Psychological State and Subjective Environmental Perception of College Students Residing in Dormitories during Quarantine: A Case Study
Abstract
1. Introduction
1.1. Background
1.2. Related Work
1.3. Objectives
2. Materials and Methods
2.1. Participants
2.2. Survey Procedure
2.3. Questionnaire
2.3.1. Basic Information
2.3.2. Environmental Adjusting Behavior
2.3.3. Indoor Environment Perception
2.3.4. Psychological State
2.4. Data Analysis
3. Results
3.1. Sample Information
3.2. Participant Environment Adjusting Behavior
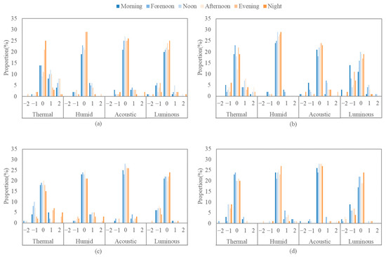
3.3. Environment Perception of the Participants
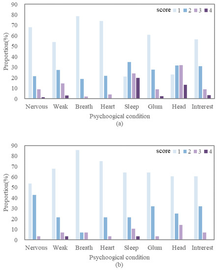
3.4. Psychological State
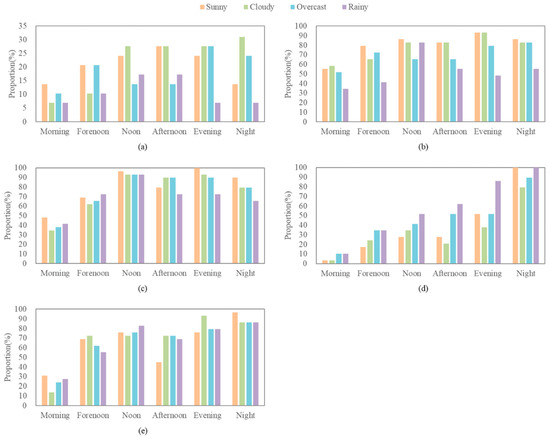
3.5. Correlation Analysis of the Environmental Regulation Behavior and Subjective Perceptions
3.6. Correlation between the Environmental Perception and Psychological State
3.6.1. The Difference in Isolation Time
3.6.2. Gender Difference
4. Discussion
4.1. Environment Adjusting Behavior and Purpose
4.2. Environmental Sensation
4.2.1. Time Difference
4.2.2. Gender Difference
4.2.3. Room Orientation Difference
4.3. Psychological State
4.3.1. The Difference in Quarantine Time
4.3.2. Gender Difference
4.3.3. Weather Difference
4.4. Limitations
- (1)
- The study adopted the form of an online questionnaire, which made it impossible to accurately obtain various environmental parameters in the room where the subjects lived;
- (2)
- Correlation analysis conducted in this paper can only show linear correlation results. Therefore, this study ignored the results of the nonlinear correlation among various factors;
- (3)
- The study did not cover the entire quarantine period, focusing only on the first month;
- (4)
- The sample size of this survey was not large enough, which may lead to some differences between the research conclusion and the real situation.
