Next Article in Journal
The High-Quality Development of the Construction Industry in the Context of the Digital Economy—Based on the Mediating Effect of Entrepreneurship
Next Article in Special Issue
Economic and Carbon Emission Analyses of C50 Manufactured Sand Concrete Considering Workability and Compressive Strength
Previous Article in Journal
Seismic Vulnerability Assessment of the Cliff-Attached Buildings Equipped with Energy Dissipation Devices Under Obliquely Incident Seismic Waves
Previous Article in Special Issue
Study on the Bonding Properties of Reinforced Reef Limestone Concrete and Its Influencing Factors
 
 
Font Type:
Arial Georgia Verdana
Font Size:
Aa Aa Aa
Line Spacing:
Column Width:
Background:
Study Protocol

Research on the Mechanical Properties of Composite Grouting Materials Based on Ordinary Portland–Sulphoaluminate Cement

1
School of Civil and Architecture Engineering, East China University of Technology, Nanchang 330013, China
2
School of Xingfa Mining Engineering, Wuhan Institute of Technology, Wuhan 430062, China
3
College of Civil Engineering and Architecture, Dalian University, Dalian 116622, China
*
Author to whom correspondence should be addressed.
Buildings 2024, 14(11), 3492; https://doi.org/10.3390/buildings14113492
Submission received: 4 September 2024 / Revised: 17 September 2024 / Accepted: 20 September 2024 / Published: 31 October 2024
(This article belongs to the Special Issue Low-Carbon Material Engineering in Construction)

Abstract

This study aimed to enhance the mechanical properties of calcium sulfoaluminate cement grouting materials (HCSA) by investigating the effects of ordinary Portland cement (OPC) content, the ratio of quicklime to gypsum, and the dosage of sodium aluminate on the compressive strength of the OPC-CSA composite system. The results indicate that as the OPC content increases, the compressive strength of the blended cement initially increases and then decreases, reaching a maximum at a 60% OPC replacement ratio within the experimental group. The addition of an appropriate amount of OPC to the CSA composite system effectively prevents the regression of compressive strength. With an increase in quicklime content, the compressive strength of the samples at various ages first increases and then decreases, with the optimal ratio of quicklime to gypsum found to be 2:8. Furthermore, sodium aluminate, used as an activator, when increased in dosage, leads to an initial increase followed by a decrease in the compressive strength of OPC-CSA samples, with an optimal incorporation rate of 0.75%, significantly enhancing the strength of the blended cement. In the orthogonal experiments, the dosage of sodium aluminate was identified as the most influential factor affecting the compressive strength of the composite grouting materials.

