Promoting the Sustainable Development of Power Construction Projects through Stakeholder Participant Mechanisms: An Evolutionary Game Analysis
Abstract
1. Introduction
- (1)
- What are the factors that influence the behavioral strategy choices of critical stakeholders in the sustainable development of PCPs?
- (2)
- What are the interactions of critical stakeholders and the steady state of the system guided by different participation mechanisms in the sustainable development of PCPs?
- (3)
- What are the mechanisms for the sustainable development of PCPs in different development stages?
2. Literature Review
2.1. Sustainable Development of PCPs
2.2. Critical Stakeholders in the Sustainable Development of PCPs
2.3. Evolutionary Game Theory
2.4. Research Gaps
- (1)
- In terms of studies on the sustainable development of PCPs. It is important to note that the sustainability process of PCPs is dynamic and multi-stage, and the roles played by stakeholders change. However, there is still a research gap regarding the changes in the behavioral strategy choices of stakeholders at different stages of development of PCPs and the interaction mechanisms.
- (2)
- From the perspective of critical stakeholders in the sustainable development of PCPs. In the context of the new era and new challenges, the mechanisms for stakeholder participation are changing. It is worth noting that the role of public influence has become increasingly prominent. Therefore, there is an urgent need for a comprehensive study of PCPs under market-led and collaboration participant mechanisms.
- (3)
- Regarding the research methodology. Evolutionary game theory provides ideas for research that addresses the sustainability of construction projects. However, studies exploring the impact of different factor changes on the behavioral strategies of stakeholders mostly focus on a certain stage or subject. PCPs are multi-party collaborative projects that need to be assessed based on parametric sensitivity analysis from a multi-participant, multi-stage perspective.
3. Materials and Methods
3.1. Model Assumptions
3.2. Model Establishment
= −xP − zD − C2 + B2
= xyE2 + yI − C4 + B4 − I)
3.3. Analysis of ESS
4. Numerical Simulations
4.1. Dynamic Evolutionary Trajectories and Parameter Sensitivity Analysis in the Initial Stage
4.1.1. Dynamic Evolutionary Trajectories in the Initial Stage
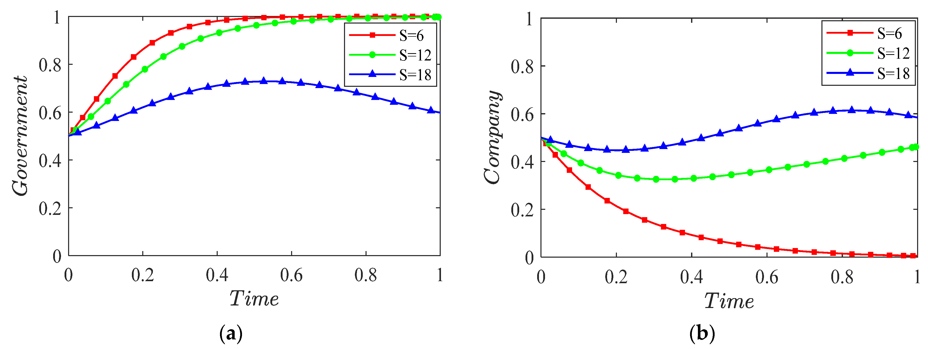
4.1.2. Parameter Sensitivity Analysis in the Initial Stage
4.2. Dynamic Evolutionary Trajectories and Parameter Sensitivity Analysis in the Development Stage of PCP
4.2.1. Dynamic Evolutionary Trajectories in the Development Stage
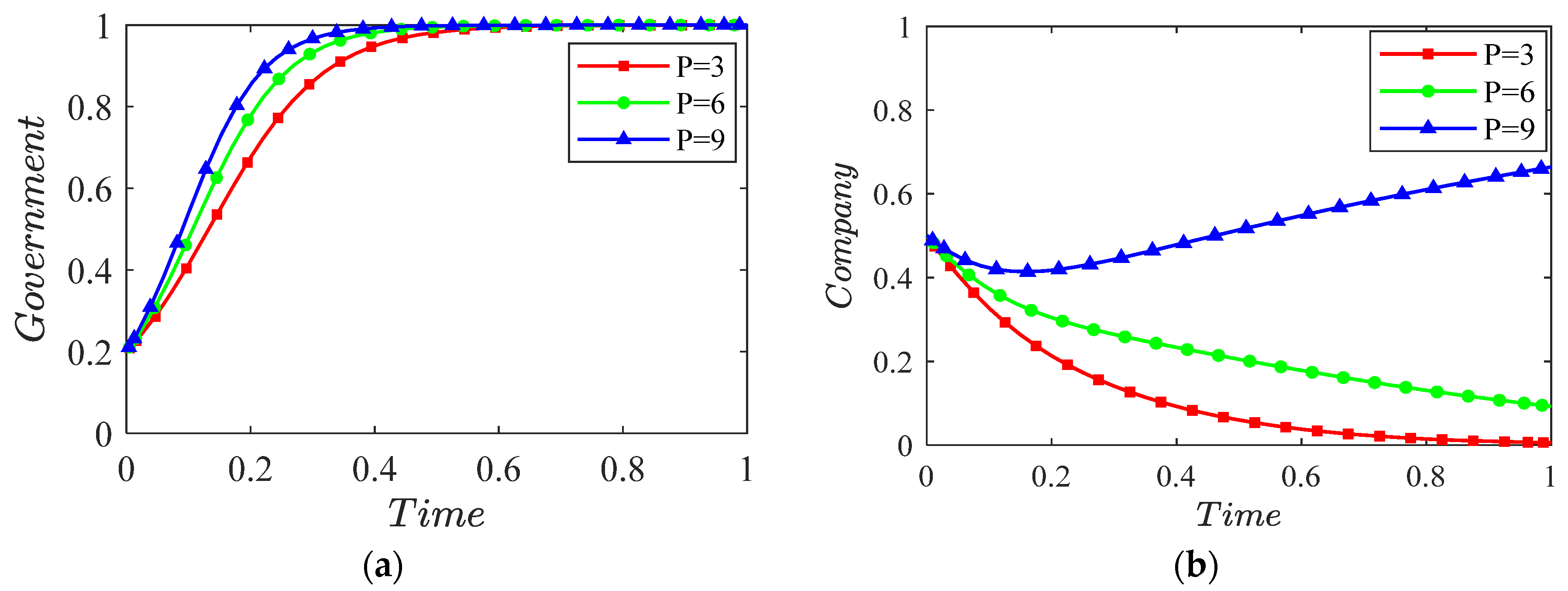
4.2.2. Parameter Sensitivity Analysis in the Development Stage
4.3. Dynamic Evolutionary Trajectories and Parameter Sensitivity Analysis in the Mature Stage
4.3.1. Dynamic Evolutionary Trajectories in the Mature Stage
4.3.2. Parameter Sensitivity Analysis in the Mature Stage