5. Conclusions
Author Contributions
Funding
Data Availability Statement
Conflicts of Interest
References
- Jernigan, D.B. Update: Public Health Response to the Coronavirus Disease 2019 Outbreak-United States, February 24, 2020. Morb. Mortal. Wkly. Rep. 2020, 69, 216–219. [Google Scholar] [CrossRef] [PubMed]
- Chen, S.; Yang, J.; Yang, W.; Wang, C.; Bärnighausen, T. COVID-19 control in China during mass population movements at New Year. Lancet 2020, 395, 764–766. [Google Scholar] [CrossRef]
- Prem, K.; Liu, Y.; Russell, T.W.; Kucharski, A.J.; Eggo, R.M.; Davies, N.; Flasche, S.; Clifford, S.; Pearson, C.A.B.; Munday, J.D.; et al. The effect of control strategies to reduce social mixing on outcomes of the COVID-19 epidemic in Wuhan, China: A modelling study. Lancet Public Health 2020, 5, e261–e270. [Google Scholar] [CrossRef] [PubMed]
- Ryu, S.; Gao, H.; Wong, J.Y.; Shiu, E.; Cowling, B.J. Nonpharmaceutical Measures for Pandemic Influenza in Nonhealthcare Settings-International Travel-Related Measures. Emerg. Infect. Dis. 2020, 26, 961–966. [Google Scholar] [CrossRef] [PubMed]
- Dong, Z.; Zhao, K.; Ren, M.; Ge, J.; Chan, I.Y.S. The impact of space design on occupants’ satisfaction with indoor environment in university dormitories. Build. Environ. 2022, 218, 109143. [Google Scholar] [CrossRef]
- Ortiz, M.A.; Bluyssen, P.M. Profiling office workers based on their self-reported preferences of indoor environmental quality and psychosocial comfort at their workplace during COVID-19. Build. Environ. 2022, 211, 108742. [Google Scholar] [CrossRef]
- Fanger, P.O.; Breum, N.O.; Jerking, E. Can colour and noise influence man’s thermal comfort? Ergonomics 1977, 20, 11–18. [Google Scholar] [CrossRef]
- Wargocki, P.; Wyon, D.P.; Sundell, J.; Clausen, G.; Fanger, P.O. The effects of outdoor air supply rate in an office on perceived air quality, sick building syndrome (SBS) symptoms and productivity. Indoor Air 2000, 10, 222–236. [Google Scholar] [CrossRef]
- Lai, J.H.K. Perceived Importance of the Quality of the Indoor Environment in Commercial Buildings. Indoor Built Environ. 2007, 16, 311–321. [Google Scholar] [CrossRef]
- Ricciardi, P.; Buratti, C. Environmental quality of university classrooms: Subjective and objective evaluation of the thermal, acoustic, and lighting comfort conditions. Build. Environ. 2018, 127, 23–26. [Google Scholar] [CrossRef]
- Torresin, S.; Pernigotto, G.; Cappelletti, F.; Gasparella, A. Combined effects of environmental factors on human perception and objective performance: A review of experimental laboratory works. Indoor Air 2018, 28, 525–538. [Google Scholar] [CrossRef]
- He, Y.; Li, N.; Peng, J.; Zhang, W.; Li, Y. Field study on adaptive comfort in air conditioned dormitories of university with hot-humid climate in summer. Energy Build. 2016, 119, 1–12. [Google Scholar] [CrossRef]
- ASHRAE GUIDELINE 10 ADD A, B, C AND D-2014; Interactions Affecting the Achievement of Acceptable Indoor Environments. ASHRAE Inc.: Tullie Circle NE Atlanta, GA, USA, 2014.
- Humphreys, M.A. Quantifying occupant comfort: Are combined indices of the indoor environment practicable? Build. Res. Inf. 2005, 33, 317–325. [Google Scholar] [CrossRef]
- Wong, L.T.; Mui, K.W.; Hui, P.S. A multivariate-logistic model for acceptance of indoor environmental quality (IEQ) in offices. Build. Environ. 2008, 43, 1–6. [Google Scholar] [CrossRef]
