Multidimensional Seismic Fragility Study of Intake Towers Based on Incremental Dynamic Analysis
Abstract
1. Introduction
2. Finite Element Modeling
2.1. Finite Element Model
2.2. Model Parameters
3. Nonlinear Time-Course Analysis
3.1. Damage Index
3.2. Modal Analysis
3.3. Change Laws
- (1)
- Stress change law
- (2)
- Displacement change law
- (3)
- Damage change law
4. IDA Analysis
4.1. Ground Vibration Selection
4.2. Multidimensional Probabilistic Seismic Demand Analysis
4.3. Quantification of Performance Levels
4.3.1. Quantification of the Performance Level of the Maximum Displacement Damage Index at the Top of the Tower
4.3.2. Localized Damage Index Performance Level Quantification
4.3.3. Quantification of Overall Damage Index Performance Level
5. Fragility Analysis
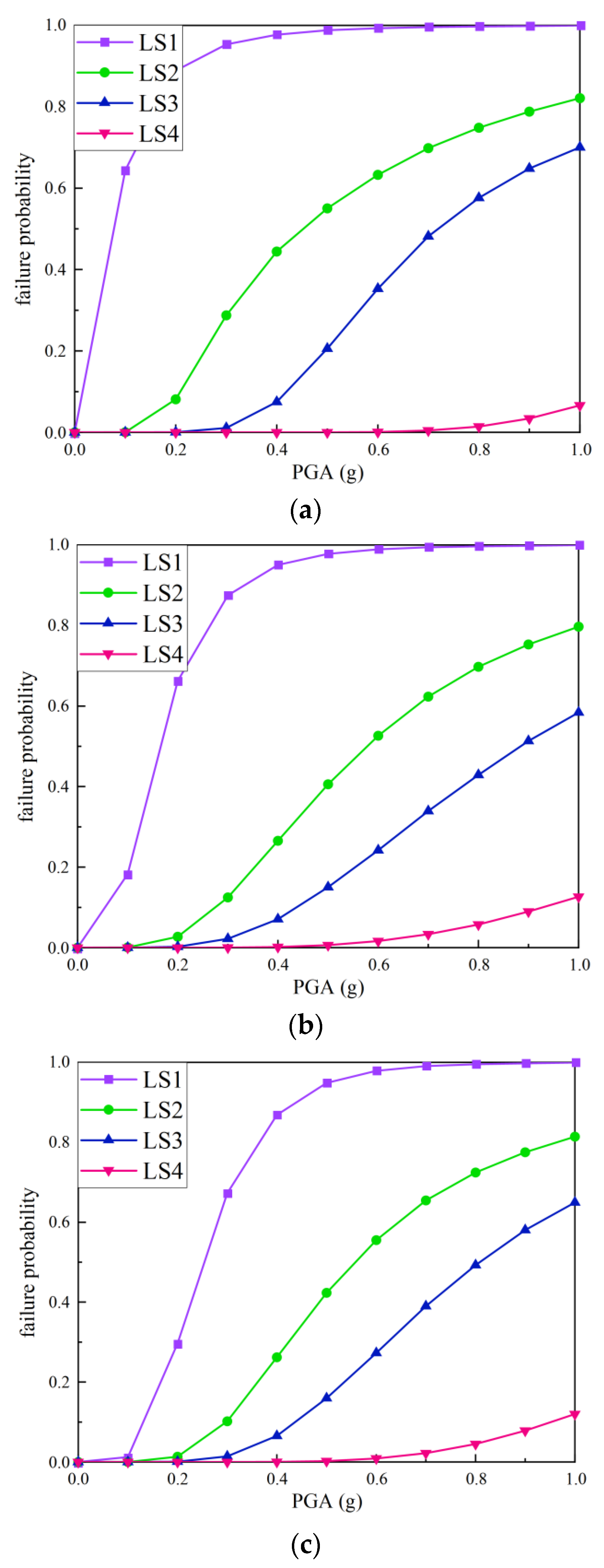
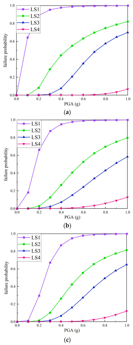
5.1. Two-Dimensional Seismic Fragility Analysis
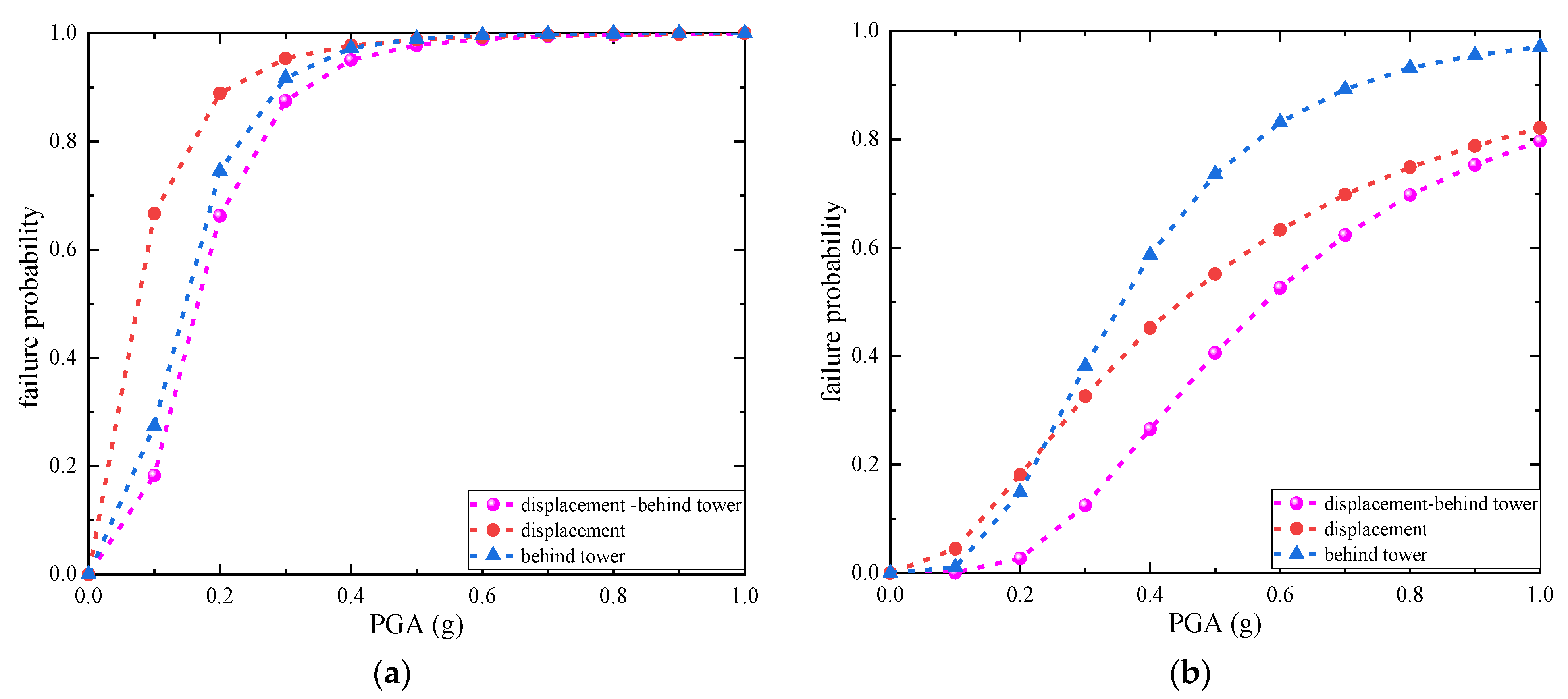
5.2. Comparison of One- and Two-Dimensional Seismic Fragility
6. Conclusions
- (1)
- Due to the effect of additional mass, the self-oscillation frequency of the water intake tower structure in wet mode is smaller than that in dry mode. When the PGA exceeds 0.3 g, the structure enters the plastic phase and plastic damage begins to occur; the damage mainly occurs on both sides of the tower and at the interface of the backfill concrete and the tower, extending upward.
