You are currently viewing a new version of our website. To view the old version click .
Arts
  • Article
  • Open Access

31 May 2025

Signalling and Mobility: Understanding Stylistic Diversity in the Rock Art of a Great Basin Cultural Landscape

Centre for Rock Art Research + Management, School of Social Sciences, The University of Western Australia, Perth, WA 6009, Australia
This article belongs to the Special Issue Advances in Rock Art Studies

Abstract

This paper explores Great Basin arid-zone hunter–forager rock art as signalling behaviour. The rock art in Lincoln County, Nevada, is the focus, and this symbolic repertoire is analysed within its broader archaeological and ethnographic contexts. This paper mobilises an explicitly theoretical approach which integrates human behavioural ecology (HBE) and the precepts of information exchange theory (IET), generating assumptions about style and signalling behaviour based on hunter–forager mobility patterns. An archaeological approach is deployed to contextualise two characteristic regional motifs—the Pahranagat solid-bodied and patterned-bodied anthropomorphs. Contemporary Great Basin Native American communities see Great Basin rock writing through a shamanistic ritual explanatory framework, and these figures are understood to be a powerful spirit figure, the Water Baby, and their attendant shamans’ helpers. This analysis proposes an integrated model to understand Great Basin symbolic behaviours through the Holocene: taking a dialogical approach to travel backward from the present to meet the archaeological past. The recursive nature of rock art imagery and its iterative activation by following generations allows for multiple interpretive frameworks to explain Great Basin hunter–forager and subsequent horticulturalist signalling behaviours over the past ca. 15,000 years.

1. Introduction

Early North American syntheses of rock art1—petroglyphs, pictographs, and geoglyphs—proposed an early Great Basin Abstract style that persisted over large areas of north America (e.g., ; ; ), being replaced through time by numerous regional representational styles (; ; ). This early widespread geometric repertoire was interpreted as “an interrelated ideographic system transcending defined culture areas” (e.g., ). A similar explanatory framework in Australia (; ) sees the transformation of the earliest engraved open signalling repertoire into myriad Pleistocene regional style chronologies (e.g., ; ; ): a model now substantiated by regional genetic diversification in Australia by 25,000 cal BP ().
While there is still debate about when northern America and, more specifically, the Great Basin were settled (; ; ; ; ; ; ; ), there is no question that this was by fully modern humans, whose cultural repertoire included signalling behaviour (e.g., ; ). The early ‘Great Basin Abstract’ is an open signalling style, likely deployed initially as a colonizing repertoire. Later, Paleoindian adaptations included rock art (e.g., the Great Basin Carved Abstract), distinctive textiles and point technologies, obsidian conveyances zones, and political circumscription (; ; ; ).
Despite the long history of Great Basin research, there remains little consensus on Great Basin rock art/writing chronologies, stylistic variability, meaning, function, or age (cf. , , , ). Invariably, however, the various Great Basin art sequences have been chronometrically pegged to contemporary paradigms for settlement chronology, founded on known and predicted culture blocs and archaeological evidence. () sequence was seen as commencing with pit and groove art (around 6000 years ago), with the art becoming increasingly complex through to the recent past, with a “Pre-Numic” age being given to the art: a cultural disjunct was seen between the petroglyphs and the ethnographic present (cf. Numic scratching), and hunting-magic was the theorized purpose. Interpretations have included costly signalling theory, while others have suggested gendered and/or other subsistence-related functions with inferred meaning based on archaeological associations (). () argued that the introduction of the bow and arrow increased hunting efficiency, contributing to the regional depletion of Bighorn sheep. This necessitated intensified ritual practice and increased territorial signalling—and a resulting efflorescence of rock art production.
Some earlier sequences have retained support (e.g., ; ), while others have been contradicted by detailed superimposition studies (e.g., ; later, ; ). David Whitley’s GB sequence for the Coso Range includes chronometric dating (; ), historical and extinct subject matter in the art, relative re-varnishing, and ethnographic evidence. Based on what he perceives to be long-term iconographic continuity, he argues for persistence of deep-time production into the ethnographic present. Ethnographic evidence supports a shamanistic interpretation for GB rock art, with the art associated with vision questing, girls’ puberty initiations, the acquisition of supernatural power, healing, sorcery, weather control, education, and social memory (, , ; ). It has been argued that shamanistic beliefs were part of the cultural baggage of the first inhabitants of the New World (, citing ).
The ontological basis for a deep-time shamanistic interpretation is that Great Basin Abstract assemblages are perceived as widespread and uniformly consistent—and interpreted as universal phosphenes or entopic phenomena—indicative of physiological rather than cultural factors (; ). Ethnographic accounts provide an understanding of North American rock art assemblages, supported by contemporary Native Americans’ ritual explanatory frameworks.
But the long-held problem with this interpretation for many researchers is the assertion of deep-time stylistic continuity. From Paleoindian times, the rich Great Basin cultural record demonstrates identifiable style shifts in multiple regions across diverse symbolic behaviours: stochastic point typologies and distinctive textile decorations, changing lithic conveyancing zones, adaptations to the spread of piñon and green cone processing/storage, the demise of communal hunting with the introduction of the bow and arrow, and changed subsistence practices with seed processing and storage, irrigation farming, and language shifts. It cannot be assumed that Great Basin groups living through climatic extremes and changing social configuration over 14,000+ years all produced rock art in a monolithic fashion (see ).
At the heart of this ontological impasse are two fundamental rock art issues: chronology and style.
Assigning a chronology to petroglyphs remains a challenge, and there have been few attempts to quantify local and regional Great Basin stylistic assemblages, in what represents a phenomenally rich and subtly diverse component of this archaeological record (cf. ; ; ; ; ; ). Radiometric dating remains mostly in the realm of relative and contextual dating (i.e., obsidian hydration patterns in the Coso Volcanic fields (), dating tephra overlying older art (), excavated portable art (), and novel attempts to age desert varnish (e.g., ; cf. ; see )). Local stylistic variability is more extreme and widespread than the early models suggest, and there remains no well-defined, broadly accepted chronological sequence for the full spectrum of Great Basin petroglyphs.
Major theoretical and methodological questions remain, i.e., what are the differences between ‘abstract curvilinear’ and ‘abstract rectilinear’ styles? What are the stylistic differences between regional variants of patterned-bodied anthropomorphs of the Great Basin and onto the Plains (e.g., Coso Range vs. Pahranagat vs. Dinwoody)? While all Great Basin assemblages are predominantly geometric, why do some style provinces (e.g., Volcanic Tableland: ; ) have almost no representational forms (e.g., Bighorn sheep and human figures), while others, like the Pahranagat Valley and Coso Ranges (; ) have (multiple) phases of figurative and geometric elements? Does the Great Basin style remain unchanged for the entire occupation of the Great Basin?
These questions are approached deploying the precepts of information exchange theory (‘IET’, after ) and human behavioural ecology (‘HBE’—see Figure 1). Style is seen as signalling behaviour that responds to social triggers resulting from changing mobility and environment parameters. This approach suggests that the social context of production can be based on occupation indices developed through archaeological investigation, regional pluvial and climatic data, and socio-linguistic and ethnohistoric evidence of rock writing amongst contemporary Great Basin people. Stylistic variability is seen as explaining degrees of social messaging intent in Great Basin artists through time.
Figure 1. Comparative assumptions of IET and OFT in relation to Great Basin mobility and signalling (after ; ).
The basic precept of IET is that rock art/writing will be stylistically homogenous if social networks are open and groups are signalling the types of information that facilitate shared group identity. In a drier climate, arid-zone social groups will generally be more mobile, and social networks will be open to allow widespread access to more limited resources (e.g., water). Art associated with higher mobility will demonstrate greater stylistic homogeneity and signify broader group signalling behaviours. In wetter/more fertile phases, when social groups become less mobile/more territorially tethered, art will display stylistic heterogeneity, demonstrating between-group signalling. HBE feeds into this type of modelling by considering logistical mobility: gendered foraging goals (pinecones and seeds), the abundance and distribution of pinyon and large prey (especially Bighorn sheep), and communal vs. individual hunting, as well as how changing environmental parameters affects the division of labour, the distribution of resources, and mobility patterns ().

2. Materials and Methods

Modelling Rock Art into the Great Basin Occupation Sequence

During the late Pleistocene and Early Holocene, the Great Basin was cooler and, at times, wetter than today. Extensive pluvial lakes were at their fullest between 20,000 and 12,500 and ended with the Younger Dryas (). Pleistocene lake systems were desiccated by 11,000 BP. Between 10,000 and 7000 BP, a relatively homogeneous plant community was replaced by the mosaic of plant species now typical at lower elevations. Rapid pinyon expansion (by 8800 BP in the Pahranagat Range, ; see ) reflects initially warm and moist conditions. Temperatures in the Middle Holocene increased again with a shift from wintertime storm systems to less effective summertime precipitation (). Spring discharge increased during this period, marking a return to relatively wet regional climatic conditions in the early phase of the Late Holocene, and the distribution of pinyon and juniper expanded. The apparent shift of human populations to higher elevations later in the Middle Holocene was in part a response to the increased availability of pinyon. The mesic trend peaked after 3500 years BP, and pinyon and juniper grew in habitats well below their Middle Holocene (and modern) extent (; ). The Medieval Climatic Anomaly (‘MCA’—between 1200 and 650 BP) was a period of climatic instability and repeated droughts.
The identified culture periods are overlain by the climatic phases (see Figure 2).
Figure 2. Regional Nevada culture periods correlated with broad climatic indicators (wetter—green; drier—brown; blue—colder/wetter).
The local Pahranagat occupation sequence was refined by the Lincoln County Rock Art project (Figure 3) based on 532 sites, with 508 diagnostic projectile points, over 2700 bifaces (and 20,000+ pieces of debitage), extensive ground stone and milling slick evidence, and 1500+ pieces of ceramic (). The mixture of local tool stone (e.g., quartzite) and 12 distinct, more distant obsidian sources make this a large and significant assemblage for developing models of occupation through time across the region. Further evidence for symbolic behaviours includes incised stones, textiles, beads, and other ornaments. Temporal peaks in diagnostic stone tool and ceramic industries and complexities in changing obsidian conveyancing zones are rich components of the regional occupation model.
Figure 3. Proportions of surface artefacts (left) diagnostic points and (right) ceramics.
Great Basin Paleoindian populations were residentially mobile, far ranging, and wetland focused (see ; ; ), and earliest Pahranagat foraging territory likely fell within the Eastern Conveyance Zone (‘ECZ’; ). The limited Pahranagat Paleoindian record likely relates to the absence of deep excavated rock shelters (): a single Great Basin Stemmed Point at Pahroc Spring is the earliest surface evidence in Lincoln County. Early Archaic occupation, between 5400 and 4300 cal BP, represents the first significant increase on previous phases. The wetter Middle Archaic (ca. 3300–1350 BP) is the main period of regional lithic production in all three ACECs. The Late Archaic (coinciding with the MCA) shows a reduction in lithic intensity, which decreases further in the Historic period. The ceramic data demonstrate continuing occupation across the region into the Historic period (Figure 3), with the development of irrigation farming along the Pahranagat wetlands, with villages housing more than 200 people (, cited in ), a clear settlement shift in this timeframe. By correlating the Great Basin environmental and culture phases—with their attendant behavioural indicators—a set of signalling correlates is proposed (Figure 4).
Figure 4. Proposed Great Basin art sequence, based on climate, cultural phase, occupation indices, and behavioural traits.

