Abstract
Microcapsule-based self-healing cementitious composite (MSCC) offers autonomous damage repair, extending the service life of structures. However, most of the existing studies focus on static behavior and healing effectiveness but rarely explore dynamic responses. This study developed the mesoscale modeling approach to investigate MSCC behavior under dynamic split tensile loading. At the mesoscale, MSCC can be treated as a four-phase composite consisting of coarse aggregates, interfacial transition zones, cement mortar, and microcapsules. Alternatively, it can be simplified as a two-phase composite comprising a homogeneous mortar matrix and microcapsules. Four-phase and two-phase mesoscale MSCC models were developed for 2D simulations, while a two-phase 3D model was also developed for comparison. Mesoscale numerical simulations were conducted based on Split-Hopkinson Pressure Bar Brazilian disk-splitting tests, considering various strain rates. Simulation results of different mesoscale models were compared with experimental results. All of the models accurately predicted the tensile strength of MSCC, with the 2D four-phase model providing the best representation of failure modes and crack propagation. Both experimental and numerical data exhibited obvious strain rate effects, indicating that MSCC’s mechanical properties were sensitive to the loading rate. Dynamic increase factors were obtained, quantifying rate sensitivity. The obtained dynamic mechanical properties of MSCC provide insights for designing MSCC components and structures that can better withstand collisions or explosions.
1. Introduction
Concrete is one of the most widely used construction materials in the world, owing to its excellent compressive strength, durability, and cost-effectiveness []. However, its inherent brittleness and low tensile strength have long been recognized as major drawbacks, limiting its applications in structural engineering []. These deficiencies often lead to the development of cracks in concrete components, which compromise impermeability, impair functional use, and contribute to the corrosion of reinforcement bars and carbonation of the concrete. Consequently, these issues reduce the material’s durability and impact the load-bearing capacity of structures. To address these challenges, researchers have explored various strategies to enhance the tensile properties and crack resistance of concrete, including the incorporation of fibers [], nanoparticles [], and self-healing agents []. Among these approaches, self-healing concrete has emerged as a particularly promising solution, offering the capability for autonomous crack repair and the potential to extend the service life of concrete structures []. A notable mechanism in this context involves the use of microcapsules containing healing agents, such as epoxy resins []. When cracks form in the concrete matrix, these microcapsules rupture, releasing their contents into the crack planes, where they can polymerize or react to effectively seal the cracks [].
Recent efforts have focused on developing microcapsule-based self-healing cementitious composites (MSCCs) [,,]. Key areas of research include the preparation methods for microcapsules and their impact on the mechanical properties and self-healing effectiveness of MSCC. For example, the influence of the fraction of microcapsules on the static mechanical properties of MSCC has been extensively studied [,]. Additionally, the impacts of different combinations of capsule shell wall materials and healing agents on the self-healing effect of cement-based materials have been investigated []. Results indicate that microcapsule-based concrete can recover a significant portion of its mechanical properties post-damage, thereby enhancing durability and extending service life. This innovative approach holds substantial promise for advancing sustainable and resilient infrastructure, as it reduces the need for frequent repairs and maintenance.
While most studies have focused on static loading conditions, concrete structures may be subjected to highly dynamic loading scenarios during their service life, such as accidental explosions or collisions. Therefore, understanding the dynamic mechanical properties of MSCC is critical. However, research on the dynamic behavior of self-healing concrete under impact loads is limited. The most critical dynamic behavior is compressive strength. To the best of our knowledge, aside from preliminary experimental and numerical work involving Split-Hopkinson Pressure Bar (SHPB) compression tests conducted in our laboratory [], no similar studies on MSCC have been reported in the literature. Dynamic tensile behavior is also crucial for concrete-like materials. Split tension tests, commonly referred to as Brazilian tests, are typically used to assess the tensile strength of quasi-brittle materials like concrete []. SHPB can also be employed to evaluate the dynamic tensile strength of concrete under dynamic loading. Our research group has conducted preliminary dynamic SHPB tests on MSCC as well [].
Most research efforts in this domain have been based on experimental results. While experimental approaches have provided invaluable insights into the mechanic behavior of MSCC, they are often constrained by practical limitations and challenges associated with directly observing and quantifying the complex interplay between microcapsules and the mortar matrix during the dynamic damage process. Computational modeling and simulation offer a powerful complementary tool, enabling researchers to investigate the mesoscale behavior of microcapsule-based concrete at a level of detail and under conditions that may be impractical or impossible to achieve experimentally [].
The numerical simulation of concrete-like materials includes three different scales []: the macroscale, mesoscale, and microscale. At the macroscale, concrete is treated as a homogeneous material, simplifying analysis by assuming uniform properties throughout. However, concrete is actually a composite material consisting of cement, water, sand, and gravel, which is not uniform. At the mesoscale, it is considered a heterogeneous composite material composed of aggregate, mortar, and the interfacial transition zone (ITZ) between them. This scale captures the interactions between different phases, providing a more detailed understanding of the material’s behavior. At the microscale, mortar can be further regarded as cement paste, ITZ, and sand, with pores sometimes being considered. This level of detail allows for the study of the fundamental mechanisms governing the material’s properties. However, detailed microscale models require many more elements and are therefore not practical for large-scale simulations. Therefore, mesoscale modeling emerges as an effective approach for accurately predicting the behavior of concrete.
