Acoustic Radiation Study of a Box Girder Viaduct Considering the Frequency-Dependent Viscoelasticity of the Rail Pad
Abstract
:1. Introduction
2. Study on Vehicle–Track–Bridge Vertical Coupling Dynamic Analysis Model Considering Frequency-Dependent Viscoelasticity of the Rail Pad
2.1. The High-Order Characterization Model of Dynamic Parameters of the Rail Pad
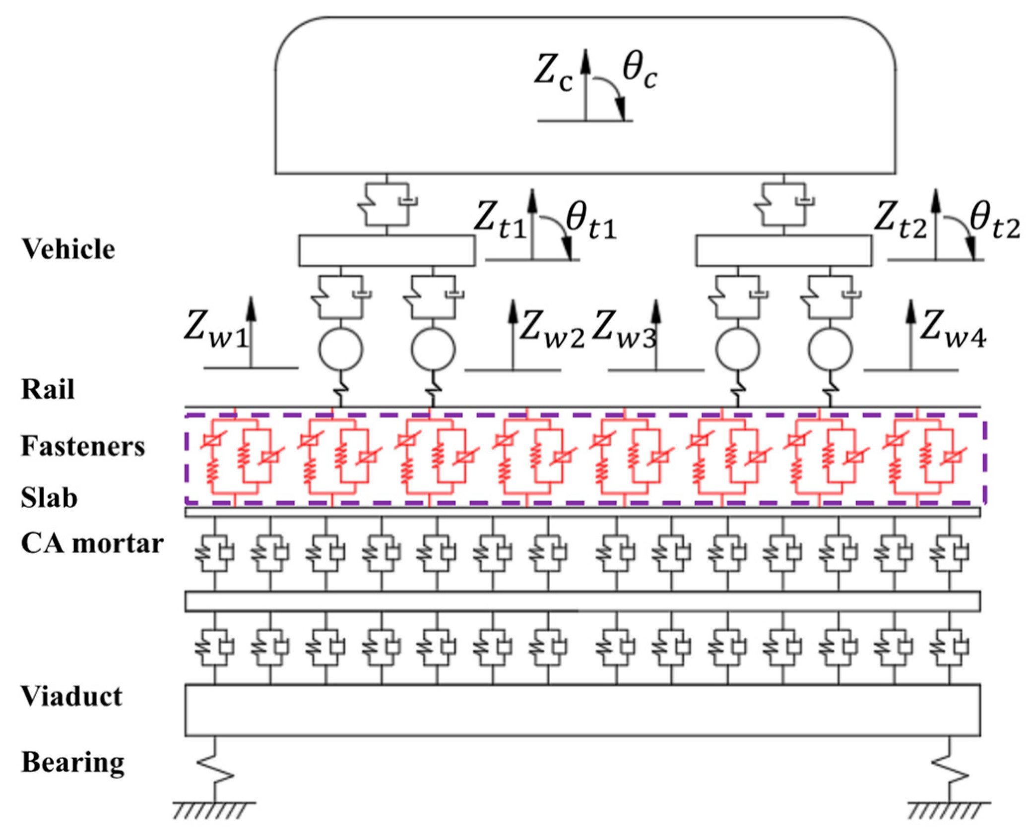
2.2. The Model for Vehicle–Track–Bridge Vertical Coupling Dynamic Analysis
- (1)
- The solution formula of vehicle system dynamic flexibility follows
- (2)
- Assuming that the wheel–rail contact relationship is linear Hertz contact, the formula for solving the dynamic flexibility of the wheel–rail contact follows
- (3)
- The solution formula for the dynamic flexibility of the track–bridge coupling system follows
- (4)
- Track irregularity
- (5)
- Solving random dynamic response of the vehicle–track–bridge vertical coupling system
- (6)
- Model verification of the vehicle–track–bridge vertical coupling system
2.3. Application of the Frequency-Dependent Viscoelastic of the Rail Pad in the Track–Bridge Coupling Model
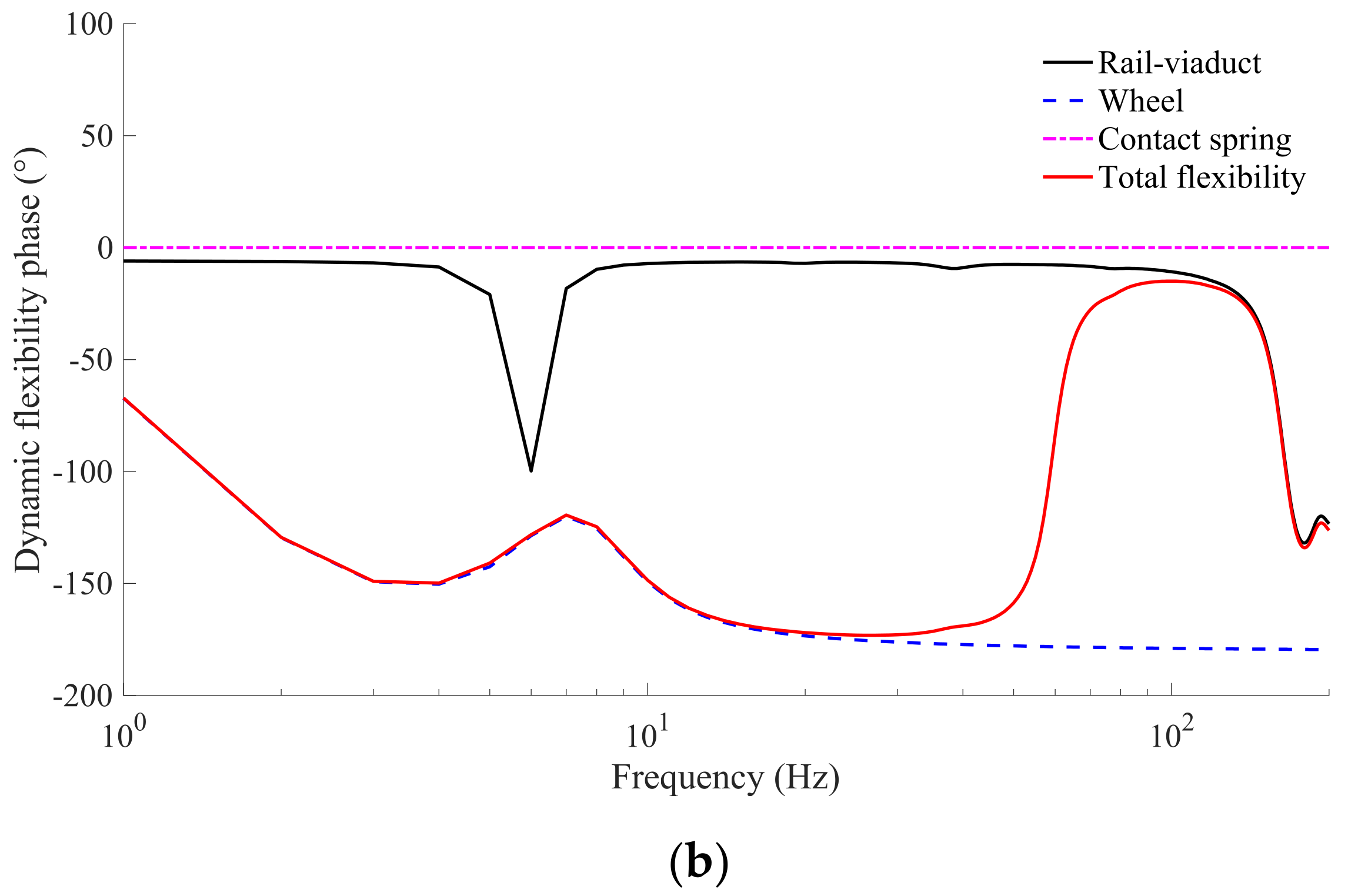
3. Analysis of the Influence of Frequency-Dependent Viscoelasticity of the Rail Pad on Vertical Excitation of the Box Girder
3.1. Study on Frequency-Dependent Viscoelasticity of the Rail Pad
3.2. Analysis of the Influence of Frequency-Dependent Viscoelasticity of the Rail Pad on Vertical Excitation of the Box Girder
