Next Article in Journal
The Impact of Artificial Intelligence on Organizational Justice and Project Performance: A Systematic Literature and Science Mapping Review
Previous Article in Journal
Improved Bond Stress-Slip Relationships for Carbon Fibre-Reinforced Polymer-Strengthened Masonry Triplets
 
 
Font Type:
Arial Georgia Verdana
Font Size:
Aa Aa Aa
Line Spacing:
Column Width:
Background:
Article

Methodical Investigations on Seismic Retrofitting of Steel Plate Shear Wall Systems

Department of Civil Engineering and Construction Management, California State University, Northridge, CA 91330, USA
Buildings 2024, 14(1), 258; https://doi.org/10.3390/buildings14010258
Submission received: 15 December 2023 / Revised: 11 January 2024 / Accepted: 15 January 2024 / Published: 17 January 2024

Abstract

An efficient retrofitting technique is expected to improve the seismic performance of a lateral force-resisting system without increasing the seismic demand on the structure, which can unfavorably lead to irreparable damages during a seismic event. On this basis, the present study aims to introduce an optimal strategy for seismic retrofitting of steel plate shear wall (SPSW) systems using low yield point (LYP) steel material and to demonstrate its effectiveness through systematic investigations. To this end, detailed nonlinear static, cyclic, and dynamic analyses, as well as fragility analyses, have been performed on single- and multi-story, code-designed as well as retrofitted SPSWs. The aim is to identify the most efficient retrofitting approach and to demonstrate its effectiveness in enhancing the seismic performance and lowering the seismic vulnerability of the system. It is shown that replacing the original, conventional steel infill plate in an SPSW system with an LYP steel plate having twice the original thickness can improve not only the buckling capacity and serviceability, but also the structural performance and seismic response of the system, without increasing the demand on the structure and creating overstrength concerns. Fragility analysis also shows that the vulnerability, as well as probability, of damage to system can be considerably lowered as a result of the implementation of such a retrofitting strategy.

1. Introduction

SPSWs have been widely utilized in buildings to resist lateral loads, e.g., seismic forces [1]. Under the action of an earthquake, the web plate is designed to develop a tension field and dissipate the input seismic energy through plastic deformation [2]. This action reduces demand on the boundary frame and makes the infill plate prone to be damaged and permanently deformed. In particular, SPSWs employing thin and unstiffened web plates suffer from early buckling and subsequent tension-only plate behavior, which leads to pinched hysteretic behavior, reduced stiffness, and limited energy dissipation [3]. It is evident that earthquake-induced damage can significantly degrade the performance of the SPSW system in future seismic events. On this basis, the post-earthquake repair and retrofit of a damaged infill plate is essential for maintaining the safety and performance of the structure in subsequent seismic activities [4]. It is important to note that the efficient design and detailing of a structure will ensure the upkeep of the columns’ integrity in the aftermath of an earthquake. This will, in turn, enable the quick restoration of its seismic performance through retrofitting of the SPSW system. In the design of steel structures, accurate consideration of steel overstrength may play a particularly important role in rendering efficient structural design and detailing [5]. The adoption of an efficient retrofitting strategy can certainly play an important role in decreasing losses, which are not only caused by earthquake-induced shaking but also by its secondary effects like a tsunami, fire, and liquefaction [6].
Some great studies have been reported on the seismic repair, retrofit, and upgrading of existing structures using steel shear wall systems. For instance, Formisano et al. [7,8] investigated the application of shear panels for the seismic upgrading of existing reinforced concrete structures. Steel shear walls, indeed, have been successfully used to rehabilitate and retrofit existing structures [9]. Nonetheless, studies reporting on the seismic retrofit and repair of SPSW systems in the aftermath of an earthquake or earthquakes, although fruitful, are quite rare in the literature. Berman and Bruneau [10] reported a study on the design and performance assessment of light-gauge SPSW systems with flat and corrugated infill plates. In these studies, the plate–frame connections were achieved through the use of bolts in combination with industrial-strength epoxy and welds, demonstrating the effectiveness of such SPSWs in the seismic retrofitting of older buildings. Qu et al. [11] conducted an experimental study to investigate the replaceability of infill panels following an earthquake, as well as the behavior of the repaired SPSW in a subsequent earthquake. The experimental results from the pseudo-dynamic and cyclic tests demonstrated the capability of the repaired SPSW to exhibit stable force-displacement behavior and dissipate significant amounts of hysteretic energy. In an experimental study reported by Du et al. [12], the damaged infill plate of a steel shear wall was repaired using a dense ribbed grid, and the effectiveness of this repairing method in improving the load-bearing capacity and ductility of the system was demonstrated. In another study reported recently, Du et al. [13] investigated the performance of a steel shear wall under a two-phase pseudo-static loading and replaced the damaged infill plate with a new plate between the two loading phases. Favorable stiffness, strength, and ductility performances were achieved due to such a repairing approach. Du et al. [4] also considered using oblique (cross-shaped diagonal) ribs to repair the damaged web plate of a scaled SPSW specimen subjected to a two-step low-cycle reciprocating load. Proper detailing of the diagonal ribs was found to be effective in enhancing the seismic performance of the damaged steel shear wall system.
In this study, the favorable properties of the LYP steel material for seismic applications—namely its considerably low yield stress and high elongation capacity—have been exploited. The aim is to primarily identify an optimal retrofitting strategy and subsequently demonstrate its efficiency and effectiveness in improving the structural response and seismic performance of SPSW systems through systematic investigations. To this end, detailed nonlinear static, cyclic, and dynamic analyses, as well as fragility analyses, have been performed on single- and multi-story, code-designed, as well as retrofitted SPSWs using conventional and LYP steel materials, which are discussed in the following sections.

