Analytical and Numerical Crack Growth Analysis of 1:3 Scaled Railway Axle Specimens
Abstract
1. Introduction
- Transferability of small scale SENB crack growth test results to round 1:3 scaled railway axle specimens incorporating influences of different crack front geometries and size effects focusing on varying residual stress conditions.
- Comparison of analytical and numerical crack growth assessment methods involving both short and long crack growth regime.
- Detailed investigation regarding the effect of different residual stress states on crack shape evolution and residual lifetime.
2. Materials and Methods
2.1. Single Edge Notch Bending (SENB) Specimens
2.2. Round Bar Specimens (1:3 Scaled Railway Axle Specimens)
3. Results
3.1. Analytical Residual Lifetime Estimation
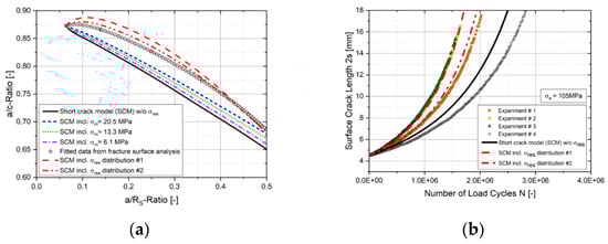
3.2. Improved Analytical Assessment Based on Residual Stress Distribution
3.3. Numerical Residual Lifetime Estimation
4. Discussion
5. Conclusions
- The transferability of material parameters evaluated on the basis of small-scale SENB specimens to real components exhibiting different geometries, crack shapes and residual stress conditions is a challenging task in residual lifetime estimations.
- Even minor residual stress states may lead to uncertainties within the assessment and can result in a non-conservative estimation of the residual lifetime.
- The results within this study reveal that a consideration of the residual stress distribution in depth reduces the deviation from the most conservative experiment from +48% down to +2%. This highlights the importance of including effective residual stress conditions in crack propagation analyses to properly estimate the residual lifetime.
- Real railway axles generally exhibit compressive residual stresses up to a depth of 20 mm. Considering real residual stresses can improve the accuracy of the lifetime assessment as well as the definition of inspection intervals.
- The influence of residual stresses on lifetime can be significant. Especially at low loading conditions, the fraction of residual stresses compared to the external load is high and thus, the influence of residual stresses on effective crack growth rate is more pronounced.
Author Contributions
Funding
Conflicts of Interest
Appendix A

Appendix B
References
- Gänser, H.-P.; Maierhofer, J.; Tichy, R.; Zivkovic, I.; Pippan, R.; Luke, M.; Varfolomeev, I. Damage tolerance of railway axles—The issue of transferability revisited. Int. J. Fatigue 2016, 86, 52–57. [Google Scholar] [CrossRef]
- Beretta, S.; Madia, M.; Schode, M.; Zerbst, U. SIF Solutions for Cracks in Railway Axles Under Rotating Bending. Fract. Nano Eng. Mater. Struct. 2006, 263–264. [Google Scholar] [CrossRef]
- Madia, M.; Beretta, S.; Zerbst, U. An investigation on the influence of rotary bending and press fitting on stress intensity factors and fatigue crack growth in railway axles. Eng. Fract. Mech. 2008, 75, 1906–1920. [Google Scholar] [CrossRef]
- Madia, M.; Beretta, S.; Schödel, M.; Zerbst, U.; Luke, M.; Varfolomeev, I. Stress intensity factor solutions for cracks in railway axles. Eng. Fract. Mech. 2011, 78, 764–792. [Google Scholar] [CrossRef]
- Luke, M.; Varfolomeev, I.; Lütkepohl, K.; Esderts, A. Fracture mechanics assessment of railway axles: Experimental characterization and computation. Eng. Fail. Anal. 2010, 17, 617–623. [Google Scholar] [CrossRef]
- Luke, M.; Varfolomeev, I.; Lütkepohl, K.; Esderts, A. Fatigue crack growth in railway axles: Assessment concept and validation tests. Eng. Fract. Mech. 2011, 78, 714–730. [Google Scholar] [CrossRef]