3. Results

3.1. Rock Art in Pahranagat Valley (Lincoln County, Nevada)

The regional petroglyph analysis is based on a sample of 6783 motifs (i.e., individual elements) from 129 sites across Shooting Gallery, Mount Irish, and Pahroc ACECs (Figure 5, see Table 1). More than half of this assemblage is classified Geometric, i.e., abstract rectilinear and/or curvilinear (see also ). There is significant variability, and 33 geometric subjects were classified for this analysis. The dominant forms are ‘simple geometric’ (25%, i.e., comprised of two geometric elements) and ‘complex geometric’ (15%, i.e., comprised of combinations of three+ geometric elements). Discrete geometric elements include lines (13%), parallel lines (8%), arcs (3%), circles (4%), dot patterns (in multiple configurations: 4%), rakes (5%), and so on. Around one-third of the assemblage depicts zoomorphic (‘representative’) subjects. Bighorn sheep (BHS) dominate the zoomorphs (74%), followed by quadrupeds (13%), snakes (4%), and cervids (2.4%), with a smaller number of birds (including 9 thunderbirds and 11 waders). The other representational elements are anthropomorphic depictions (8%). Tracks and material culture items (e.g., atlatls) are rare.
Figure 5. Lincoln County project area (from ).
Table 1. Recorded subject categories in the three ACECs.
Pahranagat Valley rock art is not directly dated (cf. ). One attribute counted during the current analysis was the contrast state (‘CS’), i.e., the degree to which the motif has weathered back to the same colour as the bedrock panel. This was measured on a scale of 1 to 5, with CS1 indicating the motif was the same colour as the background rock, while CS5 indicated a stark contrast, with the motif being fresh-looking (Figure 6).
Figure 6. Contrast state (CS1–CS5) values counted on motifs across the three ACECs.
Contrast state information was collected for 5321 engraved motifs from the 3 ACECs (i.e., excluding motifs without colour photographic evidence, and those with mixed weathering conditions). While no two people necessarily see these things the same way, and different geologies and microclimates have different weathering thresholds, this provides a consistent quantification of petroglyph weathering across the region (see ; ). The Pahranagat bedrock geology is largely Miocene tuffaceous/perlitic material, known as Hiko Tuff, which “cliffs and weathers to form brown-stained spheroidal outcrop surfaces” and is “…widely exposed in the Pahroc, Hiko, and Pahranagat Ranges” (). Contrast state evaluations were cross-checked amongst the small rock art field team and subsequently audited by the author. The contrast states for 16 graffiti motifs (names, initials, and dates) were all clearly CS5 (see Figure 6). While these weathering phases were not assumed to have equal temporal lengths, this method allowed for seriation of different assemblage elements and the posing of hypotheses about changing art production through time (see Figure 7).
Figure 7. Contrast state trend in Lincoln County analysis.

3.2. Water Babies and Atlatl-Bearing Hunters

Human depictions represent roughly 8% of the Lincoln County assemblage (Table 1). Almost half of these are linear figures (i.e., stick figures; ; ), and there is quite a lot of stylistic variability (Figure 8; see ), including solid and outlined forms, some with exaggerated digits and genitalia, and several schemata that likely represent other regional styles (e.g., V-Torso Figures from Fremont; ). This analysis focused on Pahranagat solid-bodied (SB) and patterned-bodied anthropomorphs (PBA). The Pahranagat solid bodies represent just over 6% of the human figures, while PBAs represent 22%.
Figure 8. Proportions of anthropomorphic depictions in the three ACECs (n = 532).
Pahranagat solid-bodied figures (also previously called Pahranagat Man, or P-Men) and the patterned-bodied anthropomorphs (PBAs) were first described at Black Canyon (Figure 9) as:
Headless (?) rectangular figures whose dress is indicated by lines of dots or connected solid circles. Each figure holds an atlatl. We believe these rectangular figures are, despite their stylized form, atlatl-bearing hunters.
()
Figure 9. Black Canyon (site 26LN810) solid-bodied and patterned-bodied anthropomorphs in (a,b) are the two compositions described by Heizer and Hester. Those in (c,d) are also from this site complex.
Heizer and Hester argued that these geometric/human figures were wearing a hunting disguise and noted their association with Bighorn sheep. Similarities were drawn between these and the more elaborate, rectangular-bodied Coso Range anthropomorphs, from ca. 300 km to the west, and they suggested that the line-of-dots-filled rectangles were stylized representations of costumed hunters (; see ). They also observed similarities with other characteristic Great Basin anthropomorphic designs in Glen Canyon () and in central Wyoming (). Many have subsequently identified, recorded, and analysed these Pahranagat representational motifs (e.g., ; ; ; ; ).
The Southern Paiute recognise the solid-bodied Pahranagat figures as the Water Baby (; ). Petroglyph panels with these motifs are the “place where medicine men would acquire Water Babies” (). Water Babies are described as:
“…powerful spiritual beings that are associated with water and volcanic places. They live in flowing water of many kinds including rivers and artesian springs and frequently travel through natural and manmade hydrological systems. Water babies are considered to be female and are often described as around three feet high with long hair and shell-like skin. The tremendous power of water babies is complex, making them very special spiritual helpers for a shaman (Puha’gant), but also incredibly dangerous for those unable to control the power…their connection to water made them very valuable for rainmaking activities”.
()
The association between Pahranagat solid- and patterned-bodied figures has been explored previously (; ). The fact these motifs are depicted with atlatls has been interpreted as demonstrating that these pre-date ca. 1500 years BP (and see ). () further suggested that the co-association with Bighorn sheep—either directly over or on the same panel—demonstrates the ritual association between rainmaking and shamanic activities in the Pahranagat Valley.
This detailed stylistic analysis of these two motifs explores their characteristics, stylistic variability, distribution, and associations, and asks the following:
  • How stylistically similar are these motifs across the region and through time, and what does this tell us about regional signalling behaviour?
  • How can we interpret the spatial and chronological distribution of these motifs?
  • Are the solid- and patterned-bodied figures (and Bighorn sheep and atlatls) co-located?

3.3. Solid-Bodied Pahranagat Anthropomorphs (Water Babies)

There were 57 solid-bodied Pahranagat anthropomorphs from Black Canyon (22), Shooting Gallery (14), The Gathering (12), and Mount Irish (9). Attributes were defined and counted: size (body length and width), body and head shapes, headdress configuration, leg shape, and number of fingers/toes on both hands/feet (Figure 10).
Figure 10. Pahranagat solid-bodied anthropomorphs’ attributes quantified across the region.
The un-pecked (i.e., bas relief) eyes were distinctive, and over half (57%) had this feature. One-third of the Water Babies had no eyes, two had only one un-pecked eye, and four individuals were positioned such that unmodified natural cavities in the rock surface fulfilled this purpose. Numbers of fingers and toes (straight or curved) varied—with three, four, and five digits being the most common (and these can vary on any one motif). The Gathering had one motif with lines of dots extending downwards from the fingers (see Figure 11).
Figure 11. Pahranagat SB variability, including a paired composition at Mount Irish (top right) and SB with retouched arms, penis, and legs (top middle), and scenes from The Gathering, including (right) a pair, and (bottom left) three SB, 1 PBA, and a small solid figure.
Most (75%) of these figures were un-gendered, while 23% appeared to be male-gendered. Paired figures at Mount Irish had a fringe (clothing? See Figure 11; see ).
Headdresses were more variable than the originally described ‘feather’ variety (), and nine types were counted (see Figure 10 and Figure 11). Nine solid-bodied motifs had no headdress. The classic feather (type 2) was found on around 46% of the assemblage, with shorter rounded nobs (type 1) being the next most common (21%), and these single vertical protuberances were found at all four site complexes. Black Canyon motifs had all but two of the described variations, and these unique forms otherwise occurred rarely at Shooting Gallery (n = 2) and Mount Irish (n = 1). The two most common forms were found in CS1–CS4, and the most variability was found in CS2 and CS3.
These motifs were found amongst the earliest weathering state (CS1) but were dominantly and equally distributed between C2 and CS3 (Figure 12). Most Water Babies were found at Black Canyon, where most of these occurred in CS2. Mount Irish figures were between CS1 and CS4, Shooting Gallery in CS2–CS5, and The Gathering only in CS2 and CS3.
Figure 12. Water Babies produced at the four site complexes during each contrast state (n = 57).