2. Optimal Retrofitting Strategy

In order to investigate the retrofitting of a conventional steel shear wall system, a single-story, single-bay, and full-scale steel shear wall was designed. The shear wall featured a 3000 × 3000 × 4.7 mm web plate made of ASTM A36 steel, as well as W14 × 120 and W14 × 132 respective beam and column frame components made of ASTM A572 Gr. 50 steel. The design was carried out as per AISC 341-10 [14] specifications.
The finite element model of the steel shear wall, shown in Figure 1, was developed by utilizing ANSYS 14.0 [15] software using the Shell181 element. The columns were fully fixed at their bases, and the beam-to-column connections around the perimeter of the panel zones were restrained against out-of-plane displacement. The lateral load was applied to the beam–column connection as shown in Figure 1. The stress–strain relationships and mechanical properties of the adopted steel material are shown in Figure 2. The von Mises yield criterion was used for material yielding, and isotropic and kinematic hardening rules were incorporated in the nonlinear monotonic and cyclic analyses, respectively. Eigen buckling analysis was performed to determine the first buckling mode in order to account for the initial imperfections. Geometrical, as well as material nonlinearities, were considered in the finite element analyses. The validity of the finite element simulation was verified through a comparison of the numerical predictions with the test results of a specimen (i.e., specimen no. 1) tested by Chen and Jhang [16], as shown in Figure 3. In fact, despite minor discrepancies between the test results and the numerical predictions due to the effects of actual testing conditions and associated imperfections, as well as the numerical modeling considerations, the agreement between the two sets of results is quite satisfactory.
In order to single out an effective and efficient retrofitting approach for the conventional steel shear wall system, in the first step, the 4.7 mm infill plate of the original SPSW system was replaced by 4.7, 9.3, 14.0, and 18.7 mm LYP steel plates. Nonlinear pushover analyses were performed to investigate the plate–frame interaction in these systems. The initial plate-to-frame yield ratios, determined from the drift responses corresponding to the first plate and first frame yield points, were determined from the numerical simulations for plates with slenderness ratios of 638 (4.7 mm thickness), 323 (9.3 mm thickness), 214 (14.0 mm thickness), and 160 (18.7 mm thickness). These are illustrated in Figure 4.
From Figure 4, it can be seen that despite substantial thickness augmentation, the LYP steel infill plates favorably yield prior to the yielding of the frame in all cases. As a matter of fact, the low yield stress of the LYP steel enables the replacement of the conventional steel infill plate with markedly thicker LYP steel plates. Nevertheless, the favorable plate and frame yielding sequence is maintained at such impressively large thicknesses.
