Thermal Comfort in Urban Open Green Spaces: A Parametric Optimization Study in China’s Cold Region
Abstract
:1. Introduction
2. Experimental Design
2.1. Study Site
2.2. Meteorological Measurement
2.3. Questionnaire Surveys
2.4. Presentation of the Simulation Workflow in Grasshopper
3. Results
3.1. Deceptive Analysis
3.1.1. Measured Meteorological Parameter
3.1.2. Respondent Attributes
3.1.3. Va and RH Simulation in the Model
3.1.4. UTCI Simulation in the Model
3.1.5. Implications for Designers
3.1.6. UTCI after Retrofit
4. Discussion
4.1. Factors Affecting Thermal Comfort
4.1.1. Physical Factors
4.1.2. Individual Factors
4.1.3. Environment Factors
4.2. Microclimate Simulation Parameters
4.3. Retrofit Strategy
4.4. Limitations
5. Conclusions
- (1)
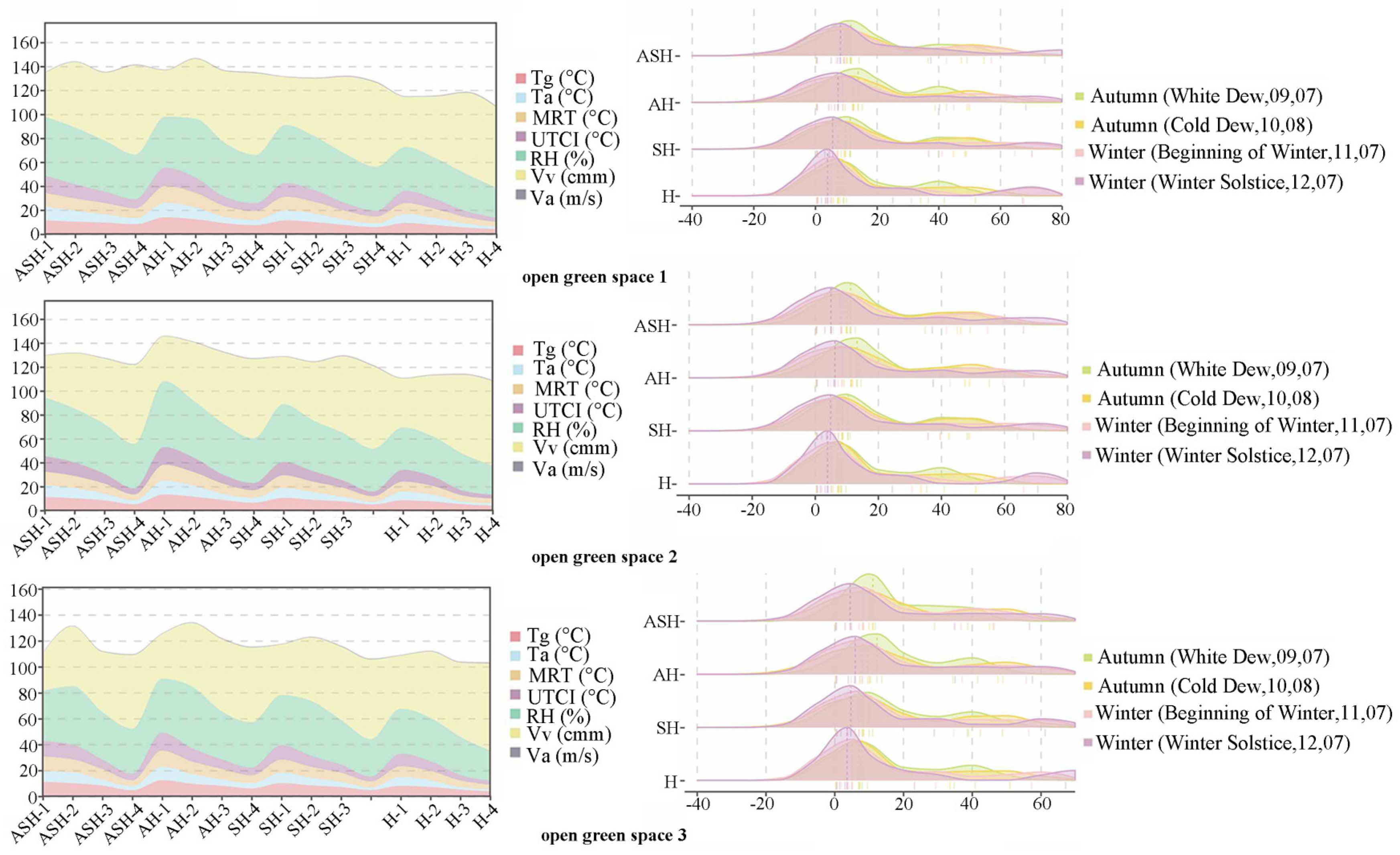
- The cooling ability of the four planting patterns was ranked in order of arbor and grass (AH) > arbor–shrub–grass (ASH) > shrub–grass (SH) > grass (H), while the moisturizing ability was ranked in order of AH > ASH > SH > H, and the wind resistance was ranked in order of ASH > AH > SH > H. The values of air velocity (Va) and vertical air velocity (Vv) increased significantly with seasons in the three spaces, whereas air temperature (Ta), ground surface temperature (Tg), and relative humidity (RH) changed significantly with seasons in the three spaces. Secondly, the change of RH was found to be inversely proportional to the solar radiation (SR) and mean radiant temperature (MRT), and the RH during winter solstice was the smallest in autumn and winter.
- (2)
- The cold lake effect of the Yellow River dominates the wind environment in Lanzhou, and the wind speed in winter is high. In OGS1, Va had the highest correlation with respondents’ thermal sensation. The residential area is closest to the Yellow River, indicating that the cold lake effect of the Yellow River does cause strong winds in the environment, which has a certain impact on comfort. In OGS2–3, Ta and RH had the highest correlations with thermal sensation among respondents, which were followed by Va and G.
- (3)
- The present study highlights the influence of individual factors on respondents’ thermal microclimate comfort with notable variations across different sites. Specifically, in OGS2, respondents exhibit significantly diverse perceptions of the comfort of grassy spaces on the campus. In OGS1, gender affects the comfort of buildings, whereas the comfort of grass space is influenced by Ta and RH. Conversely, individual activities have a significant impact on respondents’ thermal comfort in OGS3.
- (4)
- Despite certain discrepancies between the measured values and UTCI parameters, the high degree of consistency and good fitting degree, R2 = 0.936, indicate that the parameters Tg, Ta, Va, and RH exhibit good agreement with the field measurements, with R2 values of 0.996, 0.997, 0.986, and 0.984, respectively.
Supplementary Materials
Author Contributions
Funding
Data Availability Statement
Conflicts of Interest
Appendix A
- 1.
- Location: ______ Time: ______ Length of time living locally: ______ Hometown: ______ Current wind speed: ____________ Current temperature/humidity: ____________Current sunshine: ____________ (1, 2, 3 and 4, four levels are enhanced in turn)
- 2.
