Experimental Determination of Continuous Cooling Transformation (CCT) Diagrams for Dual-Phase Steels from the Intercritical Temperature Range
Abstract
1. Introduction
2. Experimental Procedure
Material and Experimental Route
3. Results and Discussion
3.1. Initial Microstructure and Mechanical Properties
3.2. Determination of Intercritical Temperature Range
3.3. Determination of the Austenite Grain Size and the Amount of Intercritical Austenite at 800 C
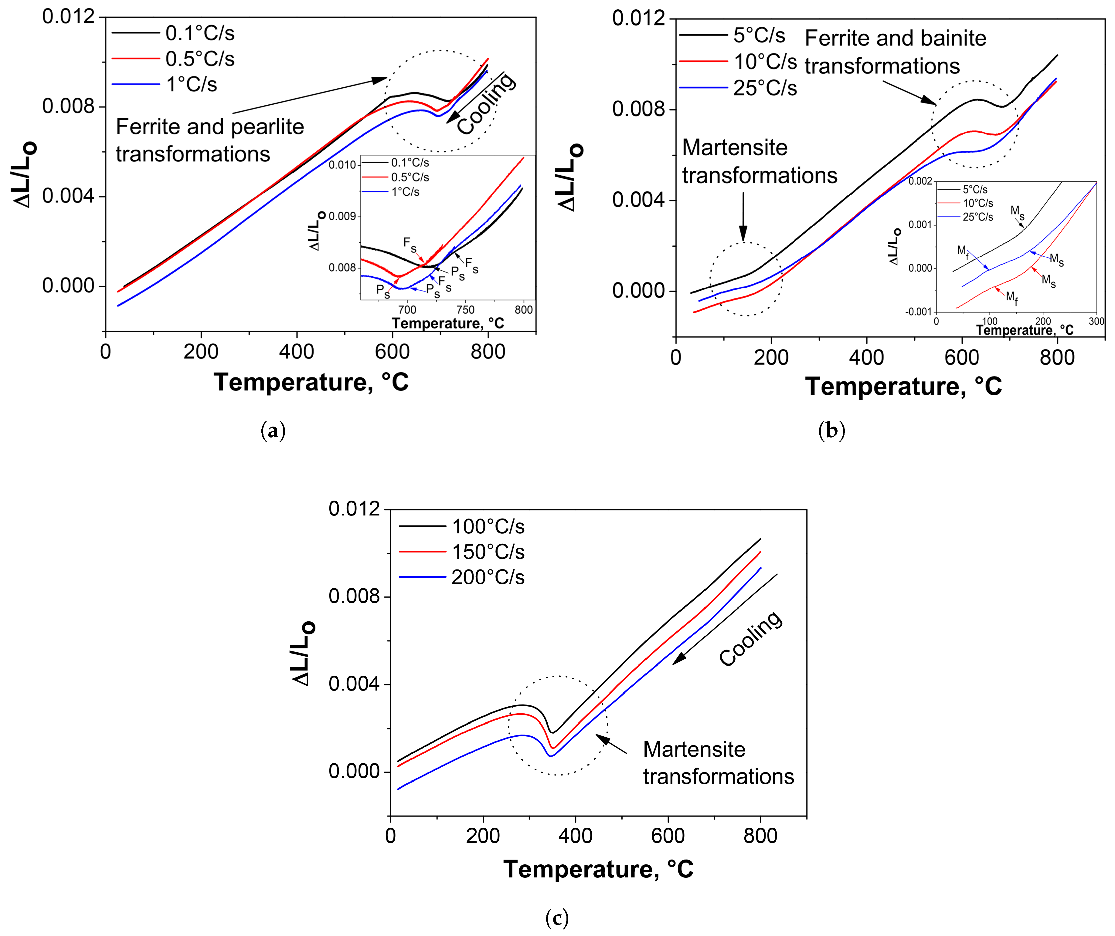
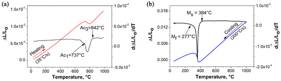
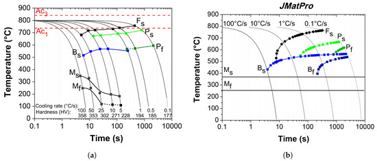
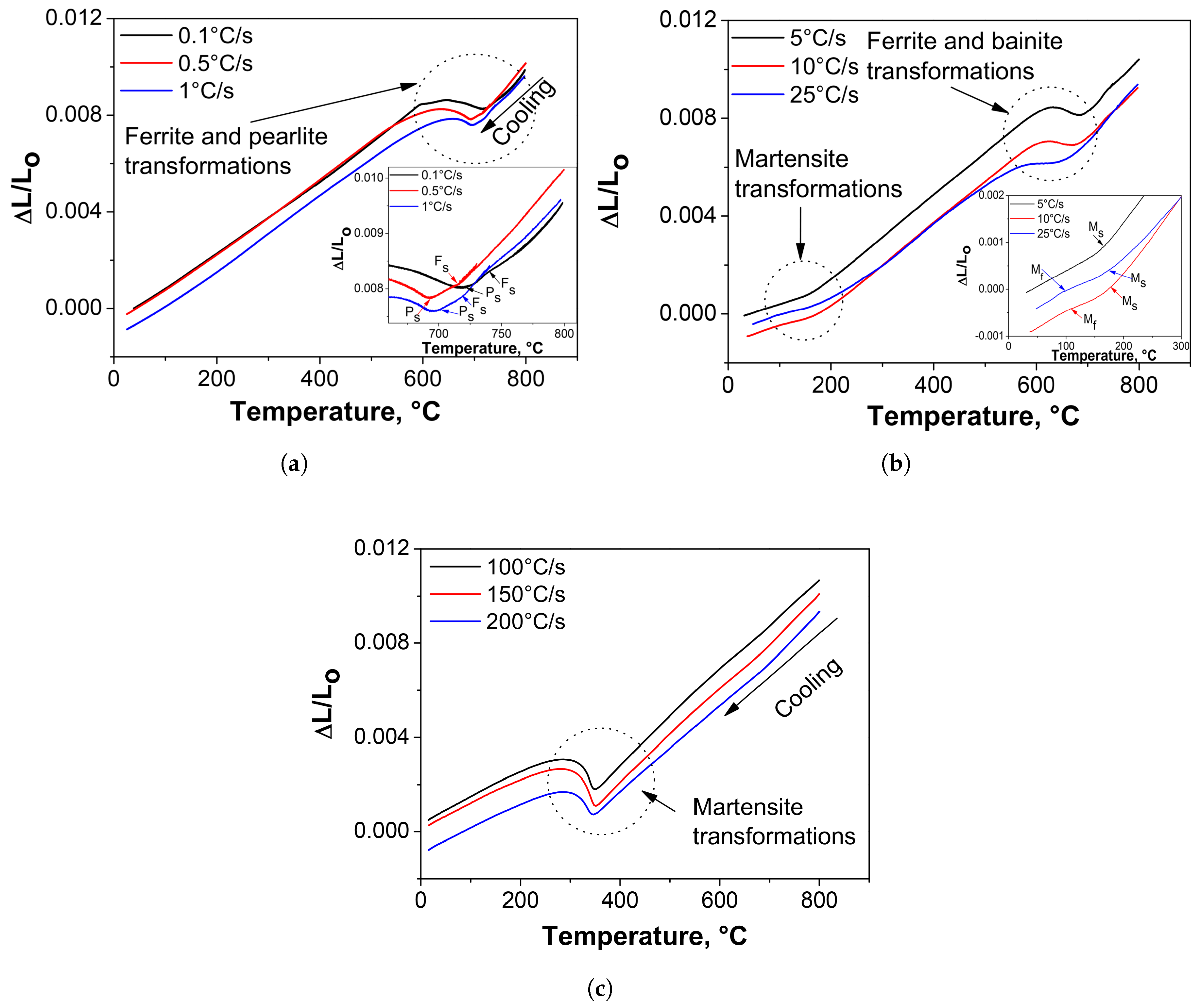
3.4. Dilatometric Curves and CCT Diagrams
3.5. Microstructures and Hardness
4. Conclusions
Author Contributions
Funding
Acknowledgments
Conflicts of Interest
References
- Keeler, S.; Kimchi, M.; Mooney, P.J. Advanced High-Strength Steels Application Guidelines V6; WorldAutoSteel: Brussels, Belgium, 2017; pp. 1–13. [Google Scholar]
- Jambor, A.; Beyer, M. New cars—New materials. Mater. Des. 1997, 18, 203–209. [Google Scholar] [CrossRef]
- Fonstein, N. Main Features of Heat Treatment from Intercritical Region. In Advanced High Strength Sheet Steels: Physical Metallurgy, Design, Processing, and Properties; Springer International Publishing: Cham, Switzerland, 2015; pp. 17–65. [Google Scholar]
- Fonstein, N. Evolution of strength of automotive steels to meet customer challenges. In Advanced High Strength Sheet Steels: Physical Metallurgy, Design, Processing, and Properties; Springer International Publishing: Cham, Switzerland, 2015; pp. 1–16. [Google Scholar]
- Erdogan, M. Effect of austenite dispersion on phase transformation in dual phase steel. Scr. Mater. 2003, 48, 501–506. [Google Scholar] [CrossRef]
- Bhattacharya, D. Developments in Advanced High Strength Steels. In Proceedings of the The Joint International Conference of HSLA Steels 2005 and ISUGS 2005, Sanya, China, 8–10 November 2005; Volume 40. [Google Scholar]
- Flaxa, V.; Shaw, J. Material Applications in ULSAB-AVC (Advanced Vehicle Concepts); SAE Technical Paper; SAE International: Warrendale, PA, USA, 2002. [Google Scholar]
