Next Article in Journal
The Effect of Microstructural Characteristics on the Hydrogen Permeation Transient in Quenched and Tempered Martensitic Alloys
Next Article in Special Issue
Electrochemical Behaviour of Chalcopyrite in Chloride Solutions
Previous Article in Journal
Microstructures and Mechanical Properties of Mg-9Al/Ti Metallurgical Bonding Prepared by Liquid-Solid Diffusion Couples
Previous Article in Special Issue
Selective Extraction of Rare Earth Elements from Phosphoric Acid by Ion Exchange Resins
 
 
Font Type:
Arial Georgia Verdana
Font Size:
Aa Aa Aa
Line Spacing:
Column Width:
Background:
Article

Europium, Yttrium, and Indium Recovery from Electronic Wastes

Department of Extractive Metallurgy, Escuela Politécnica Nacional, Ladrón de Guevara E11-253, Quito 170517, Ecuador
*
Author to whom correspondence should be addressed.
Metals 2018, 8(10), 777; https://doi.org/10.3390/met8100777
Submission received: 15 September 2018 / Revised: 26 September 2018 / Accepted: 27 September 2018 / Published: 29 September 2018
(This article belongs to the Special Issue Advances in Hydrometallurgy)

Abstract

:
Waste electrical and electronic equipment (WEEE) has increased in recent decades due to the continuous advancement of technology in the modern world. These residues have various metals that are found in concentrations that make their recovery profitable. A group of metals of interest are the rare earths such as europium and yttrium, as well as semiconductors such as indium. Yttrium was recovered from cathode ray tubes that were manually dismantled. The resulted powder was leached with HNO3, and then the solution was submitted to solvent extraction with di-(2-ethylhexyl) phosphoric acid (DEHPA) using n-heptane as a diluent. For re-extraction, HNO3 was used again, and yttrium was precipitated by adding four times the stoichiometric amount of oxalic acid, reaching 68% yttrium purity. Indium was recovered from the liquid crystal display (LCD) screens for which the pulverized material was leached with H2SO4. Then, the indium sulfate was subjected to solvent extraction using DEHPA as an extractant, and diesel as a diluent. The re-extraction was carried out again with H2SO4, and the obtained acid solution was evaporated until the indium precipitated, reaching a recovery of 95%. The investigations that were carried out show that it is feasible to recover these metals in the form of oxides or phosphates with high commercial value.

