Out-Plane Buckling of Arches with Variable Cross-Section
Abstract
:1. Introduction
2. Basic Assumptions and Cross-Sectional Features
- (1)
- The cross-section of the arch remains perpendicular to the arch axis throughout the buckling process.
- (2)
- An exponential function with the base of the natural constant e is employed as the variable cross-sectional form.
- (3)
- The span and height of the arch are significantly larger than the dimensions of the arch’s cross-section are assumed.
- (4)
- The cross-section of the arch is assumed to be rectangular, exhibiting continuous and uniform variations along its length.
- (5)
- The material of the arch is assumed to be uniform, isotropic, and exhibits linear elasticity. The elastic modulus is represented as E, and the shear modulus as G.
3. Analysis of Variable Cross-Section
4. Out-Plane Buckling
4.1. Internal Force and Normal Stress of Variable Cross-Sectional Arch
4.2. Critical Out-Plane Buckling Load of Variable Cross-Sectional Arch
5. Comparisons with Finite Element (FE) Results
5.1. Numerical Model of the Arch with Variable Cross-Section
5.2. Comparative Analysis with Finite Element Results
6. Parametric Analysis
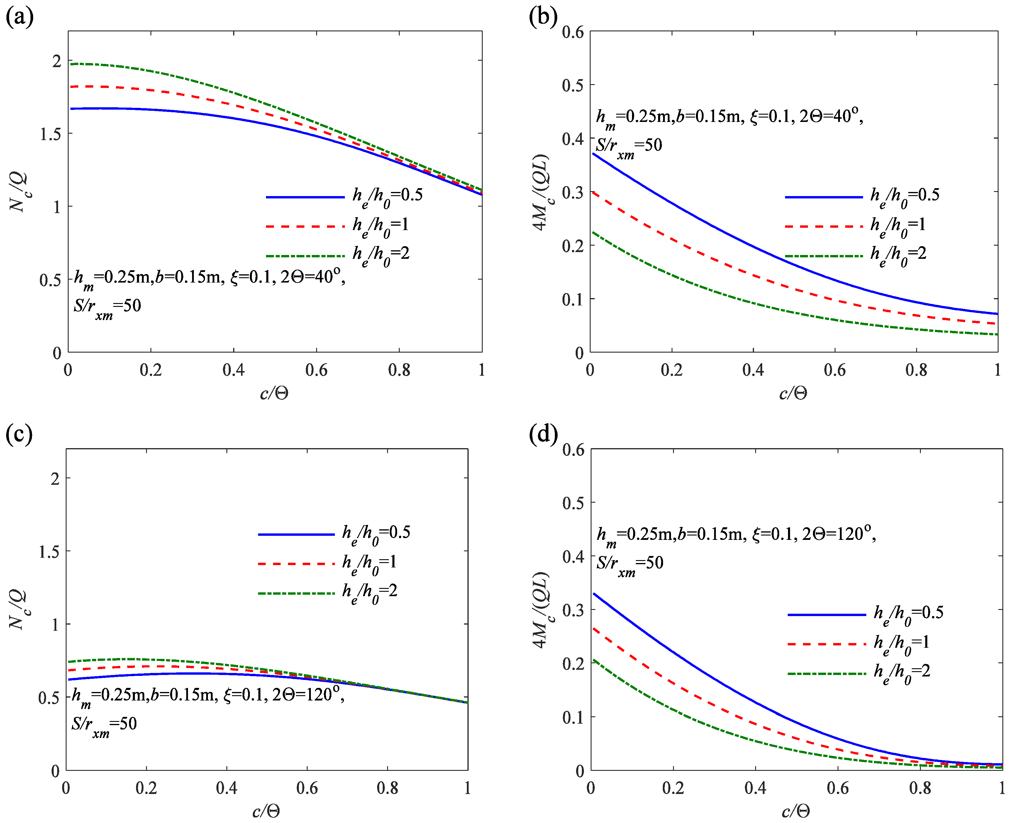
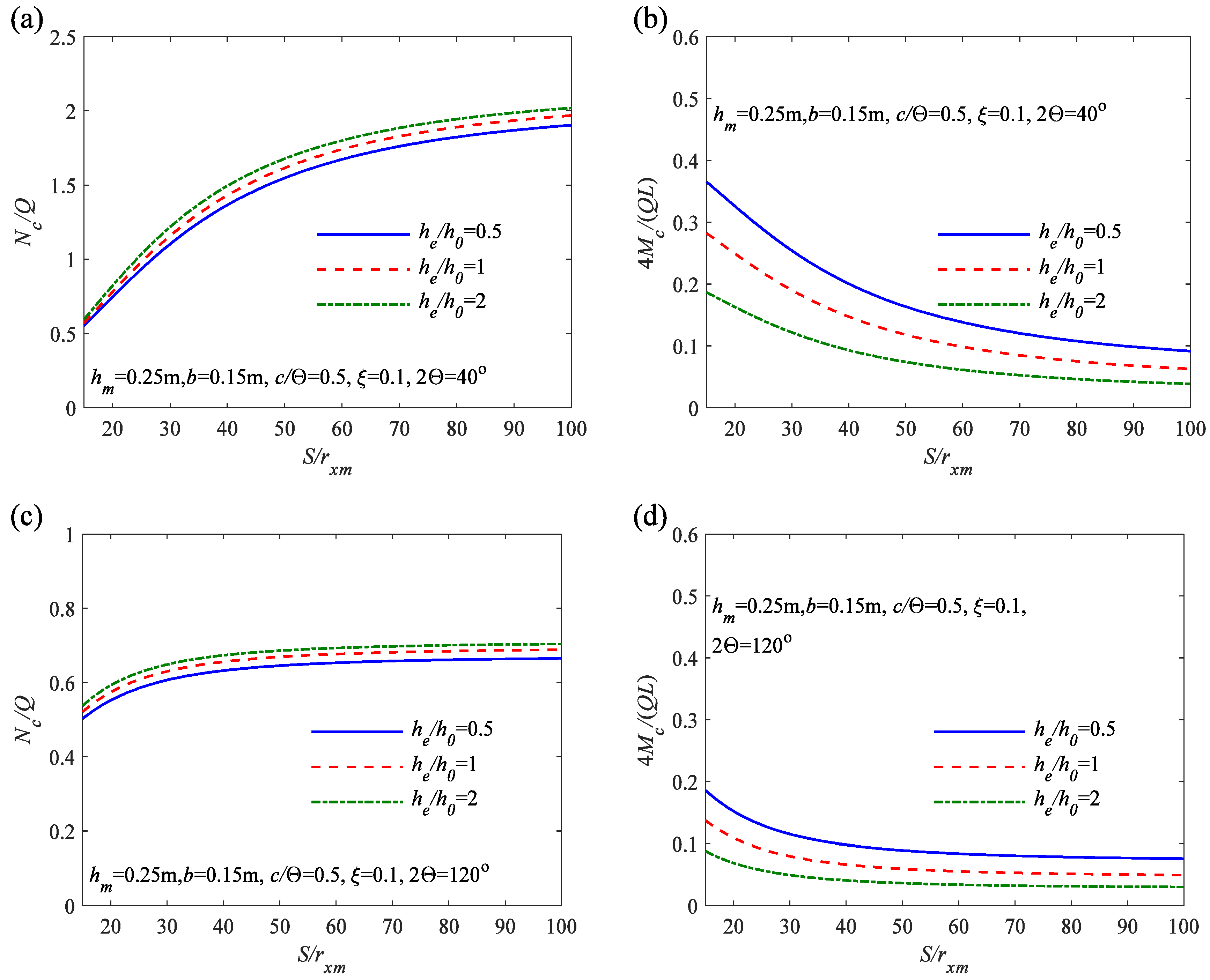
6.1. Parametric Analysis of Stresses and Internal Forces
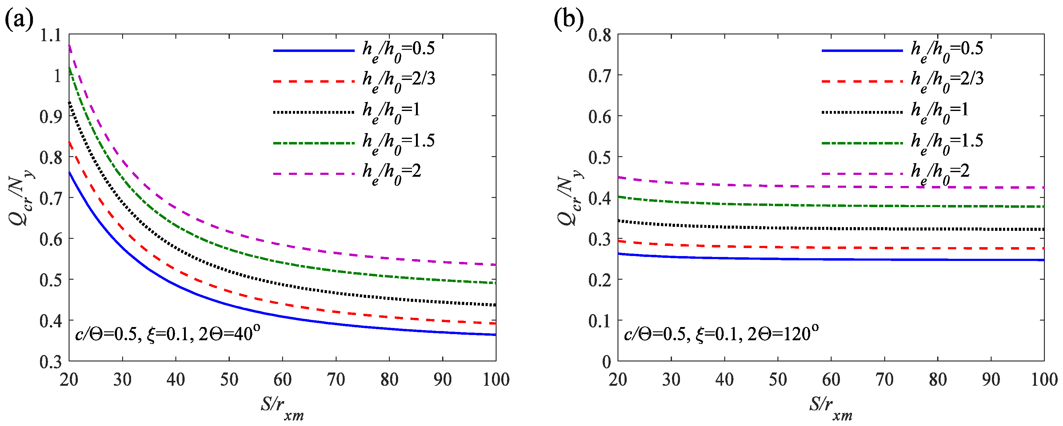
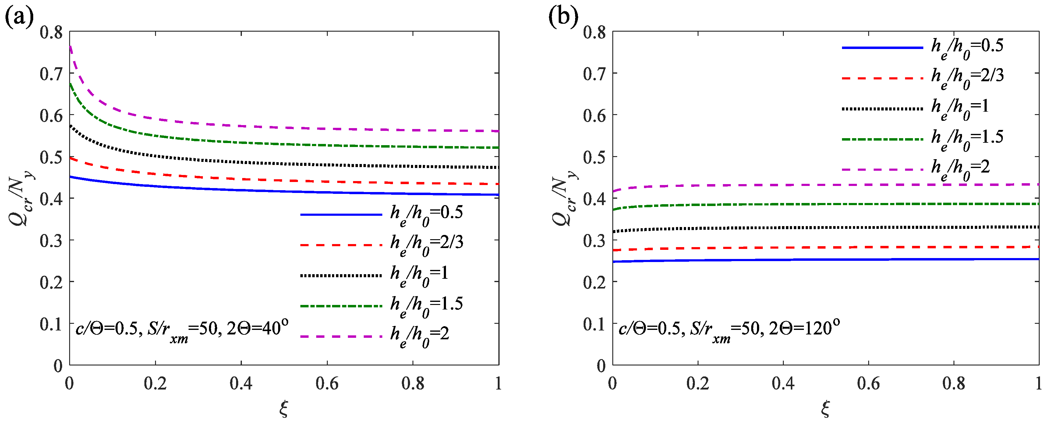
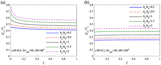