- Pleschiutschnigg, F.P.; Jamnis, V.V.; Talwar, S.R.; Misra, A.K.; Atluri, R.P.V.; Shankar, P.; Verma, R.K.; Goyal, R.K.; Meierling, P.; Pleschiutschnig, J. Start of dual-phase hot strip production in the MPS. Dolvi plant of Ispat Industries Ltd. in India. Steel Grips 2004, 2, 171–176. [Google Scholar]
- Kot, R.A.; Morris, J.W. (Eds.) Structure and Properties of Dual-phase Steels: Proceedings of a Symposium; Metallurgical Society of AIME: New York, NY, USA, 1979; p. 145. [Google Scholar]
- Ghaheri, A.; Shafyei, A.; Honarmand, M. Effects of inter-critical temperatures on martensite morphology, volume fraction and mechanical properties of dual-phase steels obtained from direct and continuous annealing cycles. Mater. Des. (1980–2015) 2014, 62, 305–319. [Google Scholar] [CrossRef]
- Calcagnotto, M.; Ponge, D.; Raabe, D. Microstructure Control during Fabrication of Ultrafine Grained Dual-phase Steel: Characterization and Effect of Intercritical Annealing Parameters. ISIJ Int. 2012, 52, 874–883. [Google Scholar] [CrossRef]
- Hüseyin, A.; Havva, K.Z.; Ceylan, K. Effect of Intercritical Annealing Parameters on Dual Phase Behavior of Commercial Low-Alloyed Steels. J. Iron Steel Res. Int. 2010, 17, 73–78. [Google Scholar] [CrossRef]
- Rocha, R.; Melo, T.; Pereloma, E.; Santos, D. Microstructural evolution at the initial stages of continuous annealing of cold rolled dual-phase steel. Mater. Sci. Eng. A 2005, 391, 296–304. [Google Scholar] [CrossRef]
- Zeytin, H.K.; Kubilay, C.; Aydin, H. Investigation of dual phase transformation of commercial low alloy steels: Effect of holding time at low inter-critical annealing temperatures. Mater. Lett. 2008, 62, 2651–2653. [Google Scholar] [CrossRef]
- Peng-Heng, C.; Preban, A. The effect of ferrite grain size and martensite volume fraction on the tensile properties of dual phase steel. Acta Metall. 1985, 33, 897–903. [Google Scholar] [CrossRef]
- Tavares, S.; Pedroza, P.; Teodosio, J.; Gurova, T. Mechanical properties of a quenched and tempered dual phase steel. Scr. Mater. 1999, 40, 887–892. [Google Scholar] [CrossRef]
- Fonstein, N.M. A heat treatment for obtaining a controlled ferritic-martensitic structure in steel. Metal Sci. Heat Treat. 1985, 27, 610–616. [Google Scholar] [CrossRef]