1. Introduction

During the last decades, there has been a vertiginous development of the technological industry, which has caused a significant increase in electronic waste. Electric and electronic wastes, which are also called waste electrical or electronic equipment (WEEE), is a general term that covers any device that has ceased to be useful [1]. The electronic waste that is generated due to the continuous advance of the technology is stored in deposits as scrap. However, many of these WEEE have high value-added metals in their structure in concentrations that are much higher than those within minerals [2].
Globally, WEEE is the waste that has shown the most growth in recent decades. WEEE constitutes approximately 8% of total urban waste [3]. It is estimated that 14 kg of WEEE per year are generated per person, and this tendency grows exponentially each year [4]. Despite this trend, there are no regulations or provisions for the proper disposal of WEEE in undeveloped countries due to economic constraints. In addition, it must be taken into account that the number of electronic devices and the recycling rate is lower than in developed countries. In the case of Europe, it is known that the amount of WEEE is approximately 7.5 million tons, and the annual growth of this trend ranges between 3–5% [5].
Another aspect to take into account is the negative environmental impact caused by WEEE if they are not properly disposed. When electronic devices end their useful life, they are destined for landfills or incinerators. However, it must be taken into account that WEEE has toxic metals such as lead, cadmium, or mercury, which are harmful to the environment and the health of living beings [6]. It should be noted that one of the main attractions of electronic waste is the high concentration of precious metals, base metals, and rare earths, which makes them potential sources of these elements. For instance, it is common to find 41% and 22% of iron and copper respectively within WEEE, since they are the major elements in electronic wastes. Precious metals and rare earths are in ppm concentrations instead [7,8]. Much electronic waste has precious metals or rare earths in concentrations that make it possible to extract them. One of them is cathode ray tubes (CRTs), which present a powder composed of zinc sulfide and yttrium oxysulfide activated with europium. The CRTs are found on computer screens and televisions that are covered by layers of barium oxide and lead that protect users from the exposure of X-rays generated within the CRTs. It should be noted that the glasses that are part of the CRTs have up to 28% lead, which becomes a serious environmental problem when the CRTs are leached in the landfills where they are stored [6].
However, due to the presence of yttrium and europium in its structure, the CRTs are highly appreciated, since rare earths have a high commercial value [9].
The elements of rare earths are a group composed of 17 chemical elements, which includes the 15 metals corresponding to the series of lanthanides in addition to yttrium and scandium. All of these elements present similarities in their chemical, electrical, magnetic, and optical properties [10]. This similarity is mainly due to the electronic configuration of the rare earth elements. In the atoms of these elements, f orbitals are partially filled, and the electrons are added to sublayer 4f, which is surrounded by 6s sublayers. Since the last layer is completely filled, in the case of all of the elements, the electrons of sublayer 4f are so well protected that the chemical properties remain practically unchanged. In the case of lanthanum, there are no electrons in the f orbitals, but the 5d sublayer is the one that is protected by the filled external sublayers [11,12]. Due to their exceptional physical, optical, electrical, and magnetic properties, these elements are used in a wide range of applications, from metal alloys, flat screens, hard drives, and oil-refining catalysts to medical equipment. There are important uses in the defense industry, such as in fighter aircraft engines, guided missile systems, missile defense units, and satellite communication systems. According to their use, these elements are used as mixtures, in addition to other chemical compounds, or in metallic and alloy forms [13].
The main mineral sources of rare earths are bastnasite [(Ce,La)(CO3)F], monazite [(Ce,La)PO4)], and xenotime (YPO4). These minerals are submitted to a comminution process followed by a gravimetric concentration process [14,15]. The processed minerals that are enriched in rare earths are leached with acids or alkalis. Generally, hydrochloric (HCl) or sulfuric acid (H2SO4) is employed at this stage, and according the leaching agent concentration, pulp density, and temperature, rare earths may have selective solubilities that may make their separation from other metals possible [16,17].
Rare earths that are dissolved after leaching are recovered by several hydrometallurgical techniques such as: solvent extraction, ion exchange, and crystallization. The most used technique is solvent extraction, since extractants such as di-(2-ethylhexyl) phosphoric acid (DEHPA) enable obtaining products of high purity [18]. Re-extraction is accomplished mainly with the employment of acids such as HCl. Several parameters must be optimized, such as the molar ratio between the organic and aqueous phase, extractants concentration, and the contact time between the two phases, among others. In the case of yttrium, it can be recovered from the aqueous phase by precipitation after the addition of oxalic acid or sodium oxalate. Its transformation to an oxide can be achieved by calcination at 750 °C or, it can be heated to 750 °C with the addition of hydrofluoric acid in order to obtain yttrium fluoride [19].
