Next Article in Journal
Elastoplastic Solution for Tunnel Composite Support Structures Based on Mohr–Coulomb Criterion
Next Article in Special Issue
Statistical Evaluation of Uniform Temperature and Thermal Gradients for Composite Girder of Tibet Region Using Meteorological Data
Previous Article in Journal
Experimental Study on the Bending Mechanical Properties of Socket-Type Concrete Pipe Joints
Previous Article in Special Issue
Effect of Preload on Box-Section Steel Columns Filled with Concrete under Axial Load: A Numerical Study
 
 
Font Type:
Arial Georgia Verdana
Font Size:
Aa Aa Aa
Line Spacing:
Column Width:
Background:
Article

A Framework for Evaluating the Reasonable Internal Force State of the Cable-Stayed Bridge Without Backstays

1
Xiamen Company of China First Highway Engineering Co., Ltd., Xiamen 361000, China
2
Hainan Jiaotou Huandao Tourism Highway Investment and Development Co., Ltd., Haikou 570203, China
3
Guangdong Province Nanyue Transportation Lianying Highway Administration, Qingyuan 513047, China
4
School of Highway, Chang’an University, Xi’an 710064, China
*
Author to whom correspondence should be addressed.
Buildings 2024, 14(11), 3656; https://doi.org/10.3390/buildings14113656
Submission received: 10 October 2024 / Revised: 13 November 2024 / Accepted: 15 November 2024 / Published: 17 November 2024
(This article belongs to the Special Issue Advances in Steel–Concrete Composite Structures)

Abstract

The synchronous construction of the pylon and cables of a cable-stayed bridge without backstays has the characteristics of a short construction period and reduced support costs. However, it also increases the difficulty of construction control, making the reasonable completion state of the bridge more complex. To investigate the impact of various load parameters on the structural state of a cable-stayed bridge without backstays during the synchronous construction process, and to ensure a rational final bridge state, this study proposes an assessment framework for evaluating the internal forces of the bridge. The framework initially uses the response surface method to establish explicit equations relating the control indicators of the bridge’s final state to various load parameters. Subsequently, through sensitivity analysis, the degree of influence of each load parameter on the structural response of the cable-stayed bridge without backstays is examined. The most sensitive factors are identified to create a bridge parameter influence library, which helps reduce computational costs. Based on this, a method for controlling construction errors and predicting cable forces is proposed. This method utilizes the pre-established bridge parameter influence library, combined with the internal force state of the bridge at the current construction stage, to accurately predict the tension force of the stay cables in the subsequent stage, thereby ensuring a rational final bridge state. The framework is ultimately validated through a case study of the Longgun River Bridge to assess its rationality and effectiveness.

1. Introduction

The cable-stayed bridge without backstays balances the dead load and live load through the tilting of the pylon. Its innovative structure and elegant design often make it a landmark in the region once completed [1]. At the same time, in pursuit of innovation and aesthetics, the design and construction methods of cable-stayed bridges without backstays are continuously innovating and developing. Due to the ability of the synchronous construction method of pylon and cables to avoid the influence of geological conditions and improve construction efficiency, it has gradually become one of the main construction methods. However, its complex construction process significantly affects the internal force state of the bridge due to changes in structural parameters. If the construction errors during the process are not accurately managed, deviations will occur between the actual bridge state and the ideal design state, which will affect the safe operation of the bridge [2].
Compared to traditional cable-stayed bridges, the cable-stayed bridge without backstays exhibits significant differences in mechanical performance and force transmission paths. On the one hand, because there are no back cables, there are both vertical and horizontal forces, resulting in more complex stresses at the pylon root, as it must endure the combined effects of axial forces, shear forces, bending moments, and girder torsion [3,4]. On the other hand, the pylon is highly sensitive to live loads, which causes the front side of the pylon to be compressed and the back side to be pulled [5]. Under this condition, over time, various safety risks appear in the bridge, such as fatigue of the cables, concrete shrinkage and creep, and settlement and displacement of the supports [6,7,8,9]. Therefore, properly controlling the internal force state of the bridge during construction is essential for ensuring its long-term operation.
In the past few decades, research has focused on the analysis of parameter sensitivity of cable-stayed bridges without backstays. In 1992, Casas [10] first proposed the monitoring points for the cable-stayed bridge without backstays, noting that an error of 10% in the final weight of the pylon or deck with respect to design could lead to a variation of up to 70% in internal forces. After this, to ensure that the internal forces and deformations of the stay cable bridge structure remain within a safe range during construction, the impact of the variability of structural load parameters on the stress state of the cable-stayed bridge without backstays was explored. During the construction process, scholars analyzed various factors, including the weight of the main girder, tension in the cables, elasticity modulus of the cables, and temporary construction loads, providing numerous control recommendations [11,12,13,14,15]. The methods mentioned above mostly involve pre-construction assessments. However, during the bridge construction process, there are many influencing parameters, and the actual state of the bridge can differ significantly from the theoretical state. Pre-assessments cannot make real-time adjustments based on the construction conditions, which may result in a substantial difference between the final bridge state and the optimal bridge state. In addition, the aforementioned studies conducted sensitivity analyses based solely on single-parameter adjustment methods. This approach involves repeatedly modifying the finite element model to calculate changes in the structural response, which is cumbersome and does not fully reflect actual construction conditions, thus limiting its practical application.
Therefore, this paper presents a novel assessment framework for construction state control to ensure reasonable internal forces in cable-stayed bridges without backstays. This framework can quickly predict the parameters of a specific construction stage during the simultaneous construction of the python and cable of the cable-stayed bridge without backstays, without the need for additional finite element modeling by construction personnel. The assessment framework first uses multi-parameter analysis to identify the main sensitive parameters during construction, establishing these parameters as variables and creating a pre-generated library of bridge parameter influences. Next, based on the measured internal force state and displacement of the bridge at the current construction stage, corresponding constraints are set. Ultimately, the framework outputs construction control instructions that bring the bridge status closer to the expected reasonable completed state.
This paper proposes a novel framework for the assessment of construction state control and applies it to the Longgun River Bridge in Hainan Province, where it rapidly predicts and controls key parameters during the construction process. By using this framework, the rationality of the internal forces and alignment of the bridge is ensured, the need for secondary post-tensioning is avoided, and construction efficiency is significantly improved. The framework proves highly applicable to similar steel–concrete composite structure projects.

