Modeling the Evolutionary Mechanism of Multi-Stakeholder Decision-Making in the Green Renovation of Existing Residential Buildings in China
Abstract
1. Introduction
2. Literature Review
2.1. Evolutionary Game Theory
2.2. Prospect Theory
2.3. Application of Stakeholder Theory in Green Renovation
3. Tripartite Evolutionary Game Model
3.1. Model Description
3.2. Basic Assumptions
3.3. Payoff Matrix
4. Analysis of Equilibrium and Mechanisms of Dynamic Evolution
4.1. Strategy Stability Analysis
4.1.1. Stability Analysis Regarding Government Strategies
4.1.2. Stability Analysis Regarding ESCO Strategies
4.1.3. Stability Analysis for Owner Strategies
4.2. Stability Analysis of Equilibrium Points
4.2.1. Mathematical Analysis of the Eight Equilibrium Scenarios
4.2.2. The Path to Achieving the Ideal Equilibrium (1, 1, 1)
5. Simulation of Evolutionary Dynamics
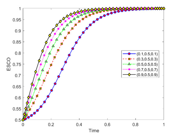
5.1. Model Validation
5.2. Influence of Initial Strategy Probabilities on Evolutionary Trajectories
5.2.1. Government
5.2.2. ESCO
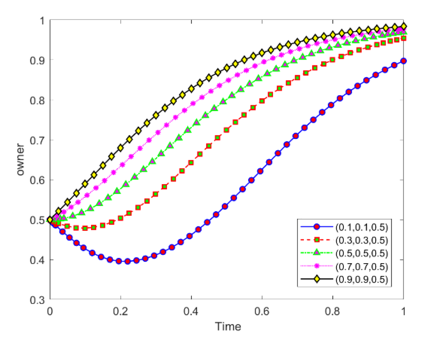
5.2.3. Owners
5.3. Sensitivity Analysis
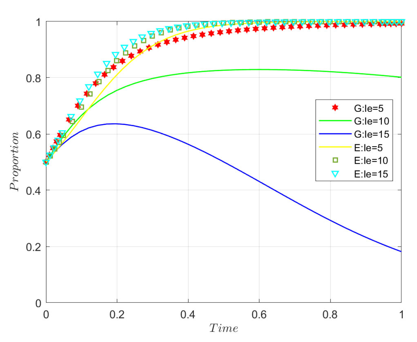
5.3.1. Impact of Government Subsidies on Evolutionary Trajectories
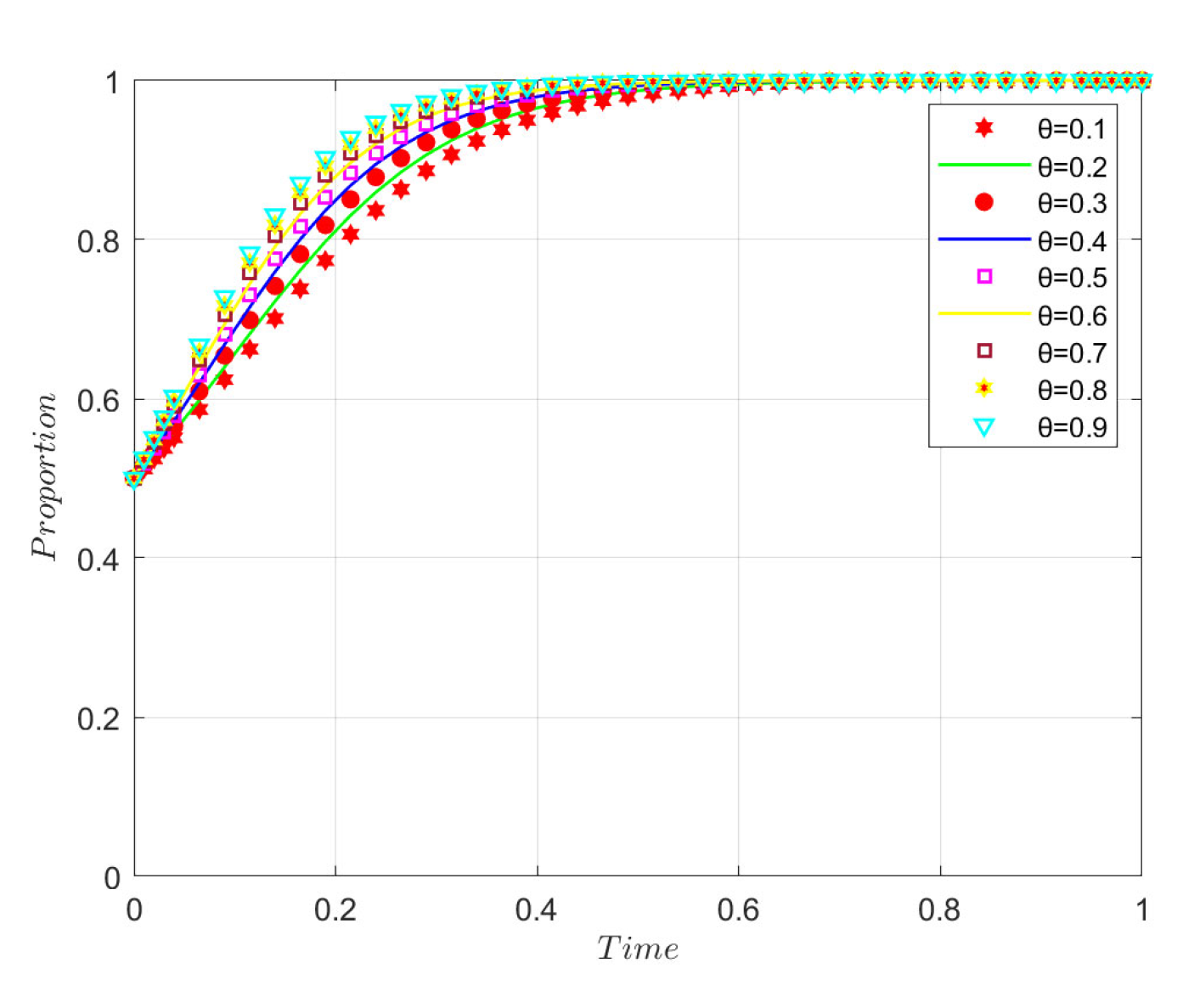
5.3.2. Impact of the Competition Influence Coefficient θ on Evolutionary Trajectories
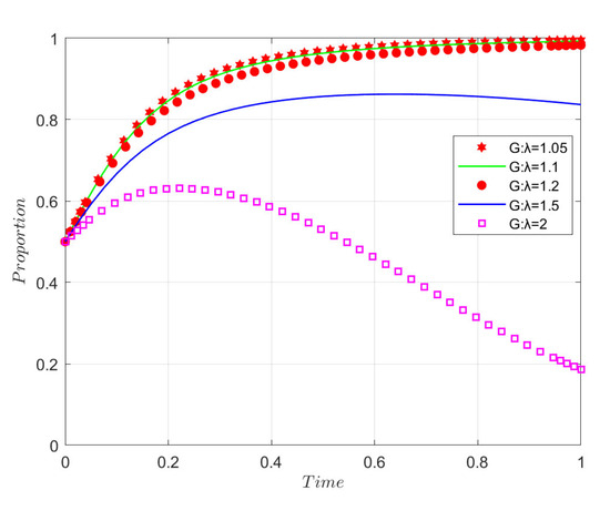
5.3.3. Impact of the Loss Aversion Coefficient λ on Evolutionary Trajectories
5.3.4. Impact of the Sensitivity Coefficients α and β for Perceived Gains and Losses on Evolutionary Trajectories
6. Discussion
7. Conclusions and Policy Recommendations
7.1. Conclusions
7.2. Policy Recommendations
7.3. Limitations and Future Works
Author Contributions
Funding
Data Availability Statement
Conflicts of Interest
References
- Yan, R.; Ma, M.; Pan, T. Estimating energy savings in Chinese residential buildings from 2001 to 2015: A decomposition analysis. J. Eng. Sci. Technol. Rev. 2017, 10, 105–133. [Google Scholar] [CrossRef]
- Niu, M.H.; Ji, Y.; Zhao, M.; Gu, J.F.; Li, A.A. A study on carbon emission calculation in operation stage of residential buildings based on micro electricity usage behavior: Three case studies in China. Build. Simul. 2024, 17, 147–164. [Google Scholar] [CrossRef]
- Liu, G.; Li, X.H.; Tan, Y.T.; Zhang, G.M. Building green retrofit in China: Policies, barriers and recommendations. Energy Policy 2020, 139, 111356. [Google Scholar] [CrossRef]