- Frontczak, M.; Schiavon, S.; Goins, J.; Arens, E.; Zhang, H.; Wargocki, P. Quantitative relationships between occupant satisfaction and satisfaction aspects of indoor environmental quality and building design. Indoor Air 2012, 22, 119–131. [Google Scholar] [CrossRef]
- Kim, J.; de Dear, R. Nonlinear relationships between individual IEQ factors and overall workspace satisfaction. Build. Environ. 2012, 49, 33–40. [Google Scholar] [CrossRef]
- Al Horr, Y.; Arif, M.; Kaushik, A.; Mazroei, A.; Katafygiotou, M.; Elsarrag, E. Occupant productivity and office indoor environment quality: A review of the literature. Build. Environ. 2016, 105, 369–389. [Google Scholar] [CrossRef]
- Šujanová, P.; Rychtáriková, M.; Mayor, T.S.; Hyder, A. A Healthy, Energy-Efficient and Comfortable Indoor Environment, a Review. Energies 2019, 12, 1414. [Google Scholar] [CrossRef]
- Hoisington, A.J.; Stearns-Yoder, K.A.; Schuldt, S.J.; Beemer, C.J.; Maestre, J.P.; Kinney, K.A.; Postolache, T.T.; Lowry, C.A.; Brenner, L.A. Ten questions concerning the built environment and mental health. Build. Environ. 2019, 155, 58–69. [Google Scholar] [CrossRef]
- Bluyssen, P.M.; Janssen, S.; van den Brink, L.H.; de Kluizenaar, Y. Assessment of wellbeing in an indoor office environment. Build. Environ. 2011, 46, 2632–2640. [Google Scholar] [CrossRef]
- Li, Z.; Zhang, Q.; Kazanci, O.B.; Fan, F.; Olesen, B.W. Investigation of group differences in human perceptions of indoor environment in open-plan offices in a severe cold region. Build. Environ. 2022, 213, 108855. [Google Scholar] [CrossRef]
- Mahmud, S.; Hossain, S.; Muyeed, A.; Islam, M.M.; Mohsin, M. The global prevalence of depression, anxiety, stress, and, insomnia and its changes among health professionals during COVID-19 pandemic: A rapid systematic review and meta-analysis. Heliyon 2021, 7, e07393. [Google Scholar] [CrossRef] [PubMed]
- Johns, G.; Samuel, V.; Freemantle, L.; Lewis, J.; Waddington, L. The global prevalence of depression and anxiety among doctors during the COVID-19 pandemic: Systematic review and meta-analysis. J. Affect. Disord. 2022, 298, 431–441. [Google Scholar] [CrossRef] [PubMed]
- Cénat, J.M.; Blais-Rochette, C.; Kokou-Kpolou, C.K.; Noorishad, P.-G.; Mukunzi, J.N.; McIntee, S.-E.; Dalexis, R.D.; Goulet, M.-A.; Labelle, P.R. Prevalence of symptoms of depression, anxiety, insomnia, posttraumatic stress disorder, and psychological distress among populations affected by the COVID-19 pandemic: A systematic review and meta-analysis. Psychiatry Res. 2021, 295, 113599. [Google Scholar] [CrossRef] [PubMed]
- Kang, L.; Li, Y.; Hu, S.; Chen, M.; Yang, C.; Yang, B.X.; Wang, Y.; Hu, J.; Lai, J.; Ma, X.; et al. The mental health of medical workers in Wuhan, China dealing with the 2019 novel coronavirus. Lancet Psychiatry 2020, 7, e14. [Google Scholar] [CrossRef]
- Wang, C.; Pan, R.; Wan, X.; Tan, Y.; Xu, L.; Ho, C.S.; Ho, R.C. Immediate Psychological Responses and Associated Factors during the Initial Stage of the 2019 Coronavirus Disease (COVID-19) Epidemic among the General Population in China. Int. J. Environ. Res. Public Health 2020, 17, 1729. [Google Scholar] [CrossRef]
- Qiu, J.; Shen, B.; Zhao, M.; Wang, Z.; Xu, Y. A nationwide survey of psychological distress among Chinese people in the COVID-19 epidemic: Implications and policy recommendations. Gen. Psychiatry 2020, 33, 3. [Google Scholar] [CrossRef]
