Artificial Neural Network Estimation of the Effect of Varying Curing Conditions and Cement Type on Hardened Concrete Properties
Abstract
1. Introduction
2. Materials and Methods
2.1. Materials
2.2. Methods
- v: Ultrasonic pulse velocity (m/sec)
- s: Distance between transmitter and receiver probes (m)
- t: Time (µsec)
- Ed: Dynamic elasticity modulus (MPa)
- V: Ultrasonic pulse velocity (m/sec)
- ρ: Density
- µ: Poisson’s Ratio
3. Results and Discussion
3.1. Effect of Cement Type on Hardened Concrete Properties
3.2. Effect of w/c (Water/Cement) Ratio on Compressive Strength
3.3. Effects of Curing Conditions on Compressive Strength
3.4. The Use of Feed-Forward Neural Network with Backpropagation
4. Results
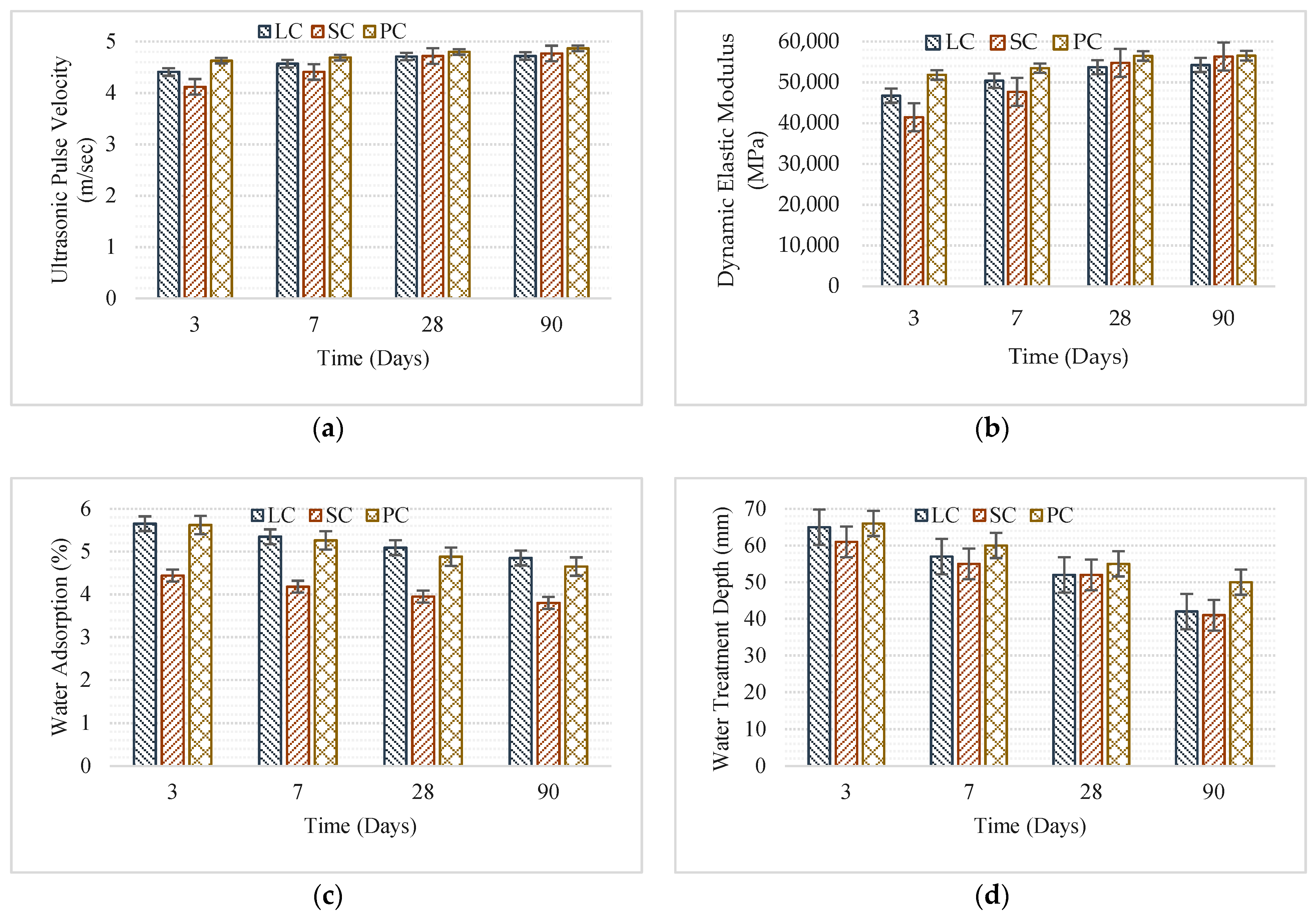
- Due to its slag content, LC cement showed lower compressive strength on the third and seventh day. However, there were no significant differences observed between cements when the curing time was increased. It was further confirmed that the curing process and time must be kept under check for slag cement as it offers pozzolanic properties.