- Zhao, X.; Tan, Y.T.; Shen, L.Y.; Zhang, G.M.; Wang, J.H. Case-based reasoning approach for supporting building green retrofit decisions. Build. Environ. 2019, 160, 106210. [Google Scholar] [CrossRef]
- Huang, B.J.; Chen, Y.X.; McDowall, W.; Türkeli, S.; Bleischwitz, R.; Geng, Y. Embodied GHG emissions of building materials in Shanghai. J. Clean. Prod. 2019, 210, 777–785. [Google Scholar] [CrossRef]
- Ma, Z.J.; Cooper, P.; Daly, D.; Ledo, L. Existing building retrofits: Methodology and state-of-the-art. Energy Build. 2012, 55, 889–902. [Google Scholar] [CrossRef]
- Pombo, O.; Allacker, K.; Rivela, B.; Neila, J. Sustainability assessment of energy saving measures: A multi-criteria approach for residential buildings retrofitting-A case study of the Spanish housing stock. Energy Build. 2016, 116, 384–394. [Google Scholar] [CrossRef]
- Bertone, E.; Stewart, R.A.; Sahin, O.; Alam, M.; Zou, P.X.W.; Buntine, C.; Marshall, C. Guidelines, barriers and strategies for energy and water retrofits of public buildings. J. Clean. Prod. 2018, 174, 1064–1078. [Google Scholar] [CrossRef]
- Li, Y.L.; Wang, Z.; Liang, W.Q.; Yang, F.; Wu, G.B. Green renovation of existing public buildings in China: A synergy mechanism of state-owned enterprises based on evolutionary game theory. J. Clean. Prod. 2024, 434, 140454. [Google Scholar] [CrossRef]
- Li, T.J.; Li, Q.X. Virtual Reality in Historic Urban District Renovation for Enhancing Social and Environmental Sustainability: A Case of Tangzixiang in Anhui. Sustainability 2024, 16, 2665. [Google Scholar] [CrossRef]
- Lai, Y.P.; Li, Y.T.; Feng, X.Y.; Ma, T. Green retrofit of existing residential buildings in China: An investigation on residents’ perceptions. Energy Environ. 2022, 33, 332–353. [Google Scholar] [CrossRef]
- Jin, X.; Meng, C.; Wang, Q.Q.; Wei, J.S.; Zhang, L. A study of the green retrofit industry chain. Sustain. Cities Soc. 2014, 13, 143–147. [Google Scholar] [CrossRef]
- Asadi, E.; da Silva, M.G.; Antunes, C.H.; Dias, L.; Glicksman, L. Multi-objective optimization for building retrofit: A model using genetic algorithm and artificial neural network and an application. Energy Build. 2014, 81, 444–456. [Google Scholar] [CrossRef]
- Love, P.; Arthur Bullen, P. Toward the sustainable adaptation of existing facilities. Facilities 2009, 27, 357–367. [Google Scholar] [CrossRef]
- Liang, X.; Shen, G.Q.; Guo, L. Optimizing Incentive Policy of Energy-Efficiency Retrofit in Public Buildings: A Principal-Agent Model. Sustainability 2019, 11, 3442. [Google Scholar] [CrossRef]