1. Introduction

In soft soil strata, particularly in geological environments abundant in moisture, the low bearing capacity and inadequate stability of foundations have emerged as pivotal factors constraining the stability of building infrastructures. These infrastructures are highly susceptible to adverse phenomena, such as settlement and deformation, posing formidable challenges to engineering construction. Given the urgency and complexity of this issue, exploring efficient and stable foundation treatment techniques is of paramount importance. Grouting methods have demonstrated unique advantages in tackling the challenges of foundation reinforcement in soft and water-rich strata, owing to their broad applicability and substantial effects. In an actual case study from the Chengdu Metro project, Li Qiaobin et al. [1] utilized horizontal grouting curtain technology within tunnels, effectively achieving the objective of water sealing, thereby creating a dry and water-free working environment for the excavation of the connecting passage. Furthermore, Zhou Yuliang et al. [2] conducted grouting experiments in the complex and variable water-rich karst dolomite strata in the southwestern region of China, further corroborating the exceptional performance of grouting methods under extreme geological conditions.
Compared to traditional Portland cement, calcium sulfoaluminate cement (CSA) significantly reduces the use of limestone in its production process [3], thereby decreasing energy consumption and carbon dioxide emissions during production. The clinker burning temperature of CSA is approximately 100 °C lower than that of traditional Portland cement (CSA at 1350 °C, while Portland cement is around 1450 °C [4,5,6]). This implies that in the decarbonization process, both the carbon dioxide emissions and energy consumption of CSA are correspondingly reduced, further lowering the carbon dioxide emissions and energy consumption in the production process. Additionally, previous studies have demonstrated that CSA possesses rapid setting and hardening capabilities, and exhibits high early strength, impermeability, frost resistance, corrosion resistance, and shrinkage compensation performance under high humidity and complex geological conditions [7,8]. The above advantages make CSA an excellent choice of material for a variety of engineering fields such as winter construction, emergency repair, structural reinforcement, quick plastering, and soft soil layer treatment [9,10,11]. Some countries in Europe have already adopted calcium sulfoaluminate cement in structural engineering and achieved significant results [12,13].
However, the relatively high cost of calcium sulfoaluminate cement (CSA) and its slower development of strength in the later stages, which may even lead to strength regression, have prompted researchers to develop new grouting materials by blending different types of cements. The aim is to effectively control costs and further enhance the comprehensive performance of cement-based composites. Huang Feng [14] and others have mixed calcium sulfoaluminate cement with Portland cement, utilizing the rapid hydration of calcium aluminate sulfate (ettringite) and high heat of hydration from CSA to improve the early strength of Portland cement. Liang Zidong [15] developed a new type of composite eco-friendly spray material with many advantages, using Portland cement, calcium sulfoaluminate cement, fly ash, and clay as the base materials, complemented by additives such as xanthan gum and cellulose ethers. Khalil N [16] studied the reactivity of Portland cement and calcium sulfoaluminate cement blends with varying percentages of calcium calcium sulfoaluminate cement as a replacement.
The clinker of calcium sulfoaluminate cement (CSA) is primarily composed of anhydrous calcium sulfoaluminate (3 C a O A l 2 O 3 3 C a S O 4 ) and calcium sulfate ( β 2 C a O S i O 2 ). Its hydration products include the aluminate ferrite mineral (AFm), ettringite (AFt), calcium silicate hydrate ( C S H ), portlandite (calcium hydroxide, CH), and aluminum gel. The main hydration equations are shown as (1) to (3).
3 C a O 3 Al 2 O 3 C a S O 4 + 18 H 2 O 3 C a O A l 2 O 3 C a S O 4 12 H 2 O + 2 A l ( O H ) 3
3 C a ( O H ) 3 + 3 C a S O 4 2 H 2 O + A l ( O H ) 3 + 20 H 2 O 3 C a O A l 2 O 3 3 C a S O 4 32 H 2 O
2 C a O S i O 2 + n H 2 O C a ( O H ) 2 + C S H ( I )
During the hydration process, anhydrous calcium sulfoaluminate hydrates rapidly to form ettringite and poorly crystalline aluminum hydroxide. Typically, calcium sulfate hydrates slowly to produce C S H and CH. CH and calcium sulfate react with gypsum to form ettringite [17]. Studies have shown [18,19,20,21], throughout the hydration process of CSA, that C S H and CH may be difficult to form; hence, ettringite and monosulfate (AFm) play a dominant role in strength development and are greatly influenced by the sulfate content. To form more ettringite, gypsum is commonly added to CSA. Since a large amount of free water will be fixed, when ettringite forms in the early stages, the rate and quantity of ettringite formation are the main factors affecting the early compressive strength [22]. The formation of ettringite is closely related to the concentrations of A l O 2 , C a 2 + , S O 4 2 , and O H . Because A l O 2 and O H ions participate in the first pre-reaction [17] (the higher the concentrations of A l O 2 and O H ions, the faster the rate of ettringite formation).
The primary constituents of ordinary Portland cement (OPC) include tricalcium silicate ( C 3 S ), dicalcium silicate ( β C 2 S ), tricalcium aluminate ( C 3 A ), and tetracalcium aluminoferrite ( C 4 A F ), along with a small amount of gypsum. The main hydration products of OPC are calcium silicate hydrate ( C S H ) and calcium hydroxide (CH), which play the primary role in strength development. Additionally, there are small amounts of ettringite among the hydration products. Ettringite is stable in the presence of gypsum but may transform into monosulfate calcium aluminate (AFm) phases, such as monosulfate or monocarbonate, once the gypsum is depleted. When OPC, calcium sulfoaluminate cement (CSA), and water are mixed together, an additional reaction occurs; the incorporation of additional calcium to OPC can promote the formation of ettringite (AFt), and the consumption of calcium can reduce the crystallization of CH. Therefore, the blending of CSA significantly affects the hydration of OPC [23]. By altering the mixing ratio of OPC to CSA, the performance of the blended cement can be modified, particularly its early and late strength development.
The aforementioned research findings have significantly contributed to the comprehensive application of calcium sulfoaluminate cement (CSA). However, there is limited research on enhancing the mechanical properties of CSA modified with low-cost materials. To meet practical application requirements, this paper explores methods to enhance the later-stage compressive strength of grouting materials by incorporating ordinary Portland cement (OPC) into traditional CSA grouting materials, thereby creating a composite grouting material. Additionally, quicklime and gypsum are added to influence the hydration reactions of the grouting materials, and their impact on the compressive strength is studied. The research outcomes can offer valuable insights for the application of OPC-CSA composite grouting materials.

