]
- Neff, Kristin D., and Elizabeth Pommier. 2013. The relationship between self-compassion and other-focused concern among college undergraduates, community adults, and practicing meditators. Self and Identity 12: 160–76. [Google Scholar] [CrossRef]
- Nemati, Shahrooz, and Farnaz Mehdipour Maralani. 2016. The relationship between life satisfaction and happiness: the mediating role of resiliency. International Journal of Psychological Studies 8: 194–201. [Google Scholar] [CrossRef]
- Quoidbach, Jordi, Maxime Taquet, Martin Desseilles, Yves-Alexandre de Montjoye, and James J. Gross. 2019. Happiness and social behavior. Psychological Science 30: 1111–22. [Google Scholar] [CrossRef]
- Raes, Filip, Elizabeth Pommier, Kristin D. Neff, and Dinska Van Gucht. 2011. Construction and factorial validation of a short form of the self-compassion scale. Clinical Psychology & Psychotherapy 18: 250–55. [Google Scholar]
- Sharma, Neha, and Jatinder Kaur Gulati. 2015. Gender differences in happiness, self-esteem and personality traits in adolescents living in socio-economic hardship. Adolescence 54: 75. [Google Scholar]
- Sheth, Chandni, Erin McGlade, and Deborah Yurgelun-Todd. 2017. Chronic stress in adolescents and its neurobiological and psychopathological consequences: an RDoC perspective. Chronic Stress 1: 2470547017715645. [Google Scholar] [CrossRef]
- Singer, Tania, and Claus Lamm. 2009. The social neuroscience of empathy. Annals of the New York Academy of Sciences 1156: 81–96. [Google Scholar] [CrossRef] [PubMed]
- Smeets, Elke, Kristin Neff, Hugo Alberts, and Madelon Peters. 2014. Meeting suffering with kindness: Effects of a brief self-compassion intervention for female college students. Journal of Clinical Psychology 70: 794–807. [Google Scholar] [CrossRef] [PubMed]
- Song, Mi-Kyung, Feng-Chang Lin, Sandra E. Ward, and Jason P. Fine. 2013. Composite variables: when and how. Nursing Research 62: 45. [Google Scholar] [CrossRef] [PubMed]
- Tkach, Christopher Terrence. 2005. Unlocking the Treasury of Human Kindness: Enduring Improvements in Mood, Happiness, and Self-Evaluations. Riverside: University of California. [Google Scholar]
- Uusitalo-Malmivaara, Lotta. 2014. Happiness decreases during early adolescence—A study on 12-and 15-year-old finnish students. Psychology 5: 541–55. [Google Scholar] [CrossRef]
- Vinayak, Seema, and Jotika Judge. 2018. Resilience and empathy as predictors of psychological wellbeing among adolescents. International Journal of Health Sciences and Research 8: 192–200. [Google Scholar]
- Wei, Meifen, Kelly Yu-Hsin Liao, Tsun-Yao Ku, and Phillip A. Shaffer. 2011. Attachment, self-compassion, empathy, and subjective well-being among college students and community adults. Journal of Personality 79: 191–221. [Google Scholar] [CrossRef] [PubMed]
- Yarnell, Lisa M., Rose E. Stafford, Kristin D. Neff, Erin D. Reilly, Marissa C. Knox, and Michael Mullarkey. 2015. Meta-analysis of gender differences in self-compassion. Self and Identity 14: 499–520. [Google Scholar] [CrossRef]
- Zessin, Ulli, Oliver Dickhäuser, and Sven Garbade. 2015. The relationship between self-compassion and well-being: A meta-analysis. Applied Psychology: Health and Well-Being 7: 340–64. [Google Scholar] [CrossRef] [PubMed]






| Variables | 1 | 2 | 3 | 4 | 5 | 6 | 7 | 8 | 9 | 10 | 11 | 12 | 13 |
|---|---|---|---|---|---|---|---|---|---|---|---|---|---|
| 1. Gender | - | −0.522 ** | −0.096 * | −0.085 * | −0.017 | −0.117 ** | 0.042 | 0.025 | 0.028 | 0.040 | 0.007 | 0.066 | −0.058 |
| 2. InstituteType | - | 0.023 | 0.061 | −.058 | 0.070 | 0.058 | −0.045 | −0.020 | −0.207 ** | −0.082 | −0.266 ** | 0.002 | |
| 3. Self.Compassion | - | 0.512 ** | 0.447 ** | 0.495 ** | −0.484 ** | −0.479 ** | −0.410 ** | 0.059 | 0.147 ** | −0.021 | 0.273 ** | ||
| 4. Self.Kindness | - | 0.274 ** | 0.403 ** | −0.051 | 0.099 * | 0.090 * | 0.109 ** | 0.150 ** | 0.051 | 0.238 ** | |||