- Papadakis, N.; Al Katsaprakakis, D. A Review of Energy Efficiency Interventions in Public Buildings. Energies 2023, 16, 6329. [Google Scholar] [CrossRef]
- Fuerst, F.; McAllister, P. Green Noise or Green Value? Measuring the Effects of Environmental Certification on Office Values. Real Estate Econ. 2011, 39, 45–69. [Google Scholar] [CrossRef]
- Carlson, K.; Pressnail, K.D. Value impacts of energy efficiency retrofits on commercial office buildings in Toronto, Canada. Energy Build. 2018, 162, 154–162. [Google Scholar] [CrossRef]
- He, Q.; Zhao, H.Y.; Shen, L.; Dong, L.Q.; Cheng, Y.; Xu, K. Factors Influencing Residents’ Intention toward Green Retrofitting of Existing Residential Buildings. Sustainability 2019, 11, 4246. [Google Scholar] [CrossRef]
- Le Cadre, H.; Jacquot, P.; Wan, C.; Alasseur, C. Peer-to-peer electricity market analysis: From variational to Generalized Nash Equilibrium. Eur. J. Oper. Res. 2020, 282, 753–771. [Google Scholar] [CrossRef]
- Yu, Y.Y.; Yin, S.; Zhang, A.J. Clean energy-based rural low carbon transformation considering the supply and demand of new energy under government participation: A three-participators game model. Energy Rep. 2022, 8, 12011–12025. [Google Scholar] [CrossRef]
- Tang, Y.; Hong, K.R.; Zou, Y.C.; Zhang, Y.W. Impact of Emotional Perceived Value on the Uncertain Evolution of the Housing Bubble. Mathematics 2021, 9, 1543. [Google Scholar] [CrossRef]
- Abedini, M.; Zhang, C.W. Performance Assessment of Concrete and Steel Material Models in LS-DYNA for Enhanced Numerical Simulation, A State of the Art Review. Arch. Comput. Methods Eng. 2021, 28, 2921–2942. [Google Scholar] [CrossRef]
- Feng, Q.; Chen, H.; Shi, X.J.; Wei, J. Stakeholder games in the evolution and development of green buildings in China: Government-led perspective. J. Clean. Prod. 2020, 275, 122895. [Google Scholar] [CrossRef]
- Yang, Y.H.; Sun, R.C.; Wang, Y.H.; Zhu, M.J.; Yang, P.S. Evolutionary analysis of resident groups’ intention to participate in green retrofit PPP projects of traditional apartment complexes. Sci. Rep. 2023, 13, 1039. [Google Scholar] [CrossRef] [PubMed]
- Kai-Ineman, D.; Tversky, A. Prospect theory: An analysis of decision under risk. Econometrica 1979, 47, 363–391. [Google Scholar] [CrossRef]
- Tversky, A.; Kahneman, D. Advances in prospect theory: Cumulative representation of uncertainty. J. Risk Uncertain. 1992, 5, 297–323. [Google Scholar] [CrossRef]