2. Experimental Materials and Methods

2.1. Experimental Materials

2.1.1. Cement

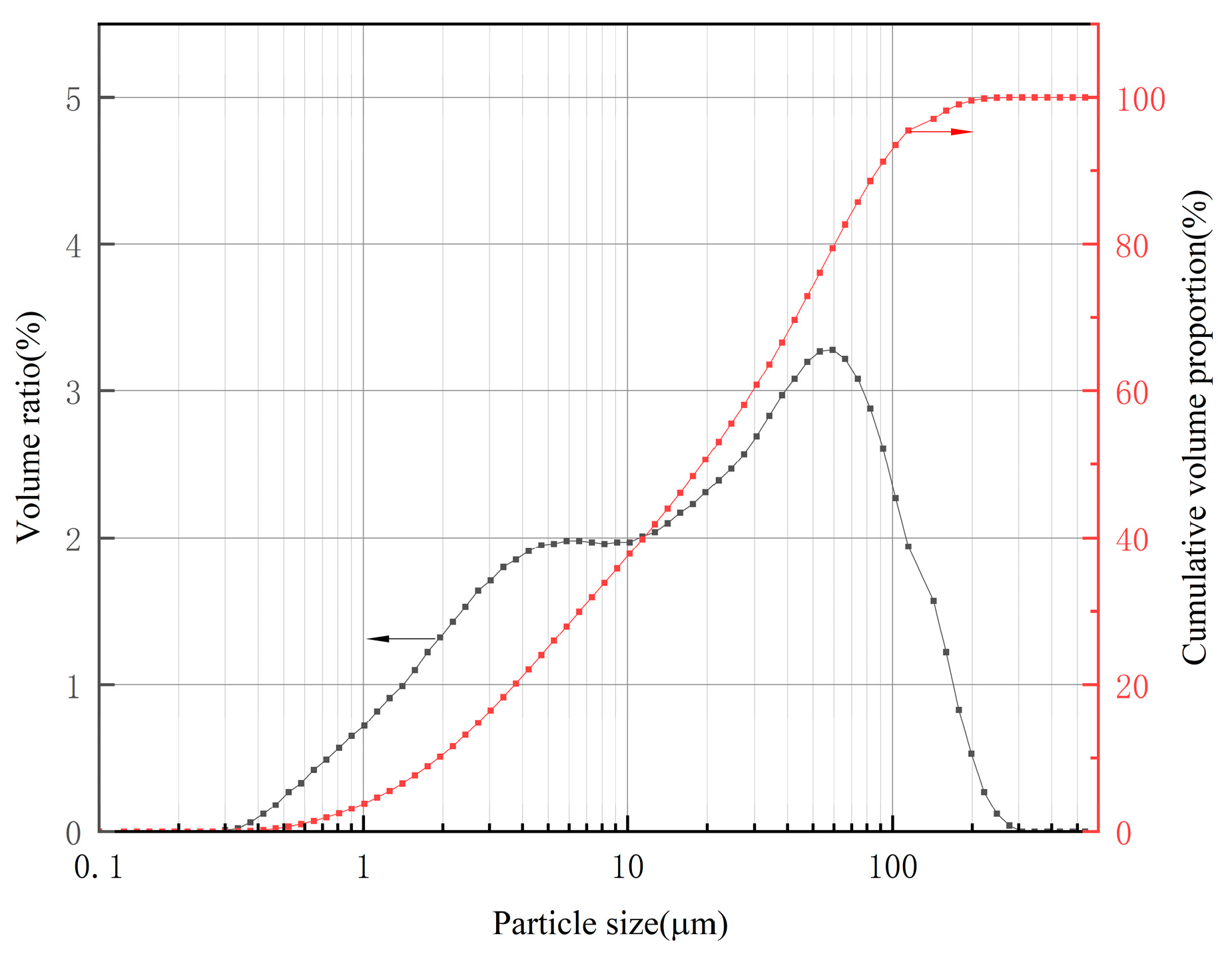
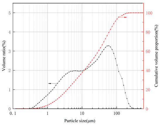
The cements used were calcium sulfoaluminate cement (CSA) and ordinary Portland cement (OPC). The CSA was produced by Dengfeng Dengdian Group, with a strength grade of 42.5. The OPC was produced by Xuancheng Conch Cement Co., Ltd., Xuancheng, China, also with a strength grade of 42.5. The chemical composition of both types of cement is presented in Table 1. The particle size distribution of OPC is illustrated in Figure 1, while that of CSA is shown in Figure 2 (The black line indicates the volume ratio, and the red line indicates the cumulative volume ratio).

2.1.2. Quicklime and Gypsum

Quicklime (CaO), which is a white powder, has an effective component content of not less than 98% by mass fraction, and is supplied by Xilong Scientific Co., Ltd. (Guangzhou, China). Quicklime readily reacts with water to form calcium hydroxide ( C a ( O H ) 2 ). To form more ettringite, gypsum is commonly added to calcium sulfoaluminate cement (CSA). The chemical composition of gypsum is presented in Table 2.

2.1.3. Admixtures

Sodium aluminate ( N a A l O 2 ) appears as a white crystalline powder. It has hygroscopic properties, is highly soluble in water, and possesses certain corrosive characteristics. Sodium aluminate (AR grade) is produced by Tianjin Damao Chemical Reagent Factory.

2.2. Experimental Methods

2.2.1. Sample Preparation

The preparation of the cement paste complies with the test standard of JC/T 729-2005 ‘Mixer for cement paste’ [24]. In the mixing pot, measured water is added first, followed by low-speed stirring for 1 min, and then the powdered materials (cement + admixtures) are added. The mixing procedure is as follows: low-speed stirring for 1 min, resting for 30 s (during which the cement paste on the blades and pot walls is quickly scraped back into the pot), high-speed stirring for 2 min, and finally low-speed stirring for 1 min.
The well-mixed cement paste is poured into a cubic mold of 40 mm × 40 mm × 40 mm. After being demolded in a standard curing room for 24 h, the samples are completed as shown in Figure 3, and then cured at a temperature of (20 ± 1) °C until they reach 3, 7, 14, and 28 days of age. Long-term strength and durability are crucial for the stability and lifespan of structures; therefore, this study focuses more on the long-term performance of the material rather than the short-term behavior. Hence, the one-day strength of the stone-like specimens is not discussed.

2.2.2. Single-Factor Test

The following three sets of single-factor experiments are conducted, with the sodium aluminate dosage, the ratio of quicklime to gypsum, and the ratio of calcium sulfoaluminate cement to ordinary Portland cement as the single variables, respectively. The water-to-binder ratio is 0.5, and the three sets of single-factor experimental schemes are shown in Table 3. The experimental results are statistically analyzed using Minitab 2019and plotted using Origin 2021 software.

2.2.3. Orthogonal Experiment

Based on the preliminary single-factor experiments, with a water-to-binder ratio of 0.5, the optimized ranges for the binder are determined to be a sodium aluminate dosage of 0.25% to 1%, a gypsum dosage of 60 to 90 g, and an ordinary Portland cement dosage of 200 to 800 g, as shown in Table 4. Using the dosage of sodium aluminate, the ratio of quicklime to gypsum, and the ratio of calcium sulfoaluminate cement to ordinary Portland cement as variables, a three-factor and four-level orthogonal test was conducted, with the test scheme shown in Table 5. According to the orthogonal test scheme, samples were prepared and tested, with standards consistent with the single-factor experiments. Under room temperature conditions of 20 °C, the compressive strength of the specimens was tested at ages of 3 days, 7 days, 14 days, and 28 days, with the orthogonal test results shown in Table 5. The experimental results were statistically analyzed using Minitab 2019 and plotted using Origin 2021 software.