- Gender: _________ Age: _________ Occupation: _________
- 3.
- Means of Transportation: ( ) A. Self-driving B. Bus C. Subway D. Taxi E. Shared bike F. Walking
- 4.
- Activity type and perceived intensity
| Low | Lower | Normal | Higher | High | |
| Sitting | ○ | ○ | ○ | ○ | ○ |
| Standing | ○ | ○ | ○ | ○ | ○ |
| Slow walking | ○ | ○ | ○ | ○ | ○ |
| Fast walking | ○ | ○ | ○ | ○ | ○ |
| Ball sports | ○ | ○ | ○ | ○ | ○ |
- 5.
- Did you come to the venue because of the comfortable climate? ○ Yes ○ No
- 6.
- Evaluation of microclimate comfort in different space types
| Cold | Cool | Neutral | Warm | Hot | |
| Square | ○ | ○ | ○ | ○ | ○ |
| Woodland | ○ | ○ | ○ | ○ | ○ |
| Lawn | ○ | ○ | ○ | ○ | ○ |
| Road | ○ | ○ | ○ | ○ | ○ |
| Waterside | ○ | ○ | ○ | ○ | ○ |
| Architecture | ○ | ○ | ○ | ○ | ○ |
- 7.
- Do you feel that the special weather (such as sandstorm, rainstorm, hail, extreme drought and extreme low temperature) in your place is frequent in the current season?○ many ○ more ○ general ○ less ○ few
- 8.
- Your preference for microclimate improvement (four groups, one from each group, four in total, and only four)□ more wind □ less wind □ wet □ dry □ sunshine □ shadow □ more people □ fewer people
- 9.
- Your preference for space improvement□ increase trees □ reduce trees □ increase flowers □ reduce flowers □ increase pavilions or corridors □ increase waterscape □ reduce waterscape □ increase sprinkler



Appendix B
| Autumn (White Dew, 09,07) | Autumn (Cold Dew, 10,08) | Winter (Beginning of Winter, 11,07) | Winter (Winter Solstice, 12,07) | ||
|---|---|---|---|---|---|
| Va (m/s) | Juniperus formosana | 0.20 ± 0.006 Cd | 0.29 ± 0.006 Bbc | 0.34 ± 0.186 Bcd | 0.46 ± 0.009 Ae |
| Buxus megistophylla | 0.21 ± 0.006 Bd | 0.24 ± 0.23 ABc | 0.27 ± 0.067 ABd | 0.32 ± 0.009 Af | |
| Cedrus deodara | 0.54 ± 0.012 Ca | 0.60 ± 0.012 BCa | 0.64 ± 0.012 Ba | 0.77 ± 0.153 Aa | |
| Firmiana simplex | 0.39 ± 0.013 Bb | 0.58 ± 0.006 Aa | 0.60 ± 0.029 Aa | 0.68 ± 0.003 Ab | |
| Picea asperata | 0.18 ± 0.006 Cc | 0.55 ± 0.006 Ba | 0.67 ± 0.021 Aa | 0.73 ± 0.007 Aab | |
| Styphnolobium japonicum ‘Pendula’ | 0.14 ± 0.009 Dde | 0.29 ± 0.012 Cbc | 0.44 ± 0.021 Bb | 0.54 ± 0.003 Ad | |
| Juniperus chinensis | 0.18 ± 0.003 Ce | 0.27 ± 0.006 Bc | 0.31 ± 0.012 Bcd | 0.43 ± 0.012 Ae | |
| Betula platyphylla | 0.16 ± 0.012 Dde | 0.29 ± 0.006 Cbc | 0.40 ± 0.009 Bbc | 0.4 ± 0.007 Ae | |
| Pinus bungeana | 0.18 ± 0.003 Dde | 0.35 ± 0.006 Cb | 0.47 ± 0.006 Bb | 0.60 ± 0.003 Bc | |
| Prunus cerasifera f. atropurpurea | 0.24 ± 0.022 Ce | 0.23 ± 0.026 Ccde | 0.32 ± 0.015 Bcd | 0.46 ± 0.003 Ae | |
| Tg (°C) | Juniperus formosana | 6.68 ± 0.058 Bg | 9.47 ± 0.035 Ae | 5.68 ± 0.058 Cc | 3.03 ± 0.037 Df |
| Buxus megistophylla | 7.68 ± 0.115 Af | 6.97 ± 0.059 Bf | 6.68 ± 0.115 Bbc | 3.75 ± 0.100 Ce | |
| Cedrus deodara | 9.88 ± 0.115 ABe | 10.37 ± 0.344 Ade | 8.54 ± 0.240 Bab | 4.72 ± 0.039 Cbc | |
| Firmiana simplex | 11.62 ± 0.115 Ad | 11.57 ± 0.079 Bcd | 9.29 ± 0.240 Ca | 4.92 ± 0.039 Dab | |
| Picea asperata | 14.82 ± 0.231 ABab | 15.56 ± 0.510 Aa | 10.59 ± 0.489 Ba | 5.16 ± 0.023 Ca | |
| Styphnolobium japonicum ‘Pendula’ | 15.68 ± 0.058 Aa | 15.50 ± 0.137 Aa | 9.67 ± 0.947 Ba | 4.55 ± 0.029 Cc | |
| Juniperus chinensis | 13.51 ± 0.058 Ac | 13.02 ± 0.203 Ab | 10.18 ± 0.285 Ba | 4.14 ± 0.031 Cdc | |
| Betula platyphylla | 14.09 ± 0.379 Ab | 12.15 ± 0.082 Abc | 9.14 ± 0.603 Bab | 3.55 ± 0.068 Ce | |
| Pinus bungeana | 11.25 ± 0.058 Ad | 11.10 ± 0.029 Acd | 8.57 ± 0.368 Bab | 4.07 ± 0.033 Cd | |
| Prunus cerasifera f. atropurpurea | 11.60 ± 0.173 Ad | 11.86 ± 0.449 Ac | 10.08 ± 0.139 Ba | 3.82 ± 0.093 Cde | |
| Ta (°C) | Juniperus formosana | 5.29 ± 0.035 Ah | 4.51 ± 0.067 Bf | 3.15 ± 0.29 Cde | 1.00 ± 0.115 Dc |
| Buxus megistophylla | 6.41 ± 0.234 Ag | 5.93 ± 0.077 Af | 3.44 ± 0.04 Bde | 1.6 ± 0.305 Cbc | |
| Cedrus deodara | 9.69 ± 0.058 Af | 9.44 ± 0.172 Ad | 4.79 ± 0.105 Bbc | 2.23 ± 0.120 Cab | |
| Firmiana simplex | 13.78 ± 0.058 Ac | 13.22 ± 0.563 Ab | 5.89 ± 0.064 Ba | 2.45 ± 0.029 Ca | |
| Picea asperata | 14.73 ± 0.115 Ab | 15.09 ± 0.266 Aa | 5.48 ± 0.290 Bab | 2.53 ± 0.176 Ca | |
| Styphnolobium japonicum ‘Pendula’ | 17.78 ± 0.115 Aa | 16.35 ± 0.448 Aa | 5.11 ± 0.437 Babc | 2.15 ± 0.755 Cab | |
| Juniperus chinensis | 14.08 ± 0.310 Abc | 13.17 ± 0.138 Ab | 4.81 ± 0.064 Bbc | 1.93 ± 0.064 aCb | |
| Betula platyphylla | 12.65 ± 0.006 Ad | 11.53 ± 0.120 Bc | 4.33 ± 0.088 Ccd | 1.83 ± 0.035 Dab | |