The load–drift plots of the SPSWs with the original conventional and replaced LYP steel infill plates are shown in Figure 5. A comparison of the drift responses reveals that the strength performances of the original SPSW system and the one employing a 9.3 mm LYP steel web plate are more or less analogous. This proximity is quite impressive since, on the one hand, the employment of a 9.3 mm thick LYP steel plate, regardless of other advantages, improves the buckling stability and serviceability of the original infill plate. On the other hand, it relieves possible overstrength issues and consequences which are investigated in the following sections. These findings demonstrate that the application of an LYP steel plate having twice the original thickness seems promising for SPSW retrofitting purposes.
In order to substantiate the viability of the retrofitting approach identified above, the stiffness performances of the two SPSWs with 4.7 mm conventional steel and 9.3 mm LYP steel infill plates are investigated. From Figure 6, it can be seen that the initial stiffness of the retrofitted SPSW is considerably larger than that of the original SPSW, which decays due to early yielding of the LYP steel plate, and, eventually, both systems experience similar gradual stiffness reductions.
In Figure 7, the axial loads developed in the vertical boundary elements of the original and retrofitted SPSWs are portrayed. It is noticeable that the column axial loads developed in the original and retrofitted SPSWs are more or less similar, and the apparent discrepancies are immaterial.
Figure 8 additionally depicts the von Mises stress contour plots of the original and retrofitted SPSWs at a 0.02 drift ratio. It is clearly observed that the stress contours and yielding patterns, especially in the surrounding frame members of both systems, are quite consistent.
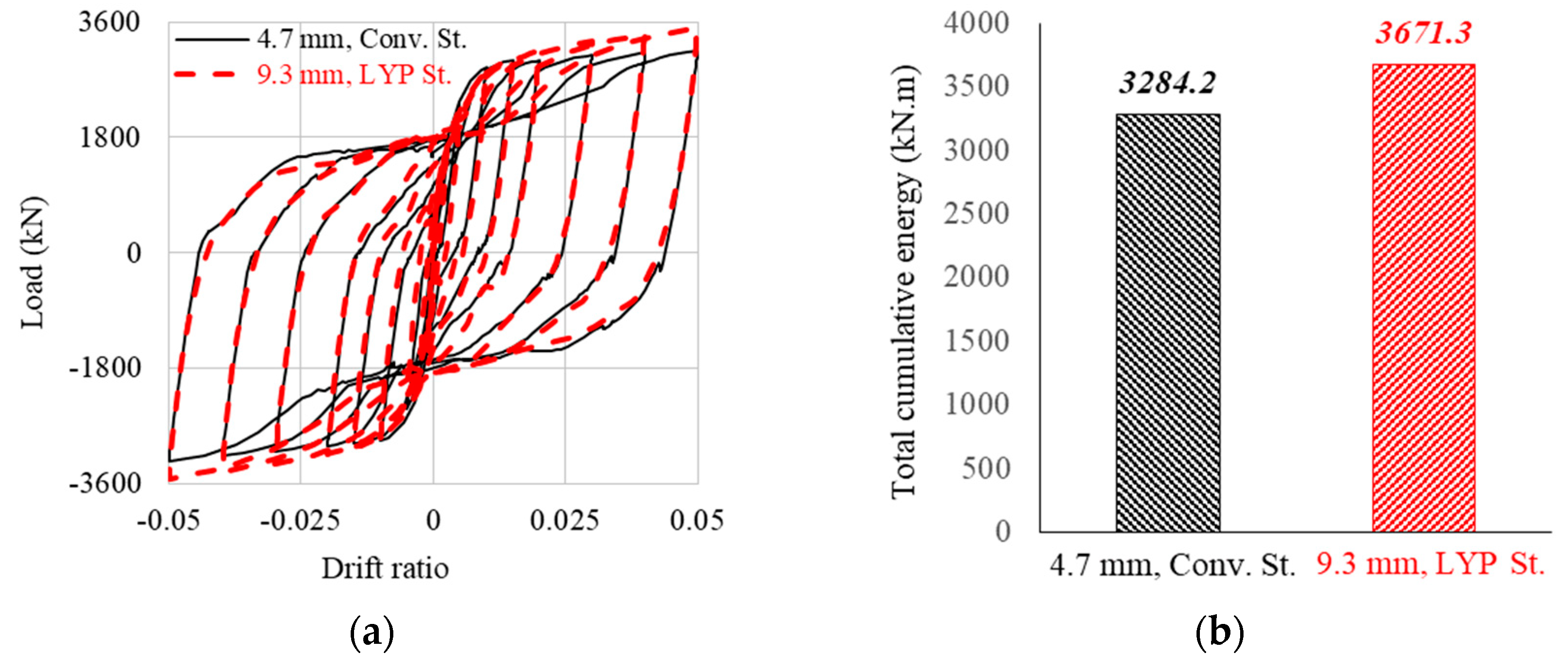
Lastly, the cyclic performances of the original and retrofitted steel shear walls are considered. For cyclic loading, ±0.001, ±0.0025, ±0.005, ±0.01, ±0.015, ±0.02, ±0.03, ±0.04, and ±0.05 drift ratios were applied. Figure 9a shows that both systems exhibit nearly similar hysteretic behaviors. In Figure 9b, it is shown that the retrofitted shear wall with the LYP steel infill plate carries relatively 11.8% more energy absorption capacity.
Results from static and cyclic analyses of the current study demonstrate that, in the aftermath of an earthquake, the conventional steel infill plate of an SPSW system can be feasibly replaced by an LYP steel plate having twice the original thickness. The low yield stress and elongation characteristics of LYP steel mainly facilitate the application of relatively thicker infill plates for retrofitting purposes. This, in turn, improves the buckling, serviceability, stiffening, and dampening performances and also advances the plate–frame interaction by limiting the overall system demand on the surrounding frame components.