Mesoscale modeling has been extensively employed to study the mechanical behavior and fracture processes in conventional concrete [,,,,,]. Various aspects such as geometry generation [], placing algorithms [], constitutive relations [], applications [], and parametric studies [] have received considerable attention over the past decades. Geometry generation involves creating realistic representations of the aggregate shapes and distributions within the mortar matrix []. Placing algorithms determine the spatial arrangement of these aggregates, which significantly influences the mechanical behavior of the composite material []. Constitutive relations define the stress–strain behavior of each phase [], while applications and parametric studies [] explore the effects of different variables on the overall performance of the concrete.
Most mesoscale models for concrete have been developed to study the static heterogeneous behavior of concrete []. These studies show that the shape, size, and distribution of coarse aggregates within the mortar matrix significantly influence the mechanical behavior of concrete []. Different aggregate shapes have been adopted in the numerical simulation, with the simplest being circular (2D) [] and spherical (3D) []. Various material models for the aggregate and the mortar, such as 2D linear elastic analysis [,], the nonlinear orthotropic fracture model [], and the isotropic damage model [,], have been employed to study concrete behaviors. The mesoscale model has also been adopted to study the dynamic behavior of concrete [,], including both compressive [] and tensile behavior. These dynamic studies are crucial for understanding how concrete structures respond to high strain rate events, such as impacts and explosions.
The dynamic split tensile behavior of MSCC at the mesoscale has not been studied. This study aims to fill that gap by adopting mesoscale models to analyze the dynamic split tensile behavior of MSCC under different strain rates. A four-phase 2D mesoscale heterogeneous model, comprising aggregates, ITZ, cement mortar, and microcapsules, is constructed to represent the MSCC material. Dynamic split tensile loads at various strain rates, corresponding to the experimental results [], are added to the 2D specimen. For comparison, mesoscale two-phase 2D and 3D models are also constructed and numerically analyzed. In these two-phase models, the cement mortar is assumed to be homogenous without considering any aggregates, and the second phase consists of microcapsules. The damage and failure process of the three different models under dynamic split tension at different strain rates are numerically studied and compared, being further compared with the SHPB test results.
2. Dynamic Split Tensile SHPB Test
The dynamic behavior of concrete-like materials can be evaluated using the SHPB apparatus through a dynamic Brazilian disk-splitting tensile test []. As depicted in Figure 1, the test setup consists of three key components: a striker, an incident bar, and a transmitted bar. The dimensions of the system are as follows: the striker is 800 mm long, the incident bar is 4000 mm, and the transmitted bar is 2000 mm. All bars have a uniform diameter of 120 mm. Positioned between the incident and transmitted bars is a disk-shaped specimen with a diameter of 100 mm and a thickness of 50 mm. During the test, the striker impacts the incident bar, generating a compressive stress wave that travels through the incident bar and reaches the specimen. Upon contact, the stress wave interacts with the disk-shaped specimen, inducing tensile stresses along the diameter of the disk. This results in the specimen splitting along its diameter due to the tensile forces. The transmitted bar then captures the stress wave that has passed through the specimen, allowing for the measurement of the material’s dynamic tensile properties.
Figure 1.
Diagram of Brazilian disk-splitting tensile SHPB test.
According to the uniformity and one-dimensional stress wave assumptions, the contact force P1 between the specimen and the incident bar, P2 between the specimen and the transmitted bar, and the load Pt on the specimen can be given by
where E is the Young’s modulus of the bar, which is 206 GPa; A is the cross-sectional area of the bar, and εi, εr, and εT are the incident strain, reflected strain, and transmitted strain, respectively.
Therefore, the stress σ, stress rate , and the strain rate of the specimen are
where D and H are the diameter and the depth of the specimen, respectively.
In a previous study [], the dynamic splitting tensile performance of MSCC was experimentally investigated. The study examined the dynamic tensile properties of MSCC with varying microcapsule contents: 0%, 2%, 5%, and 8%. These different compositions are referred to as M0, M2, M5, and M8, respectively. The splitting tests were conducted under impact pressures of 0.05 MPa, 0.10 MPa, 0.15 MPa, and 0.20 MPa, which corresponded to strain rates ranging from 0.85/s to 10.13/s. For detailed information on the experimental setup and results, please refer to reference [].
3. Mesoscale Models
3.1. Geometry Models
Three different mesoscale models are constructed. The first mesoscale model is a four-phase 2D model, where the MSCC specimen is assumed to be composed of aggregates, ITZ, cement mortar, and microcapsules. In the model, microcapsules are incorporated into the specimens M0, M2, M5, and M8 according to their respective mass percentages of microcapsules: 0%, 2%, 5%, and 8%. Notably, M0 contains no microcapsules, making it a three-phase model. Aggregates are generated according to Fuller’s grading curve. Assuming that the aggregates in the four-phase model account for 40% of the total volume of concrete, the aggregate particle size ranges are considered to be 1.80–2.90 mm, 2.90–4.00 mm, and 4.00–5.10 mm, accounting for 15.77%, 12.96%, and 11.27% of the total volume, respectively.