- Barberis, N.C. Thirty Years of Prospect Theory in Economics: A Review and Assessment. J. Econ. Perspect. 2013, 27, 173–195. [Google Scholar] [CrossRef]
- Liu, X.; Wang, Q.J.; Li, Z.R.; Jiang, S. An Evolutionary Game Analysis of Decision-Making and Interaction Mechanisms of Chinese Energy Enterprises, the Public, and the Government in Low-Carbon Development Based on Prospect Theory. Energies 2025, 18, 2041. [Google Scholar] [CrossRef]
- Lin, M.Q.; Liu, S.Q.; Luo, K.; Zhu, L.J. A prospect-theory evolutionary game model to analyse cooperation of long-term energy contracts. Energy 2025, 330, 136855. [Google Scholar] [CrossRef]
- Zhao, J.H.; Lan, T.; Rong, H.Y.; Liu, S.S. Exploring the evolutionary game of rumor control based on prospect theory. Neural Comput. Appl. 2023, 36, 9675–9685. [Google Scholar] [CrossRef]
- Wang, Y.Y.; Fan, R.G.; Du, K.; Lin, J.C.; Wang, D.X.; Wang, Y.T. Private charger installation game and its incentive mechanism considering prospect theory. Transp. Res. Part D-Transp. Environ. 2022, 113, 103508. [Google Scholar] [CrossRef]
- Ding, C.Y.J.; Liu, H.; Chen, Y.H.; Qiu, W.Y. Collaborative Innovation in Construction Supply Chain under Digital Construction: Evolutionary Game Analysis Based on Prospect Theory. Buildings 2024, 14, 2019. [Google Scholar] [CrossRef]
- Lützkendorf, T.; Lorenz, D. Capturing sustainability-related information for property valuation. Build. Res. Inf. 2011, 39, 256–273. [Google Scholar] [CrossRef]
- Filippidou, F.; Nieboer, N.; Visscher, H. Energy efficiency measures implemented in the Dutch non-profit housing sector. Energy Build. 2016, 132, 107–116. [Google Scholar] [CrossRef]
- Lee, M.-K.; Park, H.; Noh, J.; Painuly, J.P. Promoting energy efficiency financing and ESCOs in developing countries: Experiences from Korean ESCO business. J. Clean. Prod. 2003, 11, 651–657. [Google Scholar] [CrossRef]
- Berg, F.; Flyen, A.C.; Godbolt, Å.; Broström, T. User-driven energy efficiency in historic buildings: A review. J. Cult. Herit. 2017, 28, 188–195. [Google Scholar] [CrossRef]
- Martiskainen, M.; Kivimaa, P. Creating innovative zero carbon homes in the United Kingdom—Intermediaries and champions in building projects. Environ. Innov. Soc. Transit. 2018, 26, 15–31. [Google Scholar] [CrossRef]
- Prabatha, T.; Hewage, K.; Sadiq, R. An Energy Performance Contract Optimization Approach to Meet the Competing Stakeholder Expectations under Uncertainty: A Canadian Case Study. Sustainability 2022, 14, 4334. [Google Scholar] [CrossRef]