3. Seismic Performance Assessment

In order to further investigate the effectiveness and adequacy of the identified retrofitting strategy, the seismic performances of multistory SPSW systems, originally designed using conventional steel material and retrofitted using LYP steel infill plates with twice the original thickness, are evaluated in this section. To this end, an interior gravity frame from the originally designed nine-story Los Angeles SAC building [17], with some modifications coupled with an SPSW system, was considered for seismic evaluations. A numerical model of the considered structure is shown in Figure 10.
Table 1 shows the design results for the gravity frame and the SPSW system. The steel shear wall system was designed for a site class D with spectrum parameters SMS = 2.415 g and SM1 = 1.269 g. The design seismic loads of the infill plates were estimated using the equivalent lateral force procedure set in ASCE 7-10 [18]. The beams and columns of the SPSW system were designed on the basis of the AISC 341-10 [14] capacity design principles. Respective ASTM A36 and ASTM A572 Gr. 50 steel materials were considered in the design of the plate and frame components of the original conventional steel shear wall system.
The web plates of the original SPSW system were replaced by LYP steel plates with twice the original thickness to assess the effectiveness of the identified retrofitting strategy. This was conducted via a nonlinear time-history analysis of the multi-story SPSW frames subjected to earthquake ground motions.
ANSYS 14.0 [15] was used for the modeling and analysis of the original and retrofitted structures. A typical finite element model is shown in Figure 10. Fixed column bases, restrained out-of-plane displacements, and rigid diaphragm configurations were considered in the finite element simulation. Frame components were modeled using the BEAM188 element with six or seven (warping magnitude) nodal degrees of freedom. The tension field action of the shear wall panels was simulated using the strip model with a 45° strip angle, as shown in Figure 10. To this end, 15 equally spaced, pin-ended, and tension-only strips, modeled using the LINK180 element with three nodal degrees of freedom, were used in each direction. Lumped masses of 49.52 tons and 99.03 tons were placed at the 1st to 8th story levels on the respective exterior and interior beam–column intersection nodes. As well as this, 53.34-ton and 106.68-ton lumped masses were placed at the 9th-story level on the exterior and interior beam–column intersection nodes, respectively. The MASS21 element with six degrees of freedom was used for simulating the lumped masses. ASTM A36 and LYP100 steel materials were adopted for the plate components in respective original and retrofitted SPSW panels, while ASTM A572 Gr. 50 steel was used in simulating the frame components in both original and retrofitted cases. The properties of the adopted steel material are shown in Figure 2. For material yielding, the von Mises yield criterion was used. The kinematic hardening rule was also used in the finite element analyses. Rayleigh proportional damping with a 2% damping ratio was incorporated and P-delta effects were considered in the analyses. Modal and nonlinear time-history analyses were performed by considering the geometrical and material nonlinearities. Lastly, to validate the numerical simulation, results from the testing of a single-story, single-bay SPSW specimen with an LYP100 steel infill plate as tested by Chen and Jhang [16], and a three-story specimen tested by Park et al. [19], were compared with the numerical predictions from the corresponding strip models. Based on Figure 11, the compliance between the test and finite element results is quite satisfactory, which is indicative of the accuracy and reliability of the finite element simulation.
A modal analysis of the multistory structures demonstrates that replacement of the original, conventional steel infill plates with LYP steel plates, having twice the original thickness, favorably enhances the initial stiffness of the frame by 21%.
Eleven ground motions, including Imperial_Valley_El_Centro_1940, Imperial_Valley_Array_#06_1979, Loma_Prieta_Gilroy_1989, Northridge_Rinaldi_RS_1994, Northridge_Sylmar_1994, North_Palm_Springs_1986, Kobe_1995, Loma_Prieta_1989, Northridge_Rinaldi_1994, Northridge_Sylmar_1994, and Tabas_1974, with 10/50 and 2/50 hazard levels, were selected for the seismic analyses. A summary of the seismic responses of the original and retrofitted SPSW frames is provided in Table 2.
From Table 2, it is found that due to the application of the considered retrofitting strategy, the peak interstory drift ratio, peak floor acceleration, normalized maximum base shear demand, normalized maximum base moment demand, and normalized maximum VBE axial load demand at column bases have favorably decreased by 22%, 29%, 14%, 22%, and 5%, respectively. The average web plate ductility ratio, on the other hand, has desirably increased by 11%. Some typical time histories of the originally designed and retrofitted SPSW frames for the 9th story drift ratio (Tabas_1974 record), 9th story acceleration (Northridge_Rinaldi_RS_1994 record), base shear (Loma_Prieta_1989 record), and base moment (Northridge_Rinaldi_RS_1994 record) are also compared in Figure 12. From these figures, the effectiveness of the identified retrofitting strategy in limiting the seismic responses is quite evident.
These results demonstrate that replacement of the conventional steel infill plates in a multistory SPSW system with LYP steel plates, having twice the original thickness, enhances the seismic performance of such lateral force-resisting system by favorably limiting the displacement, acceleration, and other seismic response parameters while improving the energy absorption capacity of the system.