2. Bridge Internal Force Assessment Framework

This Section presents how the control assessment framework will be used by construction personnel to control the internal force management during the construction of a cable-stayed bridge without backstay cables, which is due to significant differences in the internal forces of completed bridges caused by various bridge types and construction methods. Therefore, in order to accurately grasp the internal force of the bridge, this method focuses specifically on the steel–concrete composite pylon structure of a cable-stayed bridge and the synchronous construction method of the pylon and cables. At the same time, due to structural differences, parameters such as the dead weight of the main girder, the dead weight of the bridge pylon, and installation errors have varying impacts on the structural state of the bridge during the construction process. Firstly, it is necessary to identify the main sensitive influence parameters during the construction process of the structure, such as stress limits at critical sections, displacement magnitudes, cable forces, and other restrictive constraints specified in the relevant codes and standards. Then, generate the impact of these main sensitive parameters on each construction stage of the bridge to create a parameter influence library specific to the bridge. An in-depth discussion on the establishment of the main sensitive parameters and the parameter influence library for the bridge is provided in later sections.
Figure 1 is a flowchart illustration of how the framework will be used to perform bridge internal force control. The user provides initialization parameters that describe the structural makeup and geometry of the bridge (“Structural” from Figure 1). Data for structural initialization parameters come from as-built design drawings of the bridge of interest. The user needs to determine the parameters in the bridge construction process, and use the internal force state and displacement of the key sections as the output variables to calculate the influence of each parameter on the structure, and form the bridge parameter influence library. Subsequently, construction personnel can match the corresponding construction stages based on the primary sensitivity parameters during the bridge construction process. By incorporating the casting errors and installation errors (“Known errors” from Figure 1) along with the monitored internal force state of the bridge (“Internal force state” from Figure 1), it is possible to seek the optimal construction control errors that ensure the internal force state of the bridge meets the required standards. During the synchronous construction of the pylon and cables for a cable-stayed bridge without backstays, the main girder is first constructed using full framing. Next, the steel box for the bridge pylon is hoisted and concrete is poured inside the pylon. Finally, the cables are tensioned. Therefore, during the construction process of the current stage, some errors (such as the bulk density of the main girder and that of the bridge pylon, the overall temperature, the lifting accuracy, etc.) can be regarded as a determined value. At this point, by combining the pre-tensioned cable force and performing iterative calculations on the structural forces, the ultimate optimal cable tension can be identified to meet the design requirements.

3. Methods of Assessment Framework

During the construction of bridges, various parameters affect the internal force state of the bridge structure differently. Therefore, it is essential to conduct a sensitivity analysis of the structural parameters to identify the critical sensitive parameters and improve analytical efficiency. Sensitivity analysis methods include the single-parameter analysis method and the response surface method, with their respective advantages and disadvantages shown in Table 1. By comparison, it can be concluded that the single-parameter analysis is suitable for simple systems or when the focus is on a specific parameter, whereas the response surface method is more appropriate for comprehensively evaluating the combined effects of multiple parameters. Hence, in this paper, the response surface method is used to systematically analyze the influence of each parameter on the internal force state of the bridge structure, so as to avoid the limitations of the single-parameter method.

3.1. Response Surface Methodology

3.1.1. Basic Principle

The key to the analysis of parameter sensitivity by the response surface method is to establish the relationship between the selected design parameters and the structural response control index. This method approximates the real structural response surface by fitting a quadratic surface based on the finite element analysis results of multiple parameters changing simultaneously. This method is widely applied and demonstrates high solution efficiency, effectively meeting the requirements of practical engineering problems [16,17].
Considering the numerous load parameters studied in this paper, which results in a large number of design variables in the equations, and to enhance computational efficiency, the response surface equation is formulated using a polynomial that includes only linear and quadratic terms of individual design variables, while excluding any quadratic interaction terms between variables, as shown in Equation (1). Therefore, when the number of design parameters is the same, the undetermined factors in the equation are significantly reduced, which in turn decreases the number of samples required to construct the structural response equation.
f X = m + i = 1 n n i X i + i = 1 n c i X i 2
where f(X) represents the objective function; m, ni, and ci are the unknown coefficients; and Xi denotes the design variables.
To further assess the accuracy of the response surface equation, the coefficient of determination (R2) from regression analysis can be used for evaluation. This coefficient indicates how well the response surface approximates the true values, ranging from 0 to 1. A value closer to 1 indicates that the response surface model more accurately reflects the actual situation.
R 2 = 1 i = 1 n f i f i 2 i = 1 n f i f ¯ i 2
where f i , f i , f ¯ i represent the finite element analysis values for each response control index, the values fitted by the response surface model, and the mean of the finite element analysis values, respectively.

3.1.2. Sensitivity Factor

In previous studies of parameter sensitivity for cable-stayed bridges without backstays, sensitivity was often assessed by comparing structural responses resulting from changes in a single control parameter or by using the normalization method. The calculation results of these methods do not directly indicate the change range of the control target after a parameter change, lacking a clear standard for parameter sensitivity assessment. A more accurate method for assessing parameter sensitivity is to use the functional relationship between the control target and the design parameters established by the response surface method to perform the calculation. The structural response f(X) is related to n structural parameters X1, X2, …, Xi, …, Xn by the function relationship (1). The sensitivity S X i of the control objective f(X) with respect to a specific structural parameter Xi is given by:
S X i = F X 1 , X 2 , , X i , , X n X n
The application of Equation (1) to determine parameter sensitivity requires the explicit function F (X1, X2, …, Xi, …, Xn). However, in practical construction, the large number of parameters and continuous changes in the structural system make it difficult to construct the explicit function. In order to facilitate the calculation, based on perturbation theory, when the variation in the key parameter Xi is controlled to be Δx within a reasonable disturbance range, the variation in structural response is Δf(X). From Equation (3), the parameter sensitivity S X i can be approximately expressed as:
S X i = Δ f X / f X X n
where S X i represents a set of dimensionless non-negative real numbers, reflecting the sensitivity of the control objective f(X) to the structural parameter X in the bridge state. By computing the parameter sensitivity, a quantitative assessment of it can be achieved.

