What Kind of Policy Intensity Can Promote the Development of Intelligent Construction in Construction Enterprises? Study Based on Evolutionary Games and System Dynamics Analysis
Abstract
1. Introduction
2. Literature Review
2.1. Current Development Situation of Intelligent Construction
2.2. Evolutionary Game Theory
2.3. Application of Evolutionary Game Theory in Intelligent Construction
2.4. Research Problems and Main Contributions
3. Methodology
3.1. Model Assumptions and Construction
3.1.1. Problem Description
3.1.2. Assumptions and Parameters
3.1.3. Payoff Matrix and Replication Dynamic Equation
3.2. Stability Analysis of the Evolutionary Game
3.2.1. Single Population Evolutionary Stability Analysis
- 1.
- Evolutionary Stability Analysis for Construction Enterprises
- 2.
- Evolutionary Stability Analysis for Government
3.2.2. Government–Construction Enterprise System Evolutionary Stability Analysis
4. Results
4.1. Numerical Simulation Based on System Dynamics
4.1.1. Construction of the System Dynamics Model
4.1.2. Analysis of Government Policy Support on System Evolution
- (A)
- Impact of Single Policy Support on Government–Enterprise Strategy Evolution
- (B)
- Impact of Combined Policies on Government–Enterprise Strategy Evolution
- (1)
- Policy Combination of Tax Incentives and Special Funds
- (2)
- Policy Combination of Tax Incentives and Service Provision
- (3)
- Policy Combination of Special Funds and Service Provision
4.2. Key Driving Strategies Based on Sensitivity Analysis
5. Discussion
5.1. The Influence of the Mode and Intensity of Policy Support on the Strategic Choices of Construction Enterprises and the Government
5.2. Sensitivity Analysis of Key Strategies
5.3. Limitation and Future Work
6. Conclusions
- (1)
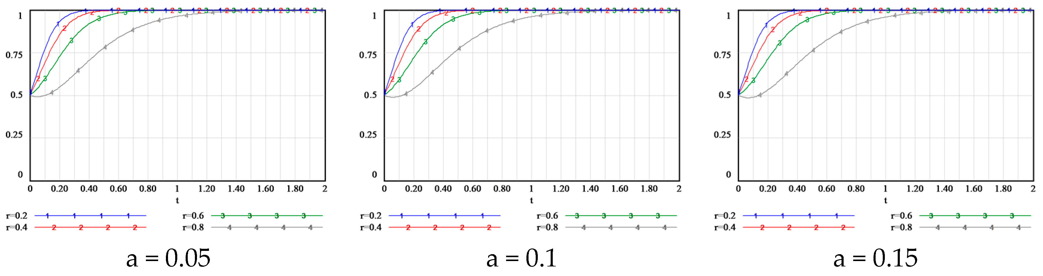
- The willingness of construction enterprises to transition relies heavily on policy incentives. Three types of single policy supports can moderately encourage enterprises to explore intelligent construction, but only high-intensity special fund support can promote the transformation of construction enterprises, at least more than 8 CNY/m2 special subsidy. Among policies of equal support intensity, the promoting effects of service provision, tax incentives, and special fund subsidies increase sequentially. The combination of tax incentives and special funds proves to be the most effective, followed by the combination of special funds and service provision. The tax incentive policy can be implemented according to no more than the preferential treatment for high-tech enterprises. However, when the support intensity of these combinations is low, they do not exert significant incentivizing effects, and the combination of tax incentives and service provision fails to provide effective motivation regardless of intensity.
- (2)
- The government’s choice to actively promote depends on the balance between benefits and costs. Only when the government derives additional social benefits and the costs of penalties exceed the support costs, or when reputational gains from policies surpass subsidy costs, will it lean towards active support strategies. The government expresses a willingness to promote actively under a single policy support or combinations of tax incentives and special funds or tax incentives and service provision. Under medium to high levels of special fund support, medium to low levels of service support are more beneficial for reaching a stable state of intelligent construction implementation and active promotion, avoiding excessive financial burdens on the government. It is recommended that the special fund be no less than 5 CNY/m2, and the cost of service provision be reduced to below 10 CNY/m2.