4. Probabilistic Assessment Using Fragility Methodology

The efficacy of the identified SPSW retrofitting approach is also investigated through the employment of the Probabilistic Seismic Demand Model (PSDM). This enables the probabilistic evaluation of seismic responses as well as a vulnerability assessment of the original and retrofitted SPSW systems. The seismic performances of various structures have been investigated probabilistically by developing fragility functions for different damage and/or repair states [20]. For example, Jiang et al. [21] applied the fragility methodology to assess the impacts of potential uncertainties on the seismic risk of a steel frame equipped with a steel panel wall. Bu et al. [22] also investigated the influence of different shear hysteretic properties of steel slit shear walls on the structure’s overall fragility performance.
In this study, analytical fragility functions were derived using the nonlinear time-history responses of the structural models. A suite of thirty Los Angeles ground motion records from the SAC project [17] with 50/50, 10/50, and 2/50 seismic hazard levels, as well as wide ranges of peak ground velocity (PGV) and peak ground acceleration (PGA) intensity measures, were used with the aim of generating reliable fragility functions. PGV and PGA were considered as the earthquake ground motion intensity measures. Peak interstory drift ratio (PIDR) and peak floor acceleration (PFA) were also considered as the structural response parameters. As a result of extensive regression analyses, PFA-PGA and PIDR-PGA data pairs were selected for generation of the fragility curves. In addition, five SPSW structural repair states, i.e., RS1: cosmetic repair (0.004 story drift ratio), RS2: replace web plate (0.006 story drift ratio), RS3: VBE repair (0.015 story drift ratio), RS4: HBE and connection repair (no story drift ratio recommended due to the lack of experimental data), and RS5: replace boundary elements or frame (0.0275 story drift ratio), as proposed by Baldvins et al. [23], were used in this regard. These repair states and the associated story drift ratios were propounded on the basis of the prior reported experimental results as well as observations. Figure 13 shows the generated fragility curves for predicting the probability of reaching or exceeding the considered repair states of the original and retrofitted SPSWs.
The median (50th percentile) PGA values were determined from the fragility curves for the repair states of the original and retrofitted SPSWs to allow seismic and vulnerability performance assessments. These results are summarized in Table 3. From this table, it is evident that the median PGA values increase in all cases, by 45.5% on average, due to the implementation of the identified retrofitting strategy. This is indeed an indication of comparatively better seismic performance and lower vulnerability of the retrofitted SPSW system.
Overall, the adopted probabilistic fragility methodology demonstrates that the replacement of the conventional steel web plates in a code-designed multistory SPSW system with LYP steel plates, having twice the original thickness, improves the seismic response and reduces the seismic vulnerability of such a lateral force-resisting system.

5. Conclusions

In this research, methodical investigations were performed to identify an optimal approach for the retrofitting of SPSW systems and to substantiate its performance and effectiveness. To this end, numerous static, cyclic, and dynamic nonlinear analyses of code-designed and retrofitted single- and multi-story SPSWs made of conventional and LYP steel material were carried out. The results and findings of this study lead to the following concluding remarks:
  • LYP steel material, with considerably low yield stress and high elongation capacity compared to the conventional structural steel material, enables the use of relatively thicker web plates in SPSW systems. A detailed evaluation of the effects of various web thicknesses on the plate–frame interaction as well as strength and stiffness performances, hysteretic behavior, and energy dissipation capacity of a single-story, single-bay SPSW system were carried out. These studies revealed that the conventional steel infill plate can be effectively replaced by an LYP steel plate with twice the original thickness, without any unfavorable structural behaviors and responses; rather, this identified retrofitting approach can enhance the stability, serviceability, stiffening, and dampening performances of the steel shear wall system. It is evident that doubling the infill plate thickness in this retrofitting approach results in decreased web-plate slenderness and clearly improved buckling capacity, thus providing higher quality service in practice.
  • The effectiveness of the identified retrofitting strategy was verified through nonlinear time-history analyses and performance assessments of code-designed and retrofitted 9-story SPSW systems. Due to the replacement of the original, conventional steel infill plates with LYP steel plates having twice the original thickness, the interstory drift, floor acceleration, base shear, as well as moment demands, and VBE axial load demand were favorably reduced by 22%, 29%, 14%, 22%, and 5%, respectively. Furthermore, the web-plate ductility was pleasantly increased by 11%. These results are indicative of a relatively higher seismic performance of the retrofitted SPSW system.
  • Fragility analysis using the Probabilistic Seismic Demand Model demonstrated the effectiveness of the identified SPSW retrofitting strategy in lowering the seismic vulnerability of the system. The consideration of five recommended repair states for SPSW systems and the development of fragility curves revealed, on average, a 45.5% increase in the median PGA values in the case of the retrofitted SPSW system. This is indicative of higher seismic performance and lower probability of damage to the steel shear wall system.
The systematic rigorous numerical, as well as probabilistic, investigations of this research endeavor demonstrated the effectiveness of the identified optimal SPSW retrofitting approach. This approach involved the replacement of the original, conventional steel infill plates with those made of LYP steel material having twice the original thickness. It significantly enhanced the structural and seismic performances of the SPSW system without any overstrength concerns and/or other anomalies. One major limitation of this study that should be addressed in the future is the experimental verification of these findings. This could further substantiate the efficacy and practicality of this retrofitting strategy. Moreover, different cases and parameters, e.g., sizes, materials, and layouts, still need to be investigated. Such efforts are underway.