- (2)
- With increases in seismic acceleration, the probability of failure increases considering both the maximum displacement of the intake tower structure in the parallel flow direction with the local damage index and the overall damage index. Taking the fragility curve under the designed seismic acceleration as an example, the failure probabilities of the intake tower reach LS1 and LS2, in descending order, as follows: displacement with damage on the front of the tower, displacement with damage at the back of the tower, displacement with overall damage, and displacement with damage on the side of the tower. The failure probabilities of the four cases to reach LS3 and LS4 were very small and negligible. The displacements and damage sustained by the intake tower structure after encountering different intensities of seismic action are not negligible.
- (3)
- Under the designed seismic acceleration, the two-dimensional fragility curve of the intake tower structure was lower than the one-dimensional fragility curve; that is, the cumulative failure probability of the two-dimensional fragility analysis was lower than that of the one-dimensional fragility analysis. The results of the designed seismic acceleration of the intake tower structure based on the one-dimensional performance index were unstable; therefore, the maximum displacement and the damage index were considered at the same time to evaluate the safety performance of the intake tower structure under the action of strong earthquakes. In this way, the obtained seismic design results were more reasonable.
Author Contributions
Funding
Data Availability Statement
Conflicts of Interest
References
- Zheng, X.; Shen, Y.; Zong, X.; Su, H.; Zhao, X. Dynamic Response Analysis of Intake Tower-Hydrodynamic Coupling Boundary Based on SV Wave Spatial Incidence. Buildings 2023, 13, 1704. [Google Scholar] [CrossRef]
- Chen, X.; Liu, Y.; Zhou, B.; Yang, D. Seismic response analysis of intake tower structure under near-fault ground motions with forward-directivity and fling-step effects. Soil Dyn. Earthq. Eng. 2020, 132, 106098. [Google Scholar] [CrossRef]
- Teymouri, E.; Abbasi, S. Study of the efects of adding vertical stifeners on the frequency and seismic behavior of the cylindrical intake tower, considering the interaction of water and structure. Asian J. Civ. Eng. 2023, 24, 559–578. [Google Scholar] [CrossRef]
- Zhang, H.; Jiang, C.; Liu, S.; Zhang, L.; Wang, C.; Zhang, Y. Shaking-table tests of seismic responses of slender intake tower-hoist chamber systems. Eng. Struct. 2021, 242, 112517. [Google Scholar] [CrossRef]
- Tidke, A.R.; Adhikary, S. Seismic fragility analysis of the Koyna gravity dam with layered rock foundation considering tensile crack failure. Eng. Fail. Anal. 2021, 125, 105361. [Google Scholar] [CrossRef]
- Ashna, K.N.; Maheshwari, P.; Viladkar, M.N. Fragility analysis of a concrete gravity dam under mainshock-aftershock sequences. Structures 2024, 61, 106117. [Google Scholar] [CrossRef]
- Li, Z.; Wu, Z.; Lu, X.; Zhou, J.; Chen, J.; Liu, L.; Pei, L. Efficient seismic risk analysis of gravity dams via screening of intensity measures and simulated non-parametric fragility curves. Soil Dyn. Earthq. Eng. 2022, 152, 107040. [Google Scholar] [CrossRef]