Multiple Correspondence Analysis (MCA)

The assemblage was run through a multiple correspondence analysis (MCA), which confirmed the general stylistic homogeneity of this motif. Variables that provided the greatest variability in this analysis were size (body length and width), associated animals, eye type, and finger variability (Figure 13a). The general trend in regional size revealed that these were proportionally similar, but The Gathering examples tended to be slightly taller and thinner than those found at the other three site complexes (Figure 13b).
Figure 13. MCA SBA bivariate plot showing variable scores (a), and (b) regional variation in body size (length × width) at the four site complexes (line of best fit shows trends).
The MCA confirmed, however, that no one place appeared more, or less, stylistically varied than any other (Figure 14). If one of these site complexes were an aggregation locale, for instance, whether a mixed group of artists came together and produced these figures (e.g., after ; ), then greater stylistic variability, and the full regional repertoire, would be expected in that place. Several characteristics and schematic conventions were unique in each place, and the Pahranagat solid-bodied figures showed the following:
Figure 14. MCA individual scores for solid-bodied anthropomorphs showing (a) regional variability (individual motifs and groups coded for place) and (b) chronological clustering based on contrast state (note that individual motifs CS1 and CS4 are colour coded but not circled due to small sample sizes).
  • Those from Black Canyon tended to have squarer heads and rectangular shorter bodies. Three panels here revealed subsequent production events and/or refreshing of a slightly altered form and/or placement in a proximal location.
  • Those from Mount Irish tended to have the most variability in body shape (distribution on Dim2), splayed legs (Type 2), and exaggerated arms with large digits, with round heads and square (planoconvex) bases. Several have been ‘refreshed’ or superimposed by newer motifs.
  • Those from The Gathering formed the tightest cluster: these motifs tended to have longer, thinner bodies, three toes on each foot, and several had necks (see below).
These results suggested a regional assemblage produced by culturally linked forager groups, producing a similar (but not identical) schema on behalf of their local residential base camp groups.
Some stylistic variability in SB figures could be due to changes through time in production. Contrast state information (Figure 12) revealed that while three SBs were produced in CS1, most SBs were CS2 and CS3, with significant declines in CS4 and CS5. The MCA revealed that the earliest motifs (CS1) were stylistically homogenous (i.e., located closest to the origin on the bivariate plot), while early in the main period of solid-body production (CS2), there was great diversity, which retracted in CS3 and then further again in CS4 to again demonstrate more stylistically homogenous motifs. Further patterning through time could be observed, as follows:
  • The earliest SBs were produced at Black Canyon (n = 1) and Mount Irish (n = 2).
  • Most SBs were produced in CS2 and CS3. The main production centre in CS2 appeared to be Black Canyon, at which time there was the most stylistic heterogeneity displayed in the assemblage. Production in CS3 was shared between Black Canyon and The Gathering, at which time the regional stylistic homogeneity increased.
  • No SBs were created at Black Canyon and The Gathering in CS4 and CS5. Increasing stylistic homogeneity was demonstrated in this timeframe at both Shooting Gallery and Mount Irish.
  • A single (visually atypical) SB occurred at Shooting Gallery in CS5: MCA placed this within the variability range of CS3. Two SBs at Mount Irish were either retouched in this phase (see Figure 11) or superimposed by other motifs.

3.4. Pahranagat Patterned-Bodied Anthropomorphs (PBAs)

A sample of 208 patterned-bodied anthropomorphs were analysed for this study (Figure 15 and Table 2): from Black Canyon (74: 35%) and The Gathering (68: 33%), Shooting Gallery (43: 21%), and Mount Irish (23: 11%). The PBAs were technically geometric in form, with their shape and patterned infill representing a combination of the region’s key geometric elements (i.e., knotted string, rakes, dot patterns, and angular forms). They rarely had defined heads and limbs, a feature that distinguishes them from their Coso Range counterparts. More than half (59%) of these motifs had no arms, 51 (25%) had 1 arm (usually associated with an atlatl), and 41 (19%) had 2 arms. Associations with atlatls (on the left and/or right side of the body) were recorded, as were arm morphologies.
Figure 15. PBA interior design patterns identified in this analysis.
Table 2. PBA general interior design groupings found at the four site complexes.
Eighteen variables were counted on each PBA motif for multiple components analysis. These included interior decoration (Figure 15), varieties of top and bottom extensions and decorations (Figure 16), and length and breadth dimensions.
Figure 16. PBA design elements analysed in addition to size dimensions. Atlatl types include variations where the arm is included in the design (cf. associated proximally). The square A17 atlatl design (attached with an arm) is like several illustrated from the Jeffers Site (Minnesota) by ().
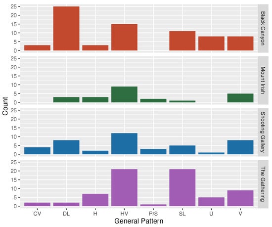
Many—but not all—interior designs were unique (i.e., 34 designs occurred only once; see also ). While there was extreme design variability, 78 classifiable designs were counted in 8 broad design categories (Table 2; Figure 15 and Figure 17). The most common design (found 11 times) was a simple vertical form (V02). Patterning was observed in the distribution of these core design elements across the four analysed site complexes/subregions.
Figure 17. Counts of the most common PBA internal designs (n ≥ 2). Colour coded for emphasis.
Only three designs were found at all four locations (V01, V02, and H03), while another four designs (H04, HV11, DL03, and SL13) were found in different combinations at three of the four site complexes. Three site complexes (but not Mount Irish) had designs that were unique, although most of these were one-off designs. There were, however, repeated examples that were not found at other places, e.g., at Black Canyon: DL04 (n = 7), SL05 (n = 4), and HV02 and DL10 (2 each), as well as 11 other unique designs. At The Gathering, HV19 (n = 4) and SL17 (n = 3) were unique to this place, along with 25 unique (i.e., n = 1) designs. Black Canyon and The Gathering shared the most designs (Figure 18), of which 18 designs were not found elsewhere. There was a small but significant relationship between the PBA general pattern and site complex (chi2 = 61.66, p = 0.001; adjusted Cramer’s v = 0.19), with more Dot + Line (DL) designs occurring at Black Canyon, and an inverse relationship at The Gathering, where there were more Solid + Line (SL) designs. This design variability is in keeping with these two site complexes being ritual centre(s)/aggregation locale(s) (sensu ; ).
Figure 18. Distribution of general designs at the four site complexes.
Additional stylistic complexity was added to the PBA form by the addition of top and bottom extensions, and decorations above and below the rectangular body shape (Figure 16). All four site complexes demonstrated localised stylistic choices being made by artists. In general, the most common corner extensions were T01 (49.5%), followed by T03 (17%), with 9% having no extensions. Over half of the PBAs (51.4%) had no decoration between the bottom extensions, and the most common decoration (24.5%) was B03—i.e., a shorter fringe than the leg extensions. These traits were analysed via the MCA.

3.4.1. PBA—Change Through Time

As was found with the Pahranagat SBs, the PBA peak predates the main rock art production in Lincoln County (cf. Figure 6 and Figure 19). There were 14 PBAs in CS1 (at Black Canyon and Mount Irish), and Black Canyon and The Gathering were the focus for peak production in CS2 and CS3 (n = 93 and 82, respectively). Shooting Gallery had its highest PBA production in CS4 (n = 15)—when all other areas dwindled significantly. Only two PBAs were created in CS5—one each at Mount Irish and Shooting Gallery.
Figure 19. PBA contrast state frequencies through time (n = 208).

3.4.2. Multiple Correspondence Analysis

MCA analysed seven variables to explore stylistic heterogeneity: only 4.2% of the variance was described by the first two dimensions (Figure 20). This motif form demonstrated extreme stylistic homogeneity across the region (Figure 21). MCA identified the following about PBA patterning:
Figure 20. MCA variables’ representation for PBAs based on 6 variables.
Figure 21. MCA distribution for the PBA motifs (a) plotted according to place and (b) plotted according to contrast state.
  • The PBAs from all four places demonstrated stylistic homogeneity by a strong clustering around the origin (0,0).
  • The attributes that contributed most to variability in these motifs were internal decoration, the top and bottom extensions, and the body length (Figure 20).
  • All areas had notable outliers (see Figure 21a), i.e., motifs that were stylistically diverse. The tightest cluster around the origin, signifying greatest homogeneity, was the small Pahroc sample, followed by the Black Canyon assemblage. The Shooting Gallery PBAs were the most stylistically diverse.
  • The greatest PBA homogeneity was demonstrated in CS3 (see Figure 21b), while CS4 examples displayed the most heterogeneity.
The changing degrees of homogeneity through the phases suggested a strong regional cohesion during the main phase of production, which fractured and demonstrated increasing territoriality in the final phases of production. This could demonstrate increased territoriality and inter-group rivalry in the later phases.

3.5. Atlatls

The PBAs from the four site complexes were associated with 82 atlatls of different types (Figure 16). The schema for this artefact varied through time (Table 3, Figure 22). Throughout the sequence, most atlatls were positioned parallel to the body, i.e., with no “arm” joining this to the PBA (types A2 and A10). During the main production phases (CS2, and then CS3), the dominant atlatl type was type A4 (a horizontal line extending from the body, with a circle), a schema that sees the atlatl and arm as a single entity.
Figure 22. Atlatls found (a) in the four contrast states across the four site complexes, and (b) showing schematic seriation through these weathering phases.
Table 3. Atlatl varieties seriated by contrast states.
Table 3. Atlatl varieties seriated by contrast states.
TypesCS1CS2CS3CS4Total
A1 94114
A2116 8
A3 21 3
A4 136221
A512 3
A6 1 1
A8 1 1
A9 22 4
A10 1416
A11 2 1
A13 1112
A14 11
A15 134
A16 11
A17 1 1
A18 1 1
A19 24 6
A20 13 4
A21 1 1
Total236331082
Almost half of the atlatls were from Black Canyon (n = 32). Most (54%) occurred in CS2, and the only two CS1 atlatls were found there. Atlatls at The Gathering (n = 24) and Mount Irish (n = 3) occurred in CS2 and CS3. The Shooting Gallery atlatls (n = 16) were in CS2–CS4, but 50% were in CS4.
No CS5 atlatls were recorded, and the two CS5 PBAs were not depicted with atlatls. The atlatl sample (n = 82) suggested that CS5 is equivalent to <1500 years in age, with CS1–CS4 increasingly older than 1500 years.
The late efflorescence of atlatl production at Shooting Gallery was matched by a schematic shift to finger loop and solid point (e.g., Types A12, A14, A15, and 19). This style of atlatl only occurred at The Gathering and Shooting Gallery (Figure 23). The shift to Shooting Gallery as a late PBA production centre (CS4) appeared to include the introduction of a new atlatl schema found only rarely at the other locations. This later style atlatl has similarities to the Quiltanton Lake style atlatl, which has been dated to ca. 2000 cal BP (Jim Keyser, personal communication, 2025; see ).
Figure 23. Shooting Gallery scenes with PBAs, BHS, more recent-style atlatls, and occasional solid-bodied anthropomorphs (a,b) in upper Red Pigment canyon, (c) at 26LN3749 Locus F (not to scale), which also has some earlier PBA designs and atlatl forms, and (d) The Gathering PBAs, with recent-style atlatls and (far right) several transitional patterned-body/attachment forms.