In the 2D models, the specimen is simplified as a 2D plane stress problem. A four-phase 2D circular model with a diameter of 100 mm is established, as shown in Figure 2. Triangular elements are adopted in the mesoscale MSCC model. To balance specimen size and computational efficiency, the mesh size for aggregates, mortar, and microcapsules is set to approximately 0.5 mm, while the thickness of the ITZ is 0.2 mm, and the microcapsules are assigned a diameter of 1.0 mm. The actual size of the microcapsules is approximately 0.1 mm, with a density of 1 kg/L. Due to the impracticality of constructing such small elements, the microcapsules are represented as larger than their real size while maintaining the same total volume. In the four-phase 2D MSCC model with a microcapsule content of 8% (M8), a total of 86,916 elements are used, including 3219 microcapsule elements, 34,159 aggregate elements, 14,902 ITZ elements, and 34,636 mortar elements. In Figure 2, the yellow circles represent microcapsules (approximated by regular polygons), the red circles represent aggregates, the brown area indicates the cement matrix, and the blue regions denote the ITZs located between the aggregates and the matrix.
Figure 2.
Four-phase 2D mesoscale MSCC model (M8).
Since the aggregates in the MSCC specimen are very small, the mortar matrix can be assumed to be homogeneous. Thus, a second model—a two-phase 2D model—was developed, focusing solely on the homogeneous mortar matrix and microcapsules. This model emphasizes the interaction between the mortar and the microcapsules, which is likely critical for understanding the composite’s dynamic tensile behavior. As in the previous model, 2D plane stress elements are used to simulate stress distribution and mechanical behavior under loading. The constructed two-phase 2D model is shown in Figure 3. It is important to note that the M0 model, which does not contain any microcapsules, is homogeneous and identical to the 3D M0 model that will be discussed later.
Figure 3.
Two-phase 2D mesoscale MSCC model (M8).
To further analyze the true 3D dynamic tensile properties of MSCC, a two-phase 3D MSCC model was established as the third model for comparison. Trial calculations were conducted using both 0.5 mm and 1 mm grids. The results showed minimal differences in stress–time history and failure modes, but the computation time for the 0.5 mm grid was seven times greater than that of the 1 mm grid. To balance accuracy and efficiency, the element size in the 3D model was set to approximately 1 mm. This adjustment ensures that the model remains computationally manageable while still providing detailed insights into the material’s properties. Additionally, the microcapsule diameter was set to 1 mm for consistency with the 2D models. The 3D model, as shown in Figure 4, comprises a total of 960,000 hexahedral solid elements, including 6298 microcapsule elements (at 8% microcapsule content) and 953,702 cement mortar elements.
Figure 4.
Two-phase 3D mesoscale MSCC model (M8).
3.2. Loading and Boundary Conditions
Figure 5 displays a realistic and detailed 3D numerical model of the dynamic Brazilian disk-splitting tensile SHPB test, which includes the striker, incident bar, transmitted bar, and specimen. Similarly, detailed 2D models can also be constructed. These comprehensive models accurately simulate the actual test conditions. However, the comprehensive simulation is highly time consuming and requires significant computational resources.
Figure 5.
Three-dimensional dynamic Brazilian disk-splitting tensile SHBP test model.
To reduce computational costs, a simplified SHPB splitting tensile numerical model is developed, as shown in Figure 6. This simplified model excludes the striker, incident bar, and transmitted bar, focusing solely on the specimen. The dynamic loading is represented by applying a trapezoidal shaped velocity loading (Figure 7) on the upper boundary, while the velocity of the lower boundary is set to zero. This approach ensures that the velocity boundary conditions are calibrated to achieve the same strain rate as that in the SHPB test. It is worth noting that the strain rate in a SHPB test is not constant; an average strain rate over a certain time range is used as the nominal strain rate. It is important to note that the equivalent velocity boundary conditions differ from the actual stress conditions in the SHPB splitting tensile test. Nevertheless, the stress state within the specimen remains equivalent in both models. The stress–strain relationships obtained from the two models show good agreement, validating the simplified approach. Consequently, the simplified specimens with only velocity boundaries are used in subsequent simulations for all three models, ensuring computational efficiency without compromising the accuracy of the results.
Figure 6.
Simplified SHBP dynamic splitting tensile test model.
Figure 7.
Typical velocity boundary.
3.3. Material Models
The K&C model (Karagozian and Case model []) is well accepted in the simulation of concrete-like materials. It is adopted in this study to model the aggregates, ITZ, mortar and the homogeneous mortar matrix. The model introduces three strength surfaces, i.e., initial yield, ultimate strength, and residual failure surfaces, to determine the initial yield, ultimate strength, and residual strength of concrete under loads, respectively. Three main stages are determined from the beginning of loading to concrete failure: (1) the elastic stage, during which the stress point does not reach the initial yield surface; (2) the strengthening stage, where the stress point exceeds the initial yield strength surface but does not reach the ultimate strength surface; and (3) the softening stage, during which the stress point reaches the ultimate strength surface but does not reach the residual failure surface. The initial yield, ultimate strength, and residual failure surfaces are determined by Equations (7), (8), and (9), respectively.
where and , , , , , , , and are the material parameters. According to the relevant test results [] and the parameters suggested by the literature [], the major parameters of the aggregates, mortar, and ITZ are determined and listed in Table 1.