- Hariri-Ardebili, M.A.; Saouma, V. Quantitative failure metric for gravity dams. Earthq. Eng. Struct. Dyn. 2015, 44, 461–480. [Google Scholar] [CrossRef]
- Liang, H.; Tu, J.; Guo, S.; Liao, J.; Li, D.; Peng, S. Seismic fragility analysis of a High Arch Dam-Foundation System based on seismic instability failure mode. Soil Dyn. Earthq. Eng. 2020, 130, 105981. [Google Scholar] [CrossRef]
- Kadkhodayan, V.; Meisam, A.S.; Hasan, M. Seismic Assessment of Arch Dams Using Fragility Curves. Civ. Eng. J. 2015, 1, 14–20. [Google Scholar] [CrossRef]
- Wang, J.-T.; Zhang, M.-X.; Jin, A.-Y.; Zhang, C.-H. Seismic fragility of arch dams based on damage analysis. Soil Dyn. Earthq. Eng. 2018, 109, 58–68. [Google Scholar] [CrossRef]
- Chen, D.; Pan, Z.; Zhao, Y. Seismic damage characteristics of high arch dams under oblique incidence of SV waves. Eng. Fail. Anal. 2023, 152, 107445. [Google Scholar] [CrossRef]
- Chen, K.; Pang, R.; Xu, B. Stochastic dynamic response and seismic fragility analysis for high concrete face rockfill dams considering earthquake and parameter uncertainties. Soil Dyn. Earthq. Eng. 2023, 167, 107817. [Google Scholar] [CrossRef]
- Zhou, Y.; Zhang, Y.; Pang, R.; Xu, B. Seismic fragility analysis of high concrete faced rockfill dams based on plastic failure with support vector machine. Soil Dyn. Earthq. Eng. 2021, 144, 106587. [Google Scholar] [CrossRef]
- Khalid, M.I.; Park, D.; Fei, J.; Nguyen, V.-Q.; Nguyen, D.-D.; Chen, X. Selection of efficient earthquake intensity measures for evaluating seismic fragility of concrete face rockfill dam. Comput. Geotech. 2023, 163, 105721. [Google Scholar] [CrossRef]
- Lin, T.; Baker, J.W. Introducing Adaptive Incremental Dynamic Analysis: A New Tool for Linking Ground Motion Selection and Structural Response Assessment. Civil and Environmental Engineering Faculty Research and Publications. 2013, Volume 40. Available online: https://epublications.marquette.edu/civengin_fac/40 (accessed on 25 July 2024).
- Khanmohammadi, M.; Mazlaghani, Z. Piecewise incremental dynamic analysis (PIDA) based on the vector of intensity measures correlated with the structural responses. Soil Dyn. Earthq. Eng. 2021, 150, 106933. [Google Scholar] [CrossRef]
- Song, P.-Y.; Wang, C.; Sun, Q.-Q. Mainshock-aftershock fragility surfaces analysis of reinforced concrete frame structures using a double incremental dynamic analysis approach. Structures 2023, 56, 104868. [Google Scholar] [CrossRef]
- Liu, X.X.; Wu, Z.-Y.; Liang, F. Multidimensional performance limit state for probabilistic seismic demand analysis. Bull. Earthq. Eng. 2016, 14, 3389–3408. [Google Scholar] [CrossRef]
- Jia, D.-W.; Wu, Z.-Y. Seismic fragility analysis of RC frame-shear wall structure under multidimensional performance limit state based on ensemble neural network. Eng. Struct. 2021, 246, 112975. [Google Scholar] [CrossRef]
- Jia, D.-W.; Wu, Z.-Y. Effect of fuzzy failure criterion on probabilistic seismic risk analysis under multidimensional performance limit state. J. Build. Eng. 2022, 52, 104438. [Google Scholar] [CrossRef]
- NB 35047-2015; Code for Seismic Design of Hydraulic Structures in Hydropower Engineering. National Standards of the People’s Republic of China: Beijing, China, 2015.