4. Discussion

This paper has deployed multiple lines of evidence to explore the Pahranagat Valley style sequence. Extensive archaeological evidence collected across the Lincoln County project () provided the basis for modelling social behaviours and cultural phases. Recognised culture periods were overlain with Great Basin climate data and modelled to suggest different drivers for symbolic behaviour though time (Figure 4). The characteristic Pahranagat figures with patterned and solid bodies were analysed in detail to explore the attributes that contribute to their forms—but also to explore the possible interpretations of these motifs by contemporary communities and archaeologists. This proposed chronology sees these Pahranagat figures being produced in the Early Holocene and not in the historic past, providing a new narrative for the region.

4.1. Changing Proportions of Geometric and Representational Classes

Most of the Pahranagat assemblage was geometric (i.e., abstract rectilinear and/or curvilinear), and there was significant variability within the 33 geometric subjects classified. Dominant forms were simple and complex combined geometric forms with discrete geometric elements, including lines, parallel lines, arcs, circles, dot patterns, and rakes. While geometric elements were consistently dominant through the style chronology, the subject focus of these can be seen to vary (Figure 24).
Figure 24. Chi squared plots showing significant proportions of nine geometric elements through time (i.e., geometric subjects with >100 examples).
The production of abstract/geometric forms is not static through time, and this analysis provided further evidence that the Pahranagat style sequence was not monolithic through the Holocene. There was a confirmed inverse relationship between motif class and contrast state (chi2 = 39.50, p = 0.006; adjusted Cramer’s v = 0.03). An absolute chi-squared residual above 2 suggested this was driven by an underrepresentation of zoomorphs and other motifs in CS2 and geometrics in CS5, with an overrepresentation of geometrics in CS2 and zoomorphs and other in CS5, Figure 25.
Figure 25. Chi squared plots showing significant Pahranagat motif classes and contrast state (the larger the circle size and darker the colour reveals higher statistical significance in under− and over representation).
While not the subject of this paper, it is the changing proportions of geometric elements that are likely to hold the key to regional signalling opportunities during open phases of social signalling. For instance, dot patterns, knotted strings, and rake motifs—which are more common in CS2 than CS4—are strong elements in the PBA internal designs and decorations. This is probably not coincidental.
The strong geometric element in the Early Archaic provides a more open graphic signalling during a period of increased aridity between 6 and 4000 cal BP. These and several other geometric elements, which appeared as internal and external decorations on the PBAs in this peak period of production, replace the anthropomorphic depictions—and indicate the development of an open signalling behaviour, which is widespread—during a period of increased aridity and mobility. The significant reduction of geometrics in the most recent phase demonstrated a contraction of this signalling of open/shared graphics, at a time when irrigation farming and the rise of small game hunting represent a decrease in mobility and increased territoriality.
Around one-third of the assemblage comprised zoomorphic subjects. These were mostly Bighorn sheep—but with small numbers of quadrupeds, snakes, cervids, and birds. Animals peaked in CS3, and BHS were present in lower numbers later in the sequence (CS4) than earlier (CS2). This could be a further indication of the demise of communal big game hunting and rise of individual hunters targeting small game, later in the occupation sequence. Human figures were the other major representational elements of the assemblage, over half of which were simple stick figures. These showed a similar trend in proportions throughout the CS sequence (contra the SB and PBA).
This analysis has focused on the SB figures and PBAs, which are a relatively small proportion of the human assemblage. The SB and the PBA motifs commenced early (in CS1), demonstrated an early efflorescence in CS2, flourished during CS3, and then underwent a major decline in CS4. They, and atlatls, were absent from the most recent art repertoire. The contrast state information for both Pahranagat figures indicated that their production peaked earlier than the main production phase of the regional sequence, and that there was a shifting focus for production throughout the region (Figure 12 and Figure 19).
While there was minimal surface archaeological evidence for Pre-Archaic occupation, the Pahranagat SB and PBA figures seemed likely to have commenced in a wetter phase during the period between 8 and 10,000 BP (as represented by CS2). Pinyon distribution overlapped the range for large game, and communal hunting of Bighorn sheep created a trigger for signalling behaviour, asserting regional identity. While these regional foragers were likely located at several base camps, Black Canyon was the geographic focus of this corporate signalling behaviour in the earliest part of this cultural phase.

4.2. A Partnered Relationship?

From the earliest observations of these motifs, archaeologists have interpreted a co-relation between PBAs and Water Babies (; and see ; ), and further with Bighorn sheep (). Indeed, several of the best-known panels (located within metres of each other) at Black Canyon demonstrated this association (Figure 9). To explore this relationship further, the 111 panels that contained 1 or more of these 2 motif types were analysed (Figure 26).
Figure 26. Combinations of individual, paired, and multiple SBs and PBAs found on panels across the Pahranagat assemblage (colour coded for emphasis).
The most common occurrence was a PBA occurring in isolation (n = 75), followed by panels with either one SB and/or two PBAs (n = 23 each). There were only seven instances of a paired Water Baby with a companion PBA. More common was one or more Water Babies combined with two or more PBAs. Multiple PBA motifs often occurred on the same panel (up to a maximum of eight at 26LN5673). Solid-bodied Pahranagat figures (Water Babies) were mostly found alone but could also be paired with another solid body (on five panels) and occasionally up to four companion Water Babies (Figure 12 and Figure 27).
Figure 27. Highly visible panel at The Gathering, which includes a superimposed SB and multiple PBA and BHS (and other motifs).
This patterning demonstrated only limited partnering of a Water Baby with a PBA. Quantification also demonstrated no persistent association with Bighorn sheep. This was also erratically patterned but predominantly indicated no direct association between these figures and a BHS motif on the panels analysed (Table 4). Almost 85% of PBA were not associated with Bighorn sheep, and over half of the Water Babies were similarly not associated.
Table 4. Associations of Pahranagat PBA and SB motifs with Bighorn sheep.
There were, however, stand-out panels in multiple locations, where there were clear narrative scenes involving all three motifs, often in highly visible landscape settings (Figure 23 and Figure 28). Many of the contemporary narratives about this pairing can be traced to the well-known, published panels (after ), which have also been the focus for ethnographic studies done in the region (, ). The variability demonstrated across the region in these depictions indicates that the initial signalling about these figures was likely more complex than has been realised in the contemporary narratives focused mainly on Black Canyon and its place in the cultural landscape ().
Figure 28. Highly visible panels in their landscape contexts: (a) Black Canyon, (b) aspect shot, The Gathering, (c) Pahranagat Men panel at Shooting Gallery, and (d) Red Pigment Canyon SB figures at the entrance (arrows), with scale provided by human recorder (encircled).

4.3. Placement in the Landscape

Water Babies are known to be “powerful spiritual beings that are associated with water and volcanic places. They live in flowing water of many kinds, including rivers and artesian springs, and frequently travel through natural and manmade hydrological systems. …” (). Previous studies have observed that the SB and PBA motifs are positioned high in the landscape (; ). At high elevations (the Pahranagat Range peaks at 2268 m; ), they are in boulder fields, gorge systems, or on prominent knolls. This observation is particularly true for the SB motifs. The more numerous PBAs are more widely distributed than the SBs (reflecting their greater number), but they too are often located on highly visible panels.
At the lower elevations (ca. 1000 m) on the floor of the Pahranagat Valley, Black Canyon, petroglyphs are arrayed along and around natural amphitheatres adjacent to a large riparian wetland/wet meadow (). At The Gathering, the art is arrayed across the lower slopes adjacent to the dry Lake Delamar (elevation 4572 m). Both are proximal to a range of other occupation evidence (hut structures and midden/occupation deposit), and the art is often positioned on larger vertical platforms facing outwards into the landscape. There is a clear sense that these motifs are placed to the audience of the art: to signal information about the social group to the broader population (see Figure 29).
Figure 29. Pahranagat style sequence showing diagnostic art styles correlated with contrast state and the introduction and decline of Pahranagat figures.
In the secluded and difficult-to-access upper reaches of Red Pigment Canyon (Shooting Gallery) are two adjacent, highly visible panels (Figure 23). There is no obvious occupation evidence in this narrow, heavily scoured area. Just downstream are grinding slicks, portable metates, and deep tinajas, and red pigment used to embellish petroglyphs. Five SBs are all in lower reaches of this canyon—all located high—just below the rim (Figure 29). Other rock art in this canyon (including a weathered cupule panel) is on basal bedrock surfaces adjacent to the stream flow, or up to head height on vertical panels.
Numic peoples made little distinction between the sacred and profane (; ), and people’s daily activities and religious lives were intimately intertwined. Thus, it is not surprising that SB and PBA motifs were placed in locations that could be argued to be both ‘open’ and ‘closed’—in terms of their association with obvious domestic habitation evidence. Association, per se, does not either allow or preclude the interpretation of a ritual purpose of production (). Certainly, vision questing does require seclusion—and most art produced for this type of ritual would be expected to be produced ‘privately’. More detailed analyses than those reported here are needed to fully explore the landscape context of this art’s production, including likely auditory considerations of the natural amphitheatres in which many of these images occur (; ). In terms of social messaging (; ), it is concluded that this art was produced with the intention of being seen by its audience—and it thus had clear signalling intent.