5. Discussion
Sustainable Development Mechanism for PCPs
6. Conclusions
Author Contributions
Funding
Data Availability Statement
Conflicts of Interest
References
- Guo, H.Y.; Davidson, M.R.; Chen, Q.X.; Zhang, D.; Jiang, N.; Xia, Q.; Kang, C.Q.; Zhang, X.L. Power Market Reform in China: Motivations, Progress, and Recommendations. Energy Policy 2020, 145, 111717. [Google Scholar] [CrossRef]
- Davidson, M.R.; Pérez-Arriaga, I. Avoiding Pitfalls in China’s Electricity Sector Reforms. Energy J. 2020, 41, 119–141. [Google Scholar] [CrossRef]
- Zhu, L.; He, L.C.; Shang, P.P.; Zhang, Y.C.; Ma, X.J. Influencing Factors and Scenario Forecasts of Carbon Emissions of the Chinese Power Industry: Based on a Generalized Divisia Index Model and Monte Carlo Simulation. Energies 2018, 11, 2398. [Google Scholar] [CrossRef]
- Yang, X.Y.; Guo, X.P.; Li, Y.; Yang, K. Heterogeneous Impacts of Multi-Energy Power Generation on Carbon Emissions: Evidence from China’s Provincial Data. Environ. Sci. Pollut. Res. 2023, 30, 35334–35351. [Google Scholar] [CrossRef] [PubMed]
- Wang, W.L.; Li, B.; Yao, X.; Lyu, J.F.; Ni, W.D. Air Pollutant Control and Strategy in Coal-Fired Power Industry for Promotion of China’s Emission Reduction. Front. Energy 2019, 13, 307–316. [Google Scholar] [CrossRef]
- Wang, Y.; Su, X.L.; Qi, L.; Shang, P.P.; Xu, Y.H. Feasibility of Peaking Carbon Emissions of the Power Sector in China’s Eight Regions: Decomposition, Decoupling, and Prediction Analysis. Environ. Sci. Pollut. Res. 2019, 26, 29212–29233. [Google Scholar] [CrossRef] [PubMed]
- Tao, Y.; Wen, Z.G.; Xu, L.N.; Zhang, X.; Tan, Q.L.; Li, H.F.; Evans, S. Technology Options: Can Chinese Power Industry Reach the Co2 Emission Peak before 2030? Resour. Conserv. Recycl. 2019, 147, 85–94. [Google Scholar] [CrossRef]
- Lin, J.; Kahrl, F.; Yuan, J.H.; Chen, Q.X.; Liu, X. Economic and Carbon Emission Impacts of Electricity Market Transition in China: A Case Study of Guangdong Province. Appl. Energy 2019, 238, 1093–1107. [Google Scholar] [CrossRef]
- Lin, K.C.; Purra, M.M. Transforming China’s Electricity Sector: Politics of Institutional Change and Regulation. Energy Policy 2019, 124, 401–410. [Google Scholar] [CrossRef]
- Huang, H.; Liang, D.P.; Liang, L.; Tong, Z. Research on China’s Power Sustainable Transition under Progressively Levelized Power Generation Cost Based on a Dynamic Integrated Generation-Transmission Planning Model. Sustainability 2019, 11, 2288. [Google Scholar] [CrossRef]
- Shan, H.Y.; Yang, J.L. Sustainability of Photovoltaic Poverty Alleviation in China: An Evolutionary Game between Stakeholders. Energy 2019, 181, 264–280. [Google Scholar] [CrossRef]
- Rahman, S.M.; Spalding-Fecher, R.; Haites, E.; Kirkman, G.A. The Levelized Costs of Electricity Generation by the Cdm Power Projects. Energy 2018, 148, 235–246. [Google Scholar] [CrossRef]