- Cénat, J.M.; Dalexis, R.D. The Complex Trauma Spectrum During the COVID-19 Pandemic: A Threat for Children and Adolescents’ Physical and Mental Health. Psychiatry Res. 2020, 293, 113473. [Google Scholar] [CrossRef]
- Liu, Y.; Chen, H.; Zhang, N.; Wang, X.; Fan, Q.; Zhang, Y.; Huang, L.; Hu, B.; Li, M. Anxiety and depression symptoms of medical staff under COVID-19 epidemic in China. J. Affect. Disord. 2021, 278, 144–148. [Google Scholar] [CrossRef] [PubMed]
- Hellewell, J.; Abbott, S.; Gimma, A.; Bosse, N.I.; Jarvis, C.I.; Russell, T.W.; Munday, J.D.; Kucharski, A.J.; Edmunds, W.J.; Sun, F.; et al. Feasibility of controlling COVID-19 outbreaks by isolation of cases and contacts. Lancet Glob. Health 2020, 8, e488–e496. [Google Scholar] [CrossRef]
- Reynolds, D.L.; Garay, J.R.; Deamond, S.L.; Moran, M.K.; Gold, W.; Styra, R. Understanding, compliance and psychological impact of the SARS quarantine experience. Epidemiol. Infect. 2008, 136, 997–1007. [Google Scholar] [CrossRef]
- Maunder, R.; Hunter, J.; Vincent, L.; Bennett, J.; Peladeau, N.; Leszcz, M.; Sadavoy, J.; Verhaeghe, L.M.; Steinberg, R.; Mazzulli, T. The immediate psychological and occupational impact of the 2003 SARS outbreak in a teaching hospital. Can. Med. Assoc. J. 2003, 168, 1245–1251. [Google Scholar]
- Bai, Y.; Lin, C.C.; Lin, C.Y.; Chen, J.Y.; Chue, C.M.; Chou, P. Survey of stress reactions among health care workers involved with the SARS outbreak. Psychiatric Serv. 2004, 55, 1055–1057. [Google Scholar] [CrossRef] [PubMed]
- Jeong, H.; Yim, H.W.; Song, Y.J.; Ki, M.; Min, J.A.; Cho, J.; Chae, J.H. Mental health status of people isolated due to Middle East Respiratory Syndrome. Epidemiol. Health 2016, 38, e2016048. [Google Scholar] [CrossRef] [PubMed]
- Hawryluck, L.; Gold, W.L.; Robinson, S.; Pogorski, S.; Styra, R. SARS Control and Psychological Effects of Quarantine, Toronto, Canada. Emerging Infect. Dis. 2004, 10, 1206–1212. [Google Scholar] [CrossRef]
- Charles, S.T.; Piazza, J.R.; Mogle, J.; Sliwinski, M.J.; Almeida, D.M. The Wear and Tear of Daily Stressors on Mental Health. Psychol. Sci. 2013, 24, 733–741. [Google Scholar] [CrossRef] [PubMed]
- Chen, L.; Zhao, H.; Razin, D.; Song, T.; Wu, Y.; Ma, X.; HuerxidaAji; Wang, G.; Wang, M.; Yan, L. Anxiety levels during a second local COVID-19 pandemic breakout among quarantined people: A cross sectional survey in China. Psychiatry Res. 2021, 135, 37–46. [Google Scholar] [CrossRef]
- Gan, Y.; Ma, J.; Wu, J.; Chen, Y.; Zhu, H.; Hall, B.J. Immediate and Delayed Psychological Effects of Province-wide Lockdown and Personal Quarantine during the COVID-19 Outbreak in China. Psychol. Med. 2020, 52, 1321–1332. [Google Scholar] [CrossRef]
- Brooks, S.K.; Webster, R.K.; Smith, L.E.; Woodland, L.; Wessely, S.; Greenberg, N.; Rubin, G.J. The psychological impact of quarantine and how to reduce it: Rapid review of the evidence. Lancet 2020, 395, 912–920. [Google Scholar] [CrossRef]
- Smith, L.E.; Amlȏt, R.; Lambert, H.; Oliver, I.; Robin, C.; Yardley, L.; Rubin, G.J. Factors associated with adherence to self-isolation and lockdown measures in the UK: A cross-sectional survey. Public Health 2020, 187, 41–52. [Google Scholar] [CrossRef]
- Fancourt, D.; Steptoe, A.; Bu, F. Trajectories of anxiety and depressive symptoms during enforced isolation due to COVID-19 in England: A longitudinal observational study. Lancet Psychiatry 2021, 8, 141–149. [Google Scholar] [CrossRef] [PubMed]