Table 1.
Material parameter of the aggregates, ITZ, mortar, and homogeneous cement paste.
Concrete-like composite materials are very sensitive to strain rate. Compared with static loads, the mechanical properties of concrete such as strength, deformation, and energy absorption capacity are improved under dynamic loads, reflecting the strain rate effect. The strength increase under different loading rates can be expressed by the dynamic increase factor (DIF) of concrete strength. DIF is obtained from a large number of mortar matrix and concrete test data. In this study, the compression DIF (CDIF) formula recommended by CEB [] is used to simulate the dynamic compression mechanical behavior of the mortar matrix.
where is dynamic compressive strength, is static compressive strength at the strain rate of , = 30 × 10−6/s, and is the strain rate.
Tedesco and Ross’s tensile DIF (TDIF) [] is used here to consider the dynamic tensile behavior of the concrete-like materials,
where is dynamic tensile strength, is static tensile strength, and is strain rate.
4. Numerical Results and Discussion
4.1. Comparison of Damage Process of Different MSCC Models
Figure 8 shows the typical stress–time curve of specimen M0, calculated using the three-phase 2D model. Five representative time points, labeled t1 to t5, correspond to key stages of the stress response: 50% and 80% of the peak stress during the ascending phase, the peak stress, and 80% and 50% of the peak stress during the descending phase. These time points capture critical states of the material before and after reaching peak stress, providing valuable insight into its behavior under dynamic loading conditions. For all the other models, the five key time points were selected to correspond to the same stress state.
Figure 8.
Typical time points in the stress–time history (M0 2D3P 0.88/s).
The damage evolution processes of different numerical models for specimens M0 and M8 under various strain rates are compared, with the results presented in Figure 9, Figure 10, Figure 11 and Figure 12. The damage contours in these figures correspond to the five key time points outlined in Figure 8. For the 3D model, the damage contour is extracted from the central slice of the specimen, offering a detailed view of the internal damage. This comparison highlights the differences in damage progression between the M0 and M8 models at different strain rates. At higher strain rates, damage initiates earlier and propagates more rapidly, leading to more extensive and widespread damage. By contrast, at lower strain rates, damage evolves more gradually and remains more localized. The Figures provide a clear visualization of how internal damage initiates and propagates within the material over time, offering valuable insights into the material’s behavior under dynamic loading conditions.

Figure 9.
Comparison of damage process of different numerical models (M0 0.88/s).
Figure 10.
Comparison of damage process of different numerical models (M0 7.16/s).
Figure 11.
Comparison of damage process of different numerical models (M8 1.09/s).
Figure 12.
Comparison of damage process of different numerical models (M8 10.13/s).
Figure 9 and Figure 10 illustrate the damage process of M0 under dynamic split tension at strain rates of 0.88/s and 7.16/s, respectively. The results indicate that crack damage in the 3D homogeneous model initiates later than in the 2D model, particularly before the stress reaches its peak value. This difference arises because, in the 3D model, the damage contour is extracted from the specimen’s central plane, where damage distribution is not entirely uniform; surface damage tends to be more pronounced. Despite this discrepancy, both the 2D and 3D homogeneous models display significant stress concentrations along the central line, highlighting areas where material failure is most likely. The damage results from both models are similar, reflecting typical homogeneous damage behavior characterized by uniform crack distribution and progressive failure. By contrast, the three-phase 2D model shows different damage behavior. There is no damage within the higher strength aggregates, which remain intact due to their superior mechanical properties. Instead, a clear major crack occurs along the ITZ, the weaker region between the aggregates and the cement matrix. This crack then propagates through the specimen, following the path of least resistance. This behavior highlights the significant influence of the ITZ on the overall damage process and failure mechanism in heterogeneous materials. These observations underscore the importance of considering the material’s microstructure in numerical models to accurately predict its dynamic behavior. The differences in damage patterns between the homogeneous and three-phase models provide valuable insights into the role of microstructural features, such as the ITZ, in the damage evolution process under dynamic loading conditions.
Figure 11 and Figure 12 illustrate the damage process of specimen M8 under dynamic split tension at strain rates of 1.09/s and 10.13/s, respectively. The failure modes observed in the 2D and 3D two-phase models differ from those in the homogeneous models shown in Figure 9 and Figure 10, primarily due to the presence of microcapsules, which introduce heterogeneity and affect the failure pattern. Despite these differences, all models display a typical splitting tensile failure mode, indicating that they are capable of simulating MSCC specimens to a certain extent.