- Wozniak, M.; Badora, A.; Kud, K.; Wozniak, L. Renewable Energy Sources as the Future of the Energy Sector and Climate in Poland-Truth or Myth in the Opinion of the Society. Energies 2022, 15, 45. [Google Scholar] [CrossRef]
- LaPatin, M.; Spearing, L.A.; Tiedmann, H.R.; Hacker, M.; Kavvada, O.; Daniélou, J.; Faust, K.M. Controversy in Wind Energy Construction Projects: How Social Systems Impact Project Performance. Energy Policy 2023, 176, 113507. [Google Scholar] [CrossRef]
- Zeng, Y.; Chen, W.D. The Determination of Concession Period for Build-Operate-Transfer Solar Photovoltaic Power Project under Policy Incentives: A Case Study of China. Energies 2019, 12, 3520. [Google Scholar] [CrossRef]
- Li, J.Y.; Li, S.S.; Wu, F. Research on Carbon Emission Reduction Benefit of Wind Power Project Based on Life Cycle Assessment Theory. Renew. Energy 2020, 155, 456–468. [Google Scholar] [CrossRef]
- Ali, S.; Yan, Q.Y.; Hussain, M.S.; Irfan, M.; Ahmad, M.; Razzaq, A.; Dagar, V.; Isik, C. Evaluating Green Technology Strategies for the Sustainable Development of Solar Power Projects: Evidence from Pakistan. Sustainability 2021, 13, 12997. [Google Scholar] [CrossRef]
- Irfan, M.; Hao, Y.; Panjwani, M.K.; Khan, D.; Chandio, A.A.; Li, H. Competitive Assessment of South Asia’s Wind Power Industry: Swot Analysis and Value Chain Combined Model. Energy Strateg. Rev. 2020, 32, 100540. [Google Scholar] [CrossRef]
- Xu, L.; Tang, S.Y.; Deng, Y.F.; Yuan, Y. Sustainable Operation-Oriented Investment Risk Evaluation and Optimization for Renewable Energy Project: A Case Study of Wind Power in China. Ann. Oper. Res. 2020, 290, 223–241. [Google Scholar]
- Jin, J.L.; Zhou, P.; Li, C.Y.; Guo, X.J.; Zhang, M.M. Low-Carbon Power Dispatch with Wind Power Based on Carbon Trading Mechanism. Energy 2019, 170, 250–260. [Google Scholar] [CrossRef]
- Qiu, T.Z.; Wang, L.C.; Lu, Y.B.; Zhang, M.; Qin, W.M.; Wang, S.Q.; Wang, L.Z. Potential Assessment of Photovoltaic Power Generation in China. Renew. Sustain. Energy Rev. 2022, 154, 111900. [Google Scholar] [CrossRef]
- Wüstemeyer, C.; Madlener, R.; Bunn, D.W. A Stakeholder Analysis of Divergent Supply-Chain Trends for the European Onshore and Offshore Wind Installations. Energy Policy 2015, 80, 36–44. [Google Scholar] [CrossRef]
- Batool, K.; Zhao, Z.Y.; Irfan, M.; Ullah, S.; Isik, C. Assessing the Competitiveness of Indian Solar Power Industry Using the Extended Five Forces Model: A Green Innovation Perspective. Environ. Sci. Pollut. Res. 2023, 30, 82045–82067. [Google Scholar] [CrossRef] [PubMed]
- Olczak, M.; Piebalgs, A.; Balcombe, P. Methane Regulation in the Eu: Stakeholder Perspectives on Mrv and Emissions Reductions. Environ. Sci. Policy 2022, 137, 314–322. [Google Scholar] [CrossRef]
- Wojewnik-Filipkowska, A.; Wegrzyn, J. Understanding of Public-Private Partnership Stakeholders as a Condition of Sustainable Development. Sustainability 2019, 11, 1194. [Google Scholar] [CrossRef]