- (3)
- In the context of government support, lowering incremental costs of transitioning to intelligent construction, enhancing transition benefits, and increasing penalties for traditional construction methods can all promote the adoption of intelligent construction practices. Among these, reducing incremental costs is the most effective, followed by enhancing transition benefits, while the impact of penalties is moderate.
- (1)
- Strengthen supporting policies for intelligent construction: The government should expedite institutional development and improve the policy support system by reasonably setting combinations of policy support to address the issue of high incremental costs associated with intelligent construction. Compared to single policy support, the combination of tax incentives and special funds shows more pronounced effects. It is essential to adhere to the principle of moderation in policy support to avoid excessive financial burdens, which could reduce the government’s willingness to provide support. The government could adjust subsidy levels based on transformation progress to ensure effective investment and output ratios. Additionally, maximizing the role of policy guidance and government services is crucial by strengthening resource coordination, optimizing the technological incubation environment, and promoting the construction of new infrastructures such as 5G, IoT, AI, and big data, laying a foundation for the information technology-driven transition to intelligent construction.
- (2)
- Empower enterprises to reduce incremental costs: The promotion of intelligent construction is fundamentally a market economic activity and cannot rely solely on policy support. In the early stages, when the development level is low and market capabilities are limited, policy stimulation can be used for regulation. In the later stages, it is necessary to strengthen the primary role of enterprises. Enterprises should be guided to enhance their technological innovation capabilities and strengthen industry-university-research collaboration to shorten the research and application cycles of new materials and technologies. Actively promoting training for workforce skills will help accelerate the adoption of new technologies and minimize incremental costs associated with intelligent construction.
Author Contributions
Funding
Data Availability Statement
Conflicts of Interest
References
- Turner, C.J.; Oyekan, O.; Stergioulas, L.; Griffin, D. Utilizing Industry 4.0 on the Construction Site: Challenges and Opportunities. IEEE Trans. Ind. Inform. 2021, 17, 746–756. [Google Scholar] [CrossRef]
- Chung, S.; Cho, C.-S.; Song, J.; Lee, K.; Lee, S.; Kwon, S. Smart Facility Management System Based on Open BIM and Augmented Reality Technology. Appl. Sci. 2021, 11, 10283. [Google Scholar] [CrossRef]
- Rossi, A.; Vila, Y.; Lusiani, F.; Barsotti, L.; Sani, L.; Ceccarelli, P.; Lanzetta, M. Embedded smart sensor device in construction site machinery. Comput. Ind. 2019, 108, 12–20. [Google Scholar] [CrossRef]
- Ding, L. Intelligent Construction Promotes Transformation in the Construction Industry. China Constr. News 2022, 43, 10–16. [Google Scholar]
- Fan, Q.; Lin, P.; Wei, P.; Ning, Z.; Guo, L.I. Theory of closed-loop control in intelligent construction. J. Tsinghua Univ. Sci. Technol. 2021, 61, 11. [Google Scholar] [CrossRef]
- You, Z.; Zheng, L.; Feng, L. Basic theory and system architecture of intelligent construction systems. J. Civ. Eng. Manag. 2021, 38, 105–111, 118. [Google Scholar] [CrossRef]
- Niu, W.; Wang, B. Insights from international experiences on developing intelligent construction. Build. Econ. 2022, 43, 10–16. [Google Scholar] [CrossRef]
