Elastic Critical Buckling Coefficients for Skew Plates of Steel Structures under Biaxial Normal Stress
Abstract
1. Introduction
2. Elastic Local Buckling of Skew Plates under Uniform Uniaxial Normal Stress
2.1. Outline of Theoretical Analysis Modeling
2.2. Outline of Theoretical Analysis Modeling
2.3. Finite Element Model for Validation of Energy Methods
2.4. Comparison with Buckling Coefficients of Previous Studies
3. Elastic Local Buckling of Skew Plate under Uniaxial Normal Stress
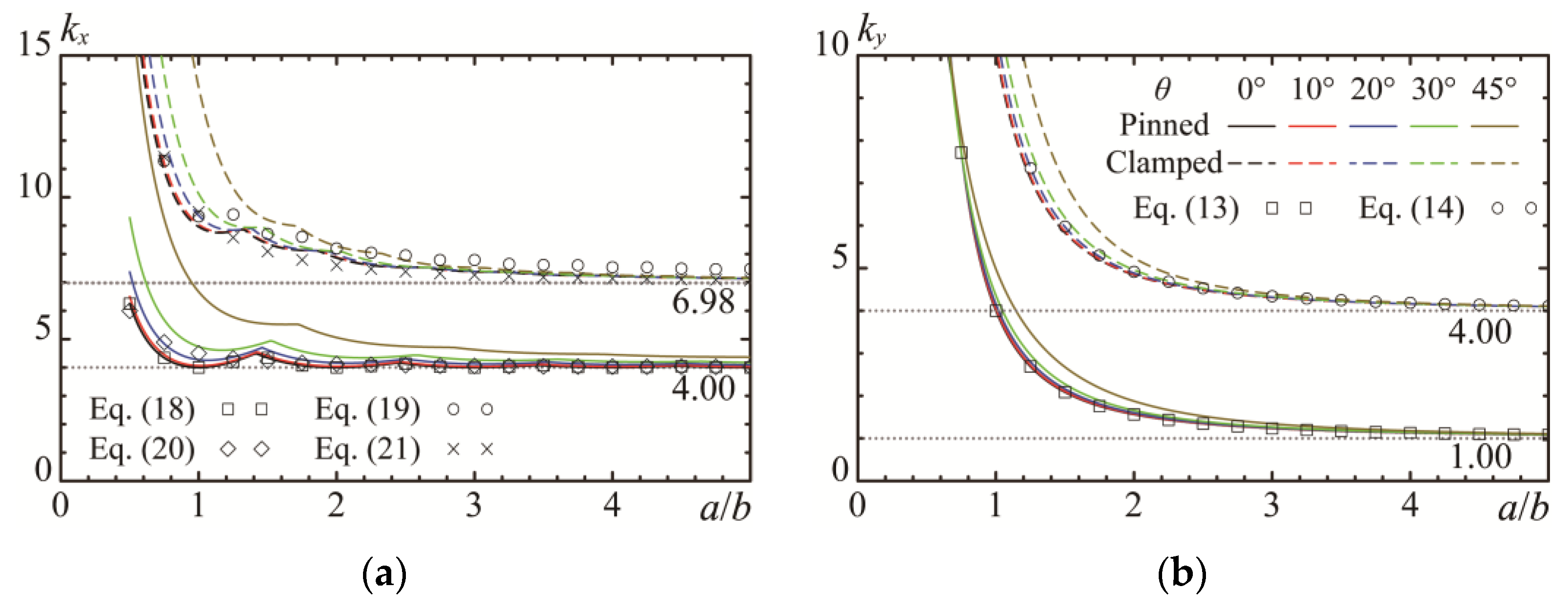
3.1. Influence of Geometries and Boundary Conditions on Elastic Local Buckling
3.2. Deviation of Design Equations for Skew Plates under Uniaxial Normal Stress
3.3. Validation of Proposed Design Equations
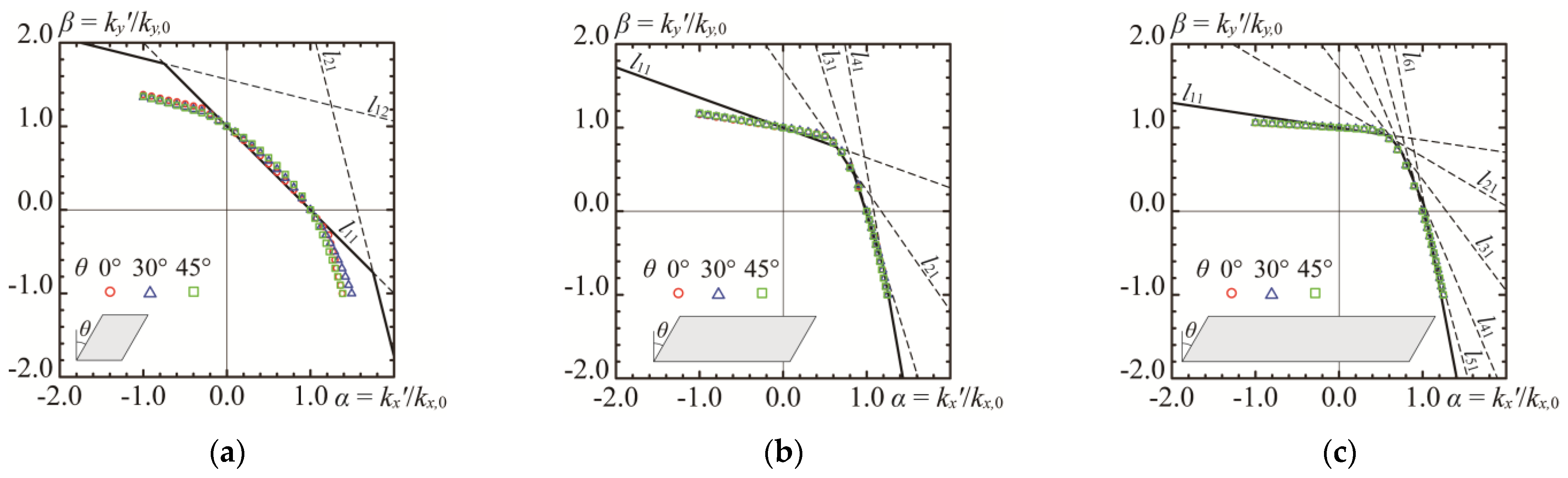
4. Elastic Local Buckling of Skew Plate under Biaxial Normal Stresses
5. Conclusions
- The critical buckling stress for skew plates under uniaxial stress was calculated through an energy method that employs the Cartesian coordinate system for displacement function derivation, contrasting with previous studies that used the coordinate system aligned with skew edges. The accuracy of the proposed method is corroborated using a comparison with buckling eigenvalue results from FEA, demonstrating superior precision over the prior literature.
- Design equations are derived to facilitate the simplification of buckling load calculations for stresses acting parallel or perpendicular to the longitudinal direction. The formulated design equations are applicable up to a skew angle of 45°, which is substantially within the practical range, as the actual panel angle in steel structural buildings is approximately 30°. Comparisons with FEA results validate the adequacy of these equations, enabling engineers to efficiently compute buckling loads for panel zones.
- The impact of the skew angle on the buckling stress for skew plates under biaxial stress was determined to be insignificant. Based on this insight, the buckling stress correlation function for rectangular plates under biaxial stress, as proposed by Timoshenko, is applicable for estimating the buckling stress of skew plates.
- Panel zones in steel structures are subject to biaxial compressive stresses and experience a combination of stress states, including shear and bending. Leveraging the insights from this study in conjunction with analyses of additional stress states will contribute significantly to the effective and rational design of panel zones in the future.