- In terms of early-age strength, PC samples gave higher compressive strength values. Nevertheless, increasing the curing time eliminated significant differences between cement samples (especially on the 90th day).
- As reported in the literature, increasing the w/c ratio reduces the compressive strength. Notwithstanding, the compressive strength of the concrete mix produced using a w/c ratio of 0.70 was 30 MPa. This effect is made possible with the finer grain size of modern cements and the use of superplasticizers.
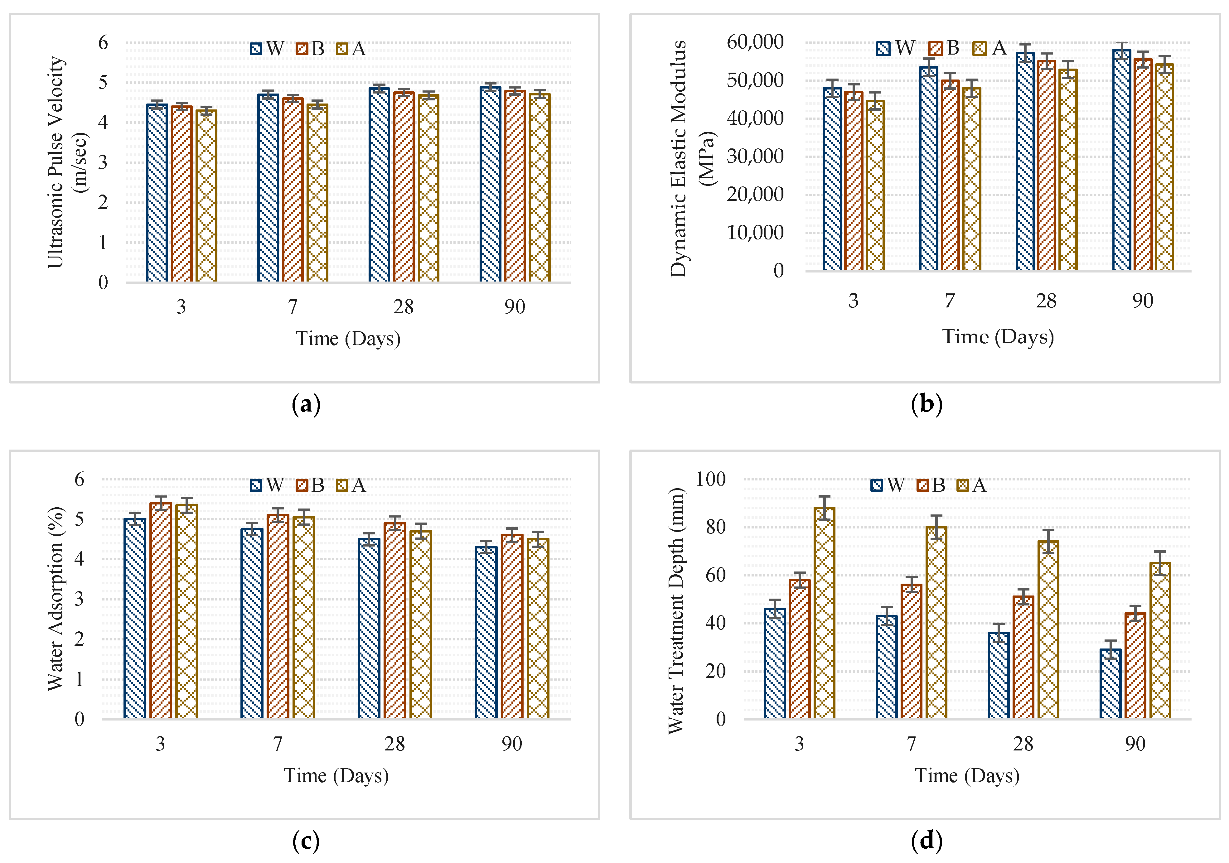
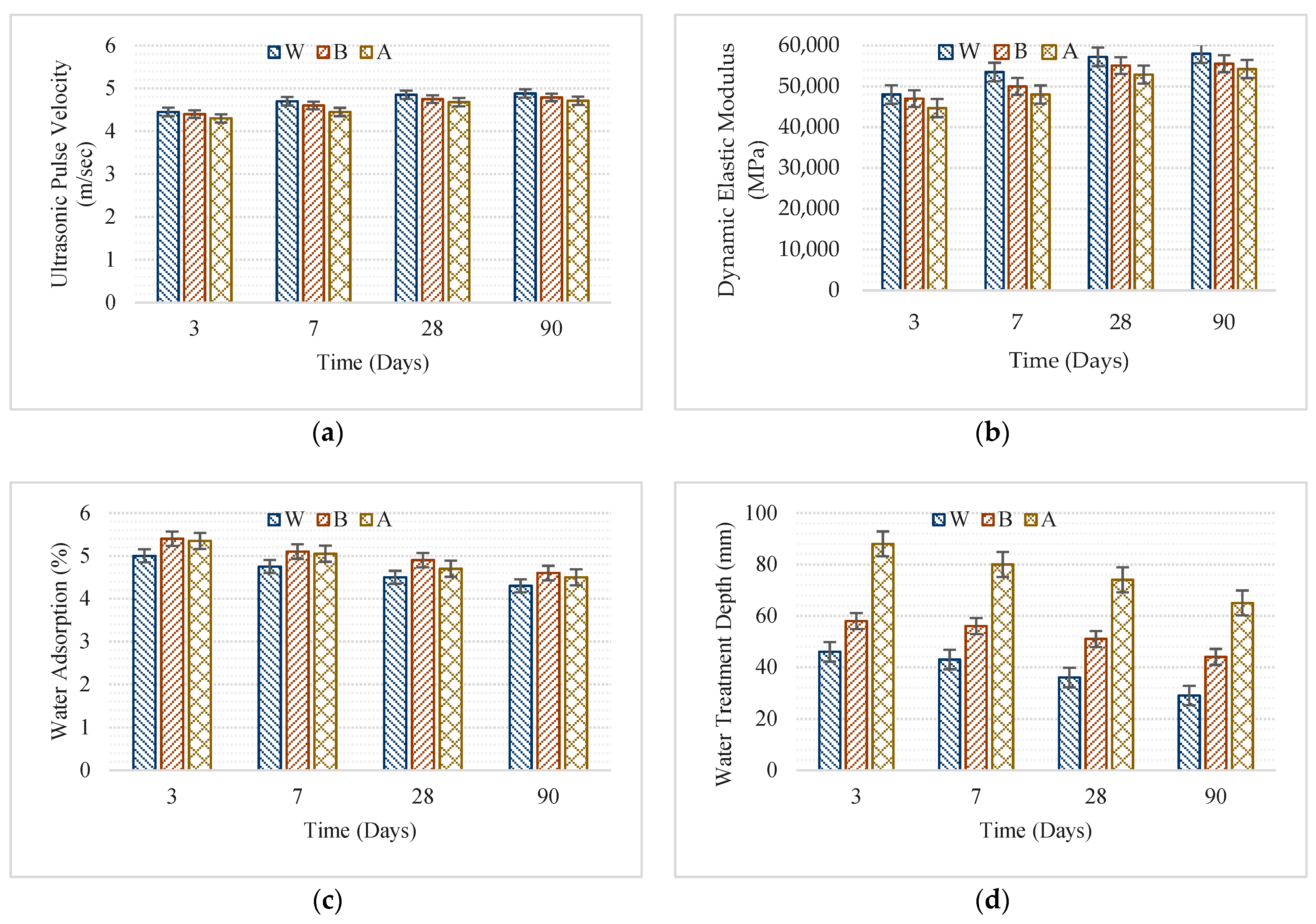
- There were no significant differences between curing conditions. In terms of curing conditions, hardened concrete properties can be sorted as W>B>A by performance. As fine ground cement had a positive impact on the hydration level, there were no significant differences between the samples in terms of curing conditions.