- Zheng, D.; Xu, H.J.; Ali, S.; Jia, Z.F.; Ma, X.J. Quadripartite Evolutionary Game of Incentives for Green Retrofitting of Historical Buildings. Sustainability 2024, 16, 10623. [Google Scholar] [CrossRef]
- Yin, Y.L.; Lin, Q.; Xiao, W.Y.; Yin, H. Impacts of Risk Allocation on Contractors’ Opportunistic Behavior: The Moderating Effect of Trust and Control. Sustainability 2020, 12, 9604. [Google Scholar] [CrossRef]
- Yang, X.D.; Zhang, J.Y.; Shen, G.Q.; Yan, Y.Y. Incentives for green retrofits: An evolutionary game analysis on Public-Private-Partnership reconstruction of buildings. J. Clean. Prod. 2019, 232, 1076–1092. [Google Scholar] [CrossRef]
- Ren, Y.; Yuan, P.W.; Dong, X.Q.; Liu, H.K. How to prevent “greenwash” in green retrofit process under PPP model: An evolutionary game theory-based analysis. Appl. Econ. 2025, 57, 1888–1908. [Google Scholar] [CrossRef]
- Zheng, S.N.; Zhou, Y.H.; Yuan, J.F.; Liu, R.; Lyu, P.D.; Han, Z.Z.; Zhang, C. Understanding Governments, ESCOs, and Clients’ Behavioral Strategies in Public Building Energy-Efficiency Renovation Based on Evolutionary Game Theory. J. Manag. Eng. 2025, 41, 4. [Google Scholar] [CrossRef]
- Zhang, W.; Zhang, X.X.; Wu, G.D. The network governance of urban renewal: A comparative analysis of two cities in China. Land Use Policy 2021, 106, 105448. [Google Scholar] [CrossRef]
- Fan, W.; Wang, S.; Gu, X.; Zhou, Z.Q.; Zhao, Y.; Huo, W.D. Evolutionary game analysis on industrial pollution control of local government in China. J. Environ. Manag. 2021, 298, 113499. [Google Scholar] [CrossRef]
- Su, Y.B. Multi-agent evolutionary game in the recycling utilization of construction waste. Sci. Total Environ. 2020, 738, 139826. [Google Scholar] [CrossRef]
- Wang, S.Y.; Lee, K.T.; Kim, J.H. Green Retrofitting Simulation for Sustainable Commercial Buildings in China Using a Proposed Multi-Agent Evolutionary Game. Sustainability 2022, 14, 7671. [Google Scholar] [CrossRef]
- Zhao, R.; Peng, L.; Zhao, Y.L.; Feng, Y.B. Coevolution mechanisms of stakeholder strategies in the green building technologies innovation ecosystem: An evolutionary game theory perspective. Environ. Impact Assess. Rev. 2024, 105, 107418. [Google Scholar] [CrossRef]
- Hu, X.Q.; Wang, R.N.; Wei, Y.Y.; Lin, H.W.; Gui, X.M. Evolutionary game analysis of the longitudinal integration of electronic health record based on prospect theory. Sci. Rep. 2025, 15, 20583. [Google Scholar] [CrossRef]