| Pinus bungeana | 10.72 ± 0.115 Ae | 10.22 ± 0.173 Acd | 4.19 ± 0.034 Bcd | 1.45 ± 0.074 Cbc | |
| Prunus cerasifera f. atropurpurea | 11.23 ± 0.115 Ae | 10.74 ± 0.278 Acd | 4.17 ± 0.037 Bcd | 1.86 ± 0.094 Cbc | |
| RH (%) | Juniperus formosana | 60.84 ± 0.462 Aa | 59.28 ± 0.577 Aa | 54.85 ± 0.356 Ba | 47.33 ± 0.362 Cab |
| Buxus megistophylla | 54.28 ± 1.707 ABc | 57.35 ± 1.468 Aa | 48.35 ± 0.233 BCc | 43.57 ± 0.513 Cc | |
| Cedrus deodara | 49.49 ± 0.450 Ad | 45.49 ± 0.577 ABb | 42.49 ± 1.154 Bde | 35.57 ± 0.384 Ce | |
| Firmiana simplex | 37.06 ± 0.766 Af | 36.3 ± 0.058 Ac | 34.07 ± 0.521 ABf | 31.83 ± 0.273 Bf | |
| Picea asperata | 35.81 ± 0.181 Af | 37.47 ± 0.231 Ac | 32.90 ± 0.385 Bf | 31.08 ± 0.586 Bf | |
| Styphnolobium japonicum ‘Pendula’ | 38.53 ± 0.312 Af | 33.21 ± 0.008 Bc | 29.88 ± 0.252 Cg | 27.96 ± 0.281 Dg | |
| Juniperus chinensis | 45.38 ± 0.347 Ae | 45.03 ± 0.017 Ab | 40.36 ± 0.384 Be | 35.99 ± 0.564 Ce | |
| Betula platyphylla | 53.28 ± 0.398 Acd | 50.53 ± 0.058 Ab | 44.36 ± 0.285 Bd | 39.15 ± 0.596 Cd | |
| Pinus bungeana | 69.94 ± 0.436 Aa | 62.57 ± 0.231 Ba | 51.19 ± 0.748 Cbc | 45.70 ± 0.439 Dbc | |
| Prunus cerasifera f. atropurpurea | 59.57 ± 0.637 Ab | 62.31 ± 3.535 Ab | 53.76 ± 0.286 Aab | 49.76 ± 0.694 Aa | |
| Vv (cmm) | Juniperus formosana | 13.47 ± 0.049 Ce | 21.74 ± 0.577 Bc | 26.13 ± 0.196 Ac | 28.04 ± 0.294 Ade |
| Buxus megistophylla | 16.45 ± 0.654 Bd | 17.83 ± 0.058 Be | 19.16 ± 0.338 ABd | 20.66 ± 0.172 Af | |
| Cedrus deodara | 39.93 ± 0.126 Ca | 42.11 ± 0.577 BCa | 44.11 ± 0.577 Ba | 47.72 ± 0.434 Aa | |
| Firmiana simplex | 26.66 ± 0.234 Cb | 40.93 ± 0.231 Ba | 42.11 ± 0.485 ABa | 44.42 ± 0.354 Ab | |
| Picea asperata | 21.25 ± 0.598 Cc | 40.46 ± 0.231 Ba | 43.41 ± 0.516 ABa | 45.4 ± 0.468 Aab | |
| Styphnolobium japonicum ‘Pendula’ | 14.32 ± 0.244 Ce | 21.16 ± 0.577 Bcd | 25.07 ± 0.093 Ac | 27.59 ± 0.581 Ade | |
| Juniperus chinensis | 10.28 ± 0.124 Cfe | 18.89 ± 0.346 Bde | 24.22 ± 0.647 Ac | 26.02 ± 0.690 Ae | |
| Betula platyphylla | 10.43 ± 0.86 Cf | 20.67 ± 0.577 Bcd | 26.67 ± 0.577 Ac | 30.07 ± 0.636 Ac | |
| Pinus bungeana | 11.00 ± 0.299 Df | 24.97 ± 0.520 Cb | 29.30 ± 0.383 Bb | 33.25 ± 0.653 Ad | |
| Prunus cerasifera f. atropurpurea | 13.86 ± 0.200 De | 16.26 ± 0.115 Bf | 10.14 ± 0.130 Bd | 25.29 ± 0.420 Ae |
| Autumn (White Dew, 09,07) | Autumn (Cold Dew, 10,08) | Winter (Beginning of Winter, 11,07) | Winter (Winter Solstice, 12,07) | ||
|---|---|---|---|---|---|
| Va (m/s) | Berberis thunbergii ‘Atropurpurea’ | 0.44 ± 0.009 Cd | 0.55 ± 0.009 Be | 0.60 ± 0.009 Be | 0.78 ± 0.012 Ae |
| Ligustrum lucidum | 0.25 ± 0.003 Df | 0.31 ± 0.003 Cg | 0.43 ± 0.003 Bf | 0.53 ± 0.009 Ag | |
| Cornus alba | 0.29 ± 0.003 Df | 0.36 ± 0.003 Cfg | 0.47 ± 0.003 Bf | 0.67 ± 0.009 Af | |
| Syringa oblata | 0.92 ± 0.012 Ca | 1.15 ± 0.070 BCa | 1.31 ± 0.006 Ba | 1.58 ± 0.009 Aa | |
| Forsythia suspense | 0.50 ± 0.009 Dc | 0.760 ± 0.006 Cd | 0.87 ± 0.003 Bd | 0.94 ± 0.009 Ad | |
| Lonicera maackii | 0.38 ± 0.012 De | 0.80 ± 0.012 Ccd | 0.92 ± 0.009 Bc | 1.20 ± 0.026 Ac | |
| Prunus triloba | 0.40 ± 0.009 Dde | 0.96 ± 0.034 Cb | 1.21 ± 0.009 Bb | 1.55 ± 0.029 Aa | |
| Lonicera japonica | 0.38 ± 0.009 Ce | 0.50 ± 0.009 Bef | 0.58 ± 0.019 ABe | 0.6 ± 0.003 Ag | |
| Rosa xanthina | 0.27 ± 0.009 Df | 0.34 ± 0.006 Cg | 0.36 ± 0.011 Bg | 0.38 ± 0.012 Ah | |
| Buxus sinica var. parvifolia | 0.60 ± 0.012 Db | 0.92 ± 0.012 Cbc | 1.24 ± 0.003 Bb | 1.44 ± 0.027 Ab | |
| Tg (°C) | Berberis thunbergii ‘Atropurpurea’ | 11.08 ± 0.319 Ad | 9.74 ± 0.142 Bf | 7.93 ± 0.045 Ce | 4.23 ± 0.105 Df |
| Ligustrum lucidum | 14.20 ± 0.220 Ac | 12.56 ± 0.280 Be | 10.31 ± 0.048 Cbc | 7.28 ± 0.085 Dd | |
| Cornus alba | 14.75 ± 0.313 Abc | 13.17 ± 0.263 ABde | 11.70 ± 0.2482 Bab | 8.19 ± 0.195 Cbcd | |
| Syringa oblata | 15.81 ± 0.217 Aabc | 14.72 ± 0.172 Aabc | 12.37 ± 0.186 Ba | 9.84 ± 0.199 Ca | |
| Forsythia suspense | 14.01 ± 0.194 Ac | 13.28 ± 0.283 Ade | 11.48 ± 0.260 Bab | 8.91 ± 0.067 Cb | |
| Lonicera maackii | 15.50 ± 0.430 Aabc | 13.80 ± 0.104 Acde | 10.61 ± 0.207 Bbc | 8.34 ± 0.175 Cbc | |
| Prunus triloba | 16.78 ± 0.296 Aab | 15.14 ± 0.227 Aabc | 9.97 ± 0.289 Bcd | 7.92 ± 0.192 Ccd | |
| Lonicera japonica | 16.15 ± 0.090 Aa | 15.96 ± 0.166 Aa | 11.25 ± 0.132 Bab | 7.38 ± 0.204 Ccd | |
| Rosa xanthina | 14.11 ± 0.379 Ac | 14.17 ± 0.361 Abc | 8.93 ± 0.185 Bde | 6.09 ± 0.152 Ce | |