3.2. Assessment Framework

Using the proposed methods, the prediction of tensile forces for the next phase largely relies on the parameter influence library generated prior to deployment. However, modeling and analyzing all possible combinations of different bridge designs, loading conditions, and potential failure mechanisms is tricky. This Section will explain the creation method of the bridge parameter influence library and the internal force control method.

3.2.1. Construction of Parameter Influence Library

Due to the negligible difference between geometric non-linearity and elastic analysis results in the cable-stayed bridge without backstays [18], this study establishes the relationships between key parameters and bridge control parameters through elastic analysis during the creation of the construction error threshold control model, as shown in Equation (5). These relationships are then combined to form a parameter influence library, as indicated in Equation (6). The library describes the influence of various parameters on bridge stress, displacement, and cable force.
O i = m 1 x 1 m 1 x 1 + m 1 x 1 m 1 x 1 n m 1 x 1 + n 1 m 1 x 1 m 1 x 1 n m 1 x 1 m i x 1 m i x 1 + m i x 1 m i x 1 n m i x 1 + n 1 m i x 1 m i x 1 n m i x 1
where Oi represents the influence of a specific parameter on an output variable at different construction stages and error levels; mi(x) indicates the influence of the parameter on the output variable at a value of x at different construction stages; and n is the discretization accuracy.
Then, the influence library of bridge parameters can be expressed as a set of Formula (6):
Y i j = O 11 O 1 j O i 1 O i j
where Yij represents the parameter influence library, while Oij denotes the influence of parameter i on output variable j at different construction stages.

3.2.2. Prediction Method of Reasonable Internal Force State of Bridge

After establishing the bridge parameter influence library, the current state of the structure can be obtained based on monitoring results, and the structural state of the bridge can be predicted by integrating input variables. The influence of known errors on different construction stages is:
D j x = D Y i j i = a , j = b , m = c
where Dj(x) represents the impact of known errors on various parameters at different construction stages; a is the known load error; b is the parameter affected; and c is the error level.
Under the influence of different cable tensions, the parameter error expression that meets construction requirements is as follows:
f i x = f A i x + D j x + Y j x S v i
where S is the set of cables that need to be predicted; f i(x) represents the structural response of the output variables after the cable tension at different construction stages; Ai(x) is the measured value of the corresponding parameter; ∑Yj(x)|S sums the influence from set S on the structural state at the same construction stage under varying parameters; and vi represents the limit values corresponding to the output variables.
The resulting library that meets the requirements can be expressed as:
P = f j x , f m x , f n x S
where fj(x), fm(x), and fn(x) represent the changes in structural stress, displacement, and tensioned cables related to the cable S, respectively.

3.2.3. Optimistic Algorithm

The above algorithm can obtain more results. Considering the construction errors and the reliability of the structure, it is necessary to find the optimal solution with the minimum error. Thus, the final optimization result can be expressed as:
E S = P min j = 1 a f i j x h j 2 + m = 1 b f i m x h m 2 + n = 1 c f i n x h n 2 S i
where E(S) is the optimal cable force result, which represents the minimum equation of the parameter results related to different cable forces; hi is the theoretical value corresponding to the output results; a, b, and c are the structural stress, displacement, and the number of tensioned cable forces that need attention, respectively.

4. Case Study

4.1. Engineering Background

4.1.1. Overall Layout of the Bridge

The Longgun River Bridge in Hainan Province was selected as a case study to verify the functionality and accuracy of the framework. The bridge is a 30 + 80 m curved special-shaped pylon cable-stayed bridge without backstays. The main girder is constructed using prestressed concrete Π-shaped girders, and the material used is the C60 concrete. The construction method is synchronous construction of the cables and pylon. The cables are arranged in a spatial double-plane harp shape, with 8 pairs of 16 cables throughout the bridge, as shown in Figure 2.
The pylon adopts a steel–concrete structure, with the structural characteristics illustrated in Figure 3. The lower pylon column and the range of 4.85 m above the bridge deck are concrete pylons, while the remaining upper pylon columns consist of single-cell steel boxes filled with iron sand heavy-weight concrete. The pylon is an ‘arch’ structure in the transverse direction. The pylon alignment is based on the vertical central axis of the main girder standard girder rib as the interface, and the vertical structure is from the bottom to the top of the pile cap, with a height of 17.7 m. The angle between the pylon and the side span is 60°, the vertical projection height is 55.0 m, and the oblique height is 63.5 m. Between the lower and upper pylon column is the pylon girder consolidation section, with an arc transition connecting the two components.

4.1.2. Construction Method

The bridge pylon of the Longgun River Bridge adopts the cantilever assembly construction method. Firstly, the full support is set up and the main girder is poured. Then, the cantilever construction is carried out by segmental cyclic hoisting, with the construction process illustrated in Figure 4a. The bridge pylon is divided into 7 sections, with 2 pairs of cables on each of the 2#~5# segments, and the cables are tensioned after lifting completion. Figure 4b shows the weight of each section of iron sand heavy-weight concrete (DL), the weight of each section of steel box (WS), and the l segment length (LS).