However, the damage evolution in the 2D three-phase model for M0 and the 2D four-phase model for M8 shows a better representation of internal interactions compared to other models. These models more accurately capture the interaction between components within the concrete, and the distribution of aggregates is shown to influence crack development. Additionally, the failure patterns of the 2D two-phase models (homogeneous M0) closely resemble those of the corresponding 3D models, further validating their use for simulating dynamic behavior in MSCC specimens. Numerical simulations were performed on MSCC specimens M0, M2, M5, and M8 across different strain rates. Due to space constraints, most illustrations are omitted here. The simulations reveal that cracks in MSCCs initiate at the relatively weak ITZ, then extend to adjacent ITZs, penetrate the mortar matrix, and eventually reach both ends of the model. The shape and propagation of these cracks are strongly influenced by the distribution of aggregates within the composite. The final failure mode is characterized by the formation of a dominant primary crack. Moreover, as the microcapsule content increases, there is a noticeable rise in the number of fine cracks around the loading and fixed ends, indicating increased micro-cracking activity in these regions. This suggests that higher microcapsule content enhances localized cracking behavior.
At high strain rates, cracks tend to originate near the loading end, a result of increased stress concentration in these regions. Additionally, higher strain rates lead to a greater number of cracks at both the loading and fixed ends of the model, further driven by elevated stress concentrations. This increased micro-cracking activity under dynamic loading conditions underscores the material’s sensitivity to strain rate. It highlights the importance of accounting for strain rate effects when designing and analyzing MSCCs to ensure accurate assessment of their performance under dynamic stress.
4.2. Comparison of Damage Process of Four-Phase 2D Model with Test Results
Figure 13 presents a comparison between the numerical damage progression of the 2D three-phase and four-phase MSCC models at strain rates of 1.44/s, 1.36/s, 1.49/s, and 2.59/s, alongside experimental test results. The simulated failure evolution closely corresponds to the experimental observations, showing clear agreement in terms of central crack initiation, crack propagation, and the formation of secondary cracks. These numerical patterns are consistent with the high-speed camera images from the experiments, demonstrating the model’s capability to capture key aspects of the damage process.
Figure 13.
Comparison of the damage process of the mesoscale model with test results.
As the microcapsule content increases, there is a slight increase in both crack width and overall damage severity. In all cases, the primary crack dominates the failure process, serving as the main path of material rupture. Higher strain rates lead to more pronounced damage, including the appearance of additional secondary cracks around the primary crack. The increased strain rate accelerates crack initiation and propagation, resulting in more extensive damage patterns.
Although the secondary cracks in the simulations do not perfectly align with the experimental results, the numerical models still produce reasonable crack patterns. This discrepancy may stem from simplified assumptions regarding the circular aggregate shape and random aggregate distribution, as well as idealized material properties and geometries in the model, which may not fully capture the complexity of real-world materials. Simplified round aggregates may introduce certain calculation errors. Nonetheless, the overall agreement between the simulations and experiments underscores the model’s robustness in predicting the general behavior of MSCC under dynamic loading conditions.
This comparison underscores the importance of considering microcapsule content and strain rate in understanding MSCC failure mechanisms, as both factors significantly influence crack development and damage severity. It also demonstrates that while numerical models may not capture every detail of the failure process, they are effective tools for predicting and analyzing the dynamic behavior of complex composite materials like MSCC.
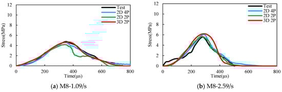
4.3. Dynamic Split Tensile Stress Analysis
Figure 14, Figure 15, Figure 16 and Figure 17 present the numerical results of splitting tensile stress–time histories for three MSCC models—the 2D three-phase model, the 2D four-phase model, and the 3D homogeneous/two-phase model—compared with experimental results. In these figures, 1P denotes the homogeneous model, 2P refers to the two-phase model, 3P indicates the three-phase model, and 4P represents the four-phase model. Overall, the numerical results from all models show good agreement with the experimental findings, with a few exceptions (specifically for M0 at 1.57/s, M2 at 1.65/s, and M5 at 1.77/s). These discrepancies may stem from the strain rate calculation method employed in the split tensile SHPB test, as the calculated strain rate may not accurately reflect the actual strain rate. Additionally, some deviations in the experimental data near these specific strain rates could contribute to the observed differences.
Figure 14.
Stress–time relationship of M0 under different strain rates.

Figure 15.
Stress–time relationship of M2 under different strain rates.
Figure 16.
Stress–time relationship of M5 under different strain rates.

Figure 17.
Stress–time relationship of M8 under different strain rates.
Despite these exceptions, the overall trends and behaviors of the numerical models align well with the experimental observations, demonstrating the robustness of the numerical approach in accurately capturing the dynamic response of MSCC under varying strain rates. This consistency reinforces the validity of the numerical models as effective tools for understanding the mechanical behavior of MSCC.
Overall, both experimental results and numerical simulations demonstrate that the dynamic tensile strength of MSCC increases with strain rate, highlighting a distinct strain rate effect. As the strain rate rises, the tensile stress reaches higher values more rapidly, resulting in greater dynamic strength within a shorter time frame. This behavior can be attributed to the material’s improved capacity to resist deformation under rapid loading conditions, leading to enhanced tensile strength during dynamic loading scenarios.