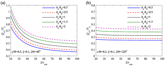
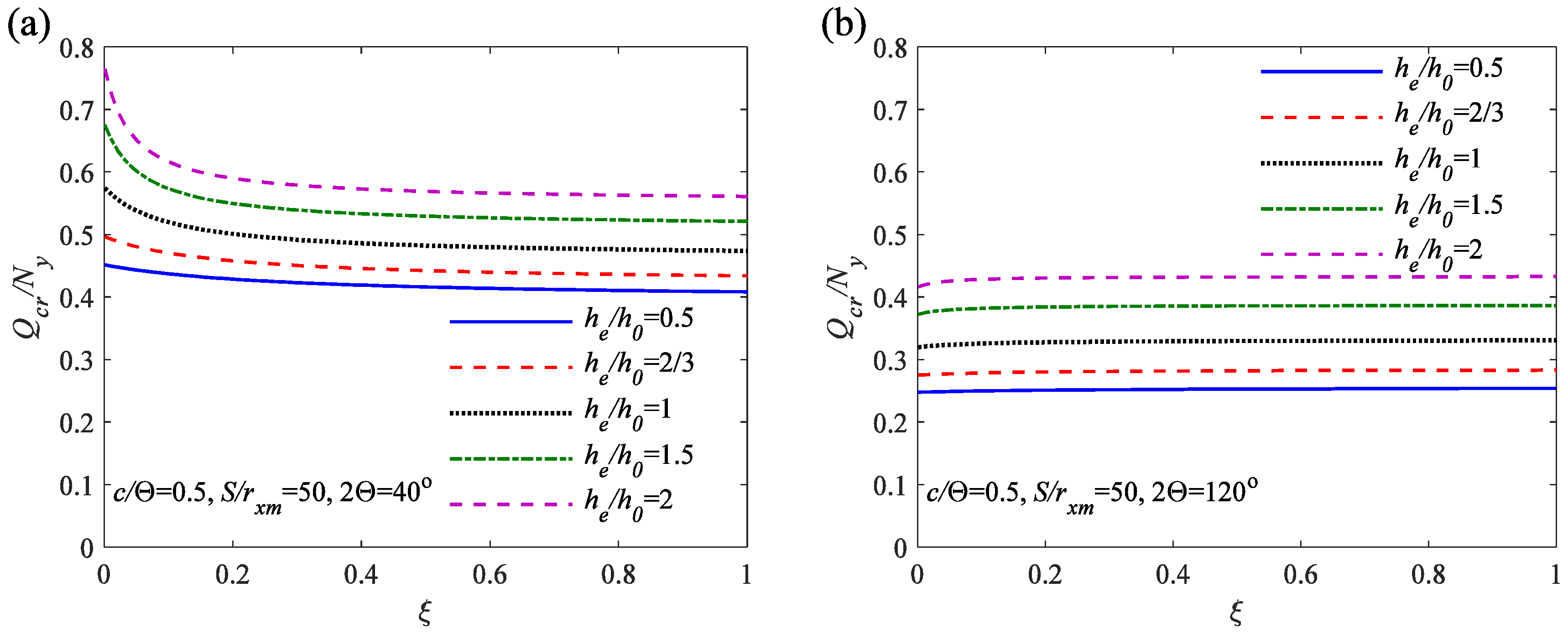
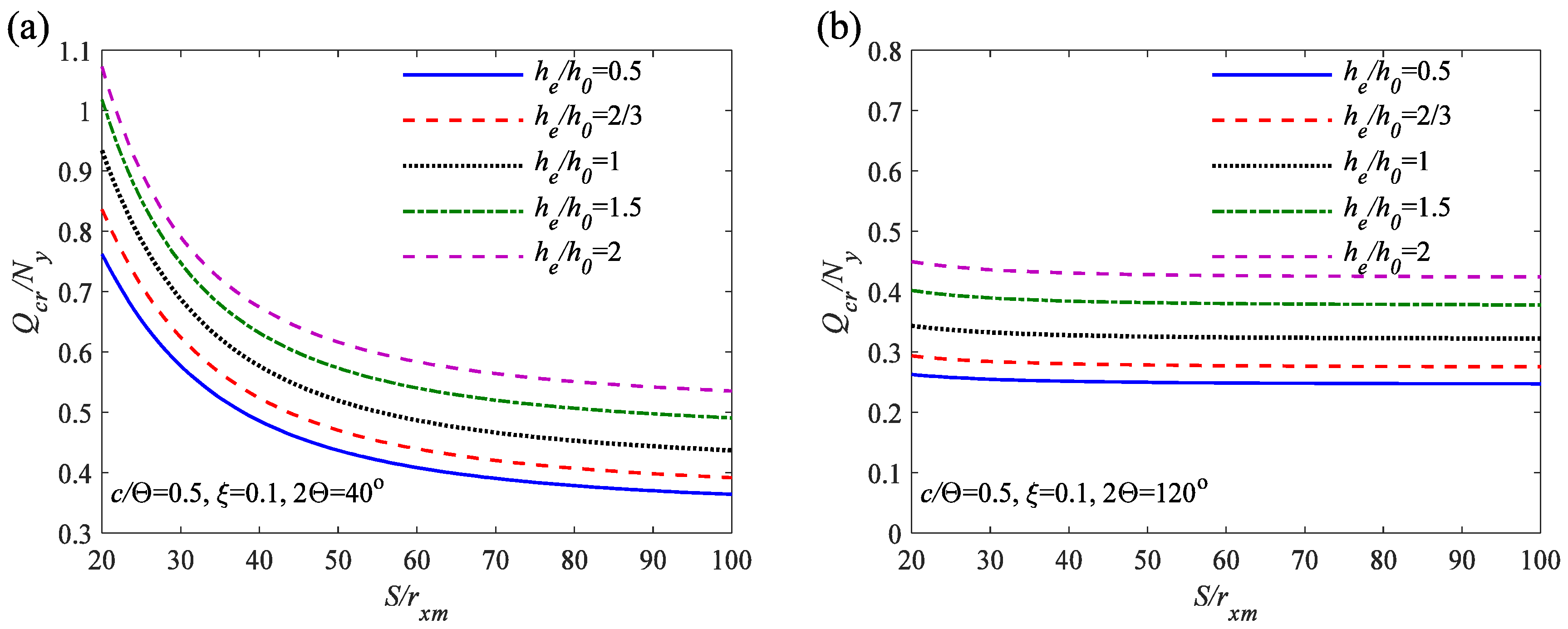
6.2. Parametric Analysis of Critical Buckling Load
7. Conclusions
- (1)
- As the cross-sectional height ratio of the variable cross-sectional arch increases, the segments of the arch axis experiencing compressive stress increase, while the segments experiencing tensile stress gradually decrease. These result in a more uniform distribution of stress in the arch.