- Shevlin, M.; Mcbride, O.; Murphy, J.; Miller, J.G.; Bentall, R. Anxiety, Depression, Traumatic Stress, and COVID-19 Related Anxiety in the UK General Population During the COVID-19 Pandemic. BJPsych Open 2020, 6, 158. [Google Scholar] [CrossRef]
- Saunders, R.; Buckman JE, J.; Fonagy, P.; Fancourt, D. Understanding different trajectories of mental health across the general population during the COVID-19 pandemic. Psychol. Med. 2021, 52, 4049–4057. [Google Scholar] [CrossRef]
- Juhl, A.A.; Murielle, M.; Herranz, B.J.J.; Mégane, H.; Tarik, E.A.; Maria, M. Symptoms of anxiety/depression during the COVID-19 pandemic and associated lockdown in the community: Longitudinal data from the TEMPO cohort in France. BMC Psychiatry 2021, 21, 381. [Google Scholar] [CrossRef]
- Sachser, C.; Olaru, G.; Pfeiffer, E.; Brähler, E.; Clemens, V.; Rassenhofer, M.; Witt, A.; Fegert, J.M. The immediate impact of lockdown measures on mental health and couples’ relationships during the COVID-19 pandemic—Results of a representative population survey in Germany. Soc. Sci. Med. 2021, 278, 113954. [Google Scholar] [CrossRef]
- Auerbach, R.P.; Mortier, P.; Ronny, B.; Jordi, A.; Corina, B.; Pim, C.; Koen, D.; Ebert, D.D.; Greif, G.J.; Penelope, H.; et al. WHO World Mental Health Surveys International College Student Project: Prevalence and distribution of mental disorders. J. Abnorm. Psychol. 2018, 127, 623–638. [Google Scholar] [CrossRef] [PubMed]
- Liu, M.; Zhao, S.; Li, J. Associations among perceived built environment, attitudes, walking behavior, and physical and mental state of college students during COVID-19. Travel Behav. Soc. 2022, 28, 170–180. [Google Scholar] [CrossRef]
- Cao, W.; Fang, Z.; Hou, G.; Han, M.; Xu, X.; Dong, J.; Zheng, J. The psychological impact of the COVID-19 epidemic on college students in China. Psychiatry Res. 2020, 287, 112934. [Google Scholar] [CrossRef]
- Klee, L.; Fabrice, A.; Eisenburger, N.; Feddern, S.; Gabriel, C.; Kossow, A.; Niessen, J.; Schmidt, N.; Wiesmüller, G.A.; Grüne, B.; et al. Coping strategies during legally enforced quarantine and their association to psychological distress level: A cross-sectional study. Public Health 2022, 209, 52–60. [Google Scholar] [CrossRef]
- Rajkumar, E.; Rajan, A.M.; Daniel, M.; Lakshmi, R.; John, R.; George, A.J.; Abraham, J.; Varghese, J. The psychological impact of quarantine due to COVID-19: A systematic review of risk, protective factors and interventions using socio-ecological model framework. Heliyon 2022, 8, e09765. [Google Scholar] [CrossRef] [PubMed]
- ANSI/ASHRAE Standard 55-2017; Thermal Environmental Conditions for Human Occupancy. ASHRAE Inc.: Tullie Circle NE Atlanta, GA, USA, 2017.
- Gagge, A.P. Introduction to Thermal Comfort; INSERM: Paris, France, 1997. [Google Scholar]
- Fanger, P.O. Assessment of man’s thermal comfort in practice. Br. J. Ind. Med. 1973, 30, 313–324. [Google Scholar] [CrossRef] [PubMed]
- Ogbonna, A.C.; Harris, D.J. Thermal comfort in sub-Saharan Africa: Field study report in Jos-Nigeria. Appl. Energy 2008, 85, 1–11. [Google Scholar] [CrossRef]
- Shahzad, S.; Brennan, J.; Theodossopoulos, D.; Calautit, J.K.; Hughes, B.R. Does a neutral thermal sensation determine thermal comfort? Build Serv. Eng. Res. Technol. 2018, 39, 183–195. [Google Scholar] [CrossRef]
- Morganti, A.; Brambilla, A.; Aguglia, A.; Amerio, A.; Miletto, N.; Parodi, N.; Porcelli, C.; Odone, A.; Costanza, A.; Signorelli, C.; et al. Effect of Housing Quality on the Mental Health of University Students during the COVID-19 Lockdown. Int. J. Environ. Res. Public Health 2022, 19, 2918. [Google Scholar] [CrossRef]