4. Analysis of the Influence of Frequency-Dependent Viscoelasticity of the Rail Pad on the Acoustic Radiation of the Box Girder
4.1. Finite Element Model of the Box Girder Structure
4.2. Analysis Model of Acoustic Radiation from the Box Girder Structure and Its Verification
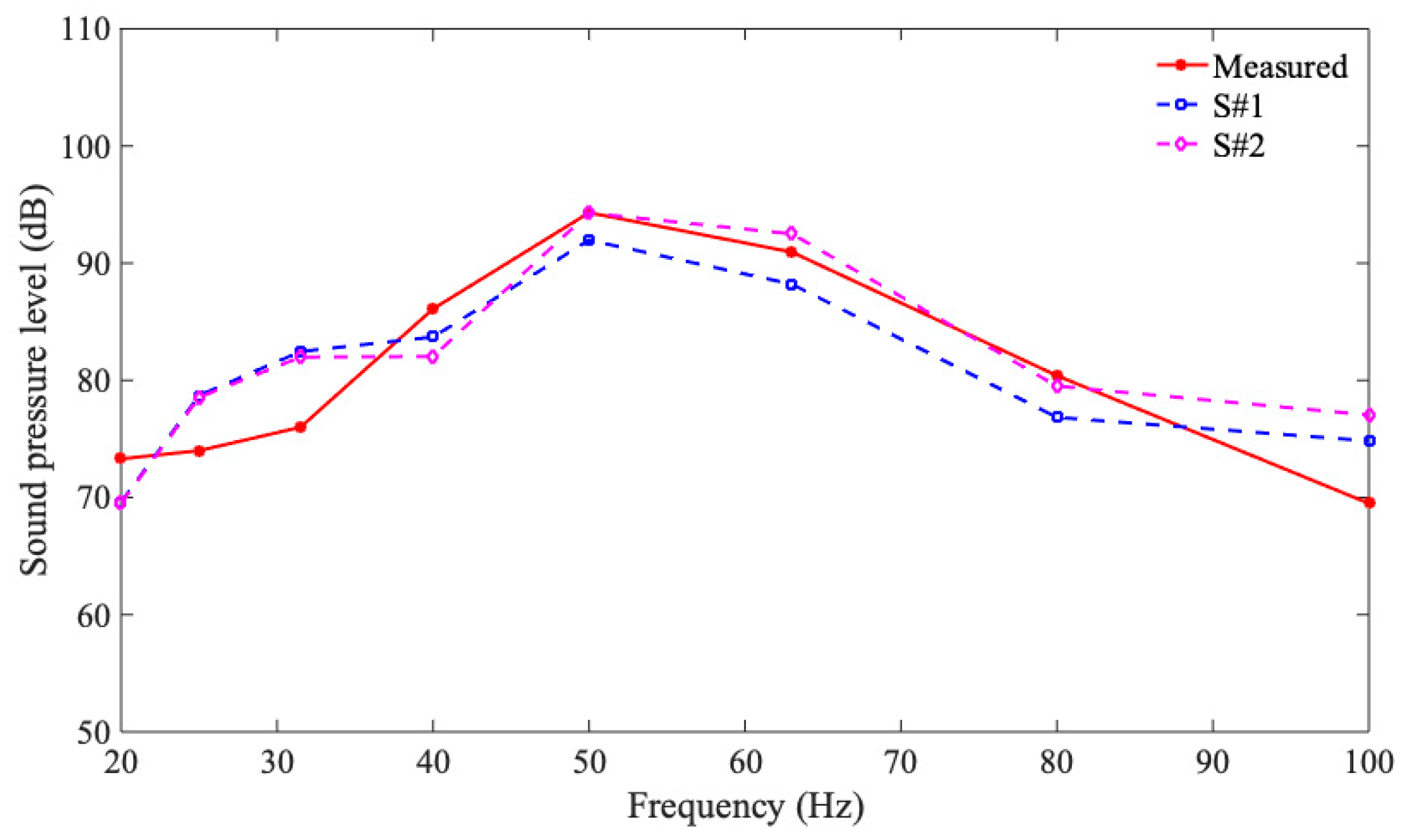
4.3. Analysis of Influence of the Frequency-Dependent Viscoelasticity of the Rail Pad on the Sound Pressure Level at Sound Field Points of the Box Girder
4.4. Analysis of the Influence of the Frequency-Dependent Viscoelasticity of the Rail Pad on the Sound Pressure Level of the Transverse Sound Field of the Box Girder
4.5. Influence of the Frequency-Dependent Viscoelasticity of the Rail Pad on the Panel Sound Pressure Level Contribution of the Box Girder
4.6. Influence of the Frequency-Dependent Viscoelasticity of the Rail Pad on the Panel Sound Power Level Contribution of the Box Girder
5. Conclusions
Author Contributions
Funding
Institutional Review Board Statement
Informed Consent Statement
Data Availability Statement
Conflicts of Interest
References
- Li, X.; Liang, L.; Wang, D. Vibration and noise characteristics of an elevated box girder paved with different track structures. J. Sound Vib. 2018, 425, 21–40. [Google Scholar] [CrossRef]
- Liu, L.; Song, R.; Zhou, Y.-L.; Qin, J. Noise and vibration mitigation performance of damping pad under CRTS-III ballastless track in high speed rail viaduct. KSCE J. Civil Eng. 2019, 23, 3525–3534. [Google Scholar] [CrossRef]