- (2)
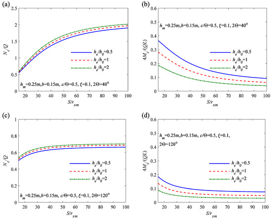
- Through the analysis of the effects of the in-plane slenderness ratio S/rxm, the localized parameter c/Θ, the flexibility coefficient of the flexibility coefficient of elastic rotation constraint ζ, and the variation of internal forces along the arch axis, it can be observed that compared to arches with a uniform cross-sectional height ratio he/h0 = 1, variable cross-sectional arches with he/h0 greater than 1 exhibit larger axial compression Nc/Q and smaller bending moment 4 Mc/(QL). However, for variable cross-sectional arches with he/h0 less than 1, the axial compression Nc/Q is smaller, and the bending moment 4 Mc/(QL) is larger. Therefore, properly designed variable cross-sectional arches exhibit more uniform internal force distribution and better pre-buckling performance.
- (3)
- Through the parametric analysis of the critical out-plane buckling load, it has been found that compared to arches with a uniform cross-section height ratio of he/h0 = 1, variable cross-section arches with a cross-section height ratio he/h0 greater than 1 can achieve a larger critical out-plane buckling load, indicating a higher level of stability. These findings provide valuable insights for structural design.
Author Contributions
Funding
Data Availability Statement
Acknowledgments
Conflicts of Interest
Appendix A. Coefficients A11, A12, A13, A21, A22 and A23
References
- Trahair, N.S. Flexural-Torsional Buckling of Structures, 1st ed.; CRC Press: Boca Raton, FL, USA, 1993. [Google Scholar]
- Liu, A.; Lu, H.; Fu, J.; Pi, Y.-L.; Huang, Y.; Li, J.; Ma, Y. Analytical and experimental studies on out-of-plane dynamic instability of shallow circular arch based on parametric resonance. Nonlinear Dyn. Dyn. 2017, 87, 677–694. [Google Scholar]
- Yuan, C.; Hu, Q.; Wang, Y.; Liu, C. Out-of-plane stability of fixed concrete-filled steel tubular arches under uniformly distributed loads. Mag. Concr. Res. 2021, 73, 945–957. [Google Scholar] [CrossRef]
- Pi, Y.L.; Bradford, M.A.; Tong, G.S. Elastic lateral–torsional buckling of circular arches subjected to a central concentrated load. Int. J. Mech. Sci. 2010, 52, 847–862. [Google Scholar]
- Liu, A.; Lu, H.; Fu, J.; Pi, Y.-L. Lateral-torsional buckling of circular steel arches under arbitrary radial concentrated load. J. Struct. Eng. 2017, 143, 04017129. [Google Scholar] [CrossRef]
- Lu, H.; Liu, A.; Bradford, M.A.; Pi, Y.-L. Experimental investigation of out-of-plane buckling of circular arches under a central radial point load. Thin-Walled Struct. 2020, 148, 106198. [Google Scholar]
- Lu, H.; Liu, A.; Pi, Y.-L.; Huang, Y.; Bradford, M.A.; Fu, J. Flexural-torsional buckling of steel arches under a localized uniform radial-load incorporating shear deformations. J. Struct. Eng. 2019, 145, 04019117. [Google Scholar]
- Pi, Y.L.; Bradford, M.A. Out-plane strength design of fixed steel I-section arches. J. Struct. Eng. 2005, 131, 560–568. [Google Scholar]
- Guo, Y.-L.; Zhao, S.-Y.; Dou, C.; Pi, Y.-L. Out-plane elastic buckling of circular arches with elastic end restraints. J. Struct. Eng. 2014, 140, 04014071. [Google Scholar] [CrossRef]