4.1.3. Finite Element Model

The analysis model is established by ABAQUS 2019 software. The steel structure is simulated by the S3/S4R element, and the concrete structure is simulated by the DC3D8R/C3D6 element. The mesh division of the bridge pylon is illustrated in Figure 5a.
In the process of establishing a finite element model, the mesh size plays a crucial role in both the accuracy of the results and the computational efficiency. For this reason, the influence of mesh size on the structural calculation results was analyzed, with the mid-span vertical displacement of the main beam as the subject of the analysis. The results are shown in Figure 5b. When the mesh size is smaller than 0.4 m, the corresponding calculation results nearly coincide. However, when the mesh size is 0.5 m, a noticeable discrepancy appears in the displacement curve, with an error of approximately 2 mm. Considering the computational efficiency of the model, a mesh size of 0.4 m was chosen for the finite element model.

4.2. Establishment of Response Surface Model

During the construction process of cable-stayed bridges without backstays, parameter changes cause significant changes in the internal force state of the bridge structure. For the construction of the main girder, the deviation and the expansion of the formwork during the pouring process will cause a change in the weight of the main girder. For pylons, although the weight and geometry are relatively precise due to factory-prefabricated steel boxes and more controllable internal concrete volumes, meeting material density requirements for design-weighted iron sand concrete can be challenging. This may lead to changes in the weight of the pylon, affecting its geometry. Additionally, the precision of the steel box installation will also affect the alignment of the pylon. Site construction conditions significantly influence the tension in cables and other critical structural loads.
Combined with the relevant research, nine key structural parameters Xi were selected for comparative analysis [2,13,15,19]. These parameters are the weight of the main girder, the density of the pylon (the weight of the iron sand heavy-weight concrete), the elastic modulus of the pylon, the longitudinal installation accuracy of the steel box, the tension of cables, the overall temperature variation, the temperature difference in the stay and girder, the temperature gradient of the main girder, and the temperature difference on the exterior surface of the pylon. The specific flowchart is illustrated in Figure 6.
In the design of iron sand heavy-weight concrete, weight is the primary consideration. However, when it is combined into a composite structure with the pylon, the modulus of elasticity of the composite structure becomes altered and is difficult to measure. Therefore, the elastic modulus of the pylon should also be considered. In this study, the elastic modulus of the iron sand heavy-weight concrete was 1% of C40 concrete, with variations accounting for ±20%. All other parameter values are detailed in Table 2. The sample for the data simulation experiments is presented in Table 3, comprising 23 distinct parameter sample groups. The functions f1(X)~f3(X) serve as control indicators for the structural responses, and X1~X9 represent the load design parameters chosen in this study, and the meanings of each symbol are shown in Figure 6.
In establishing the response surface equation according to Equation (1), in this paper, nine design variables are used, necessitating the determination of nineteen unknown coefficients, as detailed in Equation (11). Consequently, nineteen independent equations are required to solve for these coefficients. After excluding the data samples numbered 2, 4, 12, and 19 from Table 3, the response surface equation was constructed, and the coefficient obtained coefficients are presented in Table 4.
f X = k 0 + k 1 X 1 + k 2 X 2 + k 3 X 3 + k 4 X 4 + k 5 X 5 + k 6 X 6 + k 7 X 7 + k 8 X 8 + k 9 X 9 + k 10 X 1 2 + k 11 X 2 2 + k 12 X 3 2 + k 13 X 4 2 + k 14 X 5 2 + k 15 X 6 2 + k 16 X 7 2 + k 17 X 8 2 + k 18 X 9 2
To assess the accuracy of the obtained response surface equations, samples numbered 2, 4, 12, and 19, which were not used in the equation-solving process, were substituted into Equation (11) to compute the fitted values of the response surface models for each control indicator. These fitted values were then compared with the finite element analysis results to evaluate the precision of the equation fitting. Based on Equation (2), the R2 values for the objective functions f1(X)~f3(X) were 0.88, 0.91, and 0.87, respectively. These results indicate that the fitted response surface equations accurately reflect the relationship between the bridge state performance objectives and the various design load parameters, and can be used for further structural parameter sensitivity analysis.

4.3. Parameter Sensitivity Analysis

According to Equation (4), the sensitivity of X1~X9 parameter changes to the bridge state response control objectives such as bridge alignment, pylon stress, and deviation are calculated, and the sensitivity trends of structural parameters are quantitatively analyzed.

4.3.1. Mid-Span Displacement of Main Girder

The main girder alignment is an important index of the bridge state of the cable-stayed bridge. The vertical displacement of the main girder in the bridge state changes with the load parameters throughout the construction process. By analyzing the influence of various parameters on the main girder displacement, key influencing parameters are identified based on sensitivity analysis results, allowing for targeted control measures to ensure the proper alignment of the main girder.
The calculated sensitivities of various loading parameters on the mid-span deflection of the main girder are illustrated in Figure 7a. To further reflect the influence of each parameter, sensitivity percentages are introduced, as shown in Figure 7b. From the figures, it is evident that the most sensitive parameter affecting the mid-span deflection of the main girder is the cable tension, with a maximum sensitivity of 37.77 and a sensitivity percentage of 56.35%. Specifically, a 1% increase in cable tension results in a corresponding increase of 37.77% in the mid-span deflection of the main girder. The dead load of the main girder and pylon, the elastic modulus of the pylon, and the installation accuracy of the pylon are secondary influencing factors, with sensitivities of 6.55, 8.73, 3.41, and 4.25, and sensitivity percentages of 9.78%, 13.03%, 5.09%, and 6.35%, respectively. The effects of temperature variations on the main girder deflection are relatively minor, with sensitivities of the overall temperature variation, temperature difference of cable girder, main girder temperature gradient, and surface temperature difference of the pylon being 2.18, 1.55, 1.68, and 0.90, respectively.
The main girder is a Π-shaped girder, characterized by relatively low overall structural stiffness. The weight of the main girder is balanced by that of the pylon. In addition to the weight of the main girder directly affecting mid-span displacement, changes in the stiffness and weight of the pylon can also make the pylon more likely to deviate under the load of cable forces. This deviation, in turn, induces variations in the displacement of the main girder.
Therefore, during the construction process of the cable-stayed bridge without backstays, when the weight of the main girder, the weight of the pylon, the elastic modulus of the iron sand heavy-weight concrete, and the tension in the cables will significantly affect the mid-span deflection of the main girder. It is essential to ensure precise control over the tension, the weight of the iron sand heavy-weight concrete, and the volume of concrete poured for the main girder during the construction process. Additionally, the monitoring model should be accurately adjusted based on the actual elastic modulus of the pylon throughout construction to ensure a reasonable final bridge profile.

