Experimental and Numerical Study on the Lateral-Torsional Buckling of Steel C-Beams with Variable Cross-Section
Abstract
1. Introduction
2. Materials and Methods
2.1. Beam Model and Basic Assumptions
- small displacement, i.e., linearized kinematics;
- Vlasov’s assumptions of negligible shear deformation on the middle surface, and perfect rigidity of the cross sections in their own planes;
- conservative forces and elastic behavior;
- pre-critical strains are infinitesimal;
- dynamic effects are negligibly small;
- body forces are absent;
- isotropic, homogeneous, and linear elastic material;
- shear and rotation centers coincide;
- the shear centers of the cross-sections lie on an axis that remains straight during deformation.
2.2. Experimental Program
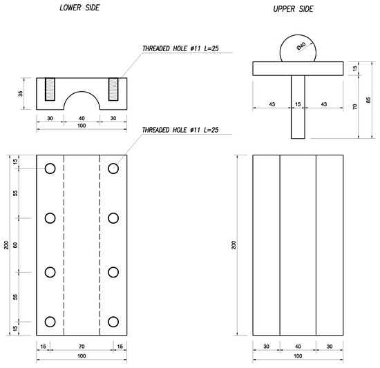
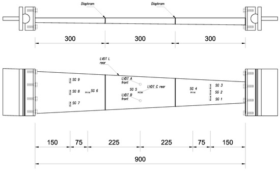
2.2.1. Design of Specimen and Test Setup
2.2.2. Instrumentation
2.3. Theoretical Framework
2.3.1. Shear Center Position
2.3.2. Flexural-Torsional Stability: Governing Equations
2.3.3. Variational Approximation
2.4. Numerical Procedure
3. Numerical and Experimental Results
3.1. Numerical Results
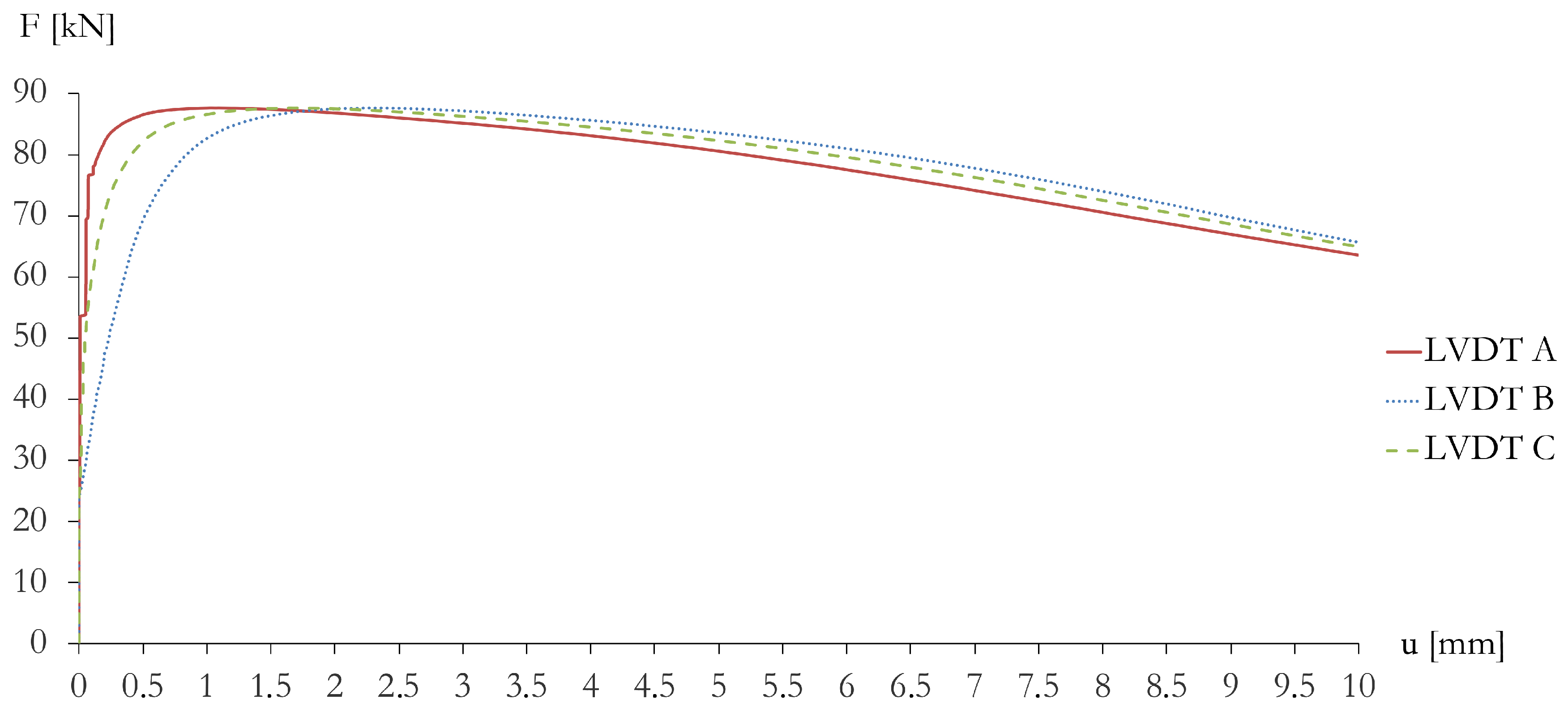
3.2. Experimental Results
4. Discussion
5. Concluding Remarks
Author Contributions
Funding
Acknowledgments
Conflicts of Interest
References
- Mascolo, I.; Pasquino, M. Lateral-torsional buckling of compressed highly variable cross section beams. Curved Layer. Struct. 2016, 3, 146–153. [Google Scholar] [CrossRef]
- Timoshenko, S.P.; Gere, J.M. Theory of Elastic Stability; McGraw-Hill: New York, NY, USA, 1961; ISBN 9781306346726. [Google Scholar]
- Vlasov, V.Z. Thin-Walled Elastic Beams; National Science Foundation: Washington, DC, USA, 1984. [Google Scholar]
- Simitses, G.J.; Hodges, D.H. Fundamentals of Structural Stability; Elsevier: Amsterdam, NL, USA, 2006; ISBN 9781493303113. [Google Scholar]
- Galambos, T.V.; Surovek, A.E. FStructural Stability of Steel, Concept and Applications for Structural Engineers; Wiley: New York, NY, USA, 2008; ISBN 9781613441596. [Google Scholar]
- Elishakoff, I. A selected review of direct, semi-inverse and inverse eigenvalue problems for structures described by differential equations with variable coefficient. Arch. Comput. Method E. 2000, 7, 451–526. [Google Scholar] [CrossRef]
- El-Mahdy, G.M.; El-Saadaway, M.M. Ultimate strength of singly symmetric I-section steel beams with variable flange ratio. Thin-Walled Struct. 2015, 87, 149–157. [Google Scholar] [CrossRef]
- Dennis, S.T.; Jones, K.W. Flexural-torsional vibration of a taperede C-Section beam. J. Sound Vib. 2018, 393, 401–414. [Google Scholar] [CrossRef]
- Koiter, W.T. Current Trends in the Theory of Buckling. In Buckling of Structures. International Union of Theoretical and Applied Mechanics; Budiansky, B., Ed.; Springer: Berlin, Germany, 1976. [Google Scholar]
- Bolotin, V.V. The Dynamic Stability of Elastic System; Holden-Day, Inc.: San Francisco, CA, USA, 1964; ISBN 978-1114366091. [Google Scholar]