- Zerbst, U.; Beretta, S.; Köhler, G.; Lawton, A.; Vormwald, M.; Beier, H.T.; Klinger, C.; Černý, I.; Rudlin, J.; Heckel, T.; et al. Safe life and damage tolerance aspects of railway axles—A review. Eng. Fract. Mech. 2013, 98, 214–271. [Google Scholar] [CrossRef]
- Zerbst, U.; Klinger, C.; Klingbeil, D. Structural assessment of railway axles—A critical review. Eng. Fail. Anal. 2013, 35, 54–65. [Google Scholar] [CrossRef]
- Beretta, S.; Carboni, M.; Fiore, G.; Lo Conte, A. Corrosion–fatigue of A1N railway axle steel exposed to rainwater. Int. J. Fatigue 2010, 32, 952–961. [Google Scholar] [CrossRef]
- Beretta, S.; Carboni, M.; Lo Conte, A.; Regazzi, D.; Trasatti, S.; Rizzi, M. Crack Growth Studies in Railway Axles under Corrosion Fatigue: Full-scale Experiments and Model Validation. Procedia Eng. 2011, 10, 3650–3655. [Google Scholar] [CrossRef]
- Deisl, A.; Gänser, H.-P.; Jenne, S.; Pippan, R. Eisenbahnfahrwerke 3—EBFW3 Description and Aims of the New Project. Railway Axles: Advances in Durability Analysis and Maintenance; ESIS TC24: Milano, Italy, 2014. [Google Scholar]
- Weber, F.-J.; Jenne, S.; Gänser, H.-P.; Kunter, K.; Maierhofer, J.; Deisl, A. Zwischenbericht Forschungsprojekt Eisenbahnfahrwerke 3; 43. Tagung “Moderne Schienenfahrzeuge”: Graz, Austria, 2016. [Google Scholar]
- Beden, S.M.; Abdullah, S.; Ariffin, A.K. Review of Fatigue Crack Propagation Models for Metallic Components. Eur. J. Sci. Res. 2009, 28, 364–397. [Google Scholar]
- Paris, P.C.; Erdogan, F. A critical analysis of crack propagation laws. J. Basic Eng. 1963, 85, 528–534. [Google Scholar] [CrossRef]
- Walker, K. The effect of stress ratio during crack propagation and fatigue for 2024-T3 and 7075-T6 aluminum. In Effects of Environment and Complex Load History on Fatigue Life; ASTM International: West Conshohocken, PA, USA, 1970. [Google Scholar]
- Erdogan, F.; Ratwani, M. Fatigue and fracture of cylindrical shells containing a circumferential crack. Int. J. Fract. 1970, 6. [Google Scholar] [CrossRef]
- Forman, R.G.; Mettu, S.R. Behavior of Surface and Corner Cracks Subjected to Tensile and Bending Loads in Ti-6A1-4V Alloy; NASA-TM-102165; NASA: Houston, TX, USA, 1990.
- Newman, J.C. A crack opening stress equation for fatigue crack growth. Int. J. Fract. 1984, 24, R131–R135. [Google Scholar] [CrossRef]
- Maierhofer, J.; Pippan, R.; Gänser, H.-P. Modified NASGRO equation for physically short cracks. Int. J. Fatigue 2014, 59, 200–207. [Google Scholar] [CrossRef]
- Maierhofer, J.; Kolitsch, S.; Pippan, R.; Gänser, H.-P.; Madia, M.; Zerbst, U. The cyclic R-curve—Determination, problems, limitations and application. Eng. Fract. Mech. 2018, 198, 45–64. [Google Scholar] [CrossRef]
- Madia, M.; Zerbst, U. Application of the cyclic R-curve method to notch fatigue analysis. Int. J. Fatigue 2016, 82, 71–79. [Google Scholar] [CrossRef]
- Zerbst, U.; Vormwald, M.; Pippan, R.; Gänser, H.-P.; Sarrazin-Baudoux, C.; Madia, M. About the fatigue crack propagation threshold of metals as a design criterion—A review. Eng. Fract. Mech. 2016, 153, 190–243. [Google Scholar] [CrossRef]
- Zerbst, U.; Vormwald, M.; Andersch, C.; Mädler, K.; Pfuff, M. The development of a damage tolerance concept for railway components and its demonstration for a railway axle. Eng. Fract. Mech. 2005, 72, 209–239. [Google Scholar] [CrossRef]
- Beretta, S.; Ghidini, A.; Lombardo, F. Fracture mechanics and scale effects in the fatigue of railway axles. Eng. Fract. Mech. 2005, 72, 195–208. [Google Scholar] [CrossRef]