- Liu, Y.; Chen, H.Y.; Wang, X.J. Research on green renovations of existing public buildings based on a cloud model -TOPSIS method. J. Build. Eng. 2021, 34, 101930. [Google Scholar] [CrossRef]
- Li, Q.X.; Zhao, B.Y.; Wang, X.Y.; Yang, G.D.; Chang, Y.Y.; Chen, X.; Chen, B.M. Autonomous building material stock estimation using 3D modeling and multilayer perceptron. Sustain. Cities Soc. 2025, 130, 106522. [Google Scholar] [CrossRef]
- Yang, Q.X.; Xu, F.; Lu, W.Z.; Yang, Z.X.; Bai, Y.F.; Wen, B.H. Green renovation and multi-objective optimization of Tibetan courtyard dwellings. Build. Environ. 2025, 279, 113071. [Google Scholar] [CrossRef]
- He, L.H.; Chen, L.Y. The incentive effects of different government subsidy policies on green buildings. Renew. Sustain. Energy Rev. 2021, 135, 110123. [Google Scholar] [CrossRef]
- Teng, J.Y.; Xu, C.; Wang, W.; Wu, X.G. A system dynamics-based decision-making tool and strategy optimization simulation of green building development in China. Clean Technol. Environ. Policy 2018, 20, 1259–1270. [Google Scholar] [CrossRef]
- Gao, Y.; Jia, R.F.; Yao, Y.; Xu, J.H. Evolutionary Game Theory and the Simulation of Green Building Development Based on Dynamic Government Subsidies. Sustainability 2022, 14, 7294. [Google Scholar] [CrossRef]
- Fan, C.M.; Li, X.Y. Exploring effective incentive policies for sustainable development of green buildings in China: Based on evolutionary game theory and numerical simulation analysis. Eng. Constr. Archit. Manag. 2025, 32, 3326–3348. [Google Scholar] [CrossRef]
- Zhao, Y.X.; Ma, Y.H.; Zhong, F.L. Sustaining Green Building Incentives: A Tripartite Evolutionary Game Analysis and the Synergistic “Technology-Reputation-Policy” Pathway. Buildings 2025, 15, 1537. [Google Scholar] [CrossRef]
- Li, Y.; Zhang, J.L. Evolutionary Game Analysis of Low-Carbon Incentive Behaviour of Power Battery Recycling Based on Prospect Theory. Sustainability 2024, 16, 2793. [Google Scholar] [CrossRef]
- Wang, Y.L.; Wang, C.F.; Deng, X.P.; Wu, Z.Z. Evolutionary Game Analysis of the Utilization of Construction Waste Resources Based on Prospect Theory. Sustainability 2023, 15, 2577. [Google Scholar] [CrossRef]
- Meng, Q.F.; Liu, Y.Y.; Li, Z.; Wu, C.Z. Dynamic reward and penalty strategies of green building construction incentive: An evolutionary game theory-based analysis. Environ. Sci. Pollut. Res. 2021, 28, 44902–44915. [Google Scholar] [CrossRef]