- Zhu, J.A.; Lin, H.X.; Yang, X.Y.; Yang, X.H.; Jiang, P.; Del Valle, T.M. Social Network Relationships between Biomass Industry Stakeholders in the Agricultural Waste Power Generation Industry-a Case of Northern Jiangsu, China. Sustainability 2022, 14, 571. [Google Scholar] [CrossRef]
- Martin, L.; Benson, L. Relationship Quality in Construction Projects: A Subcontractor Perspective of Principal Contractor Relationships. Int. J. Proj. Manag. 2021, 39, 633–645. [Google Scholar] [CrossRef]
- Afelete, E.; Jung, W. Causes of Design Change Depending on Power Project-Types in Ghana. Energies 2021, 14, 6871. [Google Scholar] [CrossRef]
- Ismaila, U.; Jung, W.; Park, C.Y. Delay Causes and Types in Nigerian Power Construction Projects. Energies 2022, 15, 814. [Google Scholar] [CrossRef]
- Gao, L.; Zhao, Z.Y. The Evolutionary Game of Stakeholders’ Coordination Mechanism of New Energy Power Construction Ppp Project: A China Case. Sustainability 2020, 12, 1045. [Google Scholar] [CrossRef]
- Weng, X.J.; Yuan, C.H.; Hu, Q.H.; Xu, Y.H. Evolutionary Game and Simulation Analysis on Quality Supervision of Low-Carbon Renovation of High-Carbon Emission Enterprises under the Reward and Punishment Mechanism. Front. Environ. Sci. 2023, 11, 1126275. [Google Scholar] [CrossRef]
- Spyridonidou, S.; Sismani, G.; Loukogeorgaki, E.; Vagiona, D.G.; Ulanovsky, H.; Madar, D. Sustainable Spatial Energy Planning of Large-Scale Wind and Pv Farms in Israel: A Collaborative and Participatory Planning Approach. Energies 2021, 14, 551. [Google Scholar] [CrossRef]
- Jami, A.A.N.; Walsh, P.R. The Role of Public Participation in Identifying Stakeholder Synergies in Wind Power Project Development: The Case Study of Ontario, Canada. Renew. Energy 2014, 68, 194–202. [Google Scholar] [CrossRef]
- Gonzalez-Rodriguez, A.G.; Serrano-Gonzalez, J.; Burgos-Payan, M.; Riquelme-Santos, J. Multi-Objective Optimization of a Uniformly Distributed Offshore Wind Farm Considering Both Economic Factors and Visual Impact. Sustain. Energy Technol. Assess. 2022, 52, 102148. [Google Scholar] [CrossRef]
- Ninan, J.; Mahalingam, A.; Clegg, S. Power in News Media: Framing Strategies and Effects in Infrastructure Projects. Int. J. Proj. Manag. 2022, 40, 28–39. [Google Scholar] [CrossRef]
- Wang, G.; Chao, Y.C.; Cao, Y.; Jiang, T.L.; Han, W.; Chen, Z.S. A Comprehensive Review of Research Works Based on Evolutionary Game Theory for Sustainable Energy Development. Energy Rep. 2022, 8, 114–136. [Google Scholar] [CrossRef]
- Yuan, M.Q.; Li, Z.F.; Li, X.D.; Li, L.; Zhang, S.X.; Luo, X.W. How to Promote the Sustainable Development of Prefabricated Residential Buildings in China: A Tripartite Evolutionary Game Analysis. J. Clean. Prod. 2022, 349, 131423. [Google Scholar] [CrossRef]
- Yang, K.; Wang, W.; Xiong, W. Promoting the Sustainable Development of Infrastructure Projects through Responsible Innovation: An Evolutionary Game Analysis. Util. Policy 2021, 70, 101196. [Google Scholar] [CrossRef]