| 5. Common.Humanity | - | 0.151 ** | 0.010 | 0.005 | −0.012 | 0.123 ** | 0.086 * | 0.115 ** | 0.179 ** | ||||
| 6. Mindfulness | - | −0.048 | 0.054 | 0.082 | 0.136 ** | 0.211 ** | 0.038 | 0.195 ** | |||||
| 7. Self.Judgment | - | 0.196 ** | 0.140 ** | −0.124 ** | −0.175 ** | −0.053 | −0.173 ** | ||||||
| 8. Isolation | - | 0.325 ** | 0.185 ** | 0.114 ** | 0.190 ** | −0.059 | |||||||
| 9. Over.Identification | - | 0.183 ** | 0.114 ** | 0.179 ** | −0.037 | ||||||||
| 10. Empathy | - | 0.791 ** | 0.877 ** | 0.131 ** | |||||||||
| 11. Coginitive.Empathy | - | 0.427 ** | 0.177 ** | ||||||||||
| 12. Affective.Empathy | - | 0.057 | |||||||||||
| 13. Happiness | - |
| B | SE | β | t | p | R2 | |
|---|---|---|---|---|---|---|
| (Constant) | 4.224 | 1.974 | 2.140 | 0.033 * | 0.111 | |
| Self-Compassion | 0.274 | 0.034 | 0.319 | 8.011 | 0.000 *** | |
| Empathy | 0.048 | 0.022 | 0.087 | 2.176 | 0.030 * |
| R | R2 | MSE | F | df1 | df2 | p |
|---|---|---|---|---|---|---|
| 0.3702 | 0.1370 | 21.89 | 29.74 | 3 | 562 | 0.000 *** |
| B | SE | t | p | LLCI | ULCI | |
|---|---|---|---|---|---|---|
| Constant | 42.6302 | 9.5686 | 4.4552 | <0.000 *** | 23.8356 | 61.4249 |
| Empathy × Self-compassion | 0.0145 | 0.0035 | 4.0995 | <0.000 *** | 0.0076 | 0.0215 |
| ΔR2 | F | df1 | df2 | p | |
|---|---|---|---|---|---|
| Empathy × self-compassion | 0.0258 | 16.806 | 1 | 562 | <0.01 ** |
| All Girls (n = 221) | All Boys (n = 145) | Co-Education (n = 200) | ||||
|---|---|---|---|---|---|---|
| M((SD) | M(SD) | M(SD) | F | p | η2 | |
| Self-compassion | 37.63 (5.73) | 40.22 (5.78) | 37.93 (5.72) | 9.88 | 0.000 *** | 0.034 |
| Empathy | 70.68 (9.45) | 68.99 (8.31) | 66.29 (8.63) | 12.93 | 0.000 *** | 0.044 |
| Happiness | 17.76 (5.06) | 18.94 (5.23) | 17.72 (4.76) | 3.10 | 0.045 * | 0.011 |
| Institute Type Group I | Institute Type Group J | Mean Difference I-J | p | |
|---|---|---|---|---|
| Self-compassion | All Boys | All Girls | 2.58268 * | 0.000 *** |
| Co-Education | 2.28569 * | 0.000 *** | ||
| Empathy | All Girls | Co-Education | 4.39278 * | 0.000 *** |
| All Boys | Co-Education | 2.69810 * | 0.006 ** | |
| Happiness | All Boys | All Girls | 1.18465 * | 0.027 * |
| Male (n = 260) | Female (n = 306) | |||||
|---|---|---|---|---|---|---|
| M(SD) | M(SD) | t | df | p | Cohen’s d | |
| Self-compassion | 39.05 (5.97) | 37.85 (5.67) | 2.437 | 564 | 0.015 ** | 0.20 |
| Empathy | 68.18 (8.32) | 69.14 (9.65) | −1.250 | 564 | 0.212 | 0.10 |
| Happiness | 18.38 (5.16) | 17.76 (4.89) | 1.457 | 564 | 0.146 | 0.12 |
Publisher’s Note: MDPI stays neutral with regard to jurisdictional claims in published maps and institutional affiliations. |
© 2021 by the authors. Licensee MDPI, Basel, Switzerland. This article is an open access article distributed under the terms and conditions of the Creative Commons Attribution (CC BY) license (https://creativecommons.org/licenses/by/4.0/).
Share and Cite
Inam, A.; Fatima, H.; Naeem, H.; Mujeeb, H.; Khatoon, R.; Wajahat, T.; Andrei, L.C.; Starčević, S.; Sher, F. Self-Compassion and Empathy as Predictors of Happiness among Late Adolescents. Soc. Sci. 2021, 10, 380. https://doi.org/10.3390/socsci10100380
Inam A, Fatima H, Naeem H, Mujeeb H, Khatoon R, Wajahat T, Andrei LC, Starčević S, Sher F. Self-Compassion and Empathy as Predictors of Happiness among Late Adolescents. Social Sciences. 2021; 10(10):380. https://doi.org/10.3390/socsci10100380
Chicago/Turabian StyleInam, Attiya, Hafsa Fatima, Hira Naeem, Hamna Mujeeb, Roquyya Khatoon, Tallat Wajahat, Liviu Catalin Andrei, Slađana Starčević, and Farooq Sher. 2021. "Self-Compassion and Empathy as Predictors of Happiness among Late Adolescents" Social Sciences 10, no. 10: 380. https://doi.org/10.3390/socsci10100380
APA StyleInam, A., Fatima, H., Naeem, H., Mujeeb, H., Khatoon, R., Wajahat, T., Andrei, L. C., Starčević, S., & Sher, F. (2021). Self-Compassion and Empathy as Predictors of Happiness among Late Adolescents. Social Sciences, 10(10), 380. https://doi.org/10.3390/socsci10100380