- Reddy, J.N. Energy Principles and Variational Methods in Applied Mechanics; John Wiley: New York, NY, USA, 2002; ISBN 9781119087373. [Google Scholar]
- Andrade, A.; Camotim, D. Lateral-Torsional Buckling of Singly Symmetric Web-Tapered Beams: Theory and Application. J. Eng. Mech. ASCE 2005, 131, 586–597. [Google Scholar] [CrossRef]
- Andrade, A.; Camotim, D.; Costa, P.P. On the Evaluation of Elastic Critical Moments in Doubly and Singly Symmetric I-Section Cantilevers. J. Constr. Steel Res. 2007, 63, 894–908. [Google Scholar] [CrossRef]
- Asgarian, B.; Soltani, M.; Mohri, F. Lateral-Torsional Buckling of Tapered Thin-Walled Beams with Arbitrary Cross-Sections. Thin-Walled Struct. 2013, 62, 96–108. [Google Scholar] [CrossRef]
- Mascolo, I.; Fulgione, M.; Pasquino, M. Lateral torsional buckling of compressed open thin walled beams: Experimental confirmations. Int. J. Mansory Res. Innov. 2019, 4, 150–158. [Google Scholar]
- Abed, F.; Abdul-Latif, A.; Yehia, A. Experimental Study on the Mechanical Behavior of EN08 Steel at Different Temperatures and Strain Rates. Metals 2018, 8, 736. [Google Scholar] [CrossRef]
- Balázs, I.; Melcher, J. Geometrically Nonlinear Numerical Analysis of Beams of Monosymmetric Thin-Walled Cross-Sections Loaded Perpendicularly to the Plane of Symmetry. Trans. VŠB Tech. Univ. Ostrav. Civ. Eng. Ser. 2013, 23, 1–12. [Google Scholar] [CrossRef]
- Chen, DH.; Ushijima, K. Deformation of Honeycomb with Finite Boundary Subjected to Uniaxial Compression. Metals 2013, 3, 343–360. [Google Scholar] [CrossRef]
- Sharifi, Y.; Tohidi, S. Lateral-Torsional Buckling Capacity Assessment of Web Opening Steel Girders by Artificial Neural Networks-Elastic Investigation. Front. Struct. Civ. Eng. 2014, 8, 167–177. [Google Scholar] [CrossRef]
- Kováč, M. Elastic Crirical Axial Force for the Torsional-Flexural buckling of Thin-Walled Metal Members: An Approximate Method. Slovak J. Civ. Eng. 2015, 23, 23–32. [Google Scholar] [CrossRef]
- Jiang, Y. Numerical Modeling of Cyclic Deformation in Bulk Metallic Glasses. Metals 2016, 6, 217. [Google Scholar] [CrossRef]
- Guarracino, F. The torsional instability of a cruciform column in the plastic range: Analysis of an old conundrum. Thin-Walled Struct. 2017, 113, 273–286. [Google Scholar] [CrossRef]
- Enginsoy, H.M.; Bayraktar, E.; Kurşun, A. A Comprehensive Study on the Deformation Behavior of Hadfield Steel Sheets Subjected to the Drop Weight Test: Experimental Study and Finite Element Modeling. Metals 2018, 8, 734. [Google Scholar] [CrossRef]
- Kala, Z. Elastic Lateral-Torsional Buckling of Simply Supported Hot-Rolled Steel I-Beams with Random Imperfections. Procedia Eng. 2013, 57, 504–514. [Google Scholar] [CrossRef]
- Alwis, W.A.M.; Wang, M. Wagner term in flexural-torsional buckling of thin-walled open-profile columns. Eng. Struct. 1996, 18, 125–132. [Google Scholar] [CrossRef]