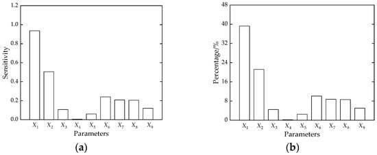
4.3.2. Maximum Bending Stress of Main Girder

The bending stress of the main girder reflects its loading conditions. If the bending stress exceeds the standard limit, the risk of crushing and cracking of the main girder may occur, which could affect the service life of the bridge. The sensitivity and sensitivity percentages of each load parameter to the maximum bending stress of the main girder are presented in Figure 8a,b. Changes in the weight of the main girder and pylon affect the maximum bending stress of the main girder, with sensitivities of 0.94 and 0.5, respectively, and sensitivity percentages of 39.25% and 21.16%. Additionally, the second significant parameter affecting the maximum bending stress of the main girder is the overall temperature variation, the temperature difference between the cables and girder, the temperature gradient of the main girder, and the surface temperature difference of the pylon, with sensitivities of 0.24, 0.21, 0.2, and 0.12, respectively.

4.3.3. Longitudinal Displacement of Bridge Pylon

The displacement of the top of the pylon is easily affected by the weight of the pylon, the weight of the main girder, the temperature load, and other factors. In severe cases, this can not only affect the alignment of the pylon but also fail to meet the requirements of the code, potentially jeopardizing the overall structural integrity. The sensitivity of each load parameter to the longitudinal displacement at the top of the pylon and the corresponding sensitivity percentages are illustrated in Figure 9a,b. This analysis indicates that the reduction in the unit weight of iron sand heavy-weight concrete results in a decrease in the pylon’s weight, significantly affecting longitudinal displacement changes. The maximum sensitivity factor is 5.74, which means that a relative change of 1% in the unit weight of the iron sand heavy-weight concrete within the pylon results in a relative change of 5.74% in the longitudinal displacement of the pylon. Therefore, in the construction process, the mixing quality of the iron sand heavy-weight concrete of the pylon should be strictly controlled to ensure its weight effect. The impacts of overall temperature variation, the tension in the cables, and the temperature differences on the surface of the pylon are secondary, with sensitivities of 0.34, 0.13, and 0.14, respectively. The influence of other parameters is relatively minor, all remaining below 0.2.

4.4. Internal Force Control of Bridge Construction

During the synchronous construction of pylon and cables in cable-stayed bridges without backstays, the parameters that most significantly affect the internal force and line shape of the bridge include the weight of the main girder and pylon, and the cable force. This paper establishes a parameter influence library for the bridge based on these three parameters. As the concrete volume and density during the pouring process are known, these can be considered as known errors. By considering the pouring error, stress, displacement, and cable force during the bridge construction process, the assessment framework is utilized to control the cable force at various stages of construction, thereby ensuring reasonable internal forces of the bridge. The measurement methods during the construction phase are illustrated in Figure 10, and the assessment framework is shown in Figure 1.
During the analysis, it was found that all sectional stresses exhibited considerable safety margins. Therefore, the stress conditions of the sections are not presented. After using the assessment framework, the predicted cable forces for cables S3 and S4 during tensioning are shown in Figure 11, where ‘x’ represents the downstream side and ‘s’ represents the upstream side of the cables. Prior to the tensioning of S3 and S4, monitoring revealed that the overall cable forces of S1 and S2 were relatively high, with a maximum error of 3.3% on the upstream side of S1. Based on predictions and theoretical analysis, it is advisable to increase the cable forces of S3 and S4 to correct the tension error in S1 and S2. Given that the error magnitude of the upstream cables is significant, higher tension forces should be considered for the upstream cables S3 and S4. After applying the evaluation framework for prediction and combining it with measured data, it was found that the error in the cable forces of S1 and S2 decreased from a maximum of 3.3% to 1.3%, demonstrating the effectiveness of the assessment framework.
Figure 12 shows the cable force error and bridge displacement error in different construction stages. Because there are two sides of the pylon and cable in the construction stage, this paper only presents the maximum error values for the two sides of the pylons and the cables with the same sign. In the figure, construction stage 11 refers to the tension forces of cables S1 and S2 following the completion of the concrete pouring for segment 2#. Stages 12~20 are the cyclic tension, pouring, and hoisting of the S3~S8 cables and the corresponding steel boxes. Stages 21~23 are the pouring and hoisting of the remaining steel box segments, and 24 and 25 are the bridge deck pavement and the removal of the main girder bracket.
The analysis of the cable force shows that when there is an error in the cable force, it can be controlled by the cable force in the subsequent construction stage. Following the application of the assessment framework, the maximum error during the construction process is only 4.26% and the maximum error in the final cable tension is merely 2.7%, which meets the error range of ±5% required by Chinese code ‘Technical Specification for Construction Monitoring and Control of Highway Bridges’. It is noted that cable tension errors can exhibit significant variations after the tensioning of different cables during construction, primarily due to the unpredictability of pylon displacement, which results in substantial discrepancies between theoretical and measured values. The maximum error between adjacent construction stages can reach 4.3%.
Analysis of the displacement of the bridge indicates that the mid-span displacement of the main girder and the displacement errors of the bridge pylon during various construction stages generally remain below 10 mm. The maximum error observed after the tensioning of cables S7 and S8 was 27 mm; however, after the casting of iron sand heavy-weight concrete in the subsequent construction stage, the maximum displacement error of the bridge pylon was reduced to 3 mm. The displacement has little influence on the construction control of the bridge, indicating that the evaluation framework meets the requirements for bridge construction control.
Based on the analysis of the measured results from the bridge, the proposed method effectively controls the cable force and structural displacement of the cable-stayed bridge without backstays during the synchronous construction method of the pylon and cables. Compared to other methods [20,21], the maximum error in cable force can be controlled within 4%, which represents an improvement of approximately 2% in error reduction. This method not only effectively manages the threshold of bridge construction errors, but also avoids the need for secondary cable adjustment after the bridge is completed, greatly improving construction efficiency and possessing considerable application value.