- Li, Q.; Xu, Y.; Wu, D. Concrete bridge-borne low-frequency noise simulation based on train–track–bridge dynamic interaction. J. Sound Vib. 2012, 331, 2457–2470. [Google Scholar] [CrossRef]
- Wang, A.; Bewes, O.G.; Cox, S.J.; Jones, C.J.C. Measurement and Modelling of Noise from the Arsta Bridge in Stockholm. Notes Numer. Fluid Mech. 2008, 99, 172–178. [Google Scholar]
- Zhang, X.; Su, B.; Li, X. Effects of fastener stiffness and damping on structure-borne noise of railway box-girders. J. Vib. Shock. 2015, 34, 150–155. [Google Scholar]
- Lei, X. High Speed Railway Track Dynamics—Models, Algorithms and Applications, 2nd ed.; Springer: Berlin/Heidelberg, Germany, 2022. [Google Scholar]
- Wei, K.; Wang, P.; Yang, F.; Xiao, J. Influence of Frequency-Dependent Dynamic Parameters of Rail Pads on Environmental Vibration Induced by Subways in a Tunnel. Transp. Res. Record 2015, 2476, 8–14. [Google Scholar] [CrossRef]
- Chang, G. Viscoelastic Damping Materials; National Defense Industry Press: Beijing, China, 2012. [Google Scholar]
- Yan, K.; Huang, Z.; Liu, R.; Jiang, X.; Zu, X. Experimental Investigation on the effect of temperature on mechanical properties of EPDM rubber at high strain rate. J. Exp. Mech. 2012, 27, 684–688. [Google Scholar]
- Zhao, Y.; Hou, Z. Two viscoelastic constitutive models of rubber materials using fractionals. J. Tsinghua Univ. (Sci. Tech.) 2013, 53, 378–383. [Google Scholar]