- Yu, Z.; Peng, H.; Zeng, X.; Sofi, M.; Xing, H.; Zhou, Z. Smarter construction site management using the latest information technology. Proc. Inst. Civ. Eng.-Civ. Eng. 2019, 172, 89–95. [Google Scholar] [CrossRef]
- Mao, C.; Zhou, Y. Analysis on supply chain organization structure of coreenterprisesin intelligent construction industry. Constr. Econ. 2021, 42, 14–18. [Google Scholar]
- Liu, H.L.; Song, J.L.; Wang, G.B. A Scientometric Review of Smart Construction Site in Construction Engineering and Management: Analysis and Visualization. Sustainability 2021, 13, 8860. [Google Scholar] [CrossRef]
- Zhang, Y.; Wang, T.; Ka-Veng, Y. Construction site information decentralized management using blockchain and smart contracts. Comput.-Aided Civ. Infrastruct. Eng. 2022, 37, 1450–1467. [Google Scholar] [CrossRef]
- Sun, X.; Sun, Z.; Xue, X.; Wang, L.; Liu, C. Research on the interactive relationships of collaborative innovation subjects in intelligent construction technology. J. Civ. Eng. 2022, 55, 108–117. [Google Scholar] [CrossRef]
- Lu, J.; Ouyang, H.; Han, L. Evolutionary mechanism of low-carbon transformation in construction enterprises under multi-agent interactive games. J. Beijing Inst. Technol. Soc. Sci. Ed. 2019, 21, 17–26. [Google Scholar]
- Long, T.B.; Blok, V.; Coninx, I. Barriers to the adoption and diffusion of technological innovations for climate-smart agriculture in Europe: Evidence from the Netherlands, France, Switzerland, and Italy. J. Clean. Prod. 2016, 112, 9–21. [Google Scholar] [CrossRef]
- Zubizarreta, I.; Seravalli, A.; Arrizabalaga, S. Smart City Concept: What It Is and What It Should Be. J. Urban. Plan. Dev. 2016, 142, 04015005. [Google Scholar] [CrossRef]
- Verhulsdonck, G.; Tham, J. Tactical (Dis)connection in Smart Cities: Postconnectivist Technical Communication for a Datafied World. Tech. Commun. Q. 2022, 31, 416–432. [Google Scholar] [CrossRef]
- De Guimaraes, J.C.F.; Severo, E.A.; Felix, L.A.; Da Costa, W.; Salmoria, F.T. Governance and quality of life in smart cities: Towards sustainable development goals. J. Clean. Prod. 2020, 253, 119926. [Google Scholar] [CrossRef]
- Hire, S.; Sandbhor, S.; Ruikar, K. Bibliometric Survey for Adoption of Building Information Modeling (BIM) in Construction Industry—A Safety Perspective. Arch. Comput. Methods Eng. 2022, 29, 679–693. [Google Scholar] [CrossRef]
- Feng, G.; Xiaojing, P.; Jianglin, G. Promotion Strategy of Smart Construction Site Based on Stakeholder: An Evolutionary Game Analysis. Buildings 2022, 12, 585. [Google Scholar] [CrossRef]
- Zhou, H.T.; Wang, H.W.; Zeng, W. Smart construction site in mega construction projects: A case study on island tunneling project of Hong Kong-Zhuhai-Macao Bridge. Fron. Eng. Manag. 2018, 5, 78–87. [Google Scholar] [CrossRef]
- Zhou, J.X.; Shen, G.Q.; Yoon, S.H.; Jin, X. Customization of on-site assembly services by integrating the internet of things and BIM technologies in modular integrated construction. Autom. Constr. 2021, 126, 103663. [Google Scholar] [CrossRef]
- Volkov, A.; Chelyshkov, P.; Lysenko, D. Information management in the application of BIM in construction. The roles and functions of the participants of the construction process. In Proceedings of the 25th Russian-Polish-Slovak Seminar on Theoretical Foundation of Civil Engineering, Zilina, Slovakia, 11–16 July 2016; pp. 828–832. [Google Scholar]
- Stefanic, M.; Stankovski, V. A review of technologies and applications for intelligent construction. Proc. Inst. Civ. Eng.-Civ. Eng. 2019, 172, 83–87. [Google Scholar]
- Wang, M.; Li, L.; Hou, C.; Guo, X.; Fu, H. Building and Health: Mapping the Knowledge Development of Sick Building Syndrome. Buildings 2022, 12, 287. [Google Scholar] [CrossRef]