- Girina, O.; Fonstein, N.; Bhattacharya, D. Effect of annealing parameters on austenite decomposition in a continuously annealed dual-phase steel. In Proceedings of the 45th MWSP Conference, Chicago, IL, USA, 9–12 November 2003; pp. 403–414. [Google Scholar]
- Zhang, F.; Ruimi, A.; Wo, P.C.; Field, D.P. Morphology and distribution of martensite in dual phase (DP980) steel and its relation to the multiscale mechanical behavior. Mater. Sci. Eng. A 2016, 659, 93–103. [Google Scholar] [CrossRef]
- Shibli, S.; Meena, B.; Remya, R. A review on recent approaches in the field of hot dip zinc galvanizing process. Surf. Coat. Technol. 2015, 262, 210–215. [Google Scholar] [CrossRef]
- Liu, H.; Li, F.; Shi, W.; Swaminathan, S.; He, Y.; Rohwerder, M.; Li, L. Challenges in hot-dip galvanizing of high strength dual phase steel: Surface selective oxidation and mechanical property degradation. Surf. Coat. Technol. 2012, 206, 3428–3436. [Google Scholar] [CrossRef]
- Fonstein, N.; Pottore, N.; Lalam, S.; Bhattacharya, D. Phase transformation behavior during continuous cooling and isothermal holding of aluminum and silicon bearing trip steels. In Proceedings of the Materials Science and Technology 2003 Meeting, Chicago, IL, USA, 9–12 November 2003; pp. 549–561. [Google Scholar]
- Cota, A.; Modenesi, P.; Barbosa, R.; Santos, D. Determination of CCT diagrams by thermal analysis of a HSLA bainitic steel. Scr. Mater. 1999, 40, 165–169. [Google Scholar] [CrossRef]
- You, W.; Xu, W.H.; Liu, Y.X.; Bai, B.Z.; Fang, H.S. Effect of Chromium on CCT Diagrams of Novel Air-Cooled Bainite Steels Analyzed by Neural Network. J. Iron Steel Res. Int. 2007, 14, 39–42. [Google Scholar] [CrossRef]
- Colla, V.; DeSanctis, M.; Dimatteo, A.; Lovicu, G.; Valentini, R. Prediction of continuous cooling transformation diagrams for dual-phase steels from the intercritical region. Metall. Mater. Trans. A 2011, 42, 2781–2793. [Google Scholar] [CrossRef]
- Jamwal, R.S.; Frimpong, J.; Ehrhardt, B.W.; Bracht, H.V.; Boggs, R.D.; Bevans, S.W. Process for making cold-rolled dual phase steel sheet. U.S. Patent 20140166163 A1, 19 June 2014. [Google Scholar]