- Feng, Q.; Chen, H.; Shi, X.J.; Wei, J. Stakeholder Games in the Evolution and Development of Green Buildings in China: Government-Led Perspective. J. Clean. Prod. 2020, 275, 122895. [Google Scholar] [CrossRef]
- Zhu, J.; Fang, M.; Shi, Q.; Wang, P.; Li, Q. Contractor Cooperation Mechanism and Evolution of the Green Supply Chain in Mega Projects. Sustainability 2018, 10, 4306. [Google Scholar] [CrossRef]
- Hertwich, E.G.; Gibon, T.; Bouman, E.A.; Arvesen, A.; Suh, S.; Heath, G.A.; Bergesen, J.D.; Ramirez, A.; Vega, M.I.; Shi, L. Integrated Life-Cycle Assessment of Electricity-Supply Scenarios Confirms Global Environmental Benefit of Low-Carbon Technologies. Proc. Natl. Acad. Sci. USA 2015, 112, 6277–6282. [Google Scholar] [CrossRef]
- Pehl, M.; Arvesen, A.; Humpenöder, F.; Popp, A.; Hertwich, E.G.; Luderer, G. Understanding Future Emissions from Low-Carbon Power Systems by Integration of Life-Cycle Assessment and Integrated Energy Modelling. Nat. Energy 2017, 2, 939–945. [Google Scholar] [CrossRef]
- Dong, F.G.; Shi, L.; Ding, X.H.; Li, Y.; Shi, Y.P. Study on China’s Renewable Energy Policy Reform and Improved Design of Renewable Portfolio Standard. Energies 2019, 12, 2147. [Google Scholar] [CrossRef]
- Wang, W.K.; You, X.Q.; Liu, K.B.; Wu, Y.J.; You, D.M. Implementation of a Multi-Agent Carbon Emission Reduction Strategy under the Chinese Dual Governance System: An Evolutionary Game Theoretical Approach. Int. J. Environ. Res. Public Health 2020, 17, 8463. [Google Scholar] [CrossRef]
- Luo, P.F.; Tang, X.; Dou, X.M.; Liu, S.Z.; Ren, K.P.; Jiang, Y.Q.; Yang, Z.Q.; Ding, Y.; Li, M.Q. Uncovering the Socioeconomic Impacts of China’s Power System Decarbonization. Environ. Impact Assess. Rev. 2023, 99, 107015. [Google Scholar] [CrossRef]
- Xia, C.Y.; Ye, B.; Jiang, J.J.; Shu, Y.T. Prospect of near-Zero-Emission Igcc Power Plants to Decarbonize Coal-Fired Power Generation in China: Implications from the Greengen Project. J. Clean. Prod. 2020, 271, 122615. [Google Scholar] [CrossRef]
- Lu, J.T.; Rong, D.; Lev, B.; Liang, M.S.; Zhang, C.; Gao, Y.Y. Constraints Affecting the Promotion of Waste Incineration Power Generation Project in China: A Perspective of Improved Technology Acceptance Model. Technol. Forecast. Soc. Chang. 2023, 186, 122165. [Google Scholar] [CrossRef]
- Cui, H.R.; Zhao, T.; Wu, R.R. CO2 Emissions from China’s Power Industry: Policy Implications from Both Macro and Micro Perspectives. J. Clean. Prod. 2018, 200, 746–755. [Google Scholar] [CrossRef]
- He, Y.; Xing, Y.T.; Zeng, X.C.; Ji, Y.J.; Hou, H.M.; Zhang, Y.; Zhu, Z. Factors Influencing Carbon Emissions from China’s Electricity Industry: Analysis Using the Combination of Lmdi and K-Means Clustering. Environ. Impact Assess. Rev. 2022, 93, 106724. [Google Scholar] [CrossRef]
- Zhang, M.Z.; Lv, T.; Zhao, Y.; Pan, J.J. Effectiveness of Clean Development Policies on Coal-Fired Power Generation: An Empirical Study in China. Environ. Sci. Pollut. Res. 2020, 27, 14654–14667. [Google Scholar] [CrossRef] [PubMed]