5. Conclusions

This paper presents a novel assessment framework for the control of construction states aimed at ensuring reasonable internal forces in cable-stayed bridges without backstays. The framework utilizes a prior generated library of bridge parameter influences and establishes corresponding constraints to evaluate reasonable internal forces of the bridge. When integrated with the measured internal force states and displacement conditions during construction phases, this framework allows for real-time assessment. However, the applicability of this framework is strictly limited to the range of pre-generated fault surface libraries. In other words, the framework can only be applied to the synchronous construction of pylons and cables in cable-stayed bridges without backstays. The main results of this study are as follows:
(1)
To reduce computational costs, the response surface methodology is used to determine the primary sensitive parameters during the construction process. By utilizing the response surface methodology, an explicit relationship was established between the structural control objective response and the design parameters. This approach reduced the number of sensitive parameters in the construction process to three primary sensitivity parameters, which significantly enhanced the efficiency of structural analysis. The results of the response surface method are also useful for parameter sensitivity analysis, which can accurately evaluate the influence of different parameters on the structural response.
(2)
The weight of the main girder and pylon, as well as the tension forces in the cables, significantly influence the internal forces and alignment of the bridge, which are sensitive parameters in the construction process. In contrast, the overall temperature variation of the bridge, the temperature difference between the cables and the girder, and the temperature gradient of the main girder are considered secondary sensitive parameters. The elastic modulus of the pylon, the installation accuracy of the steel box, and the temperature difference on the surface of the pylon have minimal impact on the internal force state of the bridge and can be considered non-sensitive parameters. The bridge parameter influence library for the synchronous construction of pylon and cables in cable-stayed bridges without backstays can be established by using the weight of the main girder and pylon, along with the tension forces in the cables.
(3)
The finite element model of the Longgun River Bridge in Hainan Province is created to evaluate the proposed assessment framework. Results from the case study indicate that the proposed assessment method can accurately represent the structural responses of the full bridge model for the specific structure in question. Furthermore, it was found during the construction process that the proposed method can eliminate the need for secondary cable adjustments after bridge completion, significantly enhancing construction efficiency and demonstrating considerable practical value.
(4)
For the concept verification proposed in this study, the scope of the framework remains narrow, focusing solely on the specific structure of the selected case study. The ongoing work aims to generate an accurate and efficient library of bridge parameter influences within the framework of defined structural responses. This library will be applicable to bridge structures with multiple parameters and outputs, with the aim of creating a general and comprehensive decision support tool for maintenance engineers.

Author Contributions

Conceptualization, T.X., J.M. and G.W.; methodology, T.X., J.M., G.W. and J.L.; software, G.W., J.L. and B.G.; validation, T.X. and J.M.; formal analysis, B.G. and J.L.; investigation, T.X.; supervision, J.L.; project administration, J.M.; writing—original draft preparation, T.X. and J.M.; writing—review and editing, B.G., T.X., J.M., G.W. and J.L. All authors have read and agreed to the published version of the manuscript.

Funding

This research was funded by the Key Research and Technologies for the Construction of the Main Pylon of Curved Special-shaped Pylon Cable-stayed Bridge without Backstays (Grant No. T-GL-XMGS(J)-HAN-HDLYGL-02-JS-034).

Data Availability Statement

The original contributions presented in the study are included in the article, further inquiries can be directed to the corresponding author.

Conflicts of Interest

Author Tao Xu was employed by the company Xiamen Company of China First Highway Engineering Co., Ltd. Author Jiqian Ma was employed by the company Hainan Jiaotou Huandao Tourism Highway Investment and Development Co., Ltd. The remaining authors declare that the research was conducted in the absence of any commercial or financial relationships that could be construed as a potential conflict of interest.