Funding

This research received no external funding.

Data Availability Statement

Data is contained within the article.

Conflicts of Interest

The author declares no conflict of interest.

References

  1. Bai, J.; Zhang, J.; Jin, S.; Wang, Y.H. A simplified computational model for seismic performance evaluation of steel plate shear wall-frame structural systems. Structures 2021, 33, 1677–1689. [Google Scholar] [CrossRef]
  2. Jiang, L.; Jiang, L.; Hu, Y.; Ye, J.; Zheng, H. Seismic life-cycle cost assessment of steel frames equipped with steel panel walls. Eng. Struct. 2020, 211, 110399. [Google Scholar] [CrossRef]
  3. Maurya, A.; Egorova, N.; Eatherton, M.R. Development of ring-shaped steel plate shear walls. In Proceedings of the 2013 ASCE Structures Congress, Pittsburg, PA, USA, 2–4 May 2013; pp. 2971–2982. [Google Scholar]
  4. Du, Y.; Shao, Y.; Zhong, J. Repairing damaged steel plate shear wall with additional ribs. Structures 2022, 41, 222–234. [Google Scholar] [CrossRef]
  5. Vemuri, J.P. A novel statistical model for link overstrength. In Advances in Structural Engineering: Mechanics; Matsagar, V., Ed.; Springer: New Delhi, India, 2015; Volume 1, pp. 567–575. [Google Scholar]
  6. Gharagoz, M.M.; Noureldin, M.; Kim, J. Machine learning-based design of a seismic retrofit frame with spring-rotational friction dampers. Eng. Struct. 2023, 292, 116053. [Google Scholar] [CrossRef]
  7. Formisano, A.; De Matteis, G.; Mazzolani, F.M. Numerical and experimental behaviour of a full-scale RC structure upgraded with steel and aluminium shear panels. Comput. Struct. 2010, 88, 1348–1360. [Google Scholar] [CrossRef]
  8. Formisano, A.; Lombardi, L.; Mazzolani, F.M. Full and perforated metal plate shear walls as bracing systems for seismic upgrading of existing RC buildings. Ing. Sismica Int. J. Earthq. Eng. 2016, 33, 16–34. [Google Scholar]
  9. Es’haghioskui, F.; Asl, M.H.; Hosseinzadeh, Y.; Gallego, E. Experimental and numerical investigation of a new type of steel plate shear wall with diagonal tension field guiding stiffeners. J. Build. Eng. 2023, 76, 107181. [Google Scholar] [CrossRef]
  10. Berman, J.W.; Bruneau, M. Experimental investigation of light-gauge steel plate shear walls. J. Struct. Eng. 2005, 131, 259–267. [Google Scholar] [CrossRef]
  11. Qu, B.; Bruneau, M.; Lin, C.H.; Tsai, K.C. Testing of full-scale two-story steel plate shear wall with reduced beam section connections and composite floors. J. Struct. Eng. 2008, 134, 364–373. [Google Scholar] [CrossRef]
  12. Du, Y.; Hao, J.; Yu, J.; Yu, H.; Fan, Q.; Pan, Y. Experimental study on performance of steel plate shear wall after seismic upgrading. J. Southeast Univ. 2019, 49, 420–426. [Google Scholar]
  13. Du, Y.; Shao, Y.; Cao, Y. Performance of repaired steel plate shear wall with earthquake-induced damage. J. Constr. Steel Res. 2022, 190, 107149. [Google Scholar] [CrossRef]
  14. AISC. AISC 341-10 Seismic Provisions for Structural Steel Buildings; American Institute of Steel Construction (AISC): Chicago, IL, USA, 2010. [Google Scholar]
  15. ANSYS. ANSYS 14.0 Documentation; ANSYS Inc.: Canonsburg, PA, USA, 2011. [Google Scholar]
  16. Chen, S.J.; Jhang, C. Cyclic behavior of low yield point steel shear walls. Thin-Walled Struct. 2006, 44, 730–738. [Google Scholar] [CrossRef]
  17. FEMA 355C State of the Art Report on Systems Performance of Steel Moment Frames Subject to Earthquake Ground Shaking; SAC Joint Venture for the Federal Emergency Management Agency: Washington, DC, USA, 2000.
  18. ASCE. ASCE 7-10 Minimum Design Loads for Buildings and Other Structures; American Society of Civil Engineers (ASCE): Reston, VA, USA, 2010. [Google Scholar]