- European Standard. Railway Applications—Wheelsets and Bogies—Axles—Product Requirements; European Committee for Standardization: Brussels, Belgium, 2003. [Google Scholar]
- Riemelmoser, F. Möglichkeiten und Grenzen der Potentialmethode zur Risslängenbestimmung. Diploma Thesis, Montanuniversität, Leoben, Austria, 1993. [Google Scholar]
- Lieb, K.C.; Horstman, R.; Peters, K.A.; Enright, C.F.; Meltzer, R.L.; Bruce Vieth, M.; Schwalbe, K.-H.; Hellmann, D. Application of the Electrical Potential Method to Crack Length Measurements Using Johnson’s Formula. J. Test. Eval. 1981, 9, 218. [Google Scholar] [CrossRef]
- Ke, Y.; Ståhle, P. Crack length measurements with a potential drop method: A finite element simulation. Int. J. Numer. Meth. Eng. 1993, 36, 3205–3220. [Google Scholar] [CrossRef]
- Maierhofer, J.; Gänser, H.-P.; Pippan, R. Crack closure and retardation effects—Experiments and modelling. Procedia Struct. Integr. 2017, 4, 19–26. [Google Scholar] [CrossRef]
- Pippan, R.; Plochl, L.; Klanner, F.; Stuwe, H.P. Use of fatigue specimens precracked in compression for measuring threshold values and crack growth. J. Test. Eval. 1994, 22, 98–103. [Google Scholar]
- International Organization for Standardization. Metallic Materials. Fatigue Testing: Fatigue Crack Growth Method. ISO 12108, 1st ed.; ISO: Geneva, Switzerland, 2012. [Google Scholar]
- Simunek, D.; Leitner, M.; Maierhofer, J.; Gänser, H.-P. Crack growth under constant amplitude loading and overload effects in 1: 3 scale specimens. Procedia Struct. Integr. 2017, 4, 27–34. [Google Scholar] [CrossRef]
- Simunek, D.; Leitner, M.; Grün, F. In-situ crack propagation measurement of high-strength steels including overload effects. Procedia Eng. 2018, 213, 335–345. [Google Scholar] [CrossRef]
- Carpinteri, A. Elliptical surface cracks in round bars. Fatigue Fract. Eng. Mater. Struct. 1992, 15, 1141–1153. [Google Scholar] [CrossRef]
- Carpinteri, A. Shape change of surface cracks in round bars under cyclic axial loading. Int. J. Fatigue 1993, 15, 21–26. [Google Scholar] [CrossRef]
- Carpinteri, A. Part-through cracks in round bars under cyclic combined axial and bending loading. Int. J. Fatigue 1996, 18, 33–39. [Google Scholar] [CrossRef]
- Carpinteri, A. Surface flaws in cylindrical shafts under rotary bending. Fatigue Fract. Eng. Mater. Struct. 1998, 21, 1027–1035. [Google Scholar] [CrossRef]
- Shin, C.S.; Cai, C.Q. Experimental and finite element analyses on stress intensity factors of an elliptical surface crack in a circular shaft under tension and bending. Int. J. Fract. 2004, 129, 239–264. [Google Scholar] [CrossRef]
- Shih, Y.-S.; Chen, J.-J. The stress intensity factor study of an elliptical cracked shaft. Nucl. Eng. Des. 2002, 214, 137–145. [Google Scholar] [CrossRef]
- Rubio, P.; Rubio, L.; Muñoz-Abella, B.; Montero, L. Determination of the Stress Intensity Factor of an elliptical breathing crack in a rotating shaft. Int. J. Fatigue 2015, 77, 216–231. [Google Scholar] [CrossRef]
- Shih, Y.-S.; Chen, J.-J. Analysis of fatigue crack growth on a cracked shaft. Int. J. Fatigue 1997, 19, 477–485. [Google Scholar]
- Kuna, M. Numerische Beanspruchungsanalsye von Rissen. Finite Elemente in der Bruchmechanik, 1st ed.; Vieweg+Teubner Verlag/GWV Fachverlage: Wiesbaden, Germany, 2008. [Google Scholar]
- Courtin, S.; Gardin, C.; Bézine, G.; Ben Hadj Hamouda, H. Advantages of the J-integral approach for calculating stress intensity factors when using the commercial finite element software ABAQUS. Eng. Fract. Mech. 2005, 72, 2174–2185. [Google Scholar] [CrossRef]