- Lyapunov, A.M. The General Problem of the Stability of Motion. Int. J. Control 1992, 55, 531–773. [Google Scholar] [CrossRef]
- Zhang, L.L.; Long, R.Y.; Huang, Z.; Li, W.B.; Wei, J. Evolutionary Game Analysis on the Implementation of Subsidy Policy for Sustainable Transportation Development. J. Clean. Prod. 2020, 267, 122159. [Google Scholar] [CrossRef]














| Parameters | Descriptions | References | 
|---|---|---|
| C1 | Input costs for the Government to implement rigorous supervision strategies. | [7,48] | 
| B1 | Benefits for the Government to implement rigorous supervision strategies. | |
| S | Government subsidies for power grid companies to select low-carbon construction programs. | [43,44] | 
| P | Government-imposed penalties for power grid companies failing to fulfil low-carbon mandates. | [15,44] | 
| L | Loss of credibility resulting from government’s lax supervision strategies when the public actively participates. | [13] | 
| G | Cost of environmental governance to government when power grid companies fail to fulfil low-carbon mandates. | [15,45] | 
| C2 | Input costs for power grid companies to implement traditional construction programs. | [49] | 
| B2 | Benefits for power grid companies implementing traditional construction programs. | |
| C3 | Input extra costs for power grid companies to implement low-carbon construction programs. | [7,12,48] | 
| B3 | Extra benefits for power grid companies implementing low-carbon construction programs. | |
| E1 | Environmental benefits to government when power grid companies implement low-carbon construction programs. | [45] | 
| V | Value-added branding generated by power grid companies implementing low-carbon construction programs. | [9,14] | 
| D | Devaluation of the brand image caused by the failure of power grid companies to fulfil low-carbon mandates. | |
| C4 | Opportunity costs of public positive participation in PCPs. | [35,47] | 
| B4 | Benefits from positive public participation in PCPs. | |
| E2 | Extra benefits to the public when low carbon policy measures are adopted by both government and power grid companies. | [16,46] | 
| I | The loss to the public of the failure of power grid companies to fulfil low-carbon mandates. | [4,16,50] | 
| Strategy Choice | Government | Power Grid Company | Public | 
|---|---|---|---|
| (RS, LCP, PP) | −C1 + B1 − S + E1 | −C2 − C3 + B2 + B3 + S + V | −C4 + B4 + E2 | 
| (RS, LCP, NP) | −C1 + B1 − S + E1 | −C2 − C3 + B2 + B3 + S + V | 0 | 
| (LS, LCP, PP) | E1 − L | −C2 − C3 + B2 + B3 + V | −C4 + B4 | 
| (LS, LCP, NP) | E1 | −C2 − C3 + B2 + B3 + V | 0 | 
| (RS, TCP, PP) | −C1 + B1 + P − G | −C2 + B2 − P − D | −C4 + B4 − I | 
| (RS, TCP, NP) | −C1 + B1 + P − G | −C2 + B2 − P | −I | 
| (LS, TCP, PP) | −G − L | −C2 + B2 − D | −C4 + B4 − I | 
| (LS, TCP, NP) | −G | −C2 + B2 | −I | 