  19. Park, H.G.; Kwack, J.H.; Jeon, S.W.; Kim, W.K.; Choi, I.R. Framed steel plate wall behavior under cyclic lateral loading. J. Struct. Eng. 2007, 133, 378–388. [Google Scholar] [CrossRef]
  20. Tan, Z.; Zhao, Q.; Zhao, Y.; Yu, C. Probabilistic seismic assessment of CoSPSW structures using fragility functions. Metals 2022, 12, 1045. [Google Scholar] [CrossRef]
  21. Jiang, L.; Hong, Z.; Hu, Y. Effects of various uncertainties on seismic risk of steel frame equipped with steel panel wall. Bull. Earthq. Eng. 2018, 16, 5995–6012. [Google Scholar] [CrossRef]
  22. Bu, H.; He, L.; Jiang, H. Seismic fragility assessment of steel frame structures equipped with steel slit shear walls. Engineering Structures 2021, 249, 113328. [Google Scholar] [CrossRef]
  23. Baldvins, N.M.; Berman, J.W.; Lowes, L.N.; Janes, T.M.; Low, N.A. Fragility functions for steel plate shear walls. Earthq. Spectra 2012, 28, 405–426. [Google Scholar] [CrossRef]
Figure 1. Finite element model.
Figure 1. Finite element model.
Buildings 14 00258 g001
Figure 2. Properties of the adopted steel material.
Figure 2. Properties of the adopted steel material.
Buildings 14 00258 g002
Figure 3. Validation of numerical simulation.
Figure 3. Validation of numerical simulation.
Buildings 14 00258 g003
Figure 4. Initial plate and frame yieldings in SPSWs with original and replaced infill plates.
Figure 4. Initial plate and frame yieldings in SPSWs with original and replaced infill plates.
Buildings 14 00258 g004
Figure 5. Load–drift responses of SPSWs with original and replaced infill plates.
Figure 5. Load–drift responses of SPSWs with original and replaced infill plates.
Buildings 14 00258 g005
Figure 6. Comparison of stiffness performances.
Figure 6. Comparison of stiffness performances.
Buildings 14 00258 g006
Figure 7. Comparison of axial loads in columns.
Figure 7. Comparison of axial loads in columns.
Buildings 14 00258 g007
Figure 8. Comparison of stress contours and yielding patterns at 0.02 drift ratio. (a) 4.7 mm, conventional steel (original); and (b) 9.3 mm, LYP steel (retrofitted).
Figure 8. Comparison of stress contours and yielding patterns at 0.02 drift ratio. (a) 4.7 mm, conventional steel (original); and (b) 9.3 mm, LYP steel (retrofitted).
Buildings 14 00258 g008
Figure 9. Comparison of cyclic performances. (a) Hysteretic behaviors; and (b) energy dissipation capacities.
Figure 9. Comparison of cyclic performances. (a) Hysteretic behaviors; and (b) energy dissipation capacities.
Buildings 14 00258 g009
Figure 10. Interior gravity frame from the Los Angeles 9-story SAC building coupled with an SPSW system. (Note: 5 bays @ 9.144 m and 9 stories @ 3.9624 m).
Figure 10. Interior gravity frame from the Los Angeles 9-story SAC building coupled with an SPSW system. (Note: 5 bays @ 9.144 m and 9 stories @ 3.9624 m).
Buildings 14 00258 g010
Figure 11. Comparison of the test results and strip model predictions. (a) Specimen no. 1 [16]; and (b) the SC2T specimen [19].
Figure 11. Comparison of the test results and strip model predictions. (a) Specimen no. 1 [16]; and (b) the SC2T specimen [19].
Buildings 14 00258 g011
Figure 12. Comparison of the time histories of some seismic response parameters. (a) The 9th story drift ratio; (b) 9th story acceleration; (c) base shear; and (d) base moment.
Figure 12. Comparison of the time histories of some seismic response parameters. (a) The 9th story drift ratio; (b) 9th story acceleration; (c) base shear; and (d) base moment.
Buildings 14 00258 g012
Figure 13. SPSW fragility curves. (a) Original; and (b) retrofitted.
Figure 13. SPSW fragility curves. (a) Original; and (b) retrofitted.
Buildings 14 00258 g013
