Fragility Analysis of Masonry Structures Subjected to Random Sequential Ground Motions
Abstract
1. Introduction
2. Random Sequential Ground Motion Model
2.1. Physical Mechanism
2.2. Theoretical Model
2.3. Ground Motion Characteristics
3. Finite Element Model of Unreinforced Masonry Structure
3.1. Finite Element Model
3.2. Validation of the Finite Element Model
4. Fragility Analysis of Unreinforced Masonry Structures
4.1. Fragility Analysis
4.2. Definition of Performance Intervals and Damage Limit States
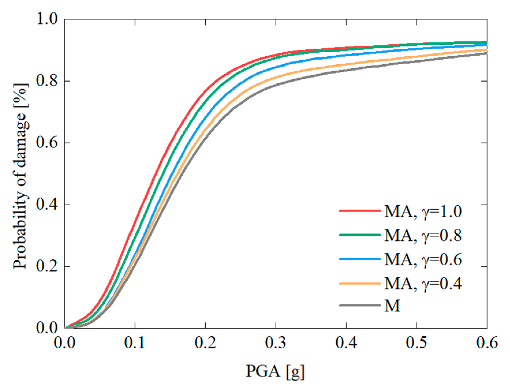
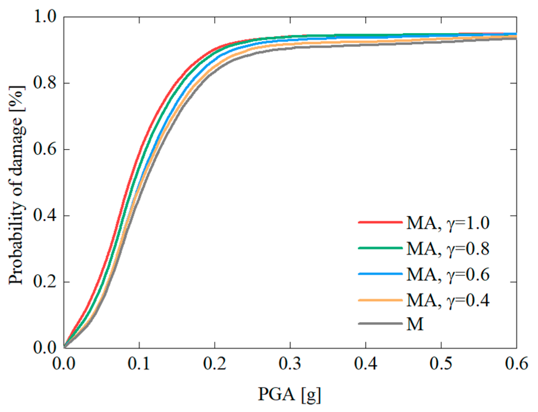
4.3. Calculation Results for Sequential Ground Motion
4.4. Comparison with As-Recorded Sequential Ground Motions
5. Conclusions
- (1)
- The model proposed in this study can be used to describe the correlation between the basic parameters of mainshocks and aftershocks.
- (2)
- The model proposed in this study takes into account the amplitude attenuation and time lag of ground motion during its propagation.
- (3)
- The random sequential ground motion used in this study can be effectively applied to the seismic analysis of structures, providing a practical approach for seismic performance assessments when real seismic data are not available.
- (4)
- Aftershocks with low intensity have little impact on the safety of URM structures and can even be ignored. However, when strong aftershocks occur, the structure’s ability to resist collapse significantly decreases.
Author Contributions
Funding
Data Availability Statement
Conflicts of Interest
References
- Ding, Y.; Chen, J.; Shen, J. Prediction of spectral accelerations of aftershock ground motion with deep learning method. Soil Dyn. Earthq. Eng. 2021, 150, 106951. [Google Scholar] [CrossRef]
- Ding, Y.; Chen, J.; Shen, J. Conditional generative adversarial network model for simulating intensity measures of aftershocks. Soil Dyn. Earthq. Eng. 2020, 139, 106281. [Google Scholar] [CrossRef]
- Shen, J.; Chen, J.; Ding, G. Random field model of sequential ground motions. Bull. Earthq. Eng. 2020, 18, 5119–5141. [Google Scholar] [CrossRef]
- Shen, J.; Chen, J.; Ding, G. A stochastic model for sequential ground motions based on the copula theory. Eng. Mech. 2021, 38, 27–39. [Google Scholar]
- Moon, L.; Dizhur, D.; Senaldi, I.; Derakhshan, H.; Griffith, M.; Magenes, G.; Ingham, J. The demise of theURM building stock in Christchurch during the 2010–2011 canterbury earthquake sequence. Earthq. Spectra 2014, 30, 253–276. [Google Scholar] [CrossRef]
- Shen, J.; Ren, X.; Zhang, Y.; Chen, J. Nonlinear dynamic analysis of frame-core tube building under seismic sequential ground motions by a supercomputer. Soil Dyn. Earthq. Eng. 2019, 124, 86–97. [Google Scholar] [CrossRef]
- Adhikari, R.K.; D’Ayala, D. 2015 Nepal earthquake: Seismic performance and post-earthquake reconstruction of stone in mud mortar masonry buildings. Bull. Earthq. Eng. 2020, 18, 3863–3896. [Google Scholar] [CrossRef]
- Leti, M.; Bilgin, H. Performance of RC and masonry structures during 2019 Durrës earthquake. Civ. Eng. Beyond Limits (CEBEL) 2022, 3, 1. [Google Scholar] [CrossRef]
- Housner, G.W. Characteristics of strong-motion earthquakes. Bull. Seismol. Soc. Am. 1947, 37, 19–31. [Google Scholar] [CrossRef]
- Tajimi, H. A statistical method of determining the maximum response of a building structure during an earthquake. In Proceedings of the 2nd World Conference on Earthquake Engineering, Tokyo, Japan, 11–18 July 1960. [Google Scholar]
- Kanai, K. An empirical formula for the spectrum of strong earthquake motions. Bull. Earthq. Res. Inst. 1961, 39, 85–95. [Google Scholar]
- Admin, M.; Ang AH, S. Nonstationary stochastic models of earthquake motions. J. Eng. Mech. Div. 1968, 94, 559–584. [Google Scholar] [CrossRef]