| Buxus sinica var. parvifolia | 16.27 ± 0.506 Aab | 15.37 ± 0.179 Aab | 12.41 ± 0.226 Ba | 8.18 ± 0.193 Cbcd | |
| Ta (°C) | Berberis thunbergii ‘Atropurpurea’ | 9.32 ± 0.291 Af | 8.52 ± 0.271 fAB | 7.10 ± 0.381 Be | 2.64 ± 0.225 Ce |
| Ligustrum lucidum | 12.81 ± 0.208 Ae | 11.15 ± 0.173 Be | 9.41 ± 0.031 Cbc | 4.4 ± 0.144 Dcd | |
| Cornus alba | 13.16 ± 0.148 Ae | 12.24 ± 0.242 Ade | 10.16 ± 0.212 Bab | 5.14 ± 0.081 Cb | |
| Syringa oblata | 14.28 ± 0.147 Ade | 11.96 ± 0.205 Bde | 11.07 ± 0.204 Ba | 6.43 ± 0.278 Ca | |
| Forsythia suspense | 14.72 ± 0.280 Acd | 13.77 ± 0.283 Abc | 10.03 ± 0.107 Babc | 5.65 ± 0.124 Cab | |
| Lonicera maackii | 13.94 ± 0.327 Ade | 12.57 ± 0.259 Acd | 8.16 ± 0.114 Bd | 4.06 ± 0.035 Ccd | |
| Prunus triloba | 17.92 ± 0.290 Aa | 15.34 ± 0.189 Ba | 9.02 ± 0.194 Ccd | 3.20 ± 0.190 De | |
| Lonicera japonica | 16.83 ± 0.334 Aab | 15.36 ± 0.079 Ba | 9.87 ± 0.046 Cbc | 4.66 ± 0.087 Dbcd | |
| Rosa xanthina | 13.32 ± 0.132 Ade | 12.47 ± 0.241 Ad | 6.78 ± 0.156 Be | 3.07 ± 0.060 Ce | |
| Buxus sinica var. parvifolia | 15.83 ± 0.311 Abc | 14.2 ± 0.248 Bab | 8.28 ± 0.142 Cd | 4.29 ± 0.032 Dcd | |
| RH (%) | Berberis thunbergii ‘Atropurpurea’ | 38.58 ± 0.362 Ad | 37.11 ± 0.497 Ad | 33.91 ± 0.233 Bcd | 30.27 ± 0.402 Ce |
| Ligustrum lucidum | 54.69 ± 0.347 Ab | 50.68 ± 0.320 Bb | 47.79 ± 0.406 Cb | 45.38 ± 0.504 Cb | |
| Cornus alba | 53.87 ± 0.473 Abc | 49.35 ± 0.621 Bbc | 47.17 ± 0.315 BCb | 45.52 ± 0.457 Cb | |
| Syringa oblata | 80.18 ± 0.434 Aa | 76.52 ± 0.305 Ba | 71.00 ± 0.197 Ca | 62.73 ± 0.095 Da | |
| Forsythia suspense | 37.97 ± 0.266 Ade | 35.09 ± 0.199 Bde | 31.91 ± 0.282 Cef | 29.93 ± 0.131 De | |
| Lonicera maackii | 38.74 ± 0.311 Ad | 36.70 ± 0.345 Bde | 34.91 ± 0.278 BCc | 33.04 ± 0.038 Cd | |
| Prunus triloba | 33.58 ± 0.600 Af | 29.76 ± 0.187 Bf | 31.21 ± 0.116 BCf | 28.03 ± 0.148 Cf | |
| Lonicera japonica | 38.23 ± 0.257 Ade | 35.65 ± 0.618 ABde | 34.27 ± 0.168 Bcd | 30.72 ± 0.458 Ce | |
| Rosa xanthina | 51.34 ± 0.587 Ac | 47.75 ± 0.273 Bc | 47.99 ± 0.245 Bb | 42.76 ± 0.123 Cc | |
| Buxus sinica var. parvifolia | 35.97 ± 0.407 Ae | 34.63 ± 0.486 ABe | 32.82 ± 0.289 Bde | 28.18 ± 0.162 Cf | |
| Vv (cmm) | Berberis thunbergii ‘Atropurpurea’ | 52.63 ± 0.315 Da | 57.65 ± 0.415 Cd | 61.15 ± 0.436 Bd | 67.22 ± 0.503 Ac |
| Ligustrum lucidum | 32.82 ± 0.356 Dde | 35.73 ± 0.499 Cf | 38.78 ± 0.411 Bg | 49.07 ± 0.249 Ae | |
| Cornus alba | 34.11 ± 0.312 Dd | 39.23 ± 0.422 Cf | 42.81 ± 0.217 Bf | 53.75 ± 0.289 Ad | |
| Syringa oblata | 22.37 ± 0.606 Dg | 30.43 ± 0.396 Ch | 38.60 ± 0.234 Bg | 45.49 ± 0.557 Af | |
| Forsythia suspense | 39.12 ± 0.778 Dc | 55.43 ± 0.674 Cd | 62.12 ± 0.334 Bd | 68.08 ± 0.394 Ac | |
| Lonicera maackii | 27.50 ± 0.471 Df | 61.50 ± 0.712 Cb | 64.85 ± 0.331 Bc | 72.16 ± 0.105 Ab | |
| Prunus triloba | 26.82 ± 0.301 Cf | 70.88 ± 1.075 Ba | 75.01 ± 0.133 ABa | 77.46 ± 0.291 Aa | |
| Lonicera japonica | 30.36 ± 0.700 De | 42.88 ± 0.418 Ce | 46.11 ± 0.105 Be | 50.56 ± 0.296 Ae | |
| Rosa xanthina | 20.98 ± 0.267 Db | 24.41 ± 0.655 Ci | 27.46 ± 0.275 Bh | 34.05 ± 0.226 Ag | |
| Buxus sinica var. parvifolia | 42.07 ± 0.410 Dg | 66.58 ± 0.754 Cb | 71.70 ± 0.158 Bbd | 75.97 ± 0.163 Aa |
| Autumn (White Dew, 09,07) | Autumn (Cold Dew, 10,08) | Winter (Beginning of Winter, 11,07) | Winter (Winter Solstice, 11,07) | ||||||||||
|---|---|---|---|---|---|---|---|---|---|---|---|---|---|
| OGS1 | OGS2 | OGS3 | OGS1 | OGS2 | OGS3 | OGS1 | OGS2 | OGS3 | OGS1 | OGS2 | OGS3 | ||
| Va (m/s) | H | 0.45 ± 0.003 d | 0.44 ± 0.003 d | 0.41 ± 0.009 d | 0.61 ± 0.009 c | 0.58 ± 0.006 c | 0.51 ± 0.009 c | 0.76 ± 0.006 b | 0.68 ± 0.012 b | 0.60 ± 0.138 b | 0.82 ± 0.009 a | 0.78 ± 0.003 a | 0.76 ± 0.012 a |
| SH | 0.43 ± 0.010 d | 0.41 ± 0.06 d | 0.35 ± 0.003 d | 0.59 ± 0.153 c | 0.56 ± 0.06 c | 0.50 ± 0.009 c | 0.71 ± 0.011 b | 0.69 ± 0.06 b | 0.66 ± 0.003 b | 0.77 ± 0.010 a | 0.74 ± 0.0.09 a | 0.71 ± 0.007 a | |
| AH | 0.40 ± 0.003 d | 0.37 ± 0.006 d | 0.31 ± 0.009 d | 0.50 ± 0.009 c | 0.47 ± 0.010 c | 0.45 ± 0.006 c | 0.62 ± 0.011 b | 0.61 ± 0.019 b | 0.58 ± 0.009 b | 0.70 ± 0.009 a | 0.68 ± 0.006 a | 0.66 ± 0.006 a | |
| ASH | 0.36 ± 0.003 d | 0.34 ± 0.003 d | 0.23 ± 0.007 c | 0.41 ± 0.003 c | 0.38 ± 0.006 c | 0.39 ± 0.006 b | 0.54 ± 0.007 b | 0.53 ± 0.003 b | 0.53 ± 0.009 a | 0.66 ± 0.003 a | 0.57 ± 0.003 a | 0.57 ± 0.007 a | |
| Tg (°C) | H | 9.24 ± 0.118 a | 8.39 ± 0.203 a | 8.08 ± 0.040 a | 7.43 ± 0.082 b | 7.36 ± 0.197 a | 7.23 ± 0.145 b | 5.37 ± 0.116 b | 5.20 ± 0.145 c | 5.13 ± 0.064 c | 4.03 ± 0.088 d | 4.03 ± 0.058 c | 3.70 ± 0.058 d |
