Experimental Investigation on the Deformation Behavior of Inconel 625 Superalloy at High Temperatures
Abstract
:1. Introduction
2. Experiments
2.1. Compression Test at High Temperature
2.2. Tensile Test at High Temperature
2.3. Analysis Method
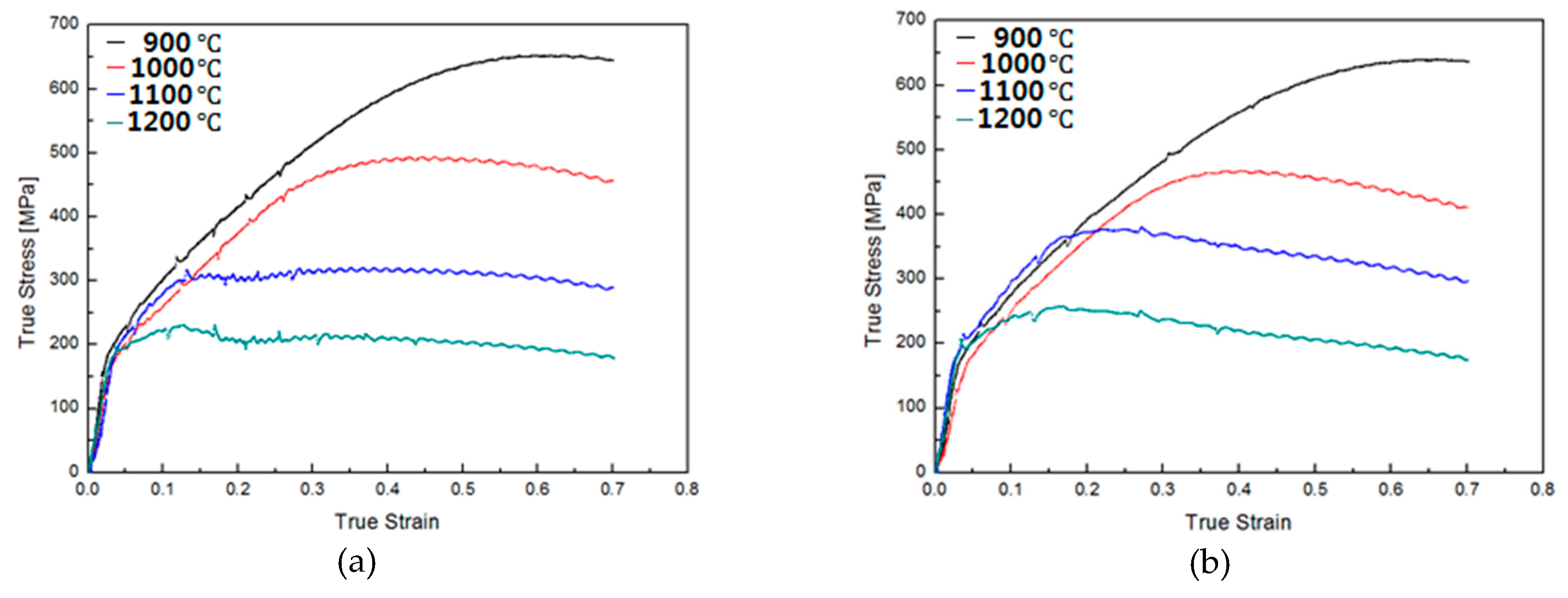
3. Results
3.1. Compression Test at High Temperature
3.2. Tensile Test at High Temperature
4. Conclusions
- (1)
- In the high-temperature compression test for the Inconel 625 alloy, the test results confirmed that the strength coefficient decreased when temperature increased while the strain rate sensitivity index exhibited an increasing tendency.
- (2)
- The Inconel 625 alloy exhibited cracks on its surface during hot forging at 900–1000 °C because the strain rate sensitivity index displayed a negative value at 900–1000 °C.
- (3)
- An increase in the temperature reduced the flow stress, and the flow stress increased when the strain rate increased.
- (4)
- The changes in the section reduction rate of Inconel 625 alloy in the high-temperature tensile test were confirmed upon performing the experiment. An increase in the temperature abruptly decreased the section reduction rate at a specific temperature (1200 °C).
- (5)
- The cracks during the hot forging process could be attributed to the temperature. The optimum temperature condition of Inconel 625 alloy for hot forging is about 1100 °C.