A comparison between the 2D and 3D simulations reveals that the tensile strengths obtained from the 3D model are slightly higher than those from the 2D models. During the early stage of the ascending loading phase, the two models show similar behavior; however, the 3D model reaches its peak strength slightly later than the 2D model, resulting in marginally higher values. The descending sections of the stress curves also display minor differences. These variations may be attributed to differences in element size, as the 2D model employs a 0.5 mm element size, which is smaller than the 1 mm element size used in the 3D model. Another factor could be the different stress states between the 3D and 2D simulations, as the 3D model accounts for a more complex stress distribution. Despite these differences, the overall discrepancies between the two models are minimal, indicating that both effectively simulate the dynamic stress performance of the specimens.
4.4. Dynamic Stress–Strain Relationship
Based on the numerical simulation results, the stress–strain relationship can be established. Figure 18 illustrates the typical stress–strain behavior of the M8 specimen at different strain rates, as determined by the four-phase 2D model. The effect of strain rate is clearly evident, with tensile strength increasing as the strain rate rises. The Figure also indicates that Young’s modulus remains nearly constant across the four different strain rates, with only the peak stress exhibiting variation. Consequently, the strain corresponding to peak stress changes with the strain rate.
Figure 18.
Typical stress–strain relationship (2D4P/M8).
Notably, the stress–strain relationship at a strain rate of 10.13/s differs from the others, particularly around the peak stress. This discrepancy occurs because some elements sustain damage before the nominal stress reaches its peak value, leading to an increase in peak strain. This peak strain is also nominal, representing an average across the four mesoscale phases within a specific area.
For other specimens, such as M0, M2, and M5, the stress–strain relationships are similar to the one shown in Figure 18. While the results from the two-phase 2D and 3D models exhibit slight differences, the overall trends remain consistent across both modeling approaches.
4.5. Tensile DIFs
Figure 19 further summarizes the dynamic tensile strengths of three MSCC models—the 2D homogeneous/two-phase model, the 2D three-phase/four-phase model, and the 3D homogeneous/two-phase model—under different strain rates, compared with experimental results. The strain rate effect is clearly evident in the data.
Figure 19.
Tensile strength of MSCC at different strain rates.
Dynamic Increase Factors (DIFs), defined as the ratios of dynamic tensile strength to static strength, were calculated for all numerical and experimental results. Figure 20 presents the tensile DIFs obtained from the current numerical models and test results alongside available formulae for normal concrete from the literature [,,,,,,]. Notably, the DIFs for MSCCs with varying microcapsule contents show minimal differences, and the DIFs for normal concrete are similar to those of MSCCs. This suggests that the presence of microcapsules does not significantly affect the strain rate sensitivity of the material.
Figure 20.
Comparison of tensile DIFs of MSCC with literature [,,,,,,].
The consistency between the numerical models and experimental results, as well as with established formulae, reinforces the reliability of the numerical approach in predicting the dynamic behavior of MSCCs. Understanding these DIFs is crucial for accurately assessing the performance of MSCCs under dynamic loading conditions, particularly for their application in structures subjected to impacts or other high-strain-rate events. However, it is important to note that DIFs reported in various sources in the literature can vary significantly, indicating that there is still considerable work to be undertaken to achieve accurate DIFs for concrete-like materials.
5. Conclusions
Numerical simulations of split tensile behavior were conducted on mesoscale models of MSCC with varying microcapsule fractions, allowing for an analysis of the dynamic split tensile behavior under different strain rates. The following conclusions can be drawn from the simulations:
- The mesoscale MSCC model exhibits clear dynamic strain rate sensitivity under split tension. The ultimate dynamic tensile strength of MSCC increases with the strain rate, leading to a greater degree of damage.
- The DIFs of MSCCs with different microcapsule contents show minimal variation. Furthermore, the DIFs for normal concrete are comparable to those of MSCCs.
- The four-phase 2D model, two-phase 2D model, and two-phase 3D model are all effective for simulating the dynamic tensile behavior of MSCC. While the differences in stress–time history among these models are minimal, the four-phase 2D model provides a more accurate representation of the damage process, particularly in terms of crack development.
- The assumption of circular aggregates causes the simulated cracks to differ slightly from the experimental ones. Future research will conduct numerical simulations using CT scans of the actual mesoscale structural layout.
- The current microcapsule material model is overly simplistic and may not adequately capture the material’s mechanical behavior. Further investigation is needed to refine the DIF of the mesoscale components and enhance the accuracy of the simulations.
Author Contributions
Conceptualization, X.Z. and X.W.; methodology, X.Z. and Q.L.; software, X.Z. and Q.L.; validation, X.Z. and Q.L.; formal analysis, X.Z. and Q.L.; investigation, X.Z. and Q.L.; writing—original draft preparation, X.Z.; writing—review and editing, X.Z. and X.W.; supervision, X.Z. and X.W.; funding acquisition, X.W. All authors have read and agreed to the published version of the manuscript.
Funding
This research was funded by the National Key Research and Development Program of China [No. 2022YFE0109300].
Data Availability Statement
The original contributions presented in the study are included in the article, further inquiries can be directed to the corresponding author.