Author Contributions
Funding
Data Availability Statement
Conflicts of Interest
References
- Architectural Institute of Japan (AIJ). AIJ Recommendations for Design of Connections in Steel Structures; Architectural Institute of Japan: Tokyo, Japan, 2021; pp. 225–258. [Google Scholar]
- American Institute of Steel Construction (AISC). Seismic Provisions for Structural Steel Buildings; American Institute of Steel Construction: Chicago, IL, USA, 2016; pp. 9.1-103–9.1-105. [Google Scholar]
- Wittrick, W.H. Buckling of oblique plates with clamped edges under uniform shear. Aeronaut. Q. 1954, 5, 39–51. [Google Scholar] [CrossRef]
- Wittrick, W.H. On the buckling of oblique plates in shear: An examination of the critical shear stresses in 45-degree parallelogram plates. Aircr. Eng. Aerosp. Technol. 1956, 28, 25–27. [Google Scholar] [CrossRef]
- Iguchi, S. Eine Lösung für die Berechnung der biegsamen rechteckigen Platten. In Report Julius; Springer: Berlin, Germany, 1933. [Google Scholar] [CrossRef]
- Cook, I.T.; Rockey, K.C. Shear buckling of clamped and simply-supported infinitely long plates reinforced by transverse stiffeners. Aeronaut. Q. 1962, 13, 41–70. [Google Scholar] [CrossRef]
- Cook, I.T.; Rockey, K.C. Shear buckling of rectangular plates with mixed boundary conditions. Aeronaut. Q. 1962, 14, 349–356. [Google Scholar] [CrossRef]
- Ikarashi, K.; Utsuki, Y.; Mitsui, K. Elastic Shear buckling strength of L-shaped beam-to-column joint panels composed with I-shaped members. J. Struct. Constr. Eng. 2020, 85, 759–769. (in Japanese). [Google Scholar] [CrossRef]
- Ikarashi, K.; Utsuki, Y.; Mitsui, K.; Makino, Y.; Yamada, K. Evaluation Method of Ultimate Strength for L-shaped Beam-to-column Joint Panels Composed with I-shaped Members. J. Struct. Constr. Eng. 2020, 85, 1079–1089. (in Japanese). [Google Scholar] [CrossRef]
- Mitsui, K.; Ikarashi, K. Elastic shear buckling coefficients for oblique plates. Math. Probl. Eng. 2022, 2022, 9532380. [Google Scholar] [CrossRef]
- Timoshenko, S.P.; Gere, J.M. Theory of Elastic Stability, 2nd ed.; McGraw-Hill Book Co., Inc.: New York, NY, USA, 1959; pp. 319–439. [Google Scholar]
- Araghi, S.N.; Shanmugam, N.E. Strength of biaxially loaded orthotropic plates. Thin-Walled Struct. 2012, 53, 40–47. [Google Scholar] [CrossRef]
- Wang, X.; Wang, Y. Buckling analysis of thin rectangular plates under uniaxial or biaxial compressive point loads by the differential quadrature method. Int. J. Mech. Sci. 2015, 101, 38–48. [Google Scholar] [CrossRef]
- Wittrick, W.H. Buckling of oblique plates with clamped edges under uniform compression. Aeronaut. Q. 1953, 4, 151–163. [Google Scholar] [CrossRef]
- Durvasula, S. Buckling of Simply Supported Skew Plates. J. Eng. Mech. 1971, 97, 967–979. [Google Scholar] [CrossRef]
- Kennedy, J.B.; Prabhakara, M.K. Buckling of simply supported orthotropic skew plates. Aeronaut. Q. 1978, 29, 161–174. [Google Scholar] [CrossRef]
- Mizusawa, T.; Kajita, T.; Naruoka, M. Analysis of skew plate problems with various constraints. J. Sound Vib. 1980, 73, 575–584. [Google Scholar] [CrossRef]
- Mizusawa, T.; Leonard, J.W. Vibration and buckling of plates with mixed boundary conditions. Eng. Strct. 1990, 12, 285–290. [Google Scholar] [CrossRef]
- Yoshimura, Y.; Iwata, K. Buckling of simply supported oblique plates. J. Appl. Mech. 1963, 30, 363–366. [Google Scholar] [CrossRef]
- Ashton, J.E. Stability of clamped skew plates under combined loads. J. Appl. Mech. 1969, 36, 139–140. [Google Scholar] [CrossRef]
- Mishra, B.B.; Kumar, A.; Samui, P.; Roshni, T. Buckling of laminated composite skew plate using FEM and machine learning methods. Eng. Comput. 2021, 38, 501–528. [Google Scholar] [CrossRef]
- MSC Software: Marc 2022 Feature Pack 1, Volume A: Theory and User Information; MSC Software: Newport Beach, CA, USA, 2023.