2.2.4. SEM Specimens

The testing company is Shandong Qingdao Shendeng Chemical Technology Co., Ltd. in Qingdao, China. The specific model of the SEM instrument is Thermo Fisher Scientific’s Apreo S (Waltham, MA, USA). The procedure for the experiment is as follows: an appropriate amount of sample is attached to a conductive adhesive, placed in the sample stage, and the vacuum is drawn to 5 × 10−3 Pa, stabilized for two minutes, and then the test begins. The parameters are adjusted, and the specific parameters for each image are found at the bottom row of the scanning image. The experimental results are statistically analyzed using Minitab and graphed using Origin software.

3. Results and Discussion

3.1. Analysis of Single-Factor Experiments

3.1.1. The Influence of OPC Dosage on the Compressive Strength of the Specimens

The effect of OPC content on the compressive strength of the specimens is shown in Figure 4. In the absence of OPC, the specimens exhibit a significant early strength but a slow increase in strength in the later stages, and even a phenomenon of strength regression at 28 days. This is because, with the advancement of hydration, C 4 A 3 S ¯ further transforms into ettringite (AFt), which accumulates in confined spaces and releases a large amount of expansion energy, making it prone to crack formation and propagation. This leads to a loose structure of the cementitious hardened body and ultimately results in a decrease in compressive strength in the later stages [25].
With the increase in the amount of OPC (ordinary Portland cement), the overall strength of the specimens follows a pattern of initial increase followed by a decrease. Among them, the highest compressive strength is achieved at an OPC content of 60%, where the composite system can slightly enhance both early and later strength. The compressive strengths at 3 days and 28 days are 105% and 122.3% that of the P-0 group, respectively. Furthermore, the appropriate incorporation of OPC effectively improves the later strength of the composite system and prevents the strength regression issue of CSA (calcium sulfoaluminate cement). Except for the P-0 group, all other groups do not have strength regression issues. This is because, after the incorporation of OPC, the hydration process produces calcium silicate hydrate ( C S H ) and calcium hydroxide (CH), where ettringite and C S H gel fill each other and interlock to form a skeleton structure, which stabilizes the growth of the composite cement’s later strength.

3.1.2. The Impact of Lime and Gypsum Ratio on the Compressive Strength of the Specimens

The effect of the quicklime to gypsum ratio on the compressive strength of OPC-CSA specimens is shown in Figure 5. As the content of quicklime increases (and the content of gypsum decreases), the compressive strength of the specimens at various ages generally follows a pattern of increasing first and then decreasing. When the ratio of quicklime to gypsum is 2:8, the compressive strength of the blended cement is the highest at all test ages.
Existing research indicates [26,27], there is an optimal dosage of gypsum in calcium sulfoaluminate cement, which can significantly promote the development of cement strength. Both insufficient and excessive gypsum weaken the strength; an appropriate amount promotes the formation of ettringite to increase strength, while an excess can lead to overproduction of ettringite, causing the expansion and cracking of the cement paste, thereby reducing strength.
In the blended cement, gypsum (supplying C a 2 + and S O 4 2 ) and quicklime (supplying O H ) can jointly exert complex effects on the blended cement. When the dosage of gypsum is insufficient, the formed ettringite undergoes transformation; an appropriate amount of gypsum can promote the formation of more hydration products, resulting in a denser structure, thereby enhancing the strength of the specimens [28]. The C a 2 + provided by gypsum will undergo hydration reactions with OPC, and the O H provided by the reaction of quicklime with water will also promote the formation of ettringite. The above analysis and results indicate that there is an optimal ratio of quicklime to gypsum in OPC-CSA.

3.1.3. The Effect of Sodium Aluminate Dosage on the Compressive Strength of Specimens at Different Ages

The effect of sodium aluminate dosage on the compressive strength of OPC-CSA specimens is illustrated in Figure 6. With the increase in the dosage of sodium aluminate, the compressive strength of OPC-CSA specimens at various ages generally follows a pattern of initial increase followed by a decrease, and an optimal dosage of 0.75% sodium aluminate is identified as the best incorporation level in the experiment, as it yields the maximum compressive strength at all ages. When the dosage of sodium aluminate does not exceed 0.75%, its incorporation can enhance the compressive strength at all periods. The compressive strengths of the Na-2.5 group at 3 days, 7 days, 14 days, and 28 days are 105%, 107%, 111%, and 112%, respectively, compared to the Na-0 group.
An appropriate amount of sodium aluminate is beneficial for the strength development of OPC-CSA blended cement. This is because sodium aluminate (providing A l O 2 ) also promotes the formation of ettringite, and the higher the concentration of A l O 2 , O H ions, the faster the rate of ettringite formation [17]. The rate and quantity of ettringite formation are the main factors affecting the compressive strength. The reason why an excessive amount of sodium aluminate leads to a reduction in compressive strength is due to the overproduction of ettringite, which can easily cause expansion and cracking of the cement paste, thereby reducing the strength.