- Dutheil, F.; Vilmant, A.; Boudet, G.; Mermillod, M.; Lesage, F.X.; Jalenques, I.; Valet, G.; Schmidt, J.; Bouillon-Minois, J.B.; Pereira, B. Assessment of sick building syndrome using visual analog scales. Indoor Air 2022, 32, e13024. [Google Scholar] [CrossRef]
- Guo, X.; Fan, Z.; Zhu, H.; Chen, X.; Wang, M.; Fu, H. Willingness to Pay for Healthy Housing During the COVID-19 Pandemic in China: Evidence From Eye-Tracking Experiment. Front. Public. Health 2022, 10, 855671. [Google Scholar] [CrossRef]
- Chen, K.; Ding, L. Strategic considerations on the technological development in key areas of intelligent construction in China. China Eng. Sci. 2021, 23, 7. [Google Scholar]
- Soares, C.A.P. The main barriers limiting the development of smart buildings. Buildings 2024, 14, 1726. [Google Scholar] [CrossRef]
- Oluwasola, T.O.; Ohis, C.A.; Ayodeji, O.E.; Liphadzi, M. Appraisal of stakeholders’ willingness to adopt construction 4.0 technologies for construction projects. Built Env. Proj. Asset Manag. 2020, 10, 547–565. [Google Scholar]
- You, Z.; Feng, L. Integration of Industry 4.0 Related Technologies in Construction Industry: A Framework of Cyber-Physical System. IEEE Access 2020, 8, 122908–122922. [Google Scholar] [CrossRef]
- Oesterreich, T.D.; Teuteberg, F. Understanding the implications of digitisation and automation in the context of Industry 4.0: A triangulation approach and elements of a research agenda for the construction industry. Comput. Ind. 2016, 83, 121–139. [Google Scholar] [CrossRef]
- Ejidike, C.C.; Mewomo, M.C. Benefits of adopting smart building technologies in building construction of developing countries: A review of the literature. SN Appl. Sci. 2023, 5, 52. [Google Scholar] [CrossRef]
- Gobbo Junior, J.A.; Souza, M.G.Z.N.D.; Gobbo, S.C.D.O. Barriers and challenges to smart buildings’ concepts and technologies in Brazilian social housing projects. Int. J. Sustain. Real. Estate Constr. Econ. 2017, 1, 31. [Google Scholar]
- Radziejowska, A.; Sobotka, B. Analysis of the social aspect of smart cities development for the example of smart sustainable buildings. Energies 2021, 14, 4330. [Google Scholar] [CrossRef]
- Gao, Q.; Li, Y.; Xu, Y. Analysis of factors influencing the development of industrialized construction. J. Eng. Manag. 2017, 31, 5. [Google Scholar] [CrossRef]
- Wang, Y. Accelerating the promotion of new industrialization and intelligent construction to promote high-quality development in the construction industry. China Surv. Des. 2021, 1, 17. [Google Scholar] [CrossRef]
- Zheng, Y.; Yu, L.; Li, C. Research on the hindering factors of intelligent construction technology development based on Bayesian networks. J. Chongqing Univ. Sci. Technol. Nat. Sci. Ed. 2023, 25, 104–109. [Google Scholar]
- Shao, W.; Gao, S. Research on key driving factors for the development of intelligent construction based on ISM. Sci. Technol. Innov. Product. 2022, 11, 134–136. [Google Scholar]
- Wang, Y.; Bu, T.; Zhao, N. Analysis of factors influencing the promotion of intelligent construction based on SNA. Proj. Manag. Technol. 2024, 22, 102–106. [Google Scholar] [CrossRef]
- Duan, Z.; Liang, R. Research on the collaborative development factors of intelligent construction and industrialization based on ISM. J. Xuzhou Univ. Technol. Nat. Sci. Ed. 2022, 2, 87–92. [Google Scholar] [CrossRef]
- Yan, W.; Li, X.; Kou, Q. Research on promotion strategies of intelligent construction technology based on UTAUT2. Build. Econ. 2024, 45, 697–702. [Google Scholar]
- Cheng, B.; Huang, J.; Li, J.; Chen, S.; Chen, H. Improving Contractors’ Participation of Resource Utilization in Construction and Demolition Waste through Government Incentives and Punishments. Environ. Manag. 2022, 70, 666–680. [Google Scholar] [CrossRef] [PubMed]