Conflicts of Interest
The authors declare no conflicts of interest.
References
- Shelton, D.P.; Harper, J.M. G82-623 An Overview of Concrete as a Building Material. In University of Nebraska—Lincoln Extension: Historical Materials; University of Nebraska—Lincoln: Lincoln, NE, USA, 1982. [Google Scholar]
- Mehta, P.K.; Monteiro, P.J.M. Concrete: Microstructure, Properties, and Materials, 3rd ed.; McGraw-Hill: New York, NY, USA, 2006. [Google Scholar]
- Zheng, Y.; Lv, X.; Hu, S.; Zhuo, J.; Wan, C.; Liu, J. Mechanical properties and durability of steel fiber reinforced concrete: A review. J. Build. Eng. 2024, 82, 108025. [Google Scholar] [CrossRef]
- Sanchez, F.; Sobolev, K. Nanotechnology in concrete—A review. Constr. Build. Mater. 2010, 24, 2060–2071. [Google Scholar] [CrossRef]
- Van Tittelboom, K.; De Belie, N. Self-healing in cementitious materials—A review. Materials 2013, 6, 2182–2217. [Google Scholar] [CrossRef]
- Wu, M.; Johannesson, B.; Geiker, M. A review: Self-healing in cementitious materials and engineered cementitious composite as a self-healing material. Constr. Build. Mater. 2012, 28, 571–583. [Google Scholar] [CrossRef]
- Xue, C.; Li, W.; Li, J.; Tam, V.W.Y.; Ye, G. A review study on encapsulation-based self-healing for cementitious materials. Struct. Concr. 2019, 20, 198–212. [Google Scholar] [CrossRef]
- White, S.R.; Sottos, N.R.; Geubelle, P.H.; Moore, J.S.; Kessler, M.R.; Sriram, S.R.; Brown, E.N.; Viswanathan, S. Autonomic healing of polymer composites. Nature 2001, 409, 794–797. [Google Scholar] [CrossRef]
- Yang, Z.; Hollar, J.; He, X.; Shi, X. A self-healing cementitious composite using oil core/silica gel shell microcapsules. Cem. Concr. Compos. 2011, 33, 506–512. [Google Scholar] [CrossRef]
- Ma, E.; Chen, X.; Lai, J.; Kong, X.; Guo, C. Self-healing of microcapsule-based materials for highway construction: A review. J. Traffic Transp. Eng. 2023, 10, 368–384. [Google Scholar] [CrossRef]
- Wang, X.; Huang, Y.; Huang, Y.; Zhang, J.; Fang, C.; Yu, K.; Chen, Q.; Li, T.; Han, R.; Yang, Z. Laboratory and field study on the performance of microcapsule-based self-healing concrete in tunnel engineering. Constr. Build. Mater. 2019, 220, 90–101. [Google Scholar] [CrossRef]
- Han, T.; Wang, X.; Li, D.; Li, D.; Xing, F.; Han, N.; Li, Z. Uniaxial deformation characteristics and mechanical model of microcapsule-based self-healing cementitious composite. Constr. Build. Mater. 2021, 274, 121227. [Google Scholar] [CrossRef]
- Kanellopoulos, A.; Giannaros, P.; Al-Tabbaa, A. The effect of varying volume fraction of microcapsules on fresh, mechanical and self-healing properties of mortars. Constr. Build. Mater. 2016, 122, 577–593. [Google Scholar] [CrossRef]
- Shi, T.; Livi, S.; Duchet-Rumeau, J.; Gérard, J.-F. Enhanced mechanical and thermal properties of ionic liquid core/silica shell microcapsules-filled epoxy microcomposites. Polymer 2021, 233, 124182. [Google Scholar] [CrossRef]
- Huang, Y.; Wang, X.; Sheng, M.; Qin, D.; Ren, J.; Zhou, X.; Zhu, J.; Xing, F. Dynamic behavior of microcapsule-based self-healing concrete subjected to impact loading. Constr. Build. Mater. 2021, 301, 124322. [Google Scholar] [CrossRef]
- ASTM C496/C496M; Standard Test Method for Splitting Tensile Strength of Cylindrical Concrete Specimens. ASTM International: West Conshohocken, PA, USA, 2017.