- Xi, K.T.; Li, J.; Zhou, T.G.; Xu, Q.X. Out-plane Stability Analysis of U-Section Pin-End Steel Arch. Appl. Mech. Mater. 2013, 351, 169–173. [Google Scholar]
- Pi, Y.L.; Trahair, N.S. Out-of-plane inelastic buckling and strength of steel arches. J. Struct. Eng. 1998, 124, 174–183. [Google Scholar]
- Bouras, Y.; Vrcelj, Z. Out-of-plane stability of concrete-filled steel tubular arches at elevated temperatures. Int. J. Mech. Sci. 2020, 187, 105916. [Google Scholar] [CrossRef]
- Liu, L.; Zhang, Z.; Liu, A.; Yang, J. Out-of-plane buckling of functionally graded porous arches reinforced by graphene platelets in a thermal environment. Mech. Adv. Mater. Struct. 2023, 1–15. [Google Scholar] [CrossRef]
- Malekzadeh, P.; Karami, G. Out-of-plane static analysis of circular arches by DQM. Int. J. Solids Struct. 2003, 40, 6527–6545. [Google Scholar] [CrossRef]
- Lim, N.H.; Kang, Y.J. Out of plane stability of circular arches. Int. J. Mech. Sci. 2004, 46, 1115–1137. [Google Scholar] [CrossRef]
- Xi, K.T.; Li, J.; Zhou, T.G.; Lin, T. Out-of-Plane Stability Analysis of I-Section Steel Arch. Appl. Mech. Mater. 2013, 405, 781–785. [Google Scholar] [CrossRef]
- Wang, X.R.; Jin, J.K.; Yang, G. Analysis on In-Plane and Out-Plane Instability Coupling of Steel Bowstring Arch Bridge with Box Section Single Rib. Adv. Mater. Res. 2013, 790, 337–340. [Google Scholar] [CrossRef]
- Guo, Y.-L.; Zhao, S.-Y.; Dou, C.; Pi, Y.-L. Out-of-plane strength design of spatially trussed arches with a rectangular lattice section. J. Constr. Steel Res. 2013, 88, 321–329. [Google Scholar] [CrossRef]
- Zhong, Z.; Liu, A.; Fu, J.; Pi, Y.-L.; Deng, J.; Xie, Z. Analytical and experimental studies on out-of-plane dynamic parametric instability of a circular arch under a vertical harmonic base excitation. J. Sound Vib. 2021, 500, 116011. [Google Scholar] [CrossRef]
- Dou, C.; Guo, Y.-L.; Zhao, S.-Y.; Pi, Y.-L.; Bradford, M.A. Elastic out-plane buckling load of circular steel tubular truss arches incorporating shearing effects. Eng. Struct. 2013, 52, 697–706. [Google Scholar] [CrossRef]
- Hayman, B. Creep buckling—A general view of the phenomena. In Proceedings of the Creep in Structures: 3rd Symposium, Leicester, UK, 8–12 September 1980; Springer: Berlin/Heidelberg, Germany, 1981; pp. 289–307. [Google Scholar]
- Geng, Y.; Ranzi, G.; Wang, Y.-Y. Out-of-plane creep buckling analysis on slender concrete-filled steel tubular arches. J. Constr. Steel Res. 2018, 140, 174–190. [Google Scholar] [CrossRef]
- Shafiee, H.; Naei, M.H.; Eslami, M.R. In-plane and out-plane buckling of arches made of FGM. Int. J. Mech. Sci. 2006, 48, 907–915. [Google Scholar] [CrossRef]
- Piovan, M.T.; Domini, S.; Ramirez, J.M. In-plane and out-plane dynamics and buckling of functionally graded circular curved beams. Compos. Struct. 2012, 94, 3194–3206. [Google Scholar] [CrossRef]
- Huang, C.; Tseng, Y.; Leissa, A.; Nieh, K. An exact solution for in-plane vibrations of an arch having variable curvature and cross-section. Int. J. Mech. Sci. 1998, 40, 1159–1173. [Google Scholar] [CrossRef]