- Harrington, E.; Hsu, D. Roles for government and other sectors in the governance of green infrastructure in the U.S. Environ. Sci. Policy 2018, 88, 104–115. [Google Scholar] [CrossRef]
- Wang, G.; Liu, M.; Wang, J. Research on current status and trends of intelligent construction in China. Build. Struct. 2024, 20, 84–88. [Google Scholar] [CrossRef]
- Li, Y. Dynamics of intelligent construction policies and research status in railway construction. China Constr. Informatiz. 2023, 11, 90–95. [Google Scholar]
- Yang, G.; Zhang, M.; Jia, J.; Ding, J. Promoting BIM adoption in construction organizations based on social network analysis. China Civ. Eng. J. 2020, 53, 119–128. [Google Scholar]
- Jamil, G.L.; Santos, L.R.; Jamil, L.C.; Vieira, A.P. Emerging Trends and Innovations in Privacy and Health Information Management; IGI Global: Hershey, PA, USA, 2019; pp. 1–30. [Google Scholar]
- Wei, X.; Zhou, H.; Yang, C.; Li, X.; Zhang, B. Game analysis of government and ESCO behavior under incentive and mandatory policies for energy—Saving retrofitting of existing buildings. Util. Fly. Ash 2019, 4, 3–9. [Google Scholar] [CrossRef]
- Xing, Z.; Cao, X. Promoting Strategy of Chinese Green Building Industry: An Evolutionary Analysis Based on the Social Network Theory. IEEE Access 2019, 7, 67213–67221. [Google Scholar] [CrossRef]
- Wang, W.; Guo, B. Evolutionary game analysis of the digital transformation of small and medium—Sized enterprises from the perspective of policy support. Technol. Innov. Manag. 2024, 45, 60–71. [Google Scholar]
- Wang, M.; Lian, S.; Yin, S.; Dong, H. A Three-Player Game Model for Promoting the Diffusion of Green Technology in Manufacturing Enterprises from the Perspective of Supply and Demand. Mathematics 2020, 8, 1585. [Google Scholar] [CrossRef]
- Abapour, S.; Mohammadi-Ivatloo, B.; Hagh, M.T. A Bayesian game theoretic based bidding strategy for demand response aggregators in electricity markets. Sustain. Cities Soc. 2020, 54, 101787. [Google Scholar] [CrossRef]
- Wang, Q.; Guo, W.; Xu, X.C.T. Analysis of Carbon Emission Reduction Paths for the Production of Prefabricated Building Components Based on Evolutionary Game Theory. Buildings 2023, 13, 1557. [Google Scholar] [CrossRef]
- Kontogiannis, S.; Spirakis, P. Counting stable strategies in random evolutionary games. In Algorithms and Computation; Deng, X., Du, D., Eds.; Springer: Berlin/Heidelberg, Germany, 2005; Volume 3827, pp. 839–848. [Google Scholar]
- Jian-Ling, J.; Jie, C.; Lan-Lan, L.I.; Fang-Yi, L.I.; Management, S.O. A Study of Local Governments’ and Enterprises’ Actions in the Carbon Emission Mechanism of Subsidy or Punishment Based on the Evolutionary Game. Chin. J. Manag. Sci. 2017, 25, 140–150. [Google Scholar]
- Qian, Y.; Yue, T. Tripartite evolutionary game and simulation analysis of governments, enterprises, and consumers under a carbon-generalised system of preferences. Int. J. Glob. Warm. 2024, 32, 226–244. [Google Scholar] [CrossRef]
- Zhang, Z.; Ling, D.; Tian, W.; Zhou, C.; Song, M.; Fang, S. Public participation and outgoing audit of natural resources: Evidence from tripartite evolutionary game in China. Environ. Res. Sect. A 2023, 236, 116734. [Google Scholar] [CrossRef] [PubMed]
- Liu, W.; Li, Y. Four-party evolutionary game analysis of third-party recycling treatment of livestock and poultry breeding waste. J. Clean. Prod. 2023, 415, 137829. [Google Scholar] [CrossRef]
- Xuan, X.; Zheng, Y. Collaborative mechanism and simulation of low-carbon travel for residents in community-built environment based on evolutionary game. J. Clean. Prod. 2024, 443, 141098. [Google Scholar] [CrossRef]