| SH | 11.40 ± 0.529 a | 10.50 ± 0.265 a | 10.13 ± 0.188 a | 9.83 ± 0.764 a | 8.77 ± 0.145 b | 8.45 ± 0.232 b | 7.43 ± 0.404 b | 7.43 ± 0.404 b | 7.15 ± 0.736 c | 5.73 ± 0.246 c | 4.93 ± 0.115 c | 4.80 ± 0.058 d | |
| AH | 13.97 ± 0.058 a | 13.33 ± 0.203 a | 12.40 ± 0.36 a | 12.40 ± 0.208 a | 11.43 ± 0.379 b | 9.69 ± 0.64 b | 8.97 ± 0.162 c | 8.57 ± 0.296 b | 8.15 ± 0.101 c | 7.41 ± 0.059 c | 6.35 ± 0.174 c | 6.08 ± 0.231 d | |
| ASH | 11.43 ± 0.047 a | 11.28 ± 0.017 d | 11.20 ± 0.103 a | 10.31 ± 0.112 b | 10.17 ± 0.089 a | 10.07 ± 0.033 c | 9.54 ± 0.123 b | 8.35 ± 0.029 b | 8.28 ± 0.041 b | 8.17 ± 0.112 c | 5.11 ± 0.070 a | 4.60 ± 0.750 c | |
| Ta (°C) | H | 7.45 ± 0.247 a | 7.32 ± 0.072 a | 7.06 ± 0.067 a | 5.94 ± 0.068 b | 5.74 ± 0.029 b | 5.11 ± 0.067 b | 3.35 ± 0.084 c | 2.15 ± 0.077 c | 2.03 ± 0.033 c | 2.06 ± 0.173 d | 1.76 ± 0.031 c | 1.55 ± 0.029 d |
| SH | 8.4 ± 0.100 a | 8.38 ± 0.044 a | 8.10 ± 0.100 a | 7.03 ± 0.033 b | 6.45 ± 0.234 b | 5.93 ± 0.120 b | 4.39 ± 0.194 c | 4.03 ± 0.088 c | 3.97 ± 0.148 c | 3.18 ± 0.356 c | 2.10 ± 0.058 d | 1.90 ± 0.058 d | |
| AH | 12.10 ± 0.208 a | 11.60 ± 0.400 a | 10.50 ± 0.289 a | 9.73 ± 0.371 b | 9.19 ± 0.335 b | 7.60 ± 0.306 b | 5.23 ± 0.186 c | 5.07 ± 0.067 c | 4.90 ± 0.100 c | 4.47 ± 0.72 c | 4.17 ± 0.120 c | 4.07 ± 0.115 c | |
| ASH | 11.60 ± 0.400 a | 9.92 ± 0.043 a | 8.33 ± 0.067 a | 9.15 ± 0.074 b | 8.50 ± 0.055 a | 8.48 ± 0.018 a | 6.82 ± 0.064 b | 5.78 ± 0.056 b | 4.58 ± 0.100 c | 5.19 ± 0.241 c | 3.18 ± 0.020 d | 3.15 ± 0.046 c | |
| RH (%) | H | 36.68 ± 0.387 a | 35.44 ± 0.281 a | 34.85 ± 0.147 a | 34.23 ± 0.448 ab | 33.60 ± 0.359 a | 32.71 ± 0.359 a | 31.27 ± 0.410 b | 30.82 ± 0.431 b | 29.47 ± 0.309 b | 25.19 ± 0.478 c | 24.52 ± 0.289 c | 23.27 ± 0.601 c |
| SH | 48.56 ± 0.294 a | 48.27 ± 0.267 a | 38.7 ± 0.153 a | 44.90 ± 0.493 b | 42.47 ± 0.291 b | 37.04 ± 0.166 ab | 41.15 ± 0.597 c | 39.80 ± 0.115 c | 34.71 ± 0.389 b | 36.82 ± 0.429 d | 35.90 ± 0.493 d | 29.04 ± 0.615 c | |
| AH | 52.60 ± 0.529 a | 55.27 ± 0.819 a | 41.7 ± 0.351 a | 49.30 ± 0.351 b | 47.60 ± 0.529 b | 39.27 ± 0.636 ab | 44.97 ± 0.35 bc | 42.85 ± 0.790 c | 37.17 ± 0.119 bc | 40.33 ± 0.882 c | 37.5 ± 0.500 d | 35.09 ± 0.327 c | |
| ASH | 49.27 ± 0.357 a | 49.21 ± 0.116 a | 38.82 ± 0.133 a | 47.4 ± 0.200 b | 45.15 ± 0.076 b | 38.26 ± 0.173 b | 42.59 ± 0.049 c | 41.69 ± 0.164 c | 36.76 ± 0.148 b | 37.54 ± 0.356 d | 37.21 ± 0.107 d | 35.00 ± 0.234 c | |
| Vv (cmm) | H | 41.90 ± 0.466 d | 41.00 ± 0.577 d | 40.93 ± 0.468 d | 52.16 ± 0.443 c | 51.05 ± 0.621 c | 48.41 ± 0.747 c | 67.74 ± 0.378 b | 66.45 ± 0.294 b | 57.42 ± 0.550 b | 73.53 ± 0.290 a | 70.67 ± 0.333 a | 67.27 ± 1.124 a |
| SH | 40.03 ± 0.260 d | 39.73 ± 0.187 d | 39.00 ± 0.500 d | 49.47 ± 0.502 c | 48.90 ± 0.587 c | 47.59 ± 0.549 c | 64.74 ± 0.378 b | 64.19 ± 0.424 b | 56.49 ± 0.866 b | 70.29 ± 0.618 a | 69.29 ± 0.633 a | 61.34 ± 0.393 a | |
| AH | 38.93 ± 0.515 d | 37.50 ± 0.500 d | 34.45 ± 0.292 c | 50.00 ± 1.155 c | 49.00 ± 1.000 c | 46.17 ± 0.647 b | 60.33 ± 1.155 b | 59.67 ± 1.528 b | 55.81 ± 0.226 a | 68.33 ± 0.333 a | 66.33 ± 0.577 a | 57.62 ± 0.314 a | |
| ASH | 36.60 ± 0.150 d | 34.96 ± 0.031 d | 29.18 ± 0.157 d | 54.78 ± 0.048 b | 46.21 ± 0.107 c | 44.56 ± 0.300 c | 57.14 ± 0.305 b | 54.78 ± 0.048 b | 46.45 ± 0.121 b | 74.78 ± 0.264 a | 66.14 ± 0.071 a | 56.75 ± 0.411 a | |
References
- Kovats, R.S.; Hajat, S. Heat stress and public health: A critical review. Annu. Rev. Public Health 2008, 29, 41–55. [Google Scholar] [CrossRef]
- Chen, H.; Ooka, R.; Kato, S. Study on optimum arrangement of pilotis for design of pleasant outdoor wind environment using CFD simulation and Genetic Algorithms (GA). In Proceedings of the Sixth Asia-Pacific Conference on Wind Engineering (APCWE-VI), Seoul, Republic of Korea; 2005; pp. 1–11. [Google Scholar]
- Zellweger, F.; De Frenne, P.; Lenoir, J.; Rocchini, D.; Coomes, D. Advances in Microclimate Ecology Arising from Remote Sensing. Trends Ecol. Evol. 2019, 34, 327–341. [Google Scholar] [CrossRef] [PubMed]
- Li, X.X.; Norford, L.K. Evaluation of cool roof and vegetations in mitigating urban heat island in a tropical city, Singapore. Urban Clim. 2016, 16, 59–74. [Google Scholar] [CrossRef]