- Maes, J.; Sol, H.; Guillaume, P. Measurements of the dynamic railpad properties. J. Sound Vib. 2006, 293, 557–565. [Google Scholar] [CrossRef]
- Yang, F.; Wang, P.; Wei, K.; Wang, F. Investigation on nonlinear and fractional derivative Zener model of coupled vehicle-track system. Veh. Syst. Dyn. 2020, 58, 864–889. [Google Scholar] [CrossRef]
- Liu, L.; Zuo, Z.; Zhou, Y.; Qin, J. Insights into the Effect Of WJ-7 Fastener Rubber Pad to Vehicle-Rail-Viaduct Coupled Dynamics. Appl. Sci. 2020, 10, 1889. [Google Scholar] [CrossRef]
- Liu, L.; Lu, P.; Qin, J. Random Vibration Analysis of Vehecle-track Coupling System Based on Fastener FVMP Model. J. China Railw. Soc. 2019, 41, 93–100. [Google Scholar]
- Liu, J.; Xu, M. Higher-order fractional constitutive equations of viscoelastic materials involving three different parameters and their relaxation and creep functions. Mech. Time-Depend. Mater. 2006, 10, 263–279. [Google Scholar] [CrossRef]
- Yang, J.; Yang, X.; Yang, X. Analysis of Vibration Reduction of Elevated Railway Caused by Rail Vibration Absorber. In Proceedings of the 2014 International Conference on Mechanics and Materials Engineering, Xi’an, China, 12–13 April 2014; pp. 241–246. [Google Scholar]
- Li, Q.; Wu, D.J. Analysis of the dominant vibration frequencies of rail bridges for structure-borne noise using a power flow method. J. Sound Vib. 2013, 332, 4153–4163. [Google Scholar] [CrossRef]
- TB/T 3352–2014; High Speed Railway Ballastless Track Uneven Spectrum. National Railway Administration: Beijing, China, 2015.