4.4. The Pahranagat Art Sequence

The Pahranagat occupation sequence commenced in the late Pleistocene. No Great Basin Carved Abstract was found here, confirming that Pahranagat is outside that Paleoindian rock art style region and its related textile regions (; ; ). Paleoindian occupation (contextualised elsewhere in the Great Basin) is followed by more widespread indicators of Pahranagat Pre-Archaic and Middle Archaic occupation, with the interval between 5400 and 4300 BP representing a major upswing on previous phases. Most diagnostic lithic material is Middle Archaic (ca. 3300–1350 BP)—the main period of lithic production, pinyon harvesting, and communal hunting. Late Archaic evidence is more intensive than the Early Archaic but indicates a contraction following the Middle Archaic. While the rock art sequence is poorly contextualised by conventional dates, contrast state patterning demonstrates that the hunter–forager occupation of this region included different phases of rock art production, which, like the lithics data, suggests differing levels of intensity and subject focus. Atlatl depictions (broadly accepted as being replaced by the bow and arrow ca. 1500 BP) provide an opportunity to correlate the art and occupation phases chronologically (Figure 30). Lithics and ceramics provide abundant evidence for continuing occupation in the Late Archaic and Historic periods, but rock art production declined significantly in the most recent period. A change in residential mobility, related to family groups focused on seed processing, the individual hunting of small game, and irrigation farming, combined with drought (MCA), resulted in the changed signalling purpose for rock art. This was likely replaced by the signalling tied to ceramics, textiles, and other personal identity markers, as well as the rise of individuals on vision quests and shamans undertaking a range of practices and activities in the storied landscape.
Figure 30. Modelled Pahranagat forager mobility (after ).
Pahranagat solid-bodied and patterned-bodied anthropomorphs were an important part of regional bonding behaviour that included communal hunting and large social gatherings in the Early Holocene (Figure 30). Climatic amelioration, the spread of pinyon, and the rise of communal hunting of Bighorn sheep resulted in a change in cooperative social organisation and decreased residential mobility. Rock art as a mode of signalling behaviour increased—and the Pahranagat region became a culture bloc. Given that style is a mechanism for demonstrating larger-scale group cohesion, and for carrying social information (, ; ), the overriding stylistic homogeneity of SB and PBA demonstrated broad-scale group cohesion. Geometric elements from the region’s broader iconography are part of the stylistic messaging in the PBAs, and these provide an avenue for local and group identity signalling.
While the overall shape and construction of the PBAs motifs was regionally persistent, the extreme design variability within signalled information at the local and personal levels (). Repeated designs across the region demonstrated broad social group cohesion, while design innovation at individual site complexes signalled further information at the band level (). Building on previous forager mobility models (e.g., ), the interplay between foragers across the Pahranagat style region was envisaged during the main production phase of PBA and SB motifs (Figure 30).
Each of the four site complexes analysed here were, at different times, the likely ritual centres for production. Black Canyon and The Gathering, at lower elevation and in seasonally abundant seed and lacustrine locations, were the likely locations for base camps, where the imagery was produced nearby to signal important social messaging about themselves and the broader group’s attachment to that part of their social geography (after ; ). Mount Irish, at higher elevation, was an important place for this Pahranagat forager signalling from its earliest days. In the final stages of this regional phase, and potentially into the changed social structure of the last 1500 years, the continuing importance of earlier imagery was indicated by the retouching/reactivating of several SB motifs. At higher elevation in Shooting Gallery, there was a late switch and increased design variability in PBAs and the use of a new atlatl design, also found at The Gathering. This suggested a continuing importance of these figures beyond the main period of regional production, along with continued interest with Bighorn sheep (Figure 23).
Drought, the introduction of the bow and arrow, and a change in subsistence strategies towards the individual pursuit of small animals and small family groups exploiting more reliable seeds/geophytes resulted in changes to social mobility and the use of rock art as group signalling behaviour. While the most recent rock artists in the Pahranagat Valley did not continue to produce these characteristic anthropomorphic forms, they continued to use the same landscapes and harvest many of the same resources—although their residential patterns and need to signal information about their identity changed ().
Once the Pahranagat Valley was settled by irrigation farmers and foragers, the main population would have been clustered along the Valley in villages. Reports in the late 1800s (e.g., ) indicate that up to 200 people resided in these places, focused on springs. Irrigated crops would have been augmented by seasonal seed and pine nut harvesting, facilitated by storage in locally made pottery. Marking of the landscape by small forager groups, shamans during local rituals and on pilgrimages, and young initiates in seclusion resulted in rock writing that signified local and individual information. The main occupation focus was on the lower-elevation valley, except during seasonal times, and the drivers for producing rock imagery declined. Water Babies and the patterned-bodied figures in the landscape entered a reenvisaged cosmology. People sometimes interacted with this imagery, refreshing the images or adding new ones.

4.5. Negotiating Multiple Narratives

Contemporary interpretations of the characteristic Pahranagat figures are integrally linked to Southern Paiute understandings of storied rocks and powerful ritual beings () and an ontological view that Great Basin rock art production is fundamentally shamanistic (). The persistent use of an abstract/geometric repertoire, interpreted as universal phosphenes linked to shamanistic beliefs and vision questing, is partly predicated on perceived deep-time cultural and stylistic continuity across the Great Basin ().
This analysis and resultant model for the Pahranagat region demonstrated a dynamic and changing Holocene Great Basin style sequence and interpreted this as evidence for changing signalling modes by hunter–foragers through time. The recursive nature of rock art imagery and the iterative ways that people engage with art practice allow for stochastic symbolic behaviours and multiple interpretive frameworks for Great Basin hunter–foragers over the past ca. 15,000 years.
Rock art/writing provides a reservoir of images for succeeding generations who not only view and interpret the record but also use it as a source of information that influences their present practice (). Rock art galleries are the art history of the artists themselves, with subsequent generations being socialised into and often contributing to the array of imagery:
“In many cases, living cultures are likely to accommodate representations from the past within their present day cosmological and mythological schema”.
()
Southern Paiute’s connection with their cultural and inscribed landscapes and the imagery results from their engagement with that imagery through their cosmological belief systems. As with most Indigenous communities, they have a recursive relationship with the art and recognise that this was not all produced by themselves. In Australia, the Martu distinguish petroglyphs as the marks or tracks left by creator-beings when they visited galleries—where these Beings were literally transmogrified into stone (). Native American explanations are similar:
“We talk about the little people, the De-ju-gu-oos that are responsible for making [the] original drawings. They were for the powerful people who knew how to read [the markings] and use those and they could grow from there”.
()
Black Canyon (‘Butte’) is where the “plants, animals, water, small flat rocks, and the style of the pecking” are part of the cultural significance: where Water Babies, shaman’s helpers, and mountain sheep adorning the cliff faces all contribute to the interpretation of this as a shaman’s rainmaking site and place of pilgrimage. The iterative nature of this engagement with place is recognised: while “of great antiquity…portions have been re-pecked, thus documenting repeated use” ().
This Native American attribution of the art to the actions of spirits—with the lack of distinction between the actions of a shaman and his spirit helper—has been taken by Whitley as “straightforward attributions of the art to shamanic vision questing”… or “the spirit helper acts through the shaman, who is a conduit for supernatural power” ().
This analysis aimed not to dismantle these contemporary interpretative frameworks, nor to upset the ontological applecart () or to argue that there no genetic continuity between Paleoindian populations and the modern Paiute (). This model offers an alternative pathway to exploring the mechanisms of how this rock art may have been produced in deeper time and how it has continued to function as a signalling behaviour as part of forager adaptive behaviours throughout the Holocene. It fully acknowledges that SB and PBA are etic labels that derive from a western approach to categorisation of rock art, and no attempt has been made to suggest an interpretation for what these powerful spirit figures likely meant to their Early Holocene artists. Early Holocene Pahranagat artists created this imagery in a patterned way, which is explicable in terms of broader understandings of mobility patterns and regional interactions.
This archaeological analysis has approached the Pahranagat sequence of styles and representational practices, via inference, to sequential generations of Great Basin artists. It substantiates that stylistic changes can be accommodated by subsequent groups belonging to a different dimension of existence ().

5. Conclusions

This paper explored Great Basin arid-zone hunter–forager rock art and viewed this as signalling behaviour. The rock art in the Pahranagat Valley in Lincoln County, Nevada, was the focus. This paper mobilised a theoretical approach, which integrated optimal foraging theory and the precepts of information exchange theory to generate some explicit assumptions about style and signalling behaviour. The goal was to construct a deep-time rock art chronology and anchor this to chronological markers in the archaeological record. This sequence of geometric/abstract forms still requires analysis at multiple levels, as the focus here was on the patterned-bodied and solid-bodied Pahranagat human figures.
The archaeological approach deployed here contextualised petroglyphs in space and time and provided a deeper understanding of changing symbolic behaviours as part of the Great Basin adaptive strategy. It was proposed that the characteristic Pahranagat solid-bodied and patterned-bodied anthropomorphs were introduced during a period of climatic amelioration and pinyon expansion in the Early Holocene, as part of regional bonding behaviour that included communal hunting and large social gatherings. Drought, changed subsistence strategies, such as the introduction of the bow and arrow, individuals hunting small animals, and small family groups exploiting more reliable seeds, plus the rise of irrigation farming, resulted in changes to social mobility and the demise of rock art as a regional signalling behaviour. While the most recent rock writers in the Pahranagat Valley did not continue to produce these characteristic anthropomorphic forms, the recursivity of rock art in the cultural landscape allows their persistence in the symbolic lives of Native Americans today.

Funding

This paper was presented as an invited Plenary at the 36th Great Basin Anthropological Conference Arrows of Time: Anthropological Disciplines of the Future 2018, and some components were also presented at the Theory Workshop in Salzburg in 2015. It is based on material collected during the Lincoln County recording project (), and during my ARC Future Fellowship which was hosted at UC Berkeley (FT 100100206; 2012–2016). The CRAR+M UWA team (funded by ASM) included Lucia Clayton and Stafford Smith who worked in Lincoln County in September 2013 with David Whitley, Tammy Whitley, Mark Giambastiani, Andrea Catacora, Emily Middleton and Steve Moore. Legacy data used was recorded by the Nevada Rock Art Foundation (NRAF 2005, 2010, 2014); and by David Lee, Charlotte Anderson and Kyle Ross (in 2002).

Data Availability Statement

Date is available on request.

Acknowledgments

I would like to acknowledge Mark Giambastiani and David Whitley for inviting me to participate in the Lincoln County Project and Andrea Catt, Emily Middleton, Montana Long, Shannon Mahoney and all ASM field leaders and crew members. Nicholas Pay (then BLM Caliente Office), facilitated additional data collection in 2016; and David Lee (Shooting Gallery), Amy Gilreath (Black Canyon) and William White (The Gathering) provided additional field data. Patrick Morrison assisted with the statistical analyses: the FactorMineR package was used to conduct the Multiple Correspondence Analysis (MCA).

Conflicts of Interest

The author declares no Conflict of Interest.

Note

1
The author recognises that Paiute and Western Shoshone descendent communities of the Great Basin prefer the term “rock writings” to “rock art”. Because this paper refers to human rock markings more broadly, and in a global context where the term is more broadly accepted, I use the terms “rock writings”, “rock art”, petroglyphs, and pictographs interchangeably, and advisedly.