References

  1. Shao, X.; Zhao, H.; Li, L.; Peng, W.; Liu, G.; Yan, B. Design and experimental study of a harp-shaped single span cable-stayed bridge. J. Bridge Eng. 2005, 10, 658–665. [Google Scholar] [CrossRef]
  2. Li, Q.; Bu, Y.Z.; Zhang, Q.H. Introduction and Application of Geometric Control in the Whole Construction Process of Long Span Cable Stayed Bridges, 1st ed.; Southwest Jiaotong University Press: Chengdu, China, 2009; pp. 104–106. [Google Scholar]
  3. Zhang, Y.; Fang, Z.; Jiang, R.; Xiang, Y.; Long, H.; Lu, J. Static performance of a long-span concrete cable-stayed bridge subjected to multiple-cable loss during construction. J. Bridge Eng. 2020, 25, 04020002. [Google Scholar] [CrossRef]
  4. Wang, J.F.; Zhang, J.T.; Xu, R.Q.; Yang, Z.X. Evaluation of thermal effects on cable forces of a long-span prestressed concrete cable-stayed bridge. J. Perform. Constr. Facil. 2019, 33, 04019072. [Google Scholar] [CrossRef]
  5. Zhang, K.; Qi, T.; Xue, X.; Zhu, Z.; Sun, Q. Study on the influence of cable/sling damage on the natural vibration characteristics of special-shaped cable-stayed arch bridge without back cable. Stavebni Obz. Civil. Eng. J. 2020, 29, 507–517. [Google Scholar] [CrossRef]
  6. Qin, S.; Zhang, J.; Huang, C.; Gao, L.; Bao, Y. Fatigue performance evaluation of steel-UHPC composite orthotropic deck in a long-span cable-stayed bridge under in-service traffic. Eng. Struct. 2022, 254, 113875. [Google Scholar] [CrossRef]
  7. Zhang, L.; Qiu, G.; Chen, Z. Structural health monitoring methods of cables in cable-stayed bridge: A review. Measurement. 2021, 168, 108343. [Google Scholar] [CrossRef]
  8. Zhang, Z.H.; Li, W.B.; Ding, Z.X.; Wu, X.Y. An approach to the selection of target reliability index of cable-stayed bridge’s main girder based on optimal structural parameter ratio from cost-benefit analysis. Structures 2020, 28, 2221–2231. [Google Scholar] [CrossRef]
  9. Valiente, A.; Iordachescu, M.; Aznar, A.; Abreu, M. Damage tolerance of the prestressing steel in a bridge stay-cable after thirty years of service in a graded, extremely adverse environment. Constr. Build. Mater. 2021, 285, 122945. [Google Scholar] [CrossRef]
  10. Casas, J.R.; Aparicio, A.C. Monitoring of the alamillo cable-stayed bridge during construction. Exp. Mech. 1998, 38, 24–28. [Google Scholar] [CrossRef]
  11. Lei, B.; Lv, Y.Z.; Ren, W. Analysis on the impact of the backstays forms on the performance of inclined tower cable-stayed bridge. Appl. Mech. Mater. 2014, 533, 127–134. [Google Scholar] [CrossRef]
  12. Liang, L.; Liang, B.; Wang, W.S. Research on seismic displacement response of cable stayed bridge without back stays. Adv. Mater. Res. 2014, 919, 1039–1042. [Google Scholar]
  13. Zhu, Y.L. Research on construction technology of inclined pylon of single pylon cable-stayed bridge without backstays. Appl. Mech. Mater. 2011, 90, 1168–1172. [Google Scholar] [CrossRef]
  14. Duan, H.R.; Liu, H.B.; Sun, Y.; Gao, H. Determination of reasonable internal force state for cable-stayed bridge without backstays. J. Civ. Struct. Health 2023, 13, 1243–1263. [Google Scholar] [CrossRef]
  15. Zhang, Q.C.; Sun, Q.S. Analysis of parameter sensitivity in construction control of inclined pylon cable-stayed bridge without backstays. Adv. Mater. Res. 2011, 255, 851–855. [Google Scholar] [CrossRef]
  16. Wong, F.S. Uncertainties in dynamic soil-structure interaction. J. Eng. Mech. 1984, 110, 308–324. [Google Scholar] [CrossRef]
  17. Fang, S.E.; Perera, R. Damage identification by response surface based model updating using D-optimal design. Mech. Syst. Signal Process. 2011, 25, 717–733. [Google Scholar] [CrossRef]
  18. Hu, J.R. The Geometric Nonlinearity Analysis of a Single Pylon Cable-Stayed Bridge Without Backstays; Hefei University of Technology: Hefei, China, 2009. [Google Scholar]
  19. Gong, B.X.; Feng, L.J.; Liu, J.; Wang, Z.; Liu, Y.J. Finite-element analysis of temperature field and effect on steel-concrete composite pylon of cable-stayed bridge without backstays. Buildings 2024, 14, 1731. [Google Scholar] [CrossRef]
  20. Ju, M.J.; Liu, S.M.; Liu, Y.J. Influence of Random Deviation of Cable Tension Force on Stress State of Composite Girder Cable-stayed Bridge without Back-stay. J. Highw. Transp. Res. Dev. 2016, 33, 60–66. [Google Scholar]
  21. Lai, J.Z.; Zhang, Z.J. Study on dynamic optimization method of cable force of cable-stayed bridge considering construction process. Eng. Constr. 2022, 54, 42–48. [Google Scholar]
Figure 1. Flowchart illustrating how the framework conducts reasonable internal force assessment of cable-stayed bridges without backstays.
Figure 1. Flowchart illustrating how the framework conducts reasonable internal force assessment of cable-stayed bridges without backstays.
Buildings 14 03656 g001
Figure 2. Layout of Longgun River Bridge: (a) Schematic diagram of bridge structure (Unit: cm); (b) Construction process.
Figure 2. Layout of Longgun River Bridge: (a) Schematic diagram of bridge structure (Unit: cm); (b) Construction process.
Buildings 14 03656 g002
Figure 3. Bridge pylon parameters.
Figure 3. Bridge pylon parameters.
Buildings 14 03656 g003
Figure 4. Construction information: (a) construction process; (b) segment information.
Figure 4. Construction information: (a) construction process; (b) segment information.
Buildings 14 03656 g004
Figure 5. Establishment of finite element model: (a) schematic diagram of bridge model; (b) influence of mesh size.
Figure 5. Establishment of finite element model: (a) schematic diagram of bridge model; (b) influence of mesh size.
Buildings 14 03656 g005
Figure 6. Flowchart illustrating how to analyze the sensitivity of bridge parameters.
Figure 6. Flowchart illustrating how to analyze the sensitivity of bridge parameters.
Buildings 14 03656 g006
Figure 7. Sensitivity analysis of mid-span deflection to different parameters: (a) parameter sensitivity; (b) parameter sensitive percentage.
Figure 7. Sensitivity analysis of mid-span deflection to different parameters: (a) parameter sensitivity; (b) parameter sensitive percentage.
Buildings 14 03656 g007
Figure 8. Sensitivity analysis of different parameters on the maximum bending stress of the main girder: (a) parameter sensitivity; (b) parameter sensitive percentage.
Figure 8. Sensitivity analysis of different parameters on the maximum bending stress of the main girder: (a) parameter sensitivity; (b) parameter sensitive percentage.
Buildings 14 03656 g008
Figure 9. Sensitivity analysis of different parameters on the longitudinal displacement of pylon: (a) parameter sensitivity; (b) parameter sensitive percentage.
Figure 9. Sensitivity analysis of different parameters on the longitudinal displacement of pylon: (a) parameter sensitivity; (b) parameter sensitive percentage.
Buildings 14 03656 g009
Figure 10. Data required for the assessment framework: (1) displacement measurement; (2) concrete volume measurement; (3) theoretical model; (4) stress measurement; (5) cable force measurement.
Figure 10. Data required for the assessment framework: (1) displacement measurement; (2) concrete volume measurement; (3) theoretical model; (4) stress measurement; (5) cable force measurement.
Buildings 14 03656 g010
Figure 11. Changes in bridge cable forces.
Figure 11. Changes in bridge cable forces.
Buildings 14 03656 g011
Figure 12. Measured values of bridge cable forces and displacement errors in different construction stages following the use of the assessment framework.
Figure 12. Measured values of bridge cable forces and displacement errors in different construction stages following the use of the assessment framework.
Buildings 14 03656 g012
Table 1. Comparison of parameter sensitivity analysis methods.
Table 1. Comparison of parameter sensitivity analysis methods.
Parameter Analysis MethodologyAdvantagesDisadvantages
Single-parameter methodologySimple and easy to understand and calculate, helps identify key parameters.Ignoring interactions between parameters may lead to misleading conclusions, fail to capture the behavior of complex systems, and result in substantial computational effort when the number of parameters is large.
Response surface methodologyConsiders interactions between multiple parameters, suitable for complex systems, improves decision quality.Dependence on response surface equations, especially when these equations are complex, can lead to high computational demands, increased analytical complexity.
Table 2. Sensitivity parameters and selected ranges.
Table 2. Sensitivity parameters and selected ranges.
Control
Parameters
X1
(kN/m3)
X2
(kN/m3)
X3
(×104 MPa)
X4
(mm)
X5
(kN)
X6
(°C)
X7
(°C)
X8
(°C)
X9
(°C)
Theoretical value25.038.00.0325Design valueDesign value2010145
Variation range of error±5%
±10%
−10%
−15%
±20%±10
±20
±5%12±10
±15
16, 206, 9
Table 3. Numerical simulation experiment samples.
Table 3. Numerical simulation experiment samples.
NumberX1X2X3X4X5X6X7X8X9f1(X)
(mm)
f2(X)
(MPa)
f3(X)
(mm)
11.111012010145−6.7−11.0−76.1
21.0511012010145−11.2−10.7−69.2
30.951101201014514.5−9.6−85.3
40.91101201014528.6−10.2−92.1
510.91012010145−18.2−10.5−47.9
610.851012010145−27.5−10.8−31.3
7111.2012010145−6.2−9.7−73.5
8110.8012010145−4.4−10.0−73.6
911120120101453−9.9−79.5
1011110120101452.9−9.9−79.7
11111−1012010145−4.6−10.0−73.6
12111−2012010145−4.8−10.0−73.7
1311101.0520101452.6−10.0−75.9
1411100.952010145−6.3−10.1−74.1
15111011210145−13.8−10.0−65.7
16111012015145−5.9−10.1−78.6
17111012010145−4.5−10.0−73.5
181110120−101451.1−9.7−53.5
191110120−151452.6−9.6−48.4
20111012010165−4.2−10.0−73.6
21111012010205−3.8−9.9−73.8
22111012010146−4.3−10.0−76.1
23111012010149−3.8−10.0−83.6
Note: In the table, the research parameters X1~X3 and X5 reference values 1 in the table correspond to the basic state values in Table 2, while the variation values correspond to the change error. The longitudinal displacement of the pylon indicated as “−” represents a direction away from the main span.
Table 4. Coefficients of the response surface equation.
Table 4. Coefficients of the response surface equation.
Coefficientf1(X)f2(X)f3(X)
k058.223−1.754−22.772
k1−4136.10030.3002860.950
k2502.16714.167−996.417
k3145.000−5.250−92.500
k40.3020.004−0.242
k5−279.00065.000−342.000
k6332.279−10.011−129.958
k7−0.171−0.014−1.095
k8−6.170−0.2155.665
k9−7.921−0.1134.269
k101948.667−19.333−1365.667
k11−180.667−4.667379.667
k12−74.7503.00046.375
k130.0000.0000.000
k14184.000−32.000162.000
k15−11.8330.3584.612
k16−0.022−0.0010.018
k170.1740.007−0.159
k180.5390.008−0.451
Disclaimer/Publisher’s Note: The statements, opinions and data contained in all publications are solely those of the individual author(s) and contributor(s) and not of MDPI and/or the editor(s). MDPI and/or the editor(s) disclaim responsibility for any injury to people or property resulting from any ideas, methods, instructions or products referred to in the content.