- Thompson, D. Railway Noise and Vibration: Mechanisms, Modelling and Means of Control; Elsevier: Amsterdam, The Netherlands, 2009. [Google Scholar]
- Zhang, Z.; Li, X.; Zhang, X.; Fan, J.; Xu, G. Semi-analytical simulation for ground-borne vibration caused by rail traffic on viaducts: Vibration-isolating effects of multi-layered elastic supports. J. Sound Vib. 2022, 516, 116540. [Google Scholar] [CrossRef]
- Zhang, Z.; Li, X.; Ran, W.; Zhang, X. Study on frequency-domain model of high-speed train induced vertical bearing reaction force of the viduct. In Proceedings of the 2nd International Symposium on Life-Cycle of Bridge and Structures, ISLPBS 2015, Changsha, China, 18–20 December 2015. [Google Scholar]
- Cui, W.; Liu, L.; Qin, J.; Zuo, Z. Research on influence of temperature-dependent characteristics of rail rubber pads on vehicle-track-bridge coupled vibration responses. J. Railw. Sci. Eng. 2021, 18, 2561–2571. [Google Scholar]
- TB/T 3395.1-2015; Fastening Systems for High-Speed Railway Part 1: General Requirement. National Railway Administration: Beijing, China, 2015.
- Li, X.; Zhang, X.; Zhang, Z.; Liu, Q.; Li, Y. Experimental research on noise emanating from concrete box-girder bridges on intercity railway lines. Proc. Inst. Mech. Eng. Part F J. Rail Rapid Transit 2015, 229, 125–135. [Google Scholar] [CrossRef]
- Li, Q.; Song, X.; Wu, D. A 2.5-dimensional method for the prediction of structure-borne low-frequency noise from concrete rail transit bridges. J. Acoust. Soc. Am. 2014, 135, 2718–2726. [Google Scholar] [CrossRef] [PubMed]
- GB 3096-2008; Sound Environment Suality Standard. General Administration of Quality Supervision, Inspection and Quarantine: Beijing, China, 2008.
- Luo, K.; Lei, X.; Ou, K. Study on the influence of damping plates on structural vibration and radiation characteristics of the railway box girder. J. Low Freq. Noise Vib. Act. Control 2019, 40, 252–262. [Google Scholar] [CrossRef]
- Li, H.K.; Guo, Y.J.; Ding, J.; Zhou, S.; Guo, C. Investigation on gearbox noise radiation control based on panel acoustic power contribution analysis. J. Dalian Univ. Technol. 2012, 52, 215–220. [Google Scholar]






















| Parameters | Value |
|---|---|
| µ1/the elastic parameters 1 | 7.1883 |
| η1/the viscous parameters 1 | 10.3498 |
| µ2/the elastic parameters 2 | 7.9490 |
| η2/the viscous parameters 2 | 7.1858 |
| α/the order of the derivative 1 | 0.0872 |
| β/the order of the derivative 2 | 0.0991 |
| γ/the order of the derivative 3 | 0.1125 |
| Condition | Stiffness (kN/mm) | Loss Factors |
|---|---|---|
| Condition 1 | 27 | 0.11 |
| Condition 2 | Frequency-dependent | Frequency-dependent |
| Parameters | Unit | Value |
|---|---|---|
| Calculated span | m | 31.875 |
| Elasticity modulus | N/m2 | 3.45 × 1010 |