- Kop, T.; Sietsma, J.; Zwaag, S. Anisotropic dilatation behaviour during transformation of hot rolled steels showing banded structure. Mater. Sci. Technol. 2001, 17, 1569–1574. [Google Scholar] [CrossRef]
- De Andrés, C.G.; Bartolomé, M.J.; Capdevila, C.; San Martín, D.; Caballero, F.G.; López, V. Metallographic techniques for the determination of the austenite grain size in medium–carbon microalloyed steels. Mater. Charact. 2001, 46, 389–398. [Google Scholar] [CrossRef]
- Caballero, F.G.; García-Junceda, A.; Capdevila, C.; García de Andrés, C. Evolution of microstructural banding during the manufacturing process of dual phase steels. Mater. Trans. 2006, 47, 2269–2276. [Google Scholar] [CrossRef]
- Granbom, Y. Effects of process parameters prior to annealing on the formability of two cold rolled dual phase steels. Steel Res. Int. 2008, 79, 297–305. [Google Scholar] [CrossRef]
- Martín, D.; de Cock, T.; García-Junceda, A.; Caballero, F.; Capdevila, C.; García de Andrés, C. Effect of heating rate on reaustenitisation of low carbon niobium microalloyed steel. Mater. Sci. Technol. 2008, 24, 266–272. [Google Scholar] [CrossRef]
- Zhao, J.C.; Notis, M.R. Continuous cooling transformation kinetics versus isothermal transformation kinetics of steels: A phenomenological rationalization of experimental observations. Mater. Sci. Eng. R Rep. 1995, 15, 135–207. [Google Scholar] [CrossRef]
- De Andrés, C.G.; Caballero, F.G.; Capdevila, C.; Álvarez, L.F. Application of dilatometric analysis to the study of solid–solid phase transformations in steels. Mater. Charact. 2002, 48, 101–111. [Google Scholar] [CrossRef]
- Zaky Farahat, A.I. Dilatometry determination of phase transformation temperatures during heating of Nb bearing low carbon steels. J. Mater. Process. Technol. 2008, 204, 365–369. [Google Scholar] [CrossRef]
- Oliveira, F.; Andrade, M.; Cota, A. Kinetics of austenite formation during continuous heating in a low carbon steel. Mater. Charact. 2007, 58, 256–261. [Google Scholar] [CrossRef]
- Caballero, F.G.; Capdevila, C.; de Andrés, C.G. Evaluation and review of simultaneous transformation model in high strength low alloy steels. Mater. Sci. Technol. 2002, 18, 534–540. [Google Scholar] [CrossRef]