| Equilibrium Points | Eigenvalues | Conditions | ||
|---|---|---|---|---|
| λ1 | λ2 | λ3 | ||
| e1(0, 0, 0) | B1 − C1 + P | B3 − C3 | B4 − C4 | λ1 < 0, λ2 < 0, λ3 < 0 | 
| e2(1, 0, 0) | −B1 + C1 − P | B3 − C3 + P + S | B4 − C4 | λ1 < 0, λ2 < 0, λ3 < 0 | 
| e3(0, 1, 0) | B1 − C1 − S | C3 − B3 | B4 − C4 | λ1 < 0, λ2 < 0, λ3 < 0 | 
| e4(0, 0, 1) | B1 − C1 + L + P | B3 − C3 + D | C4 − B4 | λ1 < 0, λ2 < 0, λ3 < 0 | 
| e5(1, 1, 0) | C1 − B1 + S | C3 − B3 − P − S | B4 − C4 + E2 | λ1 < 0, λ2 < 0, λ3 < 0 | 
| e6(0, 1, 1) | B1 − C1 + L − S | C3 − B3 − D | C4 − B4 | λ1 < 0, λ2 < 0, λ3 < 0 | 
| e7(1, 0, 1) | C1 − B1 − L − P | C3 − B3 + D + P + S | C4 − B4 | λ1 < 0, λ2 < 0, λ3 < 0 | 
| e8(1, 1, 1) | C1 − B1 − L + S | C3 − B3 − D − P − S | C4 − B4 − E2 | λ1 < 0, λ2 < 0, λ3 < 0 | 
| Parameters | C1 | B1 | S | P | L | G | C2 | B2 | C3 | B3 | E1 | V | D | C4 | B4 | E2 | I | 
|---|---|---|---|---|---|---|---|---|---|---|---|---|---|---|---|---|---|
| Initial Stage | 12 | 20 | 6 | 3 | 3 | 4 | 10 | 15 | 20 | 6 | 5 | 4 | 3 | 8 | 3 | 4 | 2 | 
| Development Stage | 12 | 20 | 8 | 3 | 4 | 4 | 10 | 15 | 10 | 6 | 5 | 4 | 4 | 6 | 9 | 5 | 2 | 
| Mature Stage | 12 | 10 | 7 | 3 | 3 | 4 | 10 | 15 | 5 | 6 | 5 | 4 | 4 | 4 | 12 | 5 | 2 | 
| Disclaimer/Publisher’s Note: The statements, opinions and data contained in all publications are solely those of the individual author(s) and contributor(s) and not of MDPI and/or the editor(s). MDPI and/or the editor(s) disclaim responsibility for any injury to people or property resulting from any ideas, methods, instructions or products referred to in the content. | 
© 2024 by the authors. Licensee MDPI, Basel, Switzerland. This article is an open access article distributed under the terms and conditions of the Creative Commons Attribution (CC BY) license (https://creativecommons.org/licenses/by/4.0/).
Share and Cite
Li, L.; Song, K.; Zhu, R.; Zhang, O.; Jiang, X. Promoting the Sustainable Development of Power Construction Projects through Stakeholder Participant Mechanisms: An Evolutionary Game Analysis. Buildings 2024, 14, 663. https://doi.org/10.3390/buildings14030663
Li L, Song K, Zhu R, Zhang O, Jiang X. Promoting the Sustainable Development of Power Construction Projects through Stakeholder Participant Mechanisms: An Evolutionary Game Analysis. Buildings. 2024; 14(3):663. https://doi.org/10.3390/buildings14030663
Chicago/Turabian StyleLi, Lihong, Kun Song, Rui Zhu, Ou Zhang, and Xue Jiang. 2024. "Promoting the Sustainable Development of Power Construction Projects through Stakeholder Participant Mechanisms: An Evolutionary Game Analysis" Buildings 14, no. 3: 663. https://doi.org/10.3390/buildings14030663
APA StyleLi, L., Song, K., Zhu, R., Zhang, O., & Jiang, X. (2024). Promoting the Sustainable Development of Power Construction Projects through Stakeholder Participant Mechanisms: An Evolutionary Game Analysis. Buildings, 14(3), 663. https://doi.org/10.3390/buildings14030663
 
        

 
       