Author Contributions
Funding
Conflicts of Interest
References
- Guo, Q.M.; Li, D.F.; Guo, S.L. Microstructural Models of Dynamic Recrystallization in Hot-Deformed Inconel 625 Superalloy. Mater Manuf Process. 2012, 27, 990–995. [Google Scholar] [CrossRef]
- Moon, H.K.; Lee, J.S.; Yoo, S.J.; Joun, M.S.; Lee, K.J. Hot Deformation Behavior of Bearing Steels. J. Eng. Mater. Technol. 2007, 129, 349–355. [Google Scholar] [CrossRef]
- Altan, T.; Boulger, F.W. Flow Stress of Metals and its Application in Metal Forming Analyses. J. Eng. Ind. 1973, 95, 1009–1019. [Google Scholar] [CrossRef]
- Rao, K.P.; Hawbolt, E.B. Development of Constitutive Relationships Using Compression Testing of a Medium Carbon Steel. J. Eng. Mater. Technol. 1992, 114, 116–123. [Google Scholar] [CrossRef]
- Guo, Q.M.; Li, D.F.; Guo, S.L.; Peng, H.; Hu, J. The effect of deformation temperature on the microstructure evolution of Inconel 625 superalloy. J Nucl Mater. 2011, 414, 440–450. [Google Scholar] [CrossRef]
- Chen, T.R.; Huang, J.C.; Liauo, J.M.; Hwang, Y.M. Effect of lubrication on superplastic forming of 8090 Al-Li sheets. Scr Metall Mater. 1994, 31, 309–314. [Google Scholar] [CrossRef]
- Zouari, M.; Loge, R.E.; Bozzolo, N. In Situ Characterization of Inconel 718 Post-Dynamic recrystallization within a Scanning Electron Microscope. Metals 2017, 7, 476. [Google Scholar] [CrossRef]
- Bang, W.; Lee, C.S.; Chang, Y.W. Finite element analysis of hot forging with flow softening by dynamic recrystallization. J. Mater. Process. Technol. 2003, 134, 153–158. [Google Scholar] [CrossRef]
- Cho, J.R.; Jeong, H.S.; Cha, D.J.; Bae, Y.B.; Lee, J.W. Prediction of microstructural evolution and recrystallization behaviors of a hot working die steel by FEM. J. Mater. Process. Technol. 2005, 160, 1–8. [Google Scholar] [CrossRef]
- Dhua, S.K.; Mukerjee, D.; Sarma, D.S. Influence of thermomechanical treatments on the microstructure and mechanical properties of HSLA-100 Steel Plates. Metall. Mater. Trans. A 2003, 34, 241–253. [Google Scholar] [CrossRef]
- Ozturk, F.; Pekel, H.; Halkaci, H.S. The Effect of Strain-Rate Sensitivity on Formability of AA 5754-0 at Cold and Warm Temperatures. J. Mater. Eng. Perform. 2011, 20, 77–81. [Google Scholar] [CrossRef]
- Guo, S.L.; Li, D.F.; Guo, Q.M.; Wu, Z.G.; Peng, H.; Hu, J. Investigation on hot workability characteristics of Inconel 625 superalloy using processing maps. J. Mater. Sci. 2012, 47, 5867–5878. [Google Scholar] [CrossRef]
- Kwak, J.H.; Chung, J.H.; Cho, K.M. A strudy on the edge cracking of low carbon steel sheets manufactured by mini-mill process. In Proceedings of the 42nd Mechanical Working and Steel Processing Conference Proceedings, Toronto, ON, Canada, 22–25 October 2000. [Google Scholar]








| True Strain | 900 °C | 1000 °C | 1100 °C | 1200 °C | ||||
|---|---|---|---|---|---|---|---|---|
| C (MPa) | m | C (MPa) | m | C (MPa) | m | C (MPa) | m | |
| 0.1 | 349 | –0.05 | 294 | –0.04 | 242 | 0.07 | 164 | 0.13 |
| 0.3 | 584 | –0.05 | 395 | 0.05 | 247 | 0.12 | 140 | 0.17 |
| 0.5 | 674 | –0.02 | 379 | 0.08 | 232 | 0.12 | 129 | 0.17 |
| 0.7 | 673 | –0.01 | 342 | 0.08 | 204 | 0.13 | 113 | 0.16 |
© 2019 by the authors. Licensee MDPI, Basel, Switzerland. This article is an open access article distributed under the terms and conditions of the Creative Commons Attribution (CC BY) license (http://creativecommons.org/licenses/by/4.0/).
Share and Cite
Jeong, G.U.; Jin, C.K.; Seo, H.Y.; Kang, C.G. Experimental Investigation on the Deformation Behavior of Inconel 625 Superalloy at High Temperatures. Metals 2019, 9, 720. https://doi.org/10.3390/met9070720
Jeong GU, Jin CK, Seo HY, Kang CG. Experimental Investigation on the Deformation Behavior of Inconel 625 Superalloy at High Temperatures. Metals. 2019; 9(7):720. https://doi.org/10.3390/met9070720
Chicago/Turabian StyleJeong, Gyeong Uk, Chul Kyu Jin, Hyung Yoon Seo, and Chung Gil Kang. 2019. "Experimental Investigation on the Deformation Behavior of Inconel 625 Superalloy at High Temperatures" Metals 9, no. 7: 720. https://doi.org/10.3390/met9070720
APA StyleJeong, G. U., Jin, C. K., Seo, H. Y., & Kang, C. G. (2019). Experimental Investigation on the Deformation Behavior of Inconel 625 Superalloy at High Temperatures. Metals, 9(7), 720. https://doi.org/10.3390/met9070720