References

  1. Balme, Jane, Iain Davidson, Jo McDonald, Nicola Stern, and Peter Veth. 2009. Symbolic behaviour and the peopling of the southern arc route to Australia. Quaternary International 202: 59–68. [Google Scholar] [CrossRef]
  2. Barker, Pat. 2019. What we knew then and what we know now: Thirty years of CRM Archaeology in the Great Basin. In Cultural Resource Management in the Great Basin, 1986–2016. Edited by Alice Baldrica, Patricia A. deBunch and Donald D. Fowler. University of Utah Anthropological Papers # 131. Salt Lake City: University of Utah Press, pp. 79–94. [Google Scholar]
  3. Benson, Larry V., Eugene M. Hattori, John Southon, and Ben Aleck. 2013. Dating North America’s oldest petroglyphs, Winnemucca Lake subbasin, Nevada. Journal of Archaeological Science 40: 4466–76. [Google Scholar] [CrossRef]
  4. Bettinger, Robert L. 2015. Orderly Anarchy: Sociopolitical Evolution in Aboriginal California. Oakland: University of California Press, vol. 8. [Google Scholar]
  5. Bettinger, Robert L., Raven Garvey, and Shannon Tushingham. 2015. Hunter-gatherers as optimal foragers. In Hunter-Gatherers: Archaeological and Evolutionary Theory. Edited by Robert L. Bettinger, Raven Garvey and Shannon Tushingham. New York: Springer, pp. 91–138. [Google Scholar]
  6. Billo, Evelyn, Robert Mark, and Donald E. Weaver. 2013. Sears Point rock art recording Project, Arizona, USA. In IFRAO 2013 Proceedings, American Indian Rock Art. Edited by Mavis Greer and Peggy Whitehead. Orem: American Rock Art Research Association, vol. 40, pp. 1283–302. Available online: http://www.rupestrian.com/Sears_Point_IFRAO2013.pdf (accessed on 12 May 2025).
  7. Cannon, William, and Alannah Woody. 2007. Toward a Gender-Inclusive View of Rock Art in the Northern Great Basin. In Great Basin Rock Art: Archaeological Perspectives. Edited by Angus Quinlan. Reno: University of Nevada Press. [Google Scholar]
  8. Cannon, William J., and Mary F. Ricks. 2007. Contexts in the analysis of rock art: Settlement and rock art in the Warner Valley area, Oregon. In Great Basin Rock Art: Archaeological Perspectives. Reno, NV: University of Nevada Press, pp. 107–25. [Google Scholar]
  9. Clabaugh, P. B., and R. A Clabaugh. 2009. Pahranagat Man: Unusual Anthropomophic Figures Along the Pahranagat Trail, Lincoln County, Nevada.
  10. Clayton, Lucia. 2021. Contextualising Great Basin Rock Art. A Spatial and Stylistic Analysis of Volcanic Tableland Rock Art. Unpublished. Ph.D. thesis, University of Western Australia, Perth, Australia. [Google Scholar]
  11. Conkey, Margaret. 1980. The Identification of Prehistoric Hunter-Gatherer Aggregation Sites: The Case of Altamira. Current Anthropology 21: 609–30. [Google Scholar] [CrossRef]
  12. Connolly, Thomas J., Pat Barker, Catherine S. Fowler, Eugene M. Hattori, Dennis L. Jenkins, and William J. Cannon. 2016. Getting Beyond the Point: Textiles of the Terminal Pleistocene/Early Holocene in the Northwestern Great Basin. American Antiquity 81: 490–514. [Google Scholar] [CrossRef]
  13. Coutouly, Yan Axel Gómez, and Charles. E. Holmes. 2018. The microblade industry from Swan Point Cultural Zone 4b: Technological and cultural implications from the earliest human occupation in Alaska. American Antiquity 83: 735–52. [Google Scholar] [CrossRef]
  14. Dickey, Jerry. 1994. The Piute Creek Petroglyph Inventory: A Rock Art Survey in the East Mojave Desert of California. Pacific Coast Archaeological Society Quarterly 39: 3–32. [Google Scholar]
  15. Dillehay, Tom D., Carlos Ocampo, José Saavedra, Andre Oliveira Sawakuchi, Rodrigo M. Vega, Mario Pino, Michael B. Collins, Linda Scott Cummings, Ivan Arregui, Ximema S. Villagran, and et al. 2015. New archaeological evidence for an early human presence at Monte Verde, Chile. PLoS ONE 10: e0141923. [Google Scholar]
  16. Díaz-Andreu, Margarita, and Tommaso Mattioli. 2015. Archaeoacoustics of rock art: Quantitative approaches to the acoustics and soundscape of rock art. In CAA2015. Keep The Revolution Going: Proceedings of the 43rd Annual Conference on Computer Applications and Quantitative Methods in Archaeology. Oxford: Archaeopress, pp. 1049–58. [Google Scholar]
  17. Elston, Robert G., David W. Zeanah, and Brian F. Codding. 2014. Living Outside the Box: An Updated Perspective on Diet Breadth and Sexual Division of Labor in the Prearchaic Great Basin. Quaternary International 352: 200–11. [Google Scholar] [CrossRef]
  18. Fiedel, Stuart J. 2025. Petroglyphs Depicting Spearthrowers (atlatls) at Grapevine Canyon, Nevada: Chronological, Culture Historical, and Symbolic Implications. Available online: https://www.researchgate.net/publication/390630285_PETROGLYPHS_DEPICTING_SPEARTHROWERS_ATLATLS_AT_GRAPEVINE_CANYON_NEVADA_CHRONOLOGICAL_CULTURE_HISTORICAL_AND_SYMBOLIC_IMPLICATIONS?channel=doi&linkId=67f6c6159b1c6c4877856961&showFulltext=true (accessed on 12 May 2025).
  19. Finch, Damien, Andrew Gleadow, Janet Hergt, Pauline Heaney, Helen Green, Cecilia Myers, Peter Veth, Sam Harper, Sven Ouzman, and Vladimir Levchenko. 2021. Ages for Australia’s oldest rock paintings. Nature Human Behaviour 5: 310–18. [Google Scholar] [CrossRef]
  20. Fowler, Catherine S. 1995. Some Notes on Ethnographic Subsistence Systems in Mojavean Environments in the Great Basin. Journal of Ethnobiology 15: 99–117. [Google Scholar]
  21. Francis, Julie E., and Larry L. Loendorf. 2002. Ancient Visions: Petroglyphs and Pictographs from the Wind River and Bighorn Country, Wyoming and Montana. Salt Lake City: University of Utah Press. [Google Scholar]
  22. Garfinkel, Alan P., David A. Young, and Robert M. Yohe, II. 2010. Bighorn hunting, resource depression, and rock art in the Coso Range, eastern California: A computer simulation model. Journal of Archaeological Science 37: 42–51. [Google Scholar] [CrossRef]
  23. Gebhard, David S., and Harold A. Cahn. 1950. The Petroglyphs of Dinwoody, Wyoming. American Antiquity 15: 219–28. [Google Scholar] [CrossRef]
  24. Giambastiani, Mark A., Clint Cole, Leslie Fryman, Angus Quinlan, Penny Rucks, Jo McDonald, and David S. Whitley. 2015. A Cultural Resources Inventory of 33,095 Acres and Rock Art Analysis in the Pahroc Rock Art, Mt. Irish, and Shooting Gallery Areas of Critical Environmental Concern, Lincoln County, Nevada. BLM Report No: 8111 CRR NV 040-12-2015, prepared by ASM Affiliates, Reno, Nevada. Caliente: Bureau of Land Management, Caliente Field Office. [Google Scholar]
  25. Gilreath, Amy, Ginny Bengston, and Brandon Patterson. 2011. Ethnographic and Archaeological Inventory and Evaluation of Black Canyon, Lincoln County, Nevada Volume 1: Report and Appendices A –F. San Antonio: Henderson. Available online: https://nvarch.org/amcs/wp-content/uploads/2017/09/2013-Volume-26-Nevada-Archaeologist.pdf (accessed on 12 May 2025).
  26. Gilreath, Amy J., and William R. Hildebrandt. 2008. Coso Rock Art Within Its Archaeological Context. Journal of California and Great Basin Anthropology 28: 1–22. [Google Scholar]
  27. Gilreath, Amy J., and William R. Hildebrandt. 2012. Current Perspectives on the production and conveyance of Coso Obsidian. In Perspectives on Prehistoric Trade and Exchange in California and the Great Basin. Edited by Richard E. Hughes. Salt Lake City: University of Utah Press, pp. 171–88. [Google Scholar]
  28. Goebel, Ted, Bryan Hockett, Kenneth D. Adams, David Rhode, and Kelly Graf. 2011. Climate, environment, and humans in North America’s Great Basin during the Younger Dryas, 12,900–11,600 calendar years ago. Quaternary International 242: 479–501. [Google Scholar] [CrossRef]
  29. Goebel, Ted, Michael R. Waters, and Dennis H. O’Rourke. 2008. The Late Pleistocene dispersal of modern humans in the Americas. Science 319: 1497–502. [Google Scholar] [CrossRef]
  30. Grant, Campbell. 1967. Rock Art of the American Indians. New York: Thomas Y Crowell. [Google Scholar]
  31. Grant, Campbell. 1968. Rock Drawings of the Coso Range: Inyo County California. China Lake: Maturango Museum. [Google Scholar]
  32. Grant, Campbell, James Baird, and J. Kenneth Pringle. 1968. Rock Drawings of the Coso Range, China Lake, California. Maturango Museum Publication No. 4. China Lake: Maturango. [Google Scholar]
  33. Heizer, Robert F., and Martin Baumhoff. 1962. Prehistoric Rock Art of Nevada and Eastern California. Berkeley: University of California. [Google Scholar]
  34. Heizer, Robert F., and Thomas R. Hester. 1974. Two Petroglyph Sites in Lincoln County, Nevada. University of California Archaeological Research Facility Contributions 20: 1–52. [Google Scholar]
  35. Holmes, Elaine, and Anne Carter. 2009. The Dynamic Duo: Superheroes of Pahranagat Rock Art. Utah Rock Art XXVIII: 25–32. [Google Scholar]
  36. Huffman, Thomas N., and Frank Lee Earley. 2017. Apishapa rock art and Great Basin shamanism: Power, souls, and pilgrims. Time and Mind 10: 119–44. [Google Scholar] [CrossRef]