- Priestley, M.B. Evolutionary spectra and non-stationary processes. J. R. Stat. Soc. Ser. B (Methodol.) 1965, 27, 204–229. [Google Scholar] [CrossRef]
- Vlachos, C.; Papakonstantinou, K.G.; Deodatis, G. A multi-modal analytical non-stationary spectral model for characterization and stochastic simulation of earthquake ground motions. Soil Dyn. Earthq. Enginering 2016, 80, 177–191. [Google Scholar] [CrossRef]
- Li, Q.; Ellingwood, B.R. Performance evaluation and damage assessment of steel frame buildings under main shock-aftershock earthquake sequences. Earthq. Eng. Struct. Dyn. 2007, 36, 405–427. [Google Scholar] [CrossRef]
- Hatzigeorgiou, G.D.; Beskos, D.E. Inelastic displacement ratios for SDOF structures subjected to repeated earthquakes. Eng. Struct. 2009, 31, 2744–2755. [Google Scholar] [CrossRef]
- Jianping, H.; Jun, L. Seismic fragility analysis of low-ductile RC frame accounting for the influence of mainshock-aftershock sequences. Eng. Mech. 2020, 37, 124–133. (In Chinese) [Google Scholar]
- Ruiz-García, J. Mainshock-aftershock ground motion features and their influence in building’s seismic response. J. Earthq. Eng. 2012, 16, 719–737. [Google Scholar] [CrossRef]
- Zhou, Z.; Xiaohui, Y.; Dagang, L. Fragility analysis and safety evaluation of reinforced concrete frame structures subjected to mainshock-aftershock earthquake sequences. Eng. Mech. 2018, 35, 134–145. (In Chinese) [Google Scholar]
- Yu, X.H.; Qiao, Y.M.; Dai, K.Y.; Tao, J.; Lu, D.G. Incremental damage analysis of nonlinear single-degree-freedom systems subjected to mainshock-aftershock earthquake sequences. Eng. Mech. 2019, 36, 121–130. (In Chinese) [Google Scholar]
- Das, S.; Gupta, V.K. Scaling of response spectrum and duration for aftershocks. Soil Dyn. Earthq. Eng. 2010, 30, 724–735. [Google Scholar] [CrossRef]
- Goda, K.; Taylor, C.A. Effects of aftershocks on peak ductility demand due to strong ground motion records from shallow crustal earthquakes. Earthq. Eng. Struct. Dyn. 2012, 41, 2311–2330. [Google Scholar] [CrossRef]
- Xu, Y.; Tang, X.S.; Wang, J.P.; Kuo-Chen, H. Copula-based joint probability function for PGA and CAV: A case study from Taiwan. Earthq. Eng. Struct. Dyn. 2016, 45, 2123–2136. [Google Scholar] [CrossRef]
- Zhu, R.G.; Lu, D.G.; Yu, X.H.; Wang, G.Y. Conditional mean spectrum of aftershocks. Bull. Seismol. Soc. Am. 2017, 107, 1940–1953. [Google Scholar] [CrossRef]
- Hu, S.; Gardoni, P.; Xu, L. Stochastic procedure for the simulation of synthetic main shock-aftershock ground motion sequences. Earthq. Eng. Struct. Dyn. 2018, 47, 2275–2296. [Google Scholar] [CrossRef]
- Tena-Colunga, A.; Juárez-Ángeles, A.; Salinas-Vallejo, V.H. Cyclic behavior of combined and confined masonry walls. Eng. Struct. 2009, 31, 240–259. [Google Scholar] [CrossRef]
- Zhong, Z.L.; Pan, J.L.; Shen, J.X.; Du, X. Experimental study on seismic performance of damaged masonry walls reinforced with high-polymer cementitious composite material. J. Build. Eng. 2024, 96, 110629. [Google Scholar] [CrossRef]
- Jiang, L.; Jiang, L. Shaking table test and seismic performance assessment of unreinforced multi-storey masonry residence. J. Build. Struct. 2021, 42, 25–35. [Google Scholar]
- Zhang, Y.; Li, X.; Wang, Z.; Jiang, L.; Leng, Y.; Zhang, D. Shake table test on a five-story residential masonry building strengthened by engineered cementitious composites based on minimum disturbance. Eng. Struct. 2024, 300, 117227. [Google Scholar] [CrossRef]
- Shen, J.X.; Zhang, Y.Q.; Chen, J. Fragility assessment and collapse simulation of unreinforced masonry structures subjected to sequential ground motions. Bull. Earthq. Eng. 2022, 20, 8151–8177. [Google Scholar] [CrossRef]