Share and Cite

MDPI and ACS Style

Xu, T.; Ma, J.; Wei, G.; Gong, B.; Liu, J. A Framework for Evaluating the Reasonable Internal Force State of the Cable-Stayed Bridge Without Backstays. Buildings 2024, 14, 3656. https://doi.org/10.3390/buildings14113656

AMA Style

Xu T, Ma J, Wei G, Gong B, Liu J. A Framework for Evaluating the Reasonable Internal Force State of the Cable-Stayed Bridge Without Backstays. Buildings. 2024; 14(11):3656. https://doi.org/10.3390/buildings14113656

Chicago/Turabian Style

Xu, Tao, Jiqian Ma, Guojie Wei, Boxu Gong, and Jiang Liu. 2024. "A Framework for Evaluating the Reasonable Internal Force State of the Cable-Stayed Bridge Without Backstays" Buildings 14, no. 11: 3656. https://doi.org/10.3390/buildings14113656

APA Style

Xu, T., Ma, J., Wei, G., Gong, B., & Liu, J. (2024). A Framework for Evaluating the Reasonable Internal Force State of the Cable-Stayed Bridge Without Backstays. Buildings, 14(11), 3656. https://doi.org/10.3390/buildings14113656

Note that from the first issue of 2016, this journal uses article numbers instead of page numbers. See further details here.

Article Metrics

Back to TopTop