- CNR 10018: Italian Standard. Apparecchi di Appoggio per le Costruzioni. Istruzioni per L’impiego [Bearing Devices for Structures. Instructions for Use]. CNR, Bollettino Ufficiale. 1999. Rome, IV, Edizioni CNR. Available online: http://www.edizioni.cnr.it (accessed on 13 November 2018).
- Guarracino, F.; Walker, A. Energy Methods in Structural Mechanics: A Comprehensive Introduction to Matrix and Finite Element Methods of Analysis; Thomas Telford: London, UK, 1999; ISBN 9780727727572. [Google Scholar]
- Gould, S.H. Variational Methods for Eigenvalue Problems; University of Toronto Press: Toronto, ON, Canada; Oxford University Press: Oxford, UK, 1959; Volume 43, pp. 154–155. [Google Scholar] [CrossRef]
- Trefftz, E. Über die Ableitung der Stäbilitats-kriterien des elastischen Gleichgewichtes aus der elasticitäts theorie endlicher Deformationen. In Proceedings of the 3rd International Congress for Applied Mechanics, Stockholm, Sweden, 24–29 August 1930; pp. 44–50. [Google Scholar]
- Dubina, D.; Ungureanu, V. Instability mode interaction: From Van Der Neut model to ECBL approach. Thin-Walled Struct. 2014, 81, 39–49. [Google Scholar] [CrossRef]
- Bai, L.; Wadee, A.M. Imperfection sensitivity of thin-walled I-section struts susceptible to cellular buckling. Int. J. Mech. Sci. 2015, 104, 162–173. [Google Scholar] [CrossRef]
- Andrade, A.; Camotim, D.; Dinis, P.B. Lateral-torsional buckling of singly symmetric web-tapered thin-walled I-beams: 1D model vs. shell FEA. Comput. Struct. 2007, 85, 1343–1359. [Google Scholar] [CrossRef]









![]() | Section A: mm; mm; mm; mm; mm; mm2; |
| Section B: mm; mm; mm; mm; mm; mm2; |
| E [GPa] | G [GPa] | [MPa] |
|---|---|---|
| 210 | 80.77 | 365 |
© 2018 by the authors. Licensee MDPI, Basel, Switzerland. This article is an open access article distributed under the terms and conditions of the Creative Commons Attribution (CC BY) license (http://creativecommons.org/licenses/by/4.0/).
Share and Cite
Mascolo, I.; Modano, M.; Fiorillo, A.; Fulgione, M.; Pasquino, V.; Fraternali, F. Experimental and Numerical Study on the Lateral-Torsional Buckling of Steel C-Beams with Variable Cross-Section. Metals 2018, 8, 941. https://doi.org/10.3390/met8110941
Mascolo I, Modano M, Fiorillo A, Fulgione M, Pasquino V, Fraternali F. Experimental and Numerical Study on the Lateral-Torsional Buckling of Steel C-Beams with Variable Cross-Section. Metals. 2018; 8(11):941. https://doi.org/10.3390/met8110941
Chicago/Turabian StyleMascolo, Ida, Mariano Modano, Antimo Fiorillo, Marcello Fulgione, Vittorio Pasquino, and Fernando Fraternali. 2018. "Experimental and Numerical Study on the Lateral-Torsional Buckling of Steel C-Beams with Variable Cross-Section" Metals 8, no. 11: 941. https://doi.org/10.3390/met8110941
APA StyleMascolo, I., Modano, M., Fiorillo, A., Fulgione, M., Pasquino, V., & Fraternali, F. (2018). Experimental and Numerical Study on the Lateral-Torsional Buckling of Steel C-Beams with Variable Cross-Section. Metals, 8(11), 941. https://doi.org/10.3390/met8110941