- Dalton, B.H.; Behm, D.G. Effects of noise and music on human and task performance: A systematic review. Occup. Ergon. 2007, 7, 143–152. [Google Scholar] [CrossRef]
- Haselhoff, T.; Lawrence, B.; Hornberg, J.; Ahmed, S.; Sutcliffe, R.; Gruehn, D.; Moebus, S. The acoustic quality and health in urban environments (SALVE) project: Study design, rationale and methodology. Appl. Acoust. 2022, 188, 108538. [Google Scholar] [CrossRef]
- Jiang, B.; Xu, W.; Ji, W.; Kim, G.; Pryor, M.; Sullivan, W.C. Impacts of nature and built acoustic-visual environments on human’s multidimensional mood states: A cross-continent experiment. J. Environ. Psychol. 2021, 77, 101659. [Google Scholar] [CrossRef]
- Dzhambov, A.M.; Lercher, P.; Stoyanov, D.; Petrova, N.; Novakov, S.; Dimitrova, D.D. University Students’ Self-Rated Health in Relation to Perceived Acoustic Environment during the COVID-19 Home Quarantine. Int. J. Environ. Res. Public Health 2021, 18, 2538. [Google Scholar] [CrossRef]
- Waheeb, M.I.; Hemeida, F.A. Study of natural ventilation and daylight in a multi-storey residential building to address the problems of COVID-19. Energy Rep. 2022, 8, 863–880. [Google Scholar] [CrossRef]
- Gil-Baez, M.; Lizana, J.; Becerra Villanueva, J.A.; Molina-Huelva, M.; Serrano-Jimenez, A.; Chacartegui, R. Natural ventilation in classrooms for healthy schools in the COVID era in Mediterranean climate. Build. Environ. 2021, 206, 108345. [Google Scholar] [CrossRef]
- Monge-Barrio, A.; Bes-Rastrollo, M.; Dorregaray-Oyaregui, S.; González-Martínez, P.; Martin-Calvo, N.; López-Hernández, D.; Arriazu-Ramos, A.; Sánchez-Ostiz, A. Encouraging natural ventilation to improve indoor environmental conditions at schools. Case studies in the north of Spain before and during COVID. Energy Build. 2022, 254, 111567. [Google Scholar] [CrossRef]
- Reshetnikov, V.; Mitrokhin, O.; Belova, E.; Mikhailovsky, V.; Mikerova, M.; Alsaegh, A.; Yakushina, I.; Royuk, V. Indoor Environmental Quality in Dwellings and Lifestyle Behaviors during the COVID-19 Pandemic: Russian Perspective. Int. J. Environ. Res. Public Health 2021, 18, 5975. [Google Scholar] [CrossRef] [PubMed]
- Batool, A.; Rutherford, P.; Mcgraw, P.V.; Ledgeway, T.; Altomonte, S. Window Views: Difference of Perception during the COVID-19 Lockdown. LEUKOS 2021, 17, 380–390. [Google Scholar] [CrossRef]
- Torresin, S.; Albatici, R.; Aletta, F.; Babich, F.; Oberman, T.; Kang, J. Associations between indoor soundscapes, building services and window opening behaviour during the COVID-19 lockdown. Build. Serv. Eng. Res. Technol. 2022, 43, 225–240. [Google Scholar] [CrossRef] [PubMed]
- Akbari, P.; Yazdanfar, S.-A.; Hosseini, S.-B.; Norouzian-Maleki, S. Housing and mental health during outbreak of COVID-19. J. Build. Eng. 2021, 43, 102919. [Google Scholar] [CrossRef]
- Dzhambov, A.M.; Lercher, P.; Browning, M.; Stoyanov, D.; Petrova, N.; Novakov, S.; Dimitrova, D.D. Does greenery experienced indoors and outdoors provide an escape and support mental health during the COVID-19 quarantine? Environ. Res. 2021, 196, 110420. [Google Scholar] [CrossRef]
- Spano, G.; D’Este, M.; Giannico, V.; Elia, M.; Cassibba, R.; Lafortezza, R.; Sanesi, G. Association between indoor-outdoor green features and psychological health during the COVID-19 lockdown in Italy: A cross-sectional nationwide study. Urban For. Urban Green. 2021, 62, 127156. [Google Scholar] [CrossRef]