- Sheng, M.; Wang, X.; Huang, Y.; Song, Q.; Zhou, X.; Yang, L.; Xing, F. Dynamic splitting behavior of microcapsule-based self-healing cementitious composites under SHPB impact loading. J. Build. Eng. 2024, 91, 109638. [Google Scholar] [CrossRef]
- Unger, J.F.; Eckardt, S. Multiscale modeling of concrete: From mesoscale to macroscale. Arch. Comput. Methods Eng. 2011, 18, 341–393. [Google Scholar] [CrossRef]
- Thilakarathna, P.S.M.; Kristombu, B.S.; Mendis, P.; Vimonsatit, V.; Lee, H. Mesoscale modelling of concrete—A review of geometry generation, placing algorithms, constitutive relations and applications. Eng. Fract. Mech. 2020, 231, 106974. [Google Scholar] [CrossRef]
- Wang, Z.M.; Kwan, A.K.H.; Chan, H.C. Mesoscopic study of concrete I: Generation of random aggregate structure and finite element mesh. Comput. Struct. 1999, 70, 533–544. [Google Scholar] [CrossRef]
- Grassl, P.; Rempling, R. A damage-plasticity interface approach to the meso-scale modelling of concrete subjected to cyclic compressive loading. Eng. Fract. Mech. 2008, 75, 4804–4818. [Google Scholar] [CrossRef]
- Zhang, S.; Lu, Y.B.; Chen, X. Influence of mesoscale three-phase parameters to the tensile behavior of concrete. Compos. Interfaces 2016, 23, 585–605. [Google Scholar] [CrossRef]
- Chen, H.B.; Xu, B.; Wang, J.; Zhou, T.; Nie, X.; Mo, Y.L. Parametric analysis on compressive strain rate effect of concrete using mesoscale modeling approach. Constr. Build. Mater. 2020, 246, 118375. [Google Scholar] [CrossRef]
- Wu, Z.; Zhang, J.; Fang, Q.; Yu, H.; Ma, H. Mesoscopic modelling of concrete material under static and dynamic loadings: A review. Constr. Build. Mater. 2021, 278, 122419. [Google Scholar] [CrossRef]
- Wriggers, P.; Moftah, S.O. Mesoscale models for concrete: Homogenisation and damage behaviour. Finite Elem. Anal. Des. 2006, 42, 623–636. [Google Scholar] [CrossRef]
- Van Mier, J.G.M.; Van Vliet, M.R.A. Influence of microstructure of concrete on size/scale effects in the tensile fracture. Eng. Fract. Mech. 2003, 70, 2281–2306. [Google Scholar] [CrossRef]
- Agioutantis, Z.; Chatzopoulou, E.; Stavroulaki, M. A numerical investigation of the effect of the interfacial zone in concrete mixtures under uniaxial compression: The case of the dilute limit. Cem. Concr. Res. 2000, 30, 715–723. [Google Scholar] [CrossRef]
- Häfner, S.; Eckardt, S.; Luther, T.; Könke, C. Mesoscale modelling of concrete: Geometry and numerics. Comput. Struct. 2006, 84, 450–461. [Google Scholar] [CrossRef]
- Kwan, A.K.H.; Wang, Z.M.; Chan, H.C. Mesoscopic study of concrete II: Nonlinear finite element analysis. Comput. Struct. 1999, 70, 545–556. [Google Scholar] [CrossRef]
- Zhou, X.Q.; Hao, H. Modelling of compressive behaviour of concrete-like materials at high strain rate. Int. J. Solids. Struct. 2008, 45, 4648–4661. [Google Scholar] [CrossRef]
- Tu, Z.G.; Lu, Y. Mesoscale modelling of concrete for static and dynamic response analysis Part 1: Model development and implementation. Struct. Eng. Mech. 2011, 37, 197–213. [Google Scholar] [CrossRef]
- Malvar, L.J.; Crawford, J.E.; Wesevich, J.W.; Simons, D. A plasticity concrete material model for DYNA3D. Int. J. Impact Eng. 1997, 19, 847–873. [Google Scholar] [CrossRef]
- Kuang, Z.P.; Chen, S.Q. Analysis and simulation for the material parameters of K&C concrete model. Chin. Q. Mech. 2015, 36, 517–526. (In Chinese) [Google Scholar]
- International Federation for Structural Concrete (fib). fib Model Code for Concrete Structures 2010; International Federation for Structural Concrete (fib): Lausanne, Switzerland, 2013. [Google Scholar]
- Tedesco, J.W.; Ross, C.A. Strain-rate-dependent constitutive equations for concrete. J. Press. Vessel Technol. 1998, 120, 398–405. [Google Scholar] [CrossRef]
- Malvar, L.J.; Ross, C.A. Review of strain rate effects for concrete in tension. ACI Mater. J. 1998, 95, 735–739. [Google Scholar]
- Thomas, R.J.; Sorensen, A.D. Review of strain rate effects for UHPC in tension. Constr. Build. Mater. 2017, 153, 846–856. [Google Scholar] [CrossRef]
- Antoun, T.H. Constitutive/Failure Model for the Static and Dynamic Behaviors of Concrete Incorporating Effects of Damage and Anisotropy; The University of Dayton: Dayton, OH, USA, 1991. [Google Scholar]
- Xu, H.; Wen, H. Semi-empirical equations for the dynamic strength enhancement of concrete-like materials. Int. J. Impact Eng. 2013, 60, 76–81. [Google Scholar] [CrossRef]
Disclaimer/Publisher’s Note: The statements, opinions and data contained in all publications are solely those of the individual author(s) and contributor(s) and not of MDPI and/or the editor(s). MDPI and/or the editor(s) disclaim responsibility for any injury to people or property resulting from any ideas, methods, instructions or products referred to in the content. |
© 2024 by the authors. Licensee MDPI, Basel, Switzerland. This article is an open access article distributed under the terms and conditions of the Creative Commons Attribution (CC BY) license (https://creativecommons.org/licenses/by/4.0/).