- Shao, C.; Huang, Y. Advances in Shape Memory Alloy-Based Reinforcement in Steel Structures: A Review. Buildings 2023, 13, 2760. [Google Scholar] [CrossRef]
- Shin, Y.J.; Kwon, K.M.; Yun, J.H. Vibration analysis of a circular arch with variable cross-sectional using differential transformation and generalized differential quadrature. J. Sound Vib. 2008, 309, 9–19. [Google Scholar] [CrossRef]
- Tsiatas, G.C.; Babouskos, N.G. Linear and geometrically nonlinear analysis of non-uniform shallow arches under a central concentrated force. Int. J. Non-Linear Mech. 2017, 92, 92–101. [Google Scholar] [CrossRef]
- Yan, S.-T.; Shen, X.; Chen, Z.; Jin, Z. On buckling of non-uniform shallow arch under a central concentrated load. Int. J. Mech. Sci. 2017, 133, 330–343. [Google Scholar] [CrossRef]
- Yan, S.-T.; Shen, X.; Chen, Z.; Jin, Z. On collapse of non-uniform shallow arch under uniform radial pressure. Eng. Struct. 2018, 160, 419–438. [Google Scholar] [CrossRef]
- Asemi, K.; Kiani, Y. Postbuckling up to collapse of polar orthotropic linearly elastic rings subjected to external pressure. Int. J. Struct. Stab. Dyn. 2016, 16, 1450091. [Google Scholar] [CrossRef]
- Mollaei, S.; Babaei, M.; Asemi, K. Torsional buckling of functionally graded graphene reinforced composite laminated cylindrical panel. Arch. Appl. Mech. 2023, 93, 427–435. [Google Scholar] [CrossRef]
- Liu, A.; Lu, H.; Pi, Y.L.; Huang, Y.; Li, J. Out-of-Plane Parametric Resonance of Arches Under an In-Plane Central Harmonic Load. In International Symposium on Environmental Vibration and Transportation Geodynamics; Springer: Singapore, 2016; pp. 45–51. [Google Scholar]
- Bradford, M.A.; Pi, Y.L.; Liu, A. Out-plane elastic-plastic buckling strength of high-strength steel arches. J. Struct. Eng. 2018, 144, 04018053. [Google Scholar] [CrossRef]
















Disclaimer/Publisher’s Note: The statements, opinions and data contained in all publications are solely those of the individual author(s) and contributor(s) and not of MDPI and/or the editor(s). MDPI and/or the editor(s) disclaim responsibility for any injury to people or property resulting from any ideas, methods, instructions or products referred to in the content. |
© 2023 by the authors. Licensee MDPI, Basel, Switzerland. This article is an open access article distributed under the terms and conditions of the Creative Commons Attribution (CC BY) license (https://creativecommons.org/licenses/by/4.0/).
Share and Cite
Jiang, A.; Deng, D.; Dai, W.; You, X.; Lu, H. Out-Plane Buckling of Arches with Variable Cross-Section. Buildings 2023, 13, 2838. https://doi.org/10.3390/buildings13112838
Jiang A, Deng D, Dai W, You X, Lu H. Out-Plane Buckling of Arches with Variable Cross-Section. Buildings. 2023; 13(11):2838. https://doi.org/10.3390/buildings13112838
Chicago/Turabian StyleJiang, Angfeng, Deyuan Deng, Wei Dai, Xiuwen You, and Hanwen Lu. 2023. "Out-Plane Buckling of Arches with Variable Cross-Section" Buildings 13, no. 11: 2838. https://doi.org/10.3390/buildings13112838
APA StyleJiang, A., Deng, D., Dai, W., You, X., & Lu, H. (2023). Out-Plane Buckling of Arches with Variable Cross-Section. Buildings, 13(11), 2838. https://doi.org/10.3390/buildings13112838