- Rice, J.R. A Path Independent Integral and the Approximate Analysis of Strain Concentration by Notches and Cracks. J. Appl. Mech. 1968, 35, 379. [Google Scholar] [CrossRef]
- Dassault Systemes Simulia Corp. Abaqus Analysis User’s Guide Version 6.14; Dassault Systemes Simulia Corp.: Providence, RI, USA, 2014. [Google Scholar]
- Lebahn, J.; Heyer, H.; Sander, M. Numerical stress intensity factor calculation in flawed round bars validated by crack propagation tests. Eng. Fract. Mech. 2013, 108, 37–49. [Google Scholar] [CrossRef]
- Hutař, P.; Pokorný, P.; Poduška, J.; Fajkoš, R.; Náhlík, L. Effect of residual stresses on the fatigue lifetime of railway axle. Procedia Struct. Integr. 2017, 4, 42–47. [Google Scholar] [CrossRef]
- Schindler, H.-J. Effect of Residual Stresses on Safe Life Prediction of Railway Axles. Procedia Struct. Integr. 2017, 4, 48–55. [Google Scholar] [CrossRef]
- Varfolomeev, I.; Burdack, M.; Luke, M. Fracture Mechanics as a Tool for Specifying Inspection Intervals of Railway Axles; 39. Tagung des DVM Arbeitskreises: Paderborn, Germany, 2007. [Google Scholar]
- Lütkepohl, K. Sicherer und Wirtschaftlicher Betrieb von Eisenbahnfahrwerken, Abschlussbericht Band I; Bundesministerium fκr Wirtschaft und Technologie: Clausthal, Germany, 2009. [Google Scholar]
- Fracture Analysis Consultants, Inc. FRANC3D Documentation. Available online: http://www.fracanalysis.com/software.html (accessed on 6 September 2018).
- Wawrzynek, P.A.; Carter, B.; Ingraffea, A. Advances in simulation of arbitrary 3D crack growth using FRANC3D/NG. J. Comput. Struct. Eng. Inst. Korea 2010, 23, 607–613. [Google Scholar]
















| C [mm/MPa√m] | m [-] | p [-] | v1 [-] | v2 [-] | l1 [mm] | l2 [mm] | ΔKth,eff [MPa√m] | ΔKth,0 [MPa√m] | Cth+ [-] |
|---|---|---|---|---|---|---|---|---|---|
| 1.72 × 10−8 | 2.8 | 0.21 | 0.43 | 0.57 | 2.09 × 10−3 | 1.27 | 2.0 | 7.12 | 3.09 |
| Averaged σres [MPa] | Best Case | Mean Value | Worst Case |
|---|---|---|---|
| Measurement #1 | 6.1 | 13.3 | 20.5 |
| Measurement #2 | −1.8 | 6.0 | 13.8 |
| Measurement #3 | 8.0 | 15.4 | 22.7 |
| Residual Stress Condition | SCM (INARA) | NASGRO (Franc3D) | Experiments (Mean of All Tests) | Experiments (Most Conservative Test) |
|---|---|---|---|---|
| W/o σres | 2.26 × 106 | 2.28 × 106 | 1.88 × 106 | 1.53 × 106 |
| σres distribution #1 | 1.56 × 106 | 1.56 × 106 |
© 2019 by the authors. Licensee MDPI, Basel, Switzerland. This article is an open access article distributed under the terms and conditions of the Creative Commons Attribution (CC BY) license (http://creativecommons.org/licenses/by/4.0/).
Share and Cite
Simunek, D.; Leitner, M.; Maierhofer, J.; Gänser, H.-P.; Pippan, R. Analytical and Numerical Crack Growth Analysis of 1:3 Scaled Railway Axle Specimens. Metals 2019, 9, 184. https://doi.org/10.3390/met9020184
Simunek D, Leitner M, Maierhofer J, Gänser H-P, Pippan R. Analytical and Numerical Crack Growth Analysis of 1:3 Scaled Railway Axle Specimens. Metals. 2019; 9(2):184. https://doi.org/10.3390/met9020184
Chicago/Turabian StyleSimunek, David, Martin Leitner, Jürgen Maierhofer, Hans-Peter Gänser, and Reinhard Pippan. 2019. "Analytical and Numerical Crack Growth Analysis of 1:3 Scaled Railway Axle Specimens" Metals 9, no. 2: 184. https://doi.org/10.3390/met9020184
APA StyleSimunek, D., Leitner, M., Maierhofer, J., Gänser, H.-P., & Pippan, R. (2019). Analytical and Numerical Crack Growth Analysis of 1:3 Scaled Railway Axle Specimens. Metals, 9(2), 184. https://doi.org/10.3390/met9020184