3.2. Orthogonal Experiment Analysis

To investigate the interactive effects of sodium aluminate, quicklime, and gypsum in OPC-CSA composite cement, further analysis was conducted on the orthogonal test results (Table 5) by taking the average values of the same factors at the four levels and then performing range analysis. The patterns of influence of factors A, B, and C on compressive strength were obtained, as shown in Figure 7.
Analysis reveals that the dosage of sodium aluminate has the greatest impact on the compressive strength of the composite cement, with similar overall patterns at various ages. A dosage of 0.75% sodium aluminate (A3) results in the maximum compressive strength at all test ages. As the content of quicklime increases (and the content of gypsum decreases), the compressive strength first increases and then decreases. However, under condition B1, it exhibits higher early strength, with the compressive strengths at 3 days and 7 days being greater than those under condition B2. With the increase in the content of ordinary Portland cement (OPC), the compressive strength first decreases and then increases, with an inflection point present. At an OPC content of 20% (C1), it has the highest early strength, with the 3-day compressive strength being the maximum. At an OPC content of 80% (C4), the strength development in the middle and later stages is favorable, with the 7-day, 14-day, and 28-day compressive strengths all being the highest under this condition.
Orthogonal table test data were analyzed using range analysis, with the following steps taken to determine the optimal levels of each test factor, the best combination of levels, and the order of significance: The average of the test results at different levels for each factor (K) was calculated; the K values at different levels for the same factor were compared; the range (R) for each column of factors was calculated; based on the range (R) values of the factors, the order of significance was determined; the factor with the largest R value was the primary influencing factor, followed by secondary influencing factors; the optimal level for each factor was selected to combine them into the best level combination for the experiment.
From the range values in Table 6, the following order of significance for each factor affecting the compressive strength of the specimens at different ages can be determined:
(1) For the 3-day old specimens, the order is as follows: sodium aluminate dosage > ratio of quicklime to gypsum > ratio of calcium sulfoaluminate cement to ordinary Portland cement.
(2) For the 7-day old specimens, the order is as follows: sodium aluminate dosage > ratio of calcium sulfoaluminate cement to ordinary Portland cement > ratio of quicklime to gypsum.
(3) For the 14-day old specimens, the order is as follows: sodium aluminate dosage > ratio of calcium sulfoaluminate cement to ordinary Portland cement > ratio of quicklime to gypsum.
(4) For the 28-day old specimens, the order is as follows: sodium aluminate dosage > ratio of calcium sulfoaluminate cement to ordinary Portland cement > ratio of quicklime to gypsum.
Combining the range values from Table 6 and the range analysis for each age period, it is evident that the dosage of sodium aluminate is a significant factor affecting the compressive strength of OPC-CSA blended cement, followed by the ratio of calcium sulfoaluminate cement to ordinary Portland cement, with the ratio of quicklime to gypsum having the least impact.
Range analysis effectively reveals the primary and secondary relationships among various factors, but its limitation lies in its inability to accurately estimate the errors generated in the experiment. To reduce the impact of errors, further analysis of the factors affecting compressive strength using variance analysis was conducted, as shown in Table 7. The results of the variance analysis indicate that the dosage of sodium aluminate is a significant factor affecting compressive strength; the ratio of calcium sulfoaluminate cement to ordinary Portland cement has some effect on compressive strength; the ratio of quicklime to gypsum is an insignificant factor affecting compressive strength; and the final results are consistent with the range analysis.
Integrating the variance analysis with the range analysis, it is demonstrated that the dosage of sodium aluminate has the greatest impact on the compressive strength of OPC-CSA composite grouting materials within the composite system.

3.3. SEM Analysis

Observation of the cement surface morphology at a curing age of 28 days through Scanning Electron Microscopy (SEM) revealed that in pure CSA samples, a large amount of ettringite (in needle and rod shapes) was formed, while the formation of calcium silicate hydrate ( C S H ) gel was minimal. Most of the hydration products were ettringite, which, despite being formed in large quantities under the action of sodium aluminate, were not well filled, adversely affecting the strength development in later stages. Interlocking ettringite leaves voids, and the cement has developed cracks, as shown in Figure 8a,b, making it likely that strength regression will occur in later stages. When OPC is incorporated into CSA, the hydration products include a larger amount of C S H (in gel, fiber, network, and granular forms) and CH (portlandite in hexagonal plate-like, more regular crystalline shapes). The ettringite and C S H gel fill each other and interlock to form a skeleton-like structure, as shown in Figure 8c, thus providing greater strength to the specimens and preventing strength regression.
Figure 8d displays the SEM results for a case with excessive gypsum but without the addition of quicklime. Without the addition of quicklime, the size of the ettringite is relatively uniform and generally larger, while an excess of gypsum leads to an overproduction of ettringite with a loose structure, which is prone to cracking and shows a decrease in compressive strength. With the addition of quicklime, the particle size of ettringite gradually decreases, as shown in Figure 8e. In Ca-20, the ettringite exhibits a proper distribution of different sizes, which helps it to withstand higher compressive stresses [29].
Figure 8f shows the condition of the specimen without the addition of sodium aluminate (Na-0). It can be seen that there is an insufficient formation of ettringite, resulting in a loose structure and a decrease in compressive strength. Figure 8g shows the condition of Na-5, indicating that the incorporation of sodium aluminate promotes the formation of ettringite, thus allowing it to combine with C S H , making the Na-5 specimen more compact and uniform compared to the Na-0 specimen. Figure 8h shows the condition of Na-10, where an excess of sodium aluminate leads to an overproduction of ettringite, accompanied by a significant release of energy, which can cause cracks. Compared to the Na-5 specimen, the Na-10 specimen is more compact and uniform, but due to the presence of larger and more complete cracks, the strength is reduced.