- Zhang, C.; Cai, D.; Wang, Y.; Liu, M.; Liao, B.; Fan, Y. Effects of deformation and Mo, Nb, V, Ti on continuous cooling transformation in Cu–P–Cr–Ni–Mo weathering steels. Mater. Charact. 2008, 59, 1638–1642. [Google Scholar] [CrossRef]
- Rigsbee, J.; Abraham, J.; Davenport, A.; Franklin, J.; Pickens, J. Structure-processing and structure-property relationships in commercially processed dual-phase steels. In Structure and Properties of Dual-Phase Steels; Metallurgical Society of AIME: New York, NY, USA, 1979; pp. 304–329. [Google Scholar]
- Bangaru, N.R.V.; Sachdev, A.K. Influence of cooling rate on the microstructure and retained austenite in an intercritically annealed vanadium containing HSLA steel. Metall. Trans. A 1982, 13, 1899–1906. [Google Scholar] [CrossRef]
- Saunders, N.; Guo, U.; Li, X.; Miodownik, A.; Schillé, J.P. Using JMatPro to model materials properties and behavior. JOM 2003, 55, 60–65. [Google Scholar] [CrossRef]
- Kirkaldy, J.S.; Thomson, B.A.; Baganis, E.A. Prediction of multicomponent equilibrium and transformation diagrams for low alloy steels. In Hardenability Concepts with Applications to Steel; Metallurgical Society of AIME: New York, NY, USA, 1978; pp. 82–125. [Google Scholar]
- Kirkaldy, J.S.; Venugopalan, D. Prediction of microstructure and hardenability in low alloy steels. In Proceedings of the International Conference on Phase Transformations in Ferrous Alloys, Philadelphia, PA, USA, 4–6 October 1983; Marder, A.R., Goldstein, J.I., Eds.; AIME: Warrendale, PA, USA, 1984; pp. 125–148. [Google Scholar]
- Kirkaldy, J.S. Diffusion-controlled phase transformations in steels. Theory and applications. Scand. J. Metall. 1991, 20, 50–61. [Google Scholar]
- Saunders, N.; Guo, Z.; Li, X.; Miodownik, A.; Schillé, J.P. The Calculation of TTT and CCT Diagrams for General Steels; JMatPro Software Literature, Internal Report; Sente Software Ltd.: Guildford, UK, 2004. [Google Scholar]
- Sarwar, M.; Ahmad, E.; Qureshi, K.; Manzoor, T. Influence of epitaxial ferrite on tensile properties of dual phase steel. Mater. Des. 2007, 28, 335–340. [Google Scholar] [CrossRef]