- Henry, B.; Rajesh, B.; Marc, S.; Prashant, K.; Ishanki, D.M.; Panagiotis, D.; Allen, H.; Yyanis, J.; MarcoFelipe, K.; Oleksiy, K.; et al. The ventilation of buildings and other mitigating measures for COVID-19: A focus on wintertime. Proc. Math. Phys. Eng. Sci. 2021, 477, 20210855. [Google Scholar] [CrossRef]
- Bergefurt, L.; Weijs-Perrée, M.; Appel-Meulenbroek, R.; Arentze, T.; de Kort, Y. Satisfaction with activity-support and physical home-workspace characteristics in relation to mental health during the COVID-19 pandemic. J. Environ. Psychol. 2022, 81, 101826. [Google Scholar] [CrossRef]
- Wyon, D.P.; Andersen, I.; Lundqvist, G.R. Spontaneous magnitude estimation of thermal discomfort during changes in the ambient temperature. J. Hyg. 1972, 70, 203–221. [Google Scholar] [CrossRef]
- Nakano, J.; Tanabe, S.-I.; Kimura, K.-I. Differences in perception of indoor environment between Japanese and non-Japanese workers. Energy Build 2002, 34, 615–621. [Google Scholar] [CrossRef]
- Zhang, X.; Chang, W. Investigation on Home Quarantine of Students in Military Medical University During COVID-19 Outbreak. J. Chengdu Med. Coll. 2020, 15, 273–278. [Google Scholar]
- Khan, A.H.; Sultana, M.S.; Hossain, S.; Hasan, M.T.; Ahmed, H.U.; Sikder, M.T. The impact of COVID-19 pandemic on mental health & wellbeing among home-quarantined Bangladeshi students: A cross-sectional pilot study. J. Affect. Disord. 2020, 277, 121–128. [Google Scholar] [CrossRef] [PubMed]
- Huang, C.; Chen, J.; Feng, H.; Chen, W.; Chen, S.; Shan, Y.; Tang, Z. Investigation and analysis of influence of isolation mode on psychological health of COVID-19 pneumonia residents’ during epidemic prevention. China Mod. Med. 2021, 28, 195–197. [Google Scholar]
- Lei, L.; Huang, X.; Zhang, S.; Yang, J.; Yang, L.; Xu, M. Comparison of prevalence and associated factors of anxiety and depression among people affected by versus people unaffected by quarantine during the COVID-19 epidemic in southwestern China. Med. Sci. Monit. 2020, 26, e924609. [Google Scholar] [CrossRef]
- Baiano, C.; Zappullo, I.; The LabNPEE Group; Conson, M. Tendency to Worry and Fear of Mental Health during Italy’s COVID-19 Lockdown. Int. J. Environ. Res. 2020, 17, 5928. [Google Scholar] [CrossRef]
- Frijters, P.; Lalji, C.; Pakrashi, D. Daily weather only has small effects on wellbeing in the US. J. Econ. Behav. Organ. 2020, 176, 747–762. [Google Scholar] [CrossRef]
- An, M.; Colarelli, S.M.; O’Brien, K.; Boyajian, M.E. Why We Need More Nature at Work: Effects of Natural Elements and Sunlight on Employee Mental Health and Work Attitudes. PLoS ONE 2016, 11, e0155614. [Google Scholar] [CrossRef]
- Burdett, A.; Davillas, A.; Etheridge, B. Weather, mental health, and mobility during the first wave of the COVID-19 pandemic. Health Econ. 2021, 30, 2296–2306. [Google Scholar] [CrossRef]
















| Weather | Morning | Forenoon | Noon | Afternoon | Evening | Night |
|---|---|---|---|---|---|---|
| 6:00–8:00 | 8:00–11:00 | 11:00–14:00 | 14:00–17:00 | 17:00–19:00 | 19:00–22:00 | |
| Sunny | 33.1 °C/26% | 29.4 °C/40% | 22.4 °C/74% | 16.4 °C/83% | 17.7 °C/73% | 16.5 °C/80% |
| Cloudy | 28.2 °C/22% | 24.4 °C/32% | 20.5 °C/58% | 18.3 °C/69% | 17.1 °C/76% | 16.7 °C/78% |
| Overcast | 13.6 °C/97% | 12.9 °C/100% | 13.1 °C/93% | 12.6 °C/96% | 14.4 °C/94% | 14.3 °C/94% |