| Density | kg/m3 | 2600 |
| Poisson’s ratio | - | 0.2 |
| Frequency | 50 Hz | 56 Hz | ||||||
|---|---|---|---|---|---|---|---|---|
| Panel Number | Field Point 1 | Field Point 2 | Field Point 3 | Field Point 4 | Field Point 1 | Field Point 2 | Field Point 3 | Field Point 4 |
| 1 | −6.89 | −7.10 | −6.98 | −6.94 | 6.07 | 5.93 | 6.05 | 6.11 |
| 2 | −7.00 | −7.04 | −6.96 | −6.95 | 6.11 | 6.03 | 6.02 | 6.09 |
| 3 | −6.97 | −6.97 | −6.97 | −6.97 | 6.05 | 6.08 | 6.04 | 6.06 |
| 4 | −6.98 | −6.98 | −6.99 | −6.98 | 6.08 | 5.98 | 6.02 | 5.88 |
| 5 | −6.92 | −7.01 | −6.97 | −6.97 | 6.04 | 5.97 | 6.07 | 6.06 |
| 6 | −6.97 | −6.97 | −6.97 | −6.97 | 6.05 | 6.11 | 6.05 | 6.03 |
| Total | −6.97 | −7.00 | −6.98 | −6.97 | 6.06 | 5.97 | 6.05 | 6.04 |
| Panel Number | ||
|---|---|---|
| 50 Hz | 56 Hz | |
| 1 | −6.97 | 6.04 |
| 2 | −6.98 | 6.04 |
| 3 | −6.98 | 6.04 |
| 4 | −6.97 | 6.03 |
| 5 | −6.97 | 6.03 |
| 6 | −6.98 | 6.05 |
| Total | −6.98 | 6.04 |
| Panel Number | Contribution Coefficient at 50 Hz (%) | Contribution Coefficient at 56 Hz (%) | ||
|---|---|---|---|---|
| Condition 1 | Condition 2 | Condition 1 | Condition 2 | |
| 1 | 52.7065 | 52.7119 | 50.1759 | 50.2020 |
| 2 | 1.0334 | 1.0325 | 0.4455 | 0.4417 |
| 3 | 12.0087 | 12.0033 | 16.1059 | 16.0840 |
| 4 | 0.0834 | 0.0816 | 1.3726 | 1.3989 |
| 5 | 2.7580 | 2.7538 | 28.0778 | 28.0248 |
| 6 | 36.2880 | 36.2866 | 8.5700 | 8.5848 |
Publisher’s Note: MDPI stays neutral with regard to jurisdictional claims in published maps and institutional affiliations. |
© 2022 by the authors. Licensee MDPI, Basel, Switzerland. This article is an open access article distributed under the terms and conditions of the Creative Commons Attribution (CC BY) license (https://creativecommons.org/licenses/by/4.0/).
Share and Cite
Zuo, Z.; Liu, L.; Zhou, Y.; Qin, J.; Cui, W. Acoustic Radiation Study of a Box Girder Viaduct Considering the Frequency-Dependent Viscoelasticity of the Rail Pad. Buildings 2022, 12, 1226. https://doi.org/10.3390/buildings12081226
Zuo Z, Liu L, Zhou Y, Qin J, Cui W. Acoustic Radiation Study of a Box Girder Viaduct Considering the Frequency-Dependent Viscoelasticity of the Rail Pad. Buildings. 2022; 12(8):1226. https://doi.org/10.3390/buildings12081226
Chicago/Turabian StyleZuo, Zhiyuan, Linya Liu, Yunlai Zhou, Jialiang Qin, and Weitao Cui. 2022. "Acoustic Radiation Study of a Box Girder Viaduct Considering the Frequency-Dependent Viscoelasticity of the Rail Pad" Buildings 12, no. 8: 1226. https://doi.org/10.3390/buildings12081226
APA StyleZuo, Z., Liu, L., Zhou, Y., Qin, J., & Cui, W. (2022). Acoustic Radiation Study of a Box Girder Viaduct Considering the Frequency-Dependent Viscoelasticity of the Rail Pad. Buildings, 12(8), 1226. https://doi.org/10.3390/buildings12081226