- Liu, X.F.; Yue, J.J.; Luo, L.; Liu, C.; Zhu, T. Evolutionary analysis of nuclear wastewater collaborative governance based on prospect theory. J. Clean. Prod. 2024, 465, 142856. [Google Scholar] [CrossRef]
- Wu, Y.E.; Yin, A.R.; Zheng, Y.; Wang, X.Y.; Zhang, S.H. Research on the diffusion of electric vehicles based on dynamic games under the influence of environmental regulations. Energy Econ. 2025, 146, 108502. [Google Scholar] [CrossRef]

















| Identity | Variable | Meaning |
|---|---|---|
| Government | V(Rg) | Enhancement in credibility caused by active regulation |
| V(−C1) | Costs of active regulation | |
| V(−Ie) | Subsidies for ESCOs providing high-quality renovations | |
| V(−Ic) | Subsidies for actively participating property owners | |
| V(−W) | Decline in credibility caused by passive regulation | |
| V(−C2) | Costs of passive regulation | |
| ESCO | V(G) | Benefits of high-quality renovation |
| V(ΔG) | Incremental benefits of low-quality renovation | |
| V(−S) | Competitive substitution losses of low-quality renovation | |
| θ | Market competitiveness coefficient | |
| V(−D) | Penalties imposed on low-quality renovation | |
| V(L) | Enhancement of ESCO image through high-quality renovation | |
| Owner | V(H1) | Benefits gained from active participation |
| V(−P) | Losses due to unmet renovation expectations | |
| V(H2) | Benefits gained from passive participation | |
| Prospect theory | α | Risk preference coefficient |
| β | Risk aversion coefficient | |
| λ | Degree of loss aversion | |
| π(p0) | Subjective probability of uncertain gains and losses |
| Strategy Selection | Owners Active Participation | Owners Passive Participation | |
|---|---|---|---|
| Government Active regulation | ESCO High-quality renovation | V(Re) + V(Rg) + V(−C1) + V(−Ie) + V(−Ic) V(G) + V(Ie) + V(L) V(H1) +V(Ic) | V(Rg) + V(−C1) + V(−Ie) V(G) + V(Ie) V(H2) |
| ESCO Low-quality renovation | V(Rg) + V(−C1) + V(−Ic) + V(D) V(G) + V(ΔG) + V(−S) + V(−D) V(H1) +V(−P) + V(Ic) | V(Rg) + V(−C1) + V(D) V(G) + V(ΔG) + V(−S) + V(−D) V(H2) | |
| Government Passive regulation | ESCO High-quality renovation | V(Re) + V(−C2) + V(−W) V(G) +V(L) V(H1) | V(−C2) + V(−W) V(G) V(H2) |
| ESCO Low-quality renovation | V(−C2) + V(−W) V(G) + V(ΔG) + V(−S) V(H1) + V(−P) | V(−C2) + V(−W) V(G) + V(ΔG) + V(−S) V(H2) | |
| Equalization Point | Eigenvalue λ1 | Eigenvalue λ2 | Eigenvalue λ3 |
|---|---|---|---|
| D1(0, 0, 0) | V(D) + V(Rg) + V(−C1) − V(−C2) − V(−W) | −V(−S) − V(ΔG) | V(H1) − V(H2) + V(−P) |