| Rainy | 20.9 °C/78% | 18.7 °C/84% | 13 °C/100% | 14.4 °C/100% | 13.2 °C/99% | 13.8 °C/94% |
| Scale | Sensation | Satisfaction | Expectation | ||||||
|---|---|---|---|---|---|---|---|---|---|
| Temperature | Humidity | Sound | Lighting | All | Temperature | Humidity | Sound | Lighting | |
| −2 | Very cold | Very dry | Very quiet | Very dark | - | - | |||
| −1 | Cold | Dry | Quiet | Dark | - | Cooler | Drier | Quieter | Darker |
| 0 | Neutral | Neutral | Neutral | Neutral | Unsatisfied | Remain unchanged | |||
| 1 | Hot | Humid | Noisy | Bright | Satisfied | Hotter | More humid | Noisier | Brighter |
| 2 | Very hot | Very humid | Very noisy | Very bright | - | - | |||
| Code Word | Content | SAS | SDS | Scales | |||
|---|---|---|---|---|---|---|---|
| 1 | 2 | 3 | 4 | ||||
| Nervous | I feel nervous and anxious | √ | - | Never | Slight | Serious | Severe |
| Weak | I feel weak and tired at present | √ | - | ||||
| Breath | I feel short of breath | √ | - | ||||
| Heart | I feel my heart beating faster than usual | √ | √ | ||||
| Sleep | I fell asleep slowly last night and the quality of my sleep was poor | √ | √ | ||||
| Glum | I feel glum and low | - | √ | ||||
| Head | My head is muddier than usual | - | √ | ||||
| Interest | I am not interested in the things I am usually interested in | - | √ | ||||
| Gender | Orientation | Number of Occupants | ||||||
|---|---|---|---|---|---|---|---|---|
| Male | Female | South | North | 1 | 2 | 3 | 4 | |
| Number | 384 | 313 | 478 | 219 | 11 | 23 | 240 | 423 |
| Male | Female | |
|---|---|---|
| Temperature | 1.7:1 | 1.1:1 |
| Humidity | 2.8:1 | 2.5:1 |
| Sound | 2:1 | 1.8:1 |
| Lighting | 0.25:1 | 0.23:1 |
Disclaimer/Publisher’s Note: The statements, opinions and data contained in all publications are solely those of the individual author(s) and contributor(s) and not of MDPI and/or the editor(s). MDPI and/or the editor(s) disclaim responsibility for any injury to people or property resulting from any ideas, methods, instructions or products referred to in the content. |
© 2023 by the authors. Licensee MDPI, Basel, Switzerland. This article is an open access article distributed under the terms and conditions of the Creative Commons Attribution (CC BY) license (https://creativecommons.org/licenses/by/4.0/).
Share and Cite
Mao, H.; Yu, H.; Tang, Y.; Zhang, K.; Luo, M.; Zhuang, L. Psychological State and Subjective Environmental Perception of College Students Residing in Dormitories during Quarantine: A Case Study. Buildings 2023, 13, 1065. https://doi.org/10.3390/buildings13041065
Mao H, Yu H, Tang Y, Zhang K, Luo M, Zhuang L. Psychological State and Subjective Environmental Perception of College Students Residing in Dormitories during Quarantine: A Case Study. Buildings. 2023; 13(4):1065. https://doi.org/10.3390/buildings13041065
Chicago/Turabian StyleMao, Huice, Hang Yu, Yin Tang, Kege Zhang, Maohui Luo, and Linyi Zhuang. 2023. "Psychological State and Subjective Environmental Perception of College Students Residing in Dormitories during Quarantine: A Case Study" Buildings 13, no. 4: 1065. https://doi.org/10.3390/buildings13041065
APA StyleMao, H., Yu, H., Tang, Y., Zhang, K., Luo, M., & Zhuang, L. (2023). Psychological State and Subjective Environmental Perception of College Students Residing in Dormitories during Quarantine: A Case Study. Buildings, 13(4), 1065. https://doi.org/10.3390/buildings13041065