  37. Jenkins, Dennis L., Loren G. Davis, Thomas W. Stafford, Jr., Paula F. Campos, Bryan Hockett, George T. Jones, Linda Scott Cummings, Chad Yost, Thomas J. Connolly, Robert M. Yohe, and et al. 2012. Clovis age Western Stemmed projectile points and human coprolites at the Paisley Caves. Science 337: 223–28. [Google Scholar] [CrossRef]
  38. Jones, George T., Charlotte Beck, Eric E. Jones, and Richard E. Hughes. 2003. Lithic Source Use and Paleoarchaic Foraging Territories in the Great Basin. American Antiquity 68: 5–38. [Google Scholar] [CrossRef]
  39. Jones, George T., Lisa M. Fontes, Rachel A. Horowitz, Charlotte Beck, and David G. Bailey. 2012. Reconsidering Paleoarchaic mobility in the central Great Basin. American Antiquity 77: 351–67. [Google Scholar] [CrossRef]
  40. Keyser, James D., and David S. Whitley. 2006. Sympathetic Magic in Western North American Rock Art. American Antiquity 71: 3–26. [Google Scholar] [CrossRef]
  41. Keyser, James D., and Michelle Klassen. 2001. Plains Indian Rock Art. Seattle and London: University of Washington Press. [Google Scholar]
  42. Kroeber, Alfred Louis. 1907. The religion of the Indians of California. University of California Publications in American Archaeology and Ethnology 4: 319–56. [Google Scholar]
  43. Lee, David M. 2004. Documentation of the Shooting Gallery Game Drive District, Lincoln County, Nevada. Prepared under Ely Field Office Requisition Number NV-043-RQ03-041. Ely: Bureau of Land Management, Ely District. [Google Scholar]
  44. Lee, David M. 2016. Rock Art East of the Range of Light. Bishop: Learning to Listen Press. [Google Scholar]
  45. Lewis-Williams, David. 2012. Rock Art and Shamanism. In A Companion to Rock Art. Edited by Jo McDonald and Peter Veth. Malden: Wiley-Blackwell, pp. 17–33. [Google Scholar]
  46. Loubser, Jannie. 2024. LCAI Round 13-Graffiti Mitigation and Rock Art Recording at Site 26LN211; Stratum Unlimited Report to BLM, Caliente Office. Unpublished Report Number: 8111 CRR NV 040-23-2330; Caliente: BLM-NV Caliente Field Office.
  47. Lytle, Farrel, Mannetta Lytle, and Keith Stever. 2010. Dating Black Canyon Petroglyphs by XRF Chemical Analysis, Appendix A. In Ethnographic and Archaeological Inventory and Evaluation of Black Canyon, Lincoln County, Nevada. Edited by Amy Gilreath, Ginny Bengston and Brandon Patterson. Volume 1: Report and Appendices. Unpublished Far Western Anthropological Research Group Report to US Fish and Wildlife Services. [Google Scholar]
  48. Maddock, Caroline. S. 2015. A Study of the Coso Patterned Body Anthropomorphs. Matuarango Museum Publication No 26. Ridgecrest: Matuarango Press. ISBN 978-0-943041-31-6. [Google Scholar]
  49. Malaspinas, Anna-Sapfo, Michael C. Westaway, Craig Muller, Vitor C. Sousa, Oscar Lao, Isabel Alves, Anders Bergström, Georgios Athanasiadis, Jade Y. Cheng, Jacob E. Crawford, and et al. 2016. A genomic history of Aboriginal Australia. Nature 538: 207–14. [Google Scholar] [CrossRef]
  50. McDonald, Jo. 2008. Dreamtime Superhighway: Sydney Basin Rock Art and Prehistoric Information Exchange. Canberra: ANU E-Press. [Google Scholar]
  51. McDonald, Jo. 2017. Discontinuities in arid zone rock art: Graphic indicators for changing social complexity across space and through time. Journal of Anthropological Archaeology 46: 53–67. [Google Scholar] [CrossRef]
  52. McDonald, Jo. 2021. Desert rock art: Social geography at the local scale. In Perspectives on Differences in Rock Art. Edited by Jan Magne Gjerde and Marne Arntzen. Sheffield: Equinox Publishing Ltd., pp. 338–59. [Google Scholar]
  53. McDonald, Jo, and Ken Mulvaney, eds. 2023. Murujuga: Dynamics of the Dreaming—A Long and Short History of this Cultural Landscape with Reference to Rock Art, Stone Features, Excavations and Historical Sites Recorded Across the Dampier Archipelago Between 2014 and 2018. CRAR+M Monograph Series # 2. Perth: UWAPublishing. [Google Scholar]
  54. McDonald, Jo, and Peter Veth. 2013. The archaeology of memory: The recursive relationship of Martu rock art and place. In Anthropological Forum. Abingdon: Routledge, vol. 23, pp. 367–86. [Google Scholar]
  55. McDonald, Jo, and Peter Veth, eds. 2012. The social dynamics of aggregation and dispersal in the Western Desert. In A Companion to Rock Art. Malden: Wiley-Blackwell, pp. 90–102. [Google Scholar]
  56. McDonald, Jo, Andrea Catacora, Sarah de Koning, and Emily Middleton. 2016. Digital technologies and quantitative approaches to recording rock art in the Great Basin, USA. Journal of Archaeological Science: Reports 10: 917–30. [Google Scholar] [CrossRef]
  57. Middleton, Emily S. 2013. Paleoindian Rock Art: An Evaluation of the Antiquity of Great Basin Carved Abstract Rock Art in the Northern Great Basin. Master’s thesis, University of Nevada, Reno, NV, USA. [Google Scholar]
  58. Middleton, Emily S., Geoffrey M. Smith, William J. Cannon, and Mary F. Ricks. 2014. Paleoindian rock art: Establishing the antiquity of Great Basin Carved Abstract petroglyphs in the northern Great Basin. Journal of Archaeological Science 43: 21–30. [Google Scholar] [CrossRef]
  59. Morphy, Howard. 2012. Recursive and Iterative Processes in Australian Rock Art: An Anthropological Perspective. In A Companion to Rock Art. Edited by Jo McDonald and Peter Veth. Malden: Wiley Blackwell, pp. 294–305. [Google Scholar]
  60. Mulvaney, Ken. 2009. Dating the Dreaming: Extinct Fauna in the Petroglyphs of the Pilbara Region, Western Australia. Archaeology in Oceania 44: 40–48. [Google Scholar] [CrossRef]
  61. Nevada Rock Art Foundation. 2018. Rock Art: Ancient Cultural Landscapes of Lincoln County; Reno: Nevada Rock Art Foundation.
  62. Nye, William. 1886. A winter among the Piutes. Overland Monthly. Second Series 7: 293–98. [Google Scholar]
  63. Pellegrini, Evan J., Eugene M. Hattori, Larry V. Benson, John Southon, Hojung Song, and Derek A. Woller. 2022. A 14,100 cal BP rocky mountain locust cache from Winnemucca Lake, Pershing County, Nevada. Journal of Archaeological Science: Reports 46: 103704. [Google Scholar]
  64. Purdy, Barbara A., Kevin S. Jones, John J. Mecholsky, Gerald Bourne, Richard C. Hulbert, Jr., Bruce J. MacFadden, Krista L. Church, Michael W. Warren, Thomas F. Jorstad, Dennis J. Stanford, and et al. 2011. Earliest art in the Americas: Incised image of a proboscidean on a mineralized extinct animal bone from Vero Beach, Florida. Journal of Archaeological Science 38: 2908–13. [Google Scholar] [CrossRef]
  65. Quinlan, Angus. 2012. Rock art. In A Prehistoric Context for Southern Nevada. Edited by Heidi Roberts and Richard Ahlstrom. HRA Archaeological Report No. 11-05. Las Vegas: HRA Conservation Archaeology, pp. 209–36. [Google Scholar]
  66. Quinlan, Angus R., and Alannah Woody. 2003. Marks of distinction: Rock art and ethnic identification in the Great Basin. American Antiquity 68: 372–90. [Google Scholar] [CrossRef]
  67. Ritter, Eric W., Alannah Woody, and Alan Watchman. 2007. Petroglyph dating on the Massacre Bench. In Great Basin Rock Art: Archaeological Perspectives. Edited by Angus R. Quinlan. Reno: University of Nevada Press, pp. 126–39. [Google Scholar]
  68. Rosenfeld, Andree. 2002. Rock art as an indicator of changing social geographies in central Australia. In Inscribed Landscapes: Marking and Making Places. Edited by Bruno David and Meredith Wilson. Honolulu: University of Hawaii Press, pp. 61–78. [Google Scholar]
  69. Rowe, Timothy B., Thomas W. Stafford, Jr., Daniel C. Fisher, Jan J. Enghild, J. Michael Quigg, Richard A. Ketcham, J. Chris Sagebiel, Romy Hanna, and Matthew W. Colbert. 2022. Human occupation of the North American Colorado Plateau∼ 37,000 years ago. Frontiers in Ecology and Evolution 10: 903795. [Google Scholar] [CrossRef]
  70. Sackett, James R. 1990. Style and ethnicity in archaeology: The case for isochrestism. In The Uses Of style in Archaeology. Edited by Margaret Conkey and Christine Hastorf. New Directions in Archaeology. Cambridge: Cambridge University Press, pp. 32–43. [Google Scholar]
  71. Schaafsma, Polly. 1980. Indian Rock Art of the Southwest. Santa Fe: School of America. [Google Scholar]
  72. Simms, Steven. 2010. Traces of Fremont: Society and rock art of Ancient Utah. Salt Lake City: University of Utah Press. [Google Scholar]
  73. Smith, Geoffrey M. 2010. Footprints Across the Black Rock: Temporal Variability in Prehistoric Foraging Territories and Toolstone Procurement Strategies in the Western Great Basin. American Antiquity 75: 865–85. [Google Scholar] [CrossRef]
  74. Smith, Geoffrey M., and Pat Barker. 2017. The Terminal Pleistocene/Early Holocene Record in the Northwestern Great Basin: What We Know, What We Don’t Know, and How We May Be Wrong. PaleoAmerica 3: 13–47. [Google Scholar] [CrossRef]
  75. Spaulding, W. Geoffrey. 1991. Pluvial climatic episodes in North America and North Africa: Types and correlation with global climate. Palaeogeography, Palaeoclimatology, Palaeoecology 84: 217–27. [Google Scholar] [CrossRef]