4. Conclusions

Through three single-factor experiments and orthogonal test methods, the compressive strength tests of OPC-CSA composite grouting materials were carried out. The mechanical performance changes under the conditions of sodium aluminate, quicklime, gypsum, and the composite system were analyzed, and SEM analysis was conducted. The following conclusions were drawn:
(1) When the OPC content is less than 60%, the compressive strength at all ages generally increases with the increase in OPC content. In the composite system, with an appropriate amount of OPC added to CSA, there will be more C S H and CH among the hydration products. The ettringite and C S H gel fill each other and interlock to form a skeleton-like structure, preventing the phenomenon of strength reversal. When OPC content is 60% and CSA content is 40%, the compressive strength of the blended cement reaches its maximum value.
(2) With the increase in quicklime content (decrease in gypsum content), the compressive strength of the samples at all ages generally shows a trend of first increasing and then decreasing. Without the addition of quicklime, the size of ettringite is relatively uniform and generally larger. As quicklime is added, the particle size of ettringite gradually decreases, and ettringite shows an appropriate distribution of different sizes, which helps it to withstand higher compressive stresses. An excess of gypsum leads to excessive formation of ettringite, resulting in a loose structure. When the ratio of quicklime to gypsum is 2:8, the compressive strength of the blended cement is the highest at all test ages, which is the optimal ratio of quicklime to gypsum in this study for OPC-CSA.
(3) With the increase in sodium aluminate content, the compressive strength of OPC-CSA samples at all ages basically follows a pattern of first increasing and then decreasing. The addition of an appropriate amount of sodium aluminate promotes the formation of ettringite, which combines with C S H . A sodium aluminate content of 0.75% is the optimal content in the experiment. The appropriate amount of sodium aluminate is beneficial for the strength development of OPC-CSA blended cement.
(4) Through the range analysis and variance analysis of the orthogonal test, it is indicated that the content of sodium aluminate has the greatest influence on the compressive strength of OPC-CSA composite grouting materials in the composite system.
There are numerous areas that merit further investigation in this study. The experiments were conducted under specific environmental conditions, namely at standard room temperature, without taking into account the effects of various environmental factors such as humidity and chemical corrosion on the material properties. The discussion in this study primarily focuses on compressive strength, while other significant mechanical properties, including flexural strength, toughness, and durability, have not been addressed.

Author Contributions

Conceptualization, Z.W. and W.L.; methodology, Z.W.; software, Z.W.; validation, Z.W., W.L. and Z.J.; formal analysis, W.L.; investigation, W.L.; resources, W.L.; data curation, Z.W.; writing—original draft preparation, Z.J.; writing—review and editing, M.L.; visualization, D.L.; supervision, W.L.; project administration, W.L.; funding acquisition, Z.W. All authors have read and agreed to the published version of the manuscript.

Funding

The study was supported by National Natural Science Foundation Project of China (No. 42061011, No. 41977236), the Key Research and Development Program Project of Jiangxi Natural Science Foundation (No. 20223BBG71W01), the Key Research and Development Program of Jiangxi Science and Technology Special Fund Project (No. 20232BBE50025), Doctoral Scientific Research Foundation Project of East China University of Technology (No. DHBK2023014).

Data Availability Statement

The original contributions presented in the study are included in the article, further inquiries can be directed to the corresponding author/s.

Conflicts of Interest

The authors declare no conflict of interest.