- Increasing the fineness of the cement plays an important role in water penetration depth. Moreover, the increase in w/c ratios had a negative impact on the pozzolanic reactions. Especially the hardened concrete properties of the samples produced using slag cement were adversely affected by the increased w/c ratio.
- Thanks to the carbonation effect, the compressive strength loss of samples cured in air was reduced. Additionally, carbonation reduced the losses in UPV and Ed values. However, there was no positive impact of carbonation found in the permeability test performed under pressure.
- The ANN model developed in this study makes it possible to estimate the changes in compressive strength due to cement type, w/c ratio, curing conditions, curing time, UPV, Ed, water absorption and water penetration depth. This ANN model offers a nondestructive method for compressive strength using the material properties.
Author Contributions
Funding
Conflicts of Interest
References
- Moon, G.D.; Oh, S.; Jung, S.H.; Choi, Y.C. Effects of the fineness of limestone powder and cement on the hydration and strength development of PLC concrete. Constr. Build. Mater. 2017, 135, 129–136. [Google Scholar] [CrossRef]
- Marzouki, A.; Lecomte, A.; Beddey, A.; Diliberto, C.; Ouezdou, M.B. The effects of grinding on the properties of Portland-limestone cement. Constr. Build. Mater. 2013, 48, 1145–1155. [Google Scholar] [CrossRef]
- Lothenbach, B.; Le Saout, G.; Gallucci, E.; Scrivener, K. Influence of limestone on the hydration of Portland cements. Cem. Concr. Res. 2008, 38, 848–860. [Google Scholar] [CrossRef]
- Aqel, M.; Panesar, D.K. Hydration kinetics and compressive strength of steam-cured cement pastes and mortars containing limestone filler. Constr. Build. Mater. 2016, 113, 359–368. [Google Scholar] [CrossRef]
- Tsivilis, S.; Batis, G.; Chaniotakis, E.; Grigoriadis, G.; Theodossis, D. Properties and behavior of limestone cement concrete and mortar. Cem. Concr. Res. 2000, 30, 1679–1683. [Google Scholar] [CrossRef]
- Zelić, J.; Krstulović, R.; Tkalčec, E.; Krolo, P. Durability of the hydrated limestone-silica fume Portland cement mortars under sulphate attack. Cem. Concr. Res. 1999, 29, 819–826. [Google Scholar] [CrossRef]
- Guemmadi, Z.; Houari, H.; Resheidat, M.; Toumi, B. Better Use of Limestone Filler in Concrete. In Proceedings of the International Conference on Construction and Building Technology, ICCBT, Kuala Lumpur, Malaysia, 16–20 June 2008. [Google Scholar]
- Nehdi, M.; Mindess, S.; Aïtcin, P.C. Optimization of high strength limestone filler cement mortars. Cem. Concr. Res. 1996, 26, 883–893. [Google Scholar] [CrossRef]
- de Sensale, G.R.; Viacava, I.R. A study on blended Portland cements containing residual rice husk ash and limestone filler. Constr. Build. Mater. 2018, 166, 873–888. [Google Scholar] [CrossRef]
- Liu, Z.; El-Tawil, S.; Hansen, W.; Wang, F. Effect of slag cement on the properties of ultra-high performance concrete. Constr. Build. Mater. 2018, 190, 830–837. [Google Scholar] [CrossRef]
- Escalante, J.I.; Gómez, L.Y.; Johal, K.K.; Mendoza, G.; Mancha, H.; Méndez, J. Reactivity of blast-furnace slag in Portland cement blends hydrated under different conditions. Cem. Concr. Res. 2001, 31, 1403–1409. [Google Scholar] [CrossRef]