| C | Mn | P | S | N | Si | Cu | Ni | Cr | Nb | Mo | Ti | V | B |
|---|---|---|---|---|---|---|---|---|---|---|---|---|---|
| 0.18 | 1.80 | 0.015 | 0.002 | 0.007 | 0.33 | 0.08 | 0.05 | 0.43 | 0.03 | 0.015 | 0.026 | 0.004 | 0.0007 |
| Phase Transformation | Experimental Temperature/Time Range – (C, s–C, s) | Experimental Cooling Rate Range (C/s) | JMatPro Temperature/Time Range – (C, s–C, s) | JMatPro Cooling Rate Range (C/s) |
|---|---|---|---|---|
| 757, 439–674, 5 | 0.1–25 | 770, 325–509, 8 | 0.1–50 | |
| P P | 722, 797–673, 14 595, 2098–568, 232 | 0.1–10 | 672, 1262–549, 55 618, 1827–570, 823 | 0.1–7 |
| B B | 553, 248–516, 6 — | 1–50 | 570, 2317–427, 4 541, 2468–390, 216 | 0.1–100 |
| M M | 186, 123–350, 5 110, 137–251, 6 | 5–100 | 370 255 | Independent of cooling rate |
© 2018 by the authors. Licensee MDPI, Basel, Switzerland. This article is an open access article distributed under the terms and conditions of the Creative Commons Attribution (CC BY) license (http://creativecommons.org/licenses/by/4.0/).
Share and Cite
Bräutigam–Matus, K.; Altamirano, G.; Salinas, A.; Flores, A.; Goodwin, F. Experimental Determination of Continuous Cooling Transformation (CCT) Diagrams for Dual-Phase Steels from the Intercritical Temperature Range. Metals 2018, 8, 674. https://doi.org/10.3390/met8090674
Bräutigam–Matus K, Altamirano G, Salinas A, Flores A, Goodwin F. Experimental Determination of Continuous Cooling Transformation (CCT) Diagrams for Dual-Phase Steels from the Intercritical Temperature Range. Metals. 2018; 8(9):674. https://doi.org/10.3390/met8090674
Chicago/Turabian StyleBräutigam–Matus, Krishna, Gerardo Altamirano, Armando Salinas, Alfredo Flores, and Frank Goodwin. 2018. "Experimental Determination of Continuous Cooling Transformation (CCT) Diagrams for Dual-Phase Steels from the Intercritical Temperature Range" Metals 8, no. 9: 674. https://doi.org/10.3390/met8090674
APA StyleBräutigam–Matus, K., Altamirano, G., Salinas, A., Flores, A., & Goodwin, F. (2018). Experimental Determination of Continuous Cooling Transformation (CCT) Diagrams for Dual-Phase Steels from the Intercritical Temperature Range. Metals, 8(9), 674. https://doi.org/10.3390/met8090674