Table 1. Design results for the gravity frame and SPSW system.
Table 1. Design results for the gravity frame and SPSW system.
StoryGravity FrameSPSW System
BeamColumnBeamColumnPlate Thickness (mm)
9W16 × 26W14 × 48W30 × 391W14 × 6051.59
8W18 × 35W14 × 48, W14 × 82W30 × 391W14 × 6053.18
7W18 × 35W14 × 82W30 × 391W14 × 6654.76
6W18 × 35W14 × 82, W14 × 109W30 × 391W14 × 6656.35
5W18 × 35W14 × 109W30 × 391W14 × 7307.94
4W18 × 35W14 × 109, W14 × 145W27 × 146W14 × 7307.94
3W18 × 35W14 × 145W30 × 391W14 × 7309.53
2W18 × 35W14 × 145, W14 × 193W27 × 146W14 × 7309.53
1W18 × 35W14 × 193W27 × 146W14 × 7309.53
Table 2. Seismic responses of the originally designed and retrofitted SPSWs.
Table 2. Seismic responses of the originally designed and retrofitted SPSWs.
Seismic Response ParameterOriginalRetrofitted
Peak interstory drift ratio a (%)2.091.64
Peak floor acceleration b (g)1.8871.335
Normalized maximum base shear demand (Vb/Ws) c0.3690.317
Normalized maximum base moment demand (Mb/(Ws × Ht)) d (%)1.311.02
Normalized maximum VBE axial load demand at column bases (PVBE-base/Py) e0.780.74
Average web plate ductility ratio f4.815.33
a Interstory drift ratio is the horizontal deflection at the top of the story relative to that at the bottom of the story, divided by the story height. b Acceleration can cause damages to the structural/nonstructural systems/contents and result in economic loss. c Vb: Base shear demand obtained from the time-history analysis. Ws: Seismic weight of the structure; d Mb: Base moment; Ws: seismic weight; and Ht: total height of the structure. e PVBE-base: maximum vertical boundary element axial load at the column base; and Py: axial yield strength of the first story vertical boundary element. f Maximum ductility ratio for a story was determined from the maximum plastic strain of a strip element with the largest maximum plastic strain value, divided by the yield strain.
Table 3. Summary of the median values of PGA for the considered repair states of the original and retrofitted SPSWs.
Table 3. Summary of the median values of PGA for the considered repair states of the original and retrofitted SPSWs.
Repair StateMedian PGA (g)Rate of Increase
OriginalRetrofitted
1: Cosmetic repair0.1030.14944.7%
2: Replace web plate0.1660.24145.2%
3: VBE repair0.4950.72245.9%
4: HBE and connection repair---
5: Replace boundary elements or frame1.0181.49046.4%
Average: 45.5%
Disclaimer/Publisher’s Note: The statements, opinions and data contained in all publications are solely those of the individual author(s) and contributor(s) and not of MDPI and/or the editor(s). MDPI and/or the editor(s) disclaim responsibility for any injury to people or property resulting from any ideas, methods, instructions or products referred to in the content.

Share and Cite

MDPI and ACS Style

Zirakian, T. Methodical Investigations on Seismic Retrofitting of Steel Plate Shear Wall Systems. Buildings 2024, 14, 258. https://doi.org/10.3390/buildings14010258

AMA Style

Zirakian T. Methodical Investigations on Seismic Retrofitting of Steel Plate Shear Wall Systems. Buildings. 2024; 14(1):258. https://doi.org/10.3390/buildings14010258

Chicago/Turabian Style

Zirakian, Tadeh. 2024. "Methodical Investigations on Seismic Retrofitting of Steel Plate Shear Wall Systems" Buildings 14, no. 1: 258. https://doi.org/10.3390/buildings14010258

APA Style

Zirakian, T. (2024). Methodical Investigations on Seismic Retrofitting of Steel Plate Shear Wall Systems. Buildings, 14(1), 258. https://doi.org/10.3390/buildings14010258

Note that from the first issue of 2016, this journal uses article numbers instead of page numbers. See further details here.

Article Metrics

Back to TopTop