- Shome, N. Probabilistic Seismic Demand Analysis of Nonlinear Structures; Stanford University: Stanford, CA, USA, 1999. [Google Scholar]
- Haghgou, H.; Alembagheri, M.; Bigdeli, A. Determination of optimal intensity measure for probabilistic seismic demand analysis of intake towers. Structures 2021, 34, 1998–2013. [Google Scholar] [CrossRef]
- Cornell, C.A.; Jalayer, F.; Hamburger, R.O.; Foutch, D.A. Probabilistic Basis for 2000 SAC Federal Emergency Management Agency Steel Moment Frame Guidelines. J. Struct. Eng. 2002, 128, 526–533. [Google Scholar] [CrossRef]
- Wan, Z. Seismic Vulnerability and Risk Analysis of Frame Structures Based on Probabilistic Damage Model. Master’s Dissertation, Harbin Polytechnic Institute, Harbin, China, 2009. (In Chinese). [Google Scholar]
- GB/T 24335-2009; Classification of Earthquake Damage to Structures. China Earthquake Administration (CEA): Beijing, China, 2009.
- GB/T 17742-2020; China Earthquake Intensity Scale. China Earthquake Administration (CEA): Beijing, China, 2020.
- Yao, X. Performance-Based Seismic Vulnerability Analysis and Seismic Safety Assessment of High-Arch Dams. Ph.D. Dissertation, Zhejiang University, Hangzhou, China, 2013. (In Chinese). [Google Scholar]






















| Material Parameter | Density (kg/m3) | Modulus of Elasticity (MPa) | Poisson’s Ratio | ) | Initial Compressive Yield Strength (MPa) | Ultimate Compressive Strength (MPa) | Tensile Strength (MPa) |
|---|---|---|---|---|---|---|---|
| Backfill | 2500 | 28,000 | 0.2 | 36.31 | 8.9 | 16.8 | 1.86 |
| Intake Tower | 2500 | 30,000 | 0.2 | 36.31 | 10.9 | 20.1 | 2.06 |
| Bedrock | — | 15,000 | 0.28 | — | — | — | — |
| Order | Dry Modal Frequency (Hz) | Shape Description | Wet Mode Frequency (Hz) | Shape Description |
|---|---|---|---|---|
| 1 | 3.94 | Shunhe to vibration | 3.52 | Yokogawa to vibration |
| 2 | 4.07 | Yokogawa to vibration | 3.94 | Shunhe to vibration |
| 3 | 4.64 | Shunhe to vibration | 4.63 | Yokogawa to vibration |
| 4 | 5.05 | Shunhe to vibration | 4.85 | Shunhe to vibration |
| 5 | 5.41 | Transverse vibration with torsion | 5.40 | Transverse vibration with torsion |
| PGA = 0.3 g | Most Values (MPa) | Moment of Emergence | Appearing Position | |
|---|---|---|---|---|
| First principal stress | MAX | 6.424 | t = 8.2 s | Left tower at junction with backfill |
| MIN | −2.969 | t = 8.2 s | Right tower to backfill junction | |
| Positive X-direction stress | MAX | 1.844 | t = 5.6 s | Small localized area on top of the tower |
| MIN | −4.677 | t = 2.4 s | Small area on top of the tower | |
| Positive Y-direction stress | MAX | 2.828 | t = 5.6 s | Small area on top of the tower |
| MIN | −5.610 | t = 8.2 s | Junction of right bank tower and backfill | |
| Positive Z-direction stress | MAX | 6.337 | t = 8.2 s | Junction of left bank tower and backfill |
| MIN | −14.50 | t = 8.2 s | Parallel to the corner of the tower and backfill junction area | |
| Number | Name of the Earthquake | Year | Survey Station | Degree of Intensity | PGA (g) | Scale Factor | Vs30 (m/s) |
|---|---|---|---|---|---|---|---|
| 1 | San Fernando | 1971 | Cedar Springs—Allen Ranch | 6.61 | 0.020 | 3.5 | 813.48 |
| 2 | Borrego Mtn | 1968 | San Onofre—So Cal Edison | 6.63 | 0.047 | 1.489 | 442.88 |
| 3 | Livermore-02 | 1980 | San Ramon Fire Station | 5.42 | 0.054 | 1.296 | 384.47 |