- MSC Software: Marc 2022 Feature Pack 1, Volume B: Element Library; MSC Software: Newport Beach, CA, USA, 2023.
- Anderson, R.A. Charts giving Critical Compressive Stress of Continuous Flat Sheet Divided into Parallelogram-shaped Panels. In National Advisory Committee for Aeronautics (NACA); Langley Aeronautical Laboratory: Washington, DC, USA, 1951. [Google Scholar]
- Architectural Institute of Japan (AIJ). Recommendations for Stability Design of Steel Structures; Architectural Institute of Japan: Tokyo, Japan, 2018; pp. 180–228. [Google Scholar]










| Stress Directions | Boundary Conditions | Aspect Ratio a/b | |||||
|---|---|---|---|---|---|---|---|
| 0.5 | 1.0 | 1.5 | 2.0 | 3.0 | |||
| σcr,x | Pinned | Present study | 8.82 | 4.64 | 4.91 | 4.38 | 4.27 |
| FEA | 8.35 | 4.33 | 4.66 | 4.18 | 4.05 | ||
| Durvasula [15] | 7.80 | 4.81 | 4.78 | 4.52 | – | ||
| Kennedy [16] | 7.20 | 4.15 | 4.19 | 3.90 | – | ||
| Anderson [24] | 9.60 | 6.62 | 6.26 | 5.21 | – | ||
| Clamped | Present study | 29.22 | 10.45 | 8.85 | 8.09 | 7.42 | |
| FEA | 25.95 | 10.39 | 8.53 | 7.99 | 7.21 | ||
| Wittrick [14] | – | 10.23 | – | – | – | ||
| σcr,y | Pinned | Present study | 16.82 | 4.36 | 2.28 | 1.66 | 1.27 |
| FEA | 16.87 | 4.13 | 2.16 | 1.59 | 1.24 | ||
| Durvasula [15] | 13.80 | 4.00 | 1.98 | 1.51 | – | ||
| Kennedy [16] | 12.53 | 3.07 | 1.76 | 1.40 | – | ||
| Clamped | Present study | 38.28 | 11.41 | 6.19 | 4.96 | 4.33 | |
| FEA | 35.11 | 10.84 | 6.00 | 4.85 | 4.25 | ||
Disclaimer/Publisher’s Note: The statements, opinions and data contained in all publications are solely those of the individual author(s) and contributor(s) and not of MDPI and/or the editor(s). MDPI and/or the editor(s) disclaim responsibility for any injury to people or property resulting from any ideas, methods, instructions or products referred to in the content. |
© 2024 by the authors. Licensee MDPI, Basel, Switzerland. This article is an open access article distributed under the terms and conditions of the Creative Commons Attribution (CC BY) license (https://creativecommons.org/licenses/by/4.0/).
Share and Cite
Mitsui, K.; Ikarashi, K.; Sada, K. Elastic Critical Buckling Coefficients for Skew Plates of Steel Structures under Biaxial Normal Stress. Buildings 2024, 14, 901. https://doi.org/10.3390/buildings14040901
Mitsui K, Ikarashi K, Sada K. Elastic Critical Buckling Coefficients for Skew Plates of Steel Structures under Biaxial Normal Stress. Buildings. 2024; 14(4):901. https://doi.org/10.3390/buildings14040901
Chicago/Turabian StyleMitsui, Kazuya, Kikuo Ikarashi, and Keiichiro Sada. 2024. "Elastic Critical Buckling Coefficients for Skew Plates of Steel Structures under Biaxial Normal Stress" Buildings 14, no. 4: 901. https://doi.org/10.3390/buildings14040901
APA StyleMitsui, K., Ikarashi, K., & Sada, K. (2024). Elastic Critical Buckling Coefficients for Skew Plates of Steel Structures under Biaxial Normal Stress. Buildings, 14(4), 901. https://doi.org/10.3390/buildings14040901