- Wang, P.Z.; Trettin, R.; Rudert, V. Effect of fineness and particle size distribution of granulated blast-furnace slag on the hydraulic reactivity in cement systems. Thermochim. Acta 2004, 17, 161–167. [Google Scholar] [CrossRef]
- Liu, J.; Yu, Q.; Zuo, Z.; Yang, F.; Duan, W.; Qin, Q. Blast furnace slag obtained from dry granulation method as a component in slag cement. Constr. Build. Mater. 2017, 131, 381–387. [Google Scholar] [CrossRef]
- Liu, B.; Luo, G.; Xie, Y. Effect of curing conditions on the permeability of concrete with high volume mineral admixtures. Constr. Build. Mater. 2018, 167, 359–371. [Google Scholar] [CrossRef]
- Ramezanianpour, A.A.; Malhotra, V.M. Effect of curing on the compressive strength, resistance to chloride-ion penetration and porosity of concretes incorporating slag, fly ash or silica fume. Cem. Concr. Compos. 1995, 17, 125–133. [Google Scholar] [CrossRef]
- Güneyisi, E.; Gesoǧlu, M.; Özturan, T.; Özbay, E. Estimation of chloride permeability of concretes by empirical modeling: Considering effects of cement type, curing condition and age. Constr. Build. Mater. 2009, 23, 469–481. [Google Scholar] [CrossRef]
- Sajedi, F.; Razak, H.A.; Mahmud, H.B.; Shafigh, P. Relationships between compressive strength of cement-slag mortars under air and water curing regimes. Constr. Build. Mater. 2012, 31, 188–196. [Google Scholar] [CrossRef]
- Ahari, R.S.; Erdem, T.K.; Ramyar, K. Thixotropy and structural breakdown properties of self consolidating concrete containing various supplementary cementitious materials. Cem. Concr. Compos. 2015, 59, 26–37. [Google Scholar] [CrossRef]
- Atiş, C.D. Strength properties of high-volume fly ash roller compacted and workable concrete, and influence of curing condition. Cem. Concr. Res. 2005, 35, 1112–1121. [Google Scholar] [CrossRef]
- Tasdemir, C. Combined effects of mineral admixtures and curing conditions on the sorptivity coefficient of concrete. Cem. Concr. Res. 2003, 33, 1637–1642. [Google Scholar] [CrossRef]
- Sisomphon, K.; Franke, L. Carbonation rates of concretes containing high volume of pozzolanic materials. Cem. Concr. Res. 2007, 37, 1647–1653. [Google Scholar] [CrossRef]
- Abdel-Hay, A.S. Properties of recycled concrete aggregate under different curing conditions. HBRC J. 2017, 13, 271–276. [Google Scholar] [CrossRef]
- Bui, D.K.; Nguyen, T.; Chou, J.S.; Nguyen-Xuan, H.; Ngo, T.D. A modified firefly algorithm-artificial neural network expert system for predicting compressive and tensile strength of high-performance concrete. Constr. Build. Mater. 2018, 180, 320–333. [Google Scholar] [CrossRef]
- Behnood, A.; Behnood, V.; Gharehveran, M.M.; Alyamac, K.E. Prediction of the compressive strength of normal and high-performance concretes using M5P model tree algorithm. Constr. Build. Mater. 2017, 142, 199–207. [Google Scholar] [CrossRef]
- Golafshani, E.M.; Behnood, A. Application of soft computing methods for predicting the elastic modulus of recycled aggregate concrete. J. Clean. Prod. 2018, 176, 1163–1176. [Google Scholar] [CrossRef]
- Atici, U. Prediction of the strength of mineral admixture concrete using multivariable regression analysis and an artificial neural network. Expert Syst. Appl. 2011, 38, 9609–9618. [Google Scholar] [CrossRef]
- Behnood, A.; Golafshani, E.M. Predicting the compressive strength of silica fume concrete using hybrid artificial neural network with multi-objective grey wolves. J. Clean. Prod. 2018, 202, 54–64. [Google Scholar] [CrossRef]