- Mushtaha, E.; Shareef, S.; Alsyouf, I.; Mori, T.; Kayed, A.; Abdelrahim, M.; Albannay, S. A study of the impact of major Urban Heat Island factors in a hot climate courtyard: The case of the University of Sharjah, UAE. Sustain. Cities Soc. 2021, 69, 15. [Google Scholar] [CrossRef]
- Zhang, T.; Su, M.; Hong, B.; Wang, C.; Li, K. Interaction of emotional regulation and outdoor thermal perception: A pilot study in a cold region of China. Build. Environ. 2021, 198, 107870. [Google Scholar] [CrossRef]
- Salmond, J.A.; Tadaki, M.; Vardoulakis, S.; Arbuthnott, K.; Coutts, A.; Demuzere, M.; Dirks, K.N.; Heaviside, C.; Lim, S.; Maintyre, H.; et al. Health and climate related ecosystem services provided by street trees in the urban environment. Environ. Health 2016, 15 (Suppl. 1), 36. [Google Scholar] [CrossRef]
- Dimoudi, A.; Nikolopoulou, M. Vegetation in the urban environment: Microclimatic analysis and benefits. Energy Build. 2003, 35, 69–76. [Google Scholar] [CrossRef]
- Elwy, I.; Ibrahim, Y.; Fahmy, M.; Mahdy, M. Outdoor microclimatic validation for hybrid simulation workflow in hot arid climates against ENVI-met and field measurements. Energy Procedia 2018, 153, 29–34. [Google Scholar] [CrossRef]
- Bajšanski, I.V.; Milošević, D.D.; Savić, S.M. Evaluation and improvement of outdoor thermal comfort in urban areas on extreme temperature days: Applications of automatic algorithms. Build. Environ. 2015, 94, 632–643. [Google Scholar] [CrossRef]
- Zhang, T.; Hong, B.; Su, X.; Li, Y.; Song, L. Effects of tree seasonal characteristics on thermal-visual perception and thermal comfort. Build. Environ. 2022, 212, 108793. [Google Scholar] [CrossRef]
- Hami, A.; Abdi, B.; Zarehaghi, D.; Maulan, S.B. Assessing the thermal comfort effects of green spaces: A systematic review of methods, parameters, and plants’ attributes. Sustain. Cities Soc. 2019, 49, 11. [Google Scholar] [CrossRef]
- Ma, X.; Tian, Y.; Du, M.; Hong, B.; Lin, B. How to design comfortable open spaces for the elderly? Implications of their thermal perceptions in an urban park. Sci. Total Environ. 2021, 768, 144985. [Google Scholar] [CrossRef]
- Yuan, T.; Hong, B.; Qu, H.; Liu, A.; Zheng, Y. Outdoor thermal comfort in urban and rural open spaces: A comparative study in China’s cold region. Urban Clim. 2023, 49, 101501. [Google Scholar] [CrossRef]
- Natanian, J.; Kastner, P.; Dogan, T.; Auer, T. From energy performative to livable Mediterranean cities: An annual outdoor thermal comfort and energy balance cross-climatic typological study. Energy Build. 2020, 224, 18. [Google Scholar] [CrossRef]
- Bröde, P.; Jendritzky, G.; Fiala, D.; Havenith, G. The Universal Thermal Climate Index UTCI in operational use. In Proceedings of the Adapting to Change: New Thinking on Comfort, Windsor, UK, 9–11 April 2010. [Google Scholar]
- Fang, Y.; Cho, S. Design optimization of building geometry and fenestration for daylighting and energy performance. Sol. Energy 2019, 191, 7–18. [Google Scholar] [CrossRef]
- Ibrahim, Y.; Kershaw, T.; Shepherd, P.; Elwy, I. A parametric optimisation study of urban geometry design to assess outdoor thermal comfort. Sustain. Cities Soc. 2021, 75, 103352. [Google Scholar] [CrossRef]
- Zhang, Q.; Li, X.; Wang, Y. Analysis of climatic characteristics and trends in Lanzhou City during 1981–2016. Environ. Sci. Pollut. Res. 2020, 27, 32965–32977. [Google Scholar]
- Bueno, B.; Norford, L.; Hidalgo, J.; Pigeon, G. The urban weather generator. J. Build. Perform. Simul. 2013, 6, 269–281. [Google Scholar] [CrossRef]
- Bueno, B.; Roth, M.; Norford, L.; Li, R. Computationally efficient prediction of canopy level urban air temperature at the neighbourhood scale. Urban Clim. 2014, 9, 35–53. [Google Scholar] [CrossRef]
- Xu, Y.; Liu, X.; Hu, Y.; Deng, Y.; Li, M. Influence of different tree species on wind environment in urban green spaces: A case study in Guangzhou, China. Urban For. Urban Green. 2019, 38, 302–310. [Google Scholar]
- Shooshtarian, S.; Ridley, I. The effect of physical and psychological environments on the users thermal perceptions of educational urban precincts. Build. Environ. 2017, 115, 182–198. [Google Scholar] [CrossRef]
- Galindo, T.; Hermida, M.A. Effects of thermophysiological and non-thermal factors on outdoor thermal perceptions: The Tomebamba Riverbanks case. Build. Environ. 2018, 138, 235–249. [Google Scholar] [CrossRef]
- Yahia, M.W.; Johansson, E.; Thorsson, S.; Lindberg, F.; Rasmussen, M.I. Effect of urban design on microclimate and thermal comfort outdoors in warm-humid Dar es Salaam, Tanzania. Int. J. Biometeorol. 2018, 62, 373–385. [Google Scholar] [CrossRef] [PubMed]