- Zhang, Y.; Wang, Z.; Jiang, L.; Skalomenos, K.; Zhang, D. Seismic fragility analysis of masonry structures considering the effect of mainshock-aftershock sequences. Eng. Struct. 2023, 275, 115287. [Google Scholar] [CrossRef]
- Pan, J.L.; Shen, J.X.; Zhong, Z.L.; Xia, Y.; Li, X.D.; Zhang, Y.Q. Damage evolution and failure mechanism of masonry walls under in-plane cyclic loading. Eng. Fail. Anal. 2024, 161, 108240. [Google Scholar] [CrossRef]
- Wang, D.; Li, J. A random physical model of seismic ground motion field on local engineering site. Sci. China Technol. Sci. 2012, 55, 2057–2065. [Google Scholar] [CrossRef]
- Brune, J.N. Tectonic stress and the spectra of seismic shear waves from earthquakes. J. Geophys. Res. 1970, 75, 4997–5009. [Google Scholar] [CrossRef]
- Meng, S. Studying Random Function Model of Seismic Ground Motion for Engineering Purposes. Master’s Thesis, Tongji University, Shanghai, China, 2013. (In Chinese). [Google Scholar]
- Loh, C.H. Analysis of the spatial variation of seismic waves and ground movements from smart1 array data. Earthq. Eng. Struct. Dyn. 1985, 13, 561–581. [Google Scholar] [CrossRef]
- Shen, J.; Ren, X.; Zhang, Y. Slip-enhanced plastic-damage constitutive model for masonry structures. Eng. Struct. 2022, 254, 113792. [Google Scholar] [CrossRef]
- Jiang, L.; Wang, Z.; Zhang, F. Damage degree and inter-story drift angle limit of multi-story masonry structures. J. Build. Struct. 2018, 39, 263–270. [Google Scholar]
- Ruiz-García, J.; Negrete-Manriquez, J.C. Evaluation of drift demands in existing steel frames under as-recorded far-field and near-fault mainshock-aftershock seismic sequences. Eng. Struct. 2011, 33, 621–634. [Google Scholar] [CrossRef]










| Mode (X Direction) | Experimental Frequency [Hz] | Numerical Frequency [Hz] | Error [%] |
|---|---|---|---|
| 1 | 7.94 | 8.44 | 6.20 |
| 2 | 28.57 | 25.83 | 9.60 |
| 3 | 47.62 | 47.93 | 0.70 |
| Performance Level | Limit State | IDR |
|---|---|---|
| OP | <1/2500 | |
| LS-1 | ||
| IO | 1/2500–1/1300 | |
| LS-2 | ||
| DC | 1/1300–1/800 | |
| LS-3 | ||
| LS | 1/800–1/500 | |
| LS-4 | ||
| CP | 1/500–1/330 | |
| LS-5 | ||
| LB | >1/330 |
Disclaimer/Publisher’s Note: The statements, opinions and data contained in all publications are solely those of the individual author(s) and contributor(s) and not of MDPI and/or the editor(s). MDPI and/or the editor(s) disclaim responsibility for any injury to people or property resulting from any ideas, methods, instructions or products referred to in the content. |
© 2024 by the authors. Licensee MDPI, Basel, Switzerland. This article is an open access article distributed under the terms and conditions of the Creative Commons Attribution (CC BY) license (https://creativecommons.org/licenses/by/4.0/).
Share and Cite
Pan, J.; Cao, L.; Zhang, Y.; Shen, J. Fragility Analysis of Masonry Structures Subjected to Random Sequential Ground Motions. Buildings 2024, 14, 3377. https://doi.org/10.3390/buildings14113377
Pan J, Cao L, Zhang Y, Shen J. Fragility Analysis of Masonry Structures Subjected to Random Sequential Ground Motions. Buildings. 2024; 14(11):3377. https://doi.org/10.3390/buildings14113377
Chicago/Turabian StylePan, Jialiu, Lei Cao, Yongqun Zhang, and Jiaxu Shen. 2024. "Fragility Analysis of Masonry Structures Subjected to Random Sequential Ground Motions" Buildings 14, no. 11: 3377. https://doi.org/10.3390/buildings14113377
APA StylePan, J., Cao, L., Zhang, Y., & Shen, J. (2024). Fragility Analysis of Masonry Structures Subjected to Random Sequential Ground Motions. Buildings, 14(11), 3377. https://doi.org/10.3390/buildings14113377