- Wang, G.; Cao, D. Evolutionary game analysis on the cooperative implementation of inter-organizational innovationin the construction project. China Soft Sci. 2011, 25, 7–12. [Google Scholar]
- Wang, R.; Yang, J.; Ma, Y. Analysis of the promotion of intelligent construction based on evolutionary games. Hous. Real. Estate 2024, 11, 53–55. [Google Scholar]
- Tang, H.; Cao, J.; Xu, S.; Han, C.F. Analysison BIM application cooperation behavior sinsintegrated facility management organization based on evolutionary game theory. Ind. Eng. Manag. 2020, 25, 1–8. [Google Scholar]
- Ye, M.; Xu, X.; Yuan, H. Research on BIM technology diffusion from the perspective of complex network. Sci. Technol. Manag. Res. 2021, 41, 151–157. [Google Scholar]
- Feng, Q.; Chen, H.; Shi, X.; Wei, J. Stakeholder games in the evolution and development of green buildings in China: Government-led perspective. J. Clean. Prod. 2020, 275, 122895. [Google Scholar] [CrossRef]
- Sang, P.; Yao, H.; Zhang, L. Evolutionary game of stakeholder collaboration in promoting green housing. J. Civ. Eng. Manag. 2019, 36, 7. [Google Scholar]
- Zhao, X.; Liu, Y.; Yan, J.; Guo, H.; Lin, Z. Research on promotion strategies of intelligent construction technology based on system dynamics. Sci. Innov. 2024, 16, 110–113. [Google Scholar]
- Zhu, Y.; Cui, Q.; Yan, S. Research on incentive mechanisms for the adoption of intelligent construction technology based on three—Party evolutionary games. J. Qingdao Univ. Technol. 2023, 44, 97–104. [Google Scholar]
- Zhang, L.; Wang, W.; Zhang, W. Analysis of behavior and strategies of participants in intelligent construction technology based on three—Party games. Constr. Technol. 2023, 6, 66–70. [Google Scholar] [CrossRef]
- Liu, Y.; Liu, X. Analysis and simulation of the three—Party evolutionary game of digital transformation in construction enterprises. J. Shenyang Jianzhu Univ. Soc. Sci. Ed. 2024, 26, 34–42. [Google Scholar]
- Liu, L.; Lu, F.; Fu, Z.; Pan, Z.; Xie, L. Evolutionary game of government participation in the digital transformation of highways. J. Shandong Univ. Nat. Sci. Ed. 2024, 59, 98–107. [Google Scholar]
- Friedman, D. Evolutionary Game in Economics. Econometrica 1991, 59, 637–666. [Google Scholar] [CrossRef]
- Fang, D.B.; Zhao, C.Y.; Yu, Q. Government regulation of renewable energy generation and transmission in China’s electricity market. Renew. Sust. Energ. Rev. 2018, 93, 775–793. [Google Scholar] [CrossRef]
- Wu, D.D.; Xie, K.F.; Hua, L.; Shi, Z.; Olson, D.L. Modeling technological innovation risks of an entrepreneurial team using system dynamics: An agent-based perspective. Technol. Forecast. Soc. Change 2010, 77, 857–869. [Google Scholar] [CrossRef]













| Parameters | Definition |
|---|---|
| x | Probability of construction companies adopting intelligent construction |
| E | Operating profits of construction companies using traditional construction methods |
| ∆E | Additional profits achieved by construction companies using intelligent construction |
| C1 | Incremental costs for construction companies using intelligent construction |
| L | Possible penalties for construction companies using traditional construction methods |
| y | Probability of government support for the development of intelligent construction |
| G | Basic benefits of the government from using traditional construction methods |
| ∆G | Incremental benefits to the government from using intelligent construction |
| S | Additional social benefits for the government from supporting intelligent construction |
| a | Tax incentive coefficient |
| m | Tax incentive rate |