  76. Steward, Julian H. 1929. Petroglyphs of California and Adjoining States, Vol. 24. Berkeley: University of California Press. [Google Scholar]
  77. Stoffle, Richard, and Maria Nieves Zedeño. 2001. Historical memory and ethnographic perspectives on the Southern Paiute homeland. Journal of California and Great Basin Anthropology 23: 229–48. [Google Scholar]
  78. Stoffle, Richard, Kathleen Van Vlack, Alannah Bell, and Bianca Eguino Uribe. 2024. Storied Rocks: Portals to Other Dimensions. Arts 13: 168. [Google Scholar] [CrossRef]
  79. Stoffle, Richard, Kathleen Van Vlack, Hannah Z. Johnson, Phillip T. Dukes, Stephanie C. De Sola, and Kristen L. Simmons. 2011a. Tribally Approved American Indian Ethnographic Analysis of the Proposed Delamar Valley Solar Energy Zone. Tucson: Bureau of Applied Anthropology, University of Arizona. [Google Scholar]
  80. Stoffle, Richard, Kathleen Van Vlack, Hannah Z. Johnson, Phillip T. Dukes, Stephanie C. De Sola, and Kirsten L. Simmons. 2011b. Tribally Approved American Indian Ethnographic Analysis of the Proposed East Mormon Mountain Valley Solar Energy Zone. Tucson: Bureau of Applied Anthropology, University of Arizona. [Google Scholar]
  81. Stoffle, Richard, Richard Arnold, and Kathleen Van Vlack. 2022. Landscape Is Alive: Nuwuvi Pilgrimage and Power Places in Nevada. Land 11: 1208. [Google Scholar] [CrossRef]
  82. Thomas, David Hurst. 2019. A shoshonean prayerstone hypothesis: Ritual cartographies of Great Basin incised stones. American Antiquity 84: 1–25. [Google Scholar] [CrossRef]
  83. Thomas, David Hurst, and Constance I. Millar. 2024. Pinyon pine and people progressing simultaneously across the Great Basin: Coincidence? Causality? Journal of California and Great Basin Anthropology 44: 73–109. [Google Scholar]
  84. Thomas, David Hurst, Donna Cossette, Misty Benner, Anna Camp, and Erick Robinson. 2025. Spirit Cave Resilience: How Do We Explain a 10,000-Year Continuity? American Antiquity, 1–20. [Google Scholar] [CrossRef]
  85. Tschanz, C. M., and E. H. Pampeyan. 1970. Geology and mineral deposits of Lincoln County, Nevada: Nevada Bur. Mines Bulletin 73: 83–84. [Google Scholar]
  86. Turner, Christy G. 1963. Petroglyphs of the Glen Canyon Region: Style, chronology, distribution, and relationships from Basketmaker to Navajo. Museum of Northern Arizona Bulletin 38. Flagstaff: Northern Arizona Society of Science and Art, Inc. [Google Scholar]
  87. U.S Fish and Wildlife Services. 2009. Desert National Wildlife Refuge Complex Ash Meadows, Desert, Moapa Valley, and Pahranagat National Wildlife Refuges: Final Comprehensive Conservation Plan and Environmental Impact Statement. Volume 1; Report held by U.S Fish and Wildlife Service, Pacific Southwest Region. Washington, DC: U.S Fish and Wildlife Services.
  88. Veth, Peter, Nicola Stern, Jo McDonald, Jane Balme, and Iain Davidson. 2011. The role of information exchange in the colonisation of Sahul. In Information and Its Role in Hunter-Gatherer Bands. Edited by Robert Whallen, William. A. Lovis and Robert. K. Hitchcock. Los Angelas: Cotsen Institute of Archaeology Press, pp. 203–20. [Google Scholar]
  89. Walker, Deward. 1991. Protection of American Indian Sacred Geography. In Handbook of American Indian Religious Freedom. Edited by C. Vecsey. New York: Crossroad Publishing Company, pp. 100–15. [Google Scholar]
  90. Waller, Stephen J. 2010. Voices Carry: Whisper Galleries and X-rated Echo Myths of Utah. Utah Rock Art 29: 31–35. [Google Scholar]
  91. Waters, Michael R. 2019. Late Pleistocene exploration and settlement of the Americas by modern humans. Science 365: eaat5447. [Google Scholar] [CrossRef]
  92. Wernecke, D. Clark, and Michael B. Collins. 2012. Patterns and Process: Some Thoughts on the Incised Stones from the Gault Site, Central Texas, United States. In L’Art Pléistocène dans le Monde: Actes du Congres IFRAO 2010. Edited by Jean Clottes. Tarascon sur Ariège: Préhistoire, Art et Sociétés: Bulletin de la Société Préhistorique Ariège-Pyrénées, LXV–LXVI, 2010–2011. pp. 120–121. [Google Scholar] [CrossRef]
  93. White, William G. 2013. Pahranagat Representational Style: A unique rock art tradition in and surrounding the Pahranagat Valley, Lincoln County, Nevada. Nevada Archaeologist 26: 45–62. [Google Scholar]
  94. White, William G., and Rebecca L. Orndorff. 1999. A Cultural Resource and Geological Study Pertaining to Four Selected Petroglyph/Pictograph sites on Nellis Air Force Range and Adjacent Overflight Lands, Lincoln and NYE Counties, Nevada. Report to US Army Corps of Engineers Fort Worth District. Las Vegas: Harry Reid Centre of Environmental Studies, Marjorie Barrack Museum of Natural History, University of Nevada. [Google Scholar]
  95. Whitley, David S. 1992. Shamanism and Rock Art in Far Western North America. Cambridge Archaeological Journal 2: 89–113. [Google Scholar] [CrossRef]
  96. Whitley, David S. 1994. By the Hunter, for the Gatherer: Art, Social Relations and Subsistence Change in the Prehistoric Great Basin. World Archaeology 25: 356–73. [Google Scholar] [CrossRef]
  97. Whitley, David S. 2000. The Art of the Shaman: Rock Art of California. Salt Lake City: University of Utah Press. [Google Scholar]
  98. Whitley, David S. 2012. In Suspect Terrain: Dating rock art. In A Companion to Rock Art. Edited by Jo McDonald and Peter Veth. Malden: John Wiley and Sons, pp. 605–24. [Google Scholar]
  99. Whitley, David S. 2013. Rock Art Dating and the Peopling of the Americas. Journal of Archaeology 2013: 1–15. [Google Scholar] [CrossRef]
  100. Whitley, David S. 2015. North American Rock Art Perspective. In A Cultural Resources Inventory of 33,095 Acres and Rock Art Analysis in the Pahroc Rock Art, Mt. Irish, and Shooting Gallery Areas of Critical Environmental Concern, Lincoln County, Nevada. Edited by Mark A. Giambastiani. BLM Report No: 8111 CRR NV 040-12-2015, prepared by ASM Affiliates, Reno, Nevada. Caliente: Bureau of Land Management, Caliente Field Office, pp. 195–213. [Google Scholar]
  101. Whitley, David S. 2019. Early Northern Plains Rock Art in Context. In Dinwoody Dissected: Looking at the Interrelationships Between Central Wyoming Petroglyphs. Edited by Danny Walker. Laramie: Wyoming Archaeological Society, pp. 21–31. [Google Scholar]
  102. Whitley, David S. 2021. Rock art, shamanism, and the ontological turn. In Ontologies of Rock Art. Edited by Oscar Moro Abadia and Martin Porr. New York: Routledge, pp. 67–90. [Google Scholar]
  103. Whitley, David S., and Ronald I. Dorn. 2010. The Coso Petroglyph Chronology. Pacific Coast Archaeological Society Quarterly 43: 135–57. [Google Scholar]
  104. Whitley, David S., J. D. Lancaster, and Andrea Catacora. 2025. Beyond Correlation to Causation in Hunter–Gatherer Ritual Landscapes: Testing an Ontological Model of Site Locations in the Mojave Desert, California. Arts 14: 20. [Google Scholar] [CrossRef]
  105. Whitley, David S., Ronald I. Dorn, Joseph M. Simon, Robert Rechtman, and Tamara K. Whitley. 1999. Sally’s Rockshelter and the Archaeology of the Vision Quest. Cambridge Archaeological Journal 9: 221–47. [Google Scholar] [CrossRef]
  106. Wiessner, Polly. 1983. Style and social information in Kalahari San projectile points. American Antiquity 48: 253–76. [Google Scholar] [CrossRef]
  107. Wiessner, Polly. 1984. Reconsidering the behavioral basis for style: A case study among the Kalahari San. Journal of Anthropological Archaeology 3: 190–234. [Google Scholar] [CrossRef]
  108. Wigand, Peter E. 2002. Middle to late Holocene Climate and Vegetation Dynamics in the Northwestern Mohave Desert as Revealed in Pollen and Macro fossils from Ancient Woodrat Middens. Unpublished Technical Report. Reno: Great Basin & Mojave Palaeoenvironmental Research & Consulting, vol. 48, Academia.edu. [Google Scholar]
  109. Wigand, Peter E., and David Rhode. 2002. Great Basin vegetation history and aquatic systems: The last 150,000 years. Great Basin Aquatic Systems History. Smithsonian Contributions to the Earth Sciences 33: 309–68. [Google Scholar]
  110. Wobst, H. Martin. 1977. Stylistic behaviour and information exchange. In For the Director: Research Essays in Honour of JB Griffen. Edited by Charles E. Cleland. No 61. Ann Arbor: Museum of Anthropology, University of Michigan, pp. 317–42. [Google Scholar]
  111. Woody, Alanah J. 1997. Layer by Layer: A Multigenerational Analysis of the Massacre Lake Rock Art Site (Nevada). Mater’s thesis, University of Nevada, Reno, NV, USA. [Google Scholar]
Disclaimer/Publisher’s Note: The statements, opinions and data contained in all publications are solely those of the individual author(s) and contributor(s) and not of MDPI and/or the editor(s). MDPI and/or the editor(s) disclaim responsibility for any injury to people or property resulting from any ideas, methods, instructions or products referred to in the content.

Article Metrics

Citations

Article Access Statistics

Multiple requests from the same IP address are counted as one view.