- Sun, T.; Li, X.; Cheng, W.; Zhou, Y.; Wang, M.; Liu, W. Quantifying the impacts of meteorological factors on the urban heat island effect using a spatially explicit network model. Sci. Total Environ. 2021, 753, 141947. [Google Scholar]
- Yang, Z.; Hanna, E.; Callaghan, T.V.; Jonasson, C. How can meteorological observations and microclimate simulations improve understanding of 1913–2010 climate change around Abisko, Swedish Lapland? Meteorol. Appl. 2012, 19, 454–463. [Google Scholar] [CrossRef]
- Piselli, C.; Castaldo, V.L.; Pigliautile, I.; Pisello, A.L.; Cotana, F. Outdoor comfort conditions in urban areas: On citizens’ perspective about microclimate mitigation of urban transit areas. Sustain. Cities Soc. 2018, 39, 16–36. [Google Scholar] [CrossRef]
- Burstrom, L.; Bjor, B.; Nilsson, T.; Pettersson, H.; Rodin, I.; Wahlstrom, J. Thermal perception thresholds among workers in a cold climate. Int. Arch. Occup. Environ. Health 2017, 90, 645–652. [Google Scholar] [CrossRef]
- Jowkar, M.; Rijal, H.B.; Montazami, A.; Brusey, J.; Temeljotov-Salaj, A. The influence of acclimatization, age and gender-related differences on thermal perception in university buildings: Case studies in Scotland and England. Build. Environ. 2020, 179, 106933. [Google Scholar] [CrossRef]
- Chang, J.; Du, M.; Hong, B.; Qu, H.; Chen, H. Effects of thermal-olfactory interactions on emotional changes in urban outdoor environments. Build. Environ. 2023, 232, 110049. [Google Scholar] [CrossRef]
- Othman, N.E.; Zaki, S.A.; Rijal, H.B.; Ahmad, N.H.; Razak, A.A. Field study of pedestrians' comfort temperatures under outdoor and semi-outdoor conditions in Malaysian university campuses. Int. J. Biometeorol. 2021, 65, 453–477. [Google Scholar] [CrossRef]
- Saroglou, T.; Itzhak-Ben-Shalom, H.; Meir, I.A. Pedestrian thermal perception: Studies around two high-rise buildings in the Mediterranean climate. Build. Res. Inf. 2021, 50, 171–191. [Google Scholar] [CrossRef]
- Peng, Y.; Peng, Z.; Feng, T.; Zhong, C.; Wang, W. Assessing Comfort in Urban Public Spaces: A Structural Equation Model Involving Environmental Attitude and Perception. Int. J. Environ. Res. Public Health 2021, 18, 17. [Google Scholar] [CrossRef] [PubMed]
- Ma, X.; Song, L.; Hong, B.; Li, Y.; Li, Y. Relationships between EEG and thermal comfort of elderly adults in outdoor open spaces. Build. Environ. 2023, 235, 110212. [Google Scholar] [CrossRef]
- Li, Y.; Hong, B.; Wang, Y.; Bai, H.; Chen, H. Assessing heat stress relief measures to enhance outdoor thermal comfort: A field study in China’s cold region. Sustain. Cities Soc. 2022, 80, 103813. [Google Scholar] [CrossRef]
- Crawley, D.B.; Lawrie, L.K.; Winkelmann, F.C.; Buhl, W.F.; Huang, Y.J.; Pedersen, C.O.; Strand, R.K.; Liesen, R.J.; Fisher, D.E.; Witter, M.J.; et al. EnergyPlus: Creating a new-generation building energy simulation program. Energy Build. 2001, 33, 319–331. [Google Scholar] [CrossRef]
- Evola, G.; Marletta, L.; Cimino, D. Weather data morphing to improve building energy modeling in an urban context. Math. Model. Eng. Probl. 2018, 5, 211–216. [Google Scholar] [CrossRef]













| Average Humidity (%) | Average Wind Speed (m/s) | Average Temperature (°C) | Cumulative Precipitation (mm) | Cumulative Sunshine Duration (h) | |
|---|---|---|---|---|---|
| 2001 | 57.21 | 3.79 | 7.91 | 292.52 | 2606.69 |
| 2002 | 57.47 | 3.65 | 8.07 | 299.06 | 2616.25 |
| 2003 | 60.57 | 3.84 | 7.83 | 382.60 | 2552.71 |
| 2004 | 56.25 | 6.01 | 5.60 | 292.71 | 2712.01 |
| 2005 | 56.74 | 5.24 | 6.21 | 306.39 | 2489.82 |
| 2006 | 57.50 | 5.23 | 7.00 | 272.49 | 2506.88 |
| 2007 | 60.02 | 5.17 | 6.56 | 423.42 | 2418.02 |
| 2008 | 59.30 | 5.09 | 5.98 | 336.80 | 2557.43 |
| 2009 | 56.99 | 5.16 | 6.77 | 270.47 | 2437.19 |
| 2010 | 57.77 | 5.36 | 6.52 | 282.36 | 2594.43 |
| 2011 | 58.80 | 5.08 | 6.10 | 274.13 | 2450.31 |
| 2012 | 59.12 | 4.94 | 5.78 | 357.33 | 2507.42 |
| 2013 | 53.35 | 5.05 | 6.95 | 320.00 | 2606.57 |
| 2014 | 58.33 | 5.20 | 6.40 | 393.35 | 2494.27 |
| 2015 | 56.25 | 5.33 | 6.97 | 264.54 | 2549.92 |
| 2016 | 56.66 | 5.33 | 7.01 | 362.33 | 2692.70 |
| 2017 | 57.17 | 5.00 | 6.68 | 361.87 | 2490.41 |
| 2018 | 59.72 | 5.06 | 6.54 | 504.66 | 2461.90 |
| 2019 | 60.35 | 5.10 | 6.50 | 402.57 | 2334.70 |
| 2020 | 57.22 | 5.18 | 6.57 | 347.82 | 2361.26 |
| OGS1 | OGS2 | OGS3 | ||
|---|---|---|---|---|