| F | Special fund allocation by the government for the development of intelligent construction |
| b | Special fund subsidy coefficient |
| C2 | Cost of government-provided services for the development of intelligent construction |
| r | Service supply coefficient |
| Construction Enterprises | Government | |
|---|---|---|
| Actively Promoting (y) | Passively Promoting (1 − y) | |
| Implement intelligent construction (x) | E + ∆E + amC1 + bF − C1 | E + ∆E − C1 |
| G + ∆G + S − rC2 − amC1 − bF | G + ∆G | |
| Implement traditional construction (1 − x) | E-L | E |
| G − rC2 + S + L | G | |
| Equilibriums | Det(J) | Tr(J) |
|---|---|---|
| (0,0) | −(∆E − C1)(rC2 − S − L) | (∆E − C1) − (rC2 − S − L) |
| (0,1) | (∆E − C1 + amC1 + bF + L)(rC2 − S − L) | (∆E − C1) + (amC1 + bF + L) + (rC2 − S − L) |
| (1,0) | (∆E − C1)[(amC1 + bF + L) + (rC2 − S − L)] | −(∆E − C1) − [(amC1 + bF + L) + (rC2 − S − L)] |
| (1,1) | −[(∆E − C1) + (amC1 + bF + L)][(amC1 + bF + L) + (rC2 − S − L)] | −[(∆E − C1) + (amC1 + bF + L)] + [(amC1 + bF + L) + (rC2 − S − L)] |
| (x*,y*) | M | N |
| Equilibriums | Eigenvalues λ | Results | Conditions of Stable | |
|---|---|---|---|---|
| λ1 | λ2 | |||
| (0,0) | ∆E − C1 | L − S − rC2 | ESS | rC2 − S − L > 0 |
| (0,1) | ∆E − C1 + amC1 + bF + L | rC2 − S − L | ESS | ∆E + amC1 + bF + L < C1; rC2 − S − L < 0 |
| (1,0) | C1 − ∆E | −(amC1 + bF + rC2 − S) | saddle point | - |
| (1,1) | −(∆E − C1 + amC1 + bF + L) | amC1 + bF + rC2 − S | ESS | ∆E + amC1 + bF + L > C1; amC1 + bF + rC2 < S |
| Parameter Name | E | ∆E | C1 | L | G | ∆G | S | m | F | C2 |
|---|---|---|---|---|---|---|---|---|---|---|
| Initial Value | 180 | 15 | 30 | 10 | 300 | 15 | 10 | 0.3 | 10 | 20 |
| Parameter Name | Value | |||
|---|---|---|---|---|
| Control Group | Experimental Group 1 | Experimental Group 2 | Experimental Group 3 | |
| C1 | 30 | 24 | 30 | 30 |
| 15 | 15 | 18 | 15 | |
| L | 10 | 10 | 10 | 12 |
Disclaimer/Publisher’s Note: The statements, opinions and data contained in all publications are solely those of the individual author(s) and contributor(s) and not of MDPI and/or the editor(s). MDPI and/or the editor(s) disclaim responsibility for any injury to people or property resulting from any ideas, methods, instructions or products referred to in the content. |
© 2025 by the authors. Licensee MDPI, Basel, Switzerland. This article is an open access article distributed under the terms and conditions of the Creative Commons Attribution (CC BY) license (https://creativecommons.org/licenses/by/4.0/).
Share and Cite
Chen, Y.; Shi, Y.; Lin, S.; Ding, M. What Kind of Policy Intensity Can Promote the Development of Intelligent Construction in Construction Enterprises? Study Based on Evolutionary Games and System Dynamics Analysis. Buildings 2025, 15, 949. https://doi.org/10.3390/buildings15060949
Chen Y, Shi Y, Lin S, Ding M. What Kind of Policy Intensity Can Promote the Development of Intelligent Construction in Construction Enterprises? Study Based on Evolutionary Games and System Dynamics Analysis. Buildings. 2025; 15(6):949. https://doi.org/10.3390/buildings15060949
Chicago/Turabian StyleChen, Yingling, Youzhi Shi, Shuzhi Lin, and Meichen Ding. 2025. "What Kind of Policy Intensity Can Promote the Development of Intelligent Construction in Construction Enterprises? Study Based on Evolutionary Games and System Dynamics Analysis" Buildings 15, no. 6: 949. https://doi.org/10.3390/buildings15060949
APA StyleChen, Y., Shi, Y., Lin, S., & Ding, M. (2025). What Kind of Policy Intensity Can Promote the Development of Intelligent Construction in Construction Enterprises? Study Based on Evolutionary Games and System Dynamics Analysis. Buildings, 15(6), 949. https://doi.org/10.3390/buildings15060949