| D2(0, 1, 0) | V(Rg) + V(−C1) − V(−C2) + V(−Ie) − V(−W) | V(−S) + V(ΔG) | V(H1) − V(H2) |
| D3(0, 0, 1) | V(D) + V(Rg) + V(−C1) − V(−C2) + V(Ic) − V(−W) | V(L) − V(−S) − V(ΔG) | V(H2) − V(H1) − V(−P) |
| D4(0, 1, 1) | V(Rg) + V(−C1) − V(−C2) + V(−Ic) + V(−Ie) − V(−W) | V(−S) − V(L) + V(ΔG) | V(H2) − V(H1) |
| D5(1, 0, 0) | V(−C2) − V(Rg) − V(−C1) − V(D) + V(−W) | V(Ie) − V(−D) − V(−S) − V(ΔG) | V(H1) − V(H2) + V(−P) + V(Ic) |
| D6(1, 1, 0) | V(−C2) − V(−C1) − V(Rg) − V(−Ie) + V(−W) | V(−D) − V(Ie) + V(−S) + V(ΔG) | V(H1) − V(H2) + V(Ic) |
| D7(1, 0, 1) | V(−C2) − V(Rg) − V(−C1) − V(D) − V(−Ic) + V(−W) | V(Ie) + V(L) − V(−D) − V(−S) − V(ΔG) | V(H2) − V(H1) − V(−P) − V(Ic) |
| D8(1, 1, 1) | V(−C2) − V(−C1) − V(Rg) − V(−Ic) − V(−Ie) + V(−W) | V(−D) − V(L) − V(Ie) + V(−S) + V(ΔG) | V(H2) − V(H1) − V(Ic) |
Disclaimer/Publisher’s Note: The statements, opinions and data contained in all publications are solely those of the individual author(s) and contributor(s) and not of MDPI and/or the editor(s). MDPI and/or the editor(s) disclaim responsibility for any injury to people or property resulting from any ideas, methods, instructions or products referred to in the content. |
© 2025 by the authors. Licensee MDPI, Basel, Switzerland. This article is an open access article distributed under the terms and conditions of the Creative Commons Attribution (CC BY) license (https://creativecommons.org/licenses/by/4.0/).
Share and Cite
Gao, Y.; Liu, J.; Zhang, J.; Xie, H. Modeling the Evolutionary Mechanism of Multi-Stakeholder Decision-Making in the Green Renovation of Existing Residential Buildings in China. Buildings 2025, 15, 2758. https://doi.org/10.3390/buildings15152758
Gao Y, Liu J, Zhang J, Xie H. Modeling the Evolutionary Mechanism of Multi-Stakeholder Decision-Making in the Green Renovation of Existing Residential Buildings in China. Buildings. 2025; 15(15):2758. https://doi.org/10.3390/buildings15152758
Chicago/Turabian StyleGao, Yuan, Jinjian Liu, Jiashu Zhang, and Hong Xie. 2025. "Modeling the Evolutionary Mechanism of Multi-Stakeholder Decision-Making in the Green Renovation of Existing Residential Buildings in China" Buildings 15, no. 15: 2758. https://doi.org/10.3390/buildings15152758
APA StyleGao, Y., Liu, J., Zhang, J., & Xie, H. (2025). Modeling the Evolutionary Mechanism of Multi-Stakeholder Decision-Making in the Green Renovation of Existing Residential Buildings in China. Buildings, 15(15), 2758. https://doi.org/10.3390/buildings15152758