| Va (m/s) | max | 0.83 | 0.79 | 0.78 |
| min | 0.36 | 0.33 | 0.22 | |
| average | 0.58 | 0.55 | 0.51 | |
| Vv (cmm) | max | 76.23 | 71.00 | 69.12 |
| min | 35.30 | 34.90 | 29.00 | |
| average | 56.10 | 54.13 | 49.34 | |
| Tg (°C) | max | 14.00 | 13.70 | 12.70 |
| min | 3.90 | 3.98 | 3.60 | |
| average | 8.91 | 8.20 | 7.91 | |
| Ta (°C) | max | 12.50 | 12.00 | 11.00 |
| min | 1.80 | 1.70 | 1.50 | |
| average | 6.58 | 5.94 | 5.49 | |
| RH (%) | max | 56.80 | 53.00 | 42.10 |
| min | 24.35 | 24.00 | 22.00 | |
| average | 41.59 | 40.29 | 35.11 |
| Parameter | Abbreviation | Instrument | Range | Accuracy |
|---|---|---|---|---|
| Globe temperature | Tg | WGBT-302 | 0–45 °C | <2% |
| Wind speed | Va | Anemometer | 0~360°/0~60 m/s | ±3°/±0.3 m/s |
| Wind volume | Vv | SIGMA AR866A | 0–999,900 m3/min | ±1° |
| Air temperature | Ta | SIGMA AS837 | −10–50° | ±1.5° |
| Relative humidity | RH | SIGMA AS837 | 5%RH–98%RH | ±5%RH (5–40%RH) |
| Space | Influencing Factors | Optimal Design Strategies |
|---|---|---|
| OGS1 Take ASH space as an example | Closest to the Yellow River, the cold lake effect is the most obvious. Windy, high wind speed, large air volume; fewer trees that reduce wind speed in winter. The spatial distribution of shrubs, arbor and grass is unreasonable. The entrance of the plot faces the Yellow River, and the entire space lacks plant enclosures and wind shields. With less precipitation in winter, plants need increased post-maintenance. | Reduce shrubs and improve natural ventilation. Increase large evergreen trees. Increase the number of fountain pools. Install outdoor spraying equipment. Increase lawn irrigation facilities. |
| OGS2 Take ASH space as an example | Close to the Yellow River, there is a certain cold lake effect. Windy, few trees that reduce wind speed. In winter, the temperature is low and there is a lack of tree species with strong thermal insulation ability. There is little precipitation in winter. There are shelters around the space, which is not conducive to natural ventilation. There is not enough space for activities. | Increase large evergreen trees. According to the research of single tree and single irrigation, choose Syringa oblata to increase the ambient temperature, and choose Prunus cerasifera f. atropurpurea and Syringa oblata to save water. Reduce the space between tree pools and increase the area of seating shade and event space. |
| OGS3 Take ASH space as an example | Far from the Yellow River, the cold lake effect is not obvious. In winter, there is less precipitation, the lowest humidity and the lowest temperature in the grassy space. There is a certain wind in winter, there are no trees, and it is impossible to block the wind. | Add large evergreen trees, which can be planted alone, or in 3–5 clusters, to ensure lawn space but also provide a certain wind resistance. |
Disclaimer/Publisher’s Note: The statements, opinions and data contained in all publications are solely those of the individual author(s) and contributor(s) and not of MDPI and/or the editor(s). MDPI and/or the editor(s) disclaim responsibility for any injury to people or property resulting from any ideas, methods, instructions or products referred to in the content. |
© 2023 by the authors. Licensee MDPI, Basel, Switzerland. This article is an open access article distributed under the terms and conditions of the Creative Commons Attribution (CC BY) license (https://creativecommons.org/licenses/by/4.0/).
Share and Cite
Lin, J.; Jiang, S.; Zhang, S.; Yang, S.; Ji, W.; Li, W. Thermal Comfort in Urban Open Green Spaces: A Parametric Optimization Study in China’s Cold Region. Buildings 2023, 13, 2329. https://doi.org/10.3390/buildings13092329
Lin J, Jiang S, Zhang S, Yang S, Ji W, Li W. Thermal Comfort in Urban Open Green Spaces: A Parametric Optimization Study in China’s Cold Region. Buildings. 2023; 13(9):2329. https://doi.org/10.3390/buildings13092329
Chicago/Turabian StyleLin, Jiayi, Songlin Jiang, Shuangyu Zhang, Siyu Yang, Wenli Ji, and Weizhong Li. 2023. "Thermal Comfort in Urban Open Green Spaces: A Parametric Optimization Study in China’s Cold Region" Buildings 13, no. 9: 2329. https://doi.org/10.3390/buildings13092329
APA StyleLin, J., Jiang, S., Zhang, S., Yang, S., Ji, W., & Li, W. (2023). Thermal Comfort in Urban Open Green Spaces: A Parametric Optimization Study in China’s Cold Region. Buildings, 13(9), 2329. https://doi.org/10.3390/buildings13092329