- Trtnik, G.; Kavčič, F.; Turk, G. Prediction of concrete strength using ultrasonic pulse velocity and artificial neural networks. Ultrasonics 2009, 49, 53–60. [Google Scholar] [CrossRef]
- Kewalramani, M.A.; Gupta, R. Concrete compressive strength prediction using ultrasonic pulse velocity through artificial neural networks. Autom. Constr. 2006, 15, 374–379. [Google Scholar] [CrossRef]
- Gencel, O.; Brostow, W.; Martinez-Barrera, G.; Gok, M.S. Mechanical properties of polymer concretes containing different amount of hematite or colemanite. Polimery/Polymers 2012, 57, 277. [Google Scholar]










| CHEMICAL PROPERTIES | ||||||||||
| Cement | CaO | SiO2 | Al2O3 | Fe2O3 | MgO | Na2O | K2O | SO3 | LOI | |
| LC | 58.9 | 21.8 | 4.1 | 3.1 | 1.5 | 0.8 | 0.2 | 3.3 | 6.5 | |
| PC | 64.2 | 19.1 | 4.9 | 2.8 | 2.0 | 1.1 | 0.4 | 3.9 | 1.8 | |
| SC | 46.6 | 29.1 | 9.6 | 1.5 | 6.0 | 0.4 | 0.5 | 3.4 | 1.4 | |
| PHYSICAL PROPERTIES | ||||||||||
| Cement Type | PC (CEM I 42.5R) | LC (CEM II/A-L 42.5R) | SC (CEM III/B 42.5N) | |||||||
| Specific Weight | 3.15 | 2.90 | 3.05 | |||||||
| Blaine (cm2/g) | 3200 | 5200 | 4900 | |||||||
| Initial Setting Time (min) | 110 | 150 | 230 | |||||||
| Final Setting Time (min) | 190 | 260 | 310 | |||||||
| Factor 1 | Factor 2 | Factor 3 | |
|---|---|---|---|
| Cement Type | PC | LC | SC |
| w/c Ratio | 0.63 | 0.70 | |
| Curing Conditions | Water (W) | Plastic Bag (B) | Air (A) |
| Mix No. | Cement Type | w/c | Cement | Water | FA | CA-1 | CA-2 | SP |
|---|---|---|---|---|---|---|---|---|
| 1 | PC | 0.63 | 300 | 189 | 638 | 456 | 730 | 3 |
| 2 | PC | 0.70 | 300 | 210 | 617 | 441 | 705 | 3 |
| 3 | LC | 0.63 | 300 | 189 | 631 | 451 | 721 | 3 |
| 4 | LC | 0.70 | 300 | 210 | 610 | 435 | 697 | 3 |
| 5 | SC | 0.63 | 300 | 189 | 636 | 454 | 726 | 3 |
| 6 | SC | 0.70 | 300 | 210 | 614 | 439 | 702 | 3 |
| Training Data | Validating Data | ||||
| RMSE (MPa) | MAE (MPa) | R2 | RMSE (MPa) | MAE (MPa) | R2 |
| 6.69 | 4.82 | 0.987 | 6.12 | 4.27 | 0.988 |
| Testing Data | All Data | ||||
| RMSE (MPa) | MAE (MPa) | R2 | RMSE (MPa) | MAE (MPa) | R2 |
| 6.58 | 4.46 | 0.992 | 6.40 | 4.85 | 0.993 |
© 2019 by the authors. Licensee MDPI, Basel, Switzerland. This article is an open access article distributed under the terms and conditions of the Creative Commons Attribution (CC BY) license (http://creativecommons.org/licenses/by/4.0/).
Share and Cite
Kaplan, G.; Yaprak, H.; Memiş, S.; Alnkaa, A. Artificial Neural Network Estimation of the Effect of Varying Curing Conditions and Cement Type on Hardened Concrete Properties. Buildings 2019, 9, 10. https://doi.org/10.3390/buildings9010010
Kaplan G, Yaprak H, Memiş S, Alnkaa A. Artificial Neural Network Estimation of the Effect of Varying Curing Conditions and Cement Type on Hardened Concrete Properties. Buildings. 2019; 9(1):10. https://doi.org/10.3390/buildings9010010
Chicago/Turabian StyleKaplan, Gökhan, Hasbi Yaprak, Selçuk Memiş, and Abdoslam Alnkaa. 2019. "Artificial Neural Network Estimation of the Effect of Varying Curing Conditions and Cement Type on Hardened Concrete Properties" Buildings 9, no. 1: 10. https://doi.org/10.3390/buildings9010010
APA StyleKaplan, G., Yaprak, H., Memiş, S., & Alnkaa, A. (2019). Artificial Neural Network Estimation of the Effect of Varying Curing Conditions and Cement Type on Hardened Concrete Properties. Buildings, 9(1), 10. https://doi.org/10.3390/buildings9010010