References

  1. Li, Q.; Zhang, Z.; Zhong, J. Application of Grouting Method for Underground Excavation Construction of Urban Rail TransitConnecting Passage in Water-rich Sandy Cobble Stratum. Urban Mass Transit 2024, 27, 331–334+340. [Google Scholar]
  2. Zhou, Y.; Li, B.; Yang, X. Surface Pre-grouting Technique for Sealing Water Rich Dissolved Dolomite Aquifer for Vertical Shaft. Met. Mine 2022, 12, 10–17. [Google Scholar]
  3. Duvallet, T.Y.; Mahmoodabadi, M.; Oberlink, A.E.; Robl, T.L.; Jewell, R.B. Production of α′H-belite-CSA cement at low firing temperatures. Cem. Concr. Compos. 2022, 134, 104820. [Google Scholar] [CrossRef]
  4. Tao, Y.; Rahul, A.V.; Mohan, M.K.; De Schutter, G.; Van Tittelboom, K. Recent progress and technical challenges in using calcium sulfoaluminate (CSA) cement. Cem. Concr. Compos. 2023, 137, 104908. [Google Scholar] [CrossRef]
  5. Paul, G.; Boccaleri, E.; Marchese, L.; Buzzi, L.; Canonico, F.; Gastaldi, D. Low temperature sulfoaluminate clinkers: The role of sulfates and silicates on the different hydration behavior. Constr. Build. Mater. 2021, 268, 121111. [Google Scholar] [CrossRef]
  6. Kothari, A.; Buasiri, T.; Cwirzen, A. Early Age Performance of OPC-GGBFS-Concretes Containing Belite-CSA Cement Cured at Sub-Zero Temperatures. Buildings 2023, 13, 2374. [Google Scholar] [CrossRef]
  7. Wang, C.; Lin, D.; Zhang, Z. Effect of sulphoaluminate cement on performance of marine engineering concrete for rapid construction. China Harb. Eng. 2020, 40, 26–30. [Google Scholar]
  8. Sereewatthanawut, I.; Pansuk, W.; Pheinsusom, P.; Prasittisopin, L. Chloride-induced corrosion of a galvanized steel-embedded calcium sulfoaluminate stucco system. J. Build. Eng. 2021, 44, 103376. [Google Scholar] [CrossRef]
  9. Xin, X.; Duan, G.; Zhu, J.; Hou, P.; Zhao, P.; Du, P.; Wang, S.; Huang, Y. Study on the Properties of Belite Calcium Sulfoaluminate Cement–Ordinary Portland Cement Composite Cementitious System. Buildings 2024, 14, 890. [Google Scholar] [CrossRef]
  10. Yao, S.; Liu, S.; Zou, D.; Pan, C.; Wang, J.; Guan, X.; Zhang, H. Development of an Aerated Sulfoaluminate Cement–Based Material for Coal Mine Filling. J. Mater. Civ. Eng. 2023, 35, 04022436. [Google Scholar] [CrossRef]
  11. Zhang, J.; Ye, C.; Tan, H.; Liu, X. Potential application of Portland cement-sulfoaluminate cement system in precast concrete cured under ambient temperature. Constr. Build. Mater. 2020, 251, 118869. [Google Scholar] [CrossRef]
  12. Więckowski, A. Automating CSA cement-based reinforced monolithic ceiling construction. Autom. Constr. 2020, 111, 103051. [Google Scholar] [CrossRef]
  13. Pooni, J.; Robert, D.; Giustozzi, F.; Setunge, S.; Xie, Y.M.; Xia, J. Novel use of calcium sulfoaluminate (CSA) cement for treating problematic soils. Constr. Build. Mater. 2020, 260, 120433. [Google Scholar] [CrossRef]
  14. Huang, F.; Wang, Y.; Cui, C. Study on mechanical properties of portlandsulphoaluminate cement composite system. Petrochem. Ind. Appl. 2023, 42, 96–98+107. [Google Scholar]
  15. Liang, Z.; Yan, G.; Bai, X.; Liu, W.; Li, G. Development and application of ordinary portland sulphoaluminate cement composite thin spray material. China Min. Mag. 2023, 32, 158–164. [Google Scholar]
  16. Khalil, N.; Aouad, G.; Kleib, J.; Rémond, S. Portland/Sulfoaluminate Cement Blends for the Control of Early Age Hydration and Yield Stress. Buildings 2023, 13, 409. [Google Scholar] [CrossRef]
  17. Wang, Y.; Yu, J.; Wang, J.; Xiang, D.; Gu, H.; Cheng, J. Effects of sodium aluminate and quicklime on the properties of CSA grouting materials. J. Build. Eng. 2022, 58, 105060. [Google Scholar] [CrossRef]
  18. Winnefeld, F.; Lothenbach, B. Hydration of calcium sulfoaluminate cements—Experimental findings and thermodynamic modelling. Cem. Concr. Res. 2010, 40, 1239–1247. [Google Scholar] [CrossRef]
  19. Álvarez-Pinazo, G.; Cuesta, A.; García-Maté, M.; Santacruz, I.; Losilla, E.R.; Sanfélix, S.G.; Fauth, F.; Aranda, M.A.G.; De la Torre, A.G. In-situ early-age hydration study of sulfobelite cements by synchrotron powder diffraction. Cem. Concr. Res. 2014, 56, 12–19. [Google Scholar] [CrossRef]
  20. Berger, S.; Coumes, C.C.D.; Le Bescop, P.; Damidot, D. Influence of a thermal cycle at early age on the hydration of calcium sulphoaluminate cements with variable gypsum contents. Cem. Concr. Res. 2011, 41, 149–160. [Google Scholar] [CrossRef]
  21. Damidot, F.P. Glasser, Investigation of the CaO-Al2O3-SiO2-H2O system at 25 °C by thermodynamic calculations. Cem. Concr. Res. 1995, 25, 22–28. [Google Scholar] [CrossRef]
  22. Peng, J.; Lou, Z. Study on the mechanism of ettringite formation. J.-Chin. Ceram. Soc. 2000, 28, 511–515. [Google Scholar]
  23. Hanic, F.; Kaprálik, I.; Gabrisová, A. Mechanism of hydration reactions in the system C4A3S CS CaO H2O referred to hydration of sulphoaluminate cements. Cem. Concr. Res. 1989, 19, 671–682. [Google Scholar] [CrossRef]
  24. JC/T 729-2005; Mixer for Cement Paste. China Building Materials Academy: Beijing, China, 2005.
  25. Shao, F. Experimental Study and Mechanism Analysis Ofsulphoaluminate Cement-Based Materials. Master’s Thesis, Lanzhou University of Technology, Lanzhou, China, 2018. [Google Scholar]
  26. Lu, S. Investigation on the Synergistic Preparation Ofsulfaluminate Cement from Bulk Industrialsolid Waste and Its Hydration Characteristics. Master’s Thesis, Inner Mongolia University of Technology, Hohhot, China, 2023. [Google Scholar]
  27. Shen, Y.; Zhu, H.; Gong, Y. Effect of Gypsum on the Performance of High Alkali Sulfoaluminate Cement. Mater. Rep. 2024, 38, 166–170. [Google Scholar]
  28. Yao, B.; Mei, S.; Song, S. Effect of Gypsum on Hydration of High Belite Sulphoaluminate Cement. J. Wuhan Univ. Technol. 2009, 31, 1–4. [Google Scholar]
  29. Mu, M.; Ou, C.Y.; Wang, J.; Liu, Y. Surface modification of prototypes in fused filament fabrication using chemical vapour smoothing. Addit. Manuf. 2020, 31, 100972. [Google Scholar] [CrossRef]
Figure 1. OPC particle size distribution.
Figure 1. OPC particle size distribution.
Buildings 14 03492 g001
Figure 2. CSA particle size distribution.
Figure 2. CSA particle size distribution.
Buildings 14 03492 g002
Figure 3. Sample preparation process.
Figure 3. Sample preparation process.
Buildings 14 03492 g003
Figure 4. Effect of common Portland cement content on the compressive strength of specimens at different ages.
Figure 4. Effect of common Portland cement content on the compressive strength of specimens at different ages.
Buildings 14 03492 g004
Figure 5. Effect of quicklime and anhydrite ratio on compressive strength of samples at different ages.
Figure 5. Effect of quicklime and anhydrite ratio on compressive strength of samples at different ages.
Buildings 14 03492 g005
Figure 6. Effect of sodium metaaluminate content on the compressive strength of samples at different ages.
Figure 6. Effect of sodium metaaluminate content on the compressive strength of samples at different ages.
Buildings 14 03492 g006
Figure 7. Effect of different factors on the compressive strength of the specimen.
Figure 7. Effect of different factors on the compressive strength of the specimen.
Buildings 14 03492 g007
Figure 8. SEM images of different specimens.
Figure 8. SEM images of different specimens.
Buildings 14 03492 g008
Table 1. Chemical composition of the two types of cement.
Table 1. Chemical composition of the two types of cement.
Chemical Composition (%) C a O S i O 2 A l 2 O 3 F e 2 O 3 M g O S O 3 T i O 2 L O I
CSA44.158.1522.472.662.0814.981.364.15
OPC59.4122.075.583.361.62.191.214.58
Table 2. The chemical composition of gypsum (mass %).
Table 2. The chemical composition of gypsum (mass %).
S O 3 S i O 2 A l 2 O 3 C a O M g O S r O K 2 O F e 2 O 3 T i O 2 L O I
53.870.450.9640.881.350.350.110.030.011.99
Table 3. Univariate test.
Table 3. Univariate test.
Unit (g) Calcium Sulfoaluminate CementOrdinary Portland CementQuicklime or Calcium OxideGypsumSodium Aluminate DosageWater
Number or Code
P-01000020805550
P-2080020020805550
P-4060040020805550
P-6040060020805550
P-8020080020805550
Ca-060040001005550
Ca-1060040010905550
Ca-2060040020805550
Ca-3060040030705550
Ca-4060040040605550
Ca-5060040050505550
Na-060040020800550
Na-2.560040020802.5550
Na-560040020805550
Na-7.560040020807.5550
Na-10600400208010550
Table 4. Orthogonal experimental factors and levels.
Table 4. Orthogonal experimental factors and levels.
LevelFactors
Sodium Aluminate Dosage (%)
A
Quicklime/Gypsum
B
Calcium Sulfoaluminate Cement/Ordinary Portland Cement C
10.2510:90800:200
20.520:80600:400
30.7530:70400:600
4140:60200:800
Table 5. Orthogonal test results.
Table 5. Orthogonal test results.
ID NumberInfluencing FactorsCompressive Strength Test Results (MPa)
ABC3 Days7 Days14 Days28 Days
10.251:98:214.49716.10716.51916.876
20.252:86:48.8169.76111.77412.494
30.253:74:69.31010.68311.45412.419
40.254:62:88.26410.41711.98112.459
50.51:96:46.8268.03310.88013.093
60.52:88:29.18211.86715.74218.919
70.53:72:84.7684.8025.8947.197
80.54:64:67.5639.03111.26812.985
90.751:94:68.3589.2659.75112.202
100.752:82:814.75318.95123.21127.478
110.753:78:214.35515.03915.05918.138
120.754:66:412.32113.74613.96120.084
1311:92:815.18118.71519.87827.461
1412:84:69.5999.6969.74115.089
1513:76:48.49711.61815.72419.784
1614:68:26.1898.3909.98711.618
Table 6. Compressive strength range analysis table.
Table 6. Compressive strength range analysis table.
3 d7 d14 d28 d
LevelABCABCABCABC
K 1 10.2211.2211.0611.7413.0312.8512.9314.2614.3313.5617.4116.39
K 2 7.0810.599.129.6412.5710.7910.9515.1213.0813.0518.5016.36
K 3 12.459.238.7114.2510.549.6715.5012.0310.5519.4814.3813.17
K 4 9.878.5810.7412.1010.4013.2213.8311.8015.2418.4914.2918.65
R i 5.362.632.354.612.633.554.553.323.776.434.215.48
Excellent level311314314324
Optimal combination A 3 B 1 C 1 A 3 B 1 C 4 A 3 B 1 C 4 A 3 B 2 C 4
Table 7. Analysis of variance table for compressive strength.
Table 7. Analysis of variance table for compressive strength.
Source of VarianceSum of SquaresDegree of FreedomMean VarianceF-NumberDistinctiveness
3 dA58.064319.3551.646***
B17.51935.8400.497**
C16.32835.4430.463*
error70.541611.757
7 dA69.291323.0971.347***
B25.50338.5010.496*
C34.301311.4340.667**
error102.905617.151
14 dA43.122314.3740.592**
B37.435312.4780.514*
C49.645316.5480.682***
error145.576624.263
28 dA131.368343.7891.153***
B54.684318.2280.480*
C60.815320.2720.534**
error227.902637.984
Note: In the three factors, the highest F-value is denoted with ***, medium level with **, and the lowest with *.
Disclaimer/Publisher’s Note: The statements, opinions and data contained in all publications are solely those of the individual author(s) and contributor(s) and not of MDPI and/or the editor(s). MDPI and/or the editor(s) disclaim responsibility for any injury to people or property resulting from any ideas, methods, instructions or products referred to in the content.