| 4 | Parkfield | 1966 | Cholame—Shandon Array #12 | 6.19 | 0.063 | 1.111 | 408.93 |
| 5 | Artificial wave 1 | — | — | — | 0.07 | 1 | — |
| 6 | Artificial wave 2 | — | — | — | 0.07 | 1 | — |
| 7 | Borrego Mtn | 1968 | El Centro Array #9 | 6.63 | 0.133 | 0.526 | 213.44 |
| 8 | Kern County | 1952 | Taft Lincoln School | 7.36 | 0.159 | 0.440 | 385.43 |
| 9 | Northern Calif-03 | 1954 | Ferndale City Hall | 6.5 | 0.203 | 0.345 | 219.31 |
| 10 | San Fernando | 1971 | LA—Hollywood Stor FF | 6.61 | 0.225 | 0.311 | 316.46 |
| 11 | Managua—Nicaragua-02 | 1972 | Managua—ESSO | 5.2 | 0.263 | 0.266 | 288.77 |
| 12 | Livermore-02 | 1980 | San Ramon—Eastman Kodak | 5.42 | 0.280 | 0.25 | 377.51 |
| Performance Level | Intake Tower Structure Utilization |
|---|---|
| Mostly intact | The intake tower structure is able to function normally after experiencing seismic action with the material still in the linear elastic phase. No significant damage has occurred. |
| Slightly damaged | There is no significant damage to the overall structure of the intake tower, and the secondary components are broken and can be restored to their original function with simple repairs. |
| Medium damage | There is no significant deformation of the intake tower structure, and the tower has incurred a certain range of damage that requires general repair before it can be returned to normal use. |
| Serious damage | Water intake tower structure tower body shows obvious plastic damage, bedrock and tower body separation, and loss of basic function. It is difficult to restore the original function after repair. |
| Vandalized | The structure of the water intake tower has completely lost its original performance, and the tower has suffered obvious and serious damage, is on the verge of collapsing or has collapsed, and has completely lost the possibility of being repaired. |
Disclaimer/Publisher’s Note: The statements, opinions and data contained in all publications are solely those of the individual author(s) and contributor(s) and not of MDPI and/or the editor(s). MDPI and/or the editor(s) disclaim responsibility for any injury to people or property resulting from any ideas, methods, instructions or products referred to in the content. |
© 2024 by the authors. Licensee MDPI, Basel, Switzerland. This article is an open access article distributed under the terms and conditions of the Creative Commons Attribution (CC BY) license (https://creativecommons.org/licenses/by/4.0/).
Share and Cite
Li, X.; Zhou, Y.; Zhu, H.; Li, Y.; An, H. Multidimensional Seismic Fragility Study of Intake Towers Based on Incremental Dynamic Analysis. Buildings 2024, 14, 2943. https://doi.org/10.3390/buildings14092943
Li X, Zhou Y, Zhu H, Li Y, An H. Multidimensional Seismic Fragility Study of Intake Towers Based on Incremental Dynamic Analysis. Buildings. 2024; 14(9):2943. https://doi.org/10.3390/buildings14092943
Chicago/Turabian StyleLi, Xiaona, Yingjie Zhou, Hemin Zhu, Yuchen Li, and Haowen An. 2024. "Multidimensional Seismic Fragility Study of Intake Towers Based on Incremental Dynamic Analysis" Buildings 14, no. 9: 2943. https://doi.org/10.3390/buildings14092943
APA StyleLi, X., Zhou, Y., Zhu, H., Li, Y., & An, H. (2024). Multidimensional Seismic Fragility Study of Intake Towers Based on Incremental Dynamic Analysis. Buildings, 14(9), 2943. https://doi.org/10.3390/buildings14092943