Share and Cite

MDPI and ACS Style

Wang, Z.; Lan, W.; Jia, Z.; Lin, M.; Li, D. Research on the Mechanical Properties of Composite Grouting Materials Based on Ordinary Portland–Sulphoaluminate Cement. Buildings 2024, 14, 3492. https://doi.org/10.3390/buildings14113492

AMA Style

Wang Z, Lan W, Jia Z, Lin M, Li D. Research on the Mechanical Properties of Composite Grouting Materials Based on Ordinary Portland–Sulphoaluminate Cement. Buildings. 2024; 14(11):3492. https://doi.org/10.3390/buildings14113492

Chicago/Turabian Style

Wang, Zhenhua, Wei Lan, Zhiwen Jia, Manqing Lin, and Dongwei Li. 2024. "Research on the Mechanical Properties of Composite Grouting Materials Based on Ordinary Portland–Sulphoaluminate Cement" Buildings 14, no. 11: 3492. https://doi.org/10.3390/buildings14113492

APA Style

Wang, Z., Lan, W., Jia, Z., Lin, M., & Li, D. (2024). Research on the Mechanical Properties of Composite Grouting Materials Based on Ordinary Portland–Sulphoaluminate Cement. Buildings, 14(11), 3492. https://doi.org/10.3390/buildings14113492

Note that from the first issue of 2016, this journal uses article numbers instead of page numbers. See further details here.

Article Metrics

Back to TopTop