Another group of electronic waste that has several elements of commercial interest is liquid crystal displays (LCDs). These devices are used in the manufacture of televisions, laptops, cameras, and mobile phones, among others [20]. The LCD screens have an approximate lifespan of up to eight years, so once their use is over, they must be properly disposed due to the presence of several toxic elements in their structure, such as mercury. Approximately 72% of LCD screens have fluorescent cathode lamps that contain mercury in their structure. One of the elements that has great commercial value and is inside the LCD screens is indium. This element is a semiconductor that has several properties such as electrical conductivity, chemical stability, and high hardness. The indium that is found in the liquid crystal panel has great commercial appeal when it is sold as indium oxide [20,21].
Indium is commonly found in the veins of minerals that are associated with sulfides and have a high content of tin. Several places have been discovered where indium deposits are found, such as: Kidd Creek, Timmins, ON, Canada (0.027% w/w indium); Polaris, Nunavut, NT, Canada (0.010% w/w indium); Balmat, NY, USA (0.004% w/w indium); and Toyoha, Japan (6% w/w indium) [22]. There is also a massive sulfur deposit housed in the volcano of the Kidd Creek mine, with an indium content between 1–870 ppm, with an average of 106 ppm that can be exploitable. Tin and tungsten deposits house the highest concentrations of indium [23].
Indium is produced mainly from the waste obtained from the zinc refining and the recycling of chimney dust, slag, and gases generated during the zinc smelting, where the degree of indium is 0.027%. These residues are subjected to a process of leaching through the use of hydrochloric (HCl) or sulfuric acid (H2SO4). The solutions are concentrated by solvent extraction, and the indium is recovered by electrodeposition as 99% metal. The low grade of indium is then refined to a standard grade metal (99.99%) of higher purity [24]. The concentrate is processed by roasting to eliminate sulfur, and a leaching process is carried out where the iron is eliminated as a residue of jarosite. In order to recover the indium, the jarosite residue is dissolved using a hot sulfuric acid solution. In this method, the indium is extracted directly from the leaching solution by solvent extraction. This technique is not suitable for residues of zinc plants with low concentrations of indium [25].
The present research analyzes the recovery of europium, yttrium, and indium from WEEE through the hydrometallurgical route. The main objective of the work consists of recovering yttrium and indium as suitable salts for their commercialization. Several works during the last years have attempted to recover yttrium and indium from electric and electronic wastes. Yang et al. [26] tried to separate yttrium and indium through employing acid leaching and solvent extraction techniques. In this case, di-(2-ethylhexyl) phosphoric acid (DEHPA) was used as the extractant and kerosene was used as the diluent, achieving 99% of yttrium and indium recovery in 2 M HCl and 1 M HNO3 solutions, respectively [26]. On the other hand, De Michelis et al. [27] and Innocenzi et al. [28] performed rare earths recovery from WEEE by acidic leaching and precipitation as the main techniques. De Michelis et al. [27] employed several acids to dissolve rare earths with a subsequent precipitation with oxalic acid. This technique allowed obtaining yttrium oxalate (99% of recovery). Innocenzi et al. [28] instead attempted yttrium recovery using NaOH solutions for yttrium precipitation from acidic solutions. In this research, 95% of yttrium recovery was achieved. These research studies demonstrated that rare earths and indium extractions from WEEE are possible nowadays.
Considering recent research studies in rare earths and indium extraction from WEEE, this work focused on the extraction of the mentioned elements from cathode ray tubes (CRTs) and liquid crystal displays (LCD) panels. Unlike other investigations in this area, three techniques were tested in order to obtain yttrium and indium as commercial salts; these hydrometallurgical techniques are: acidic leaching, solvent extraction, and precipitation. The novelty of this work lies in the employment of CRTs and LCD panels as rare earths and indium sources, respectively. In both studies, several acids were tested in order to achieve the greatest element dissolution. Afterwards, several extractants and different diluents were used in order to separate the desired elements from other impurities such as zinc, iron, and aluminum, among others. In contrast with other research studies, solvent extraction was implemented instead of attempting a selective precipitation of rare earths and indium, which may create products with several impurities. Finally, yttrium oxide and indium sulfate were obtained as the main products of this investigation. The results obtained show that the adequate disposal of WEEE for the recovery of metals with high added value is feasible.

2. Materials and Methods

2.1. Materials

The following substances were employed in the development of this research: Nitric acid (HNO3), 68% Panreac; sulfuric acid (H2SO4), 98% Mallinckrodt; hydrochloric acid (HCl), 37% Panreac; hydrofluoric acid (HF), Merck; n-hexane, 99.9% JT Baker; n-heptane, 99.9% Merck; di-(2-ethylhexyl) phosphoric acid (DEHPA), 99.9% Merck; tributyl phosphate (TBP), 97%, Fluka AG; methyl trioctyl ammonium chloride (Aliquat 336), 90% Merck; oxalic acid dehydrate, 99% Merck; and diesel premium and sodium hydroxide (NaOH), technical grade.

2.2. Methodology for Europium and Yttrium Recovery

Powder from CRTs was extracted manually and collected with a vacuum cleaner. The powder was characterized with an X-ray diffractometer Bruker AXS D8 Advance model and a scanning electron microscopy (SEM)–electric dispersive scanning (EDS) Vega TESCAN. Leaching essays were performed with HNO3, H2SO4, and HCl for yttrium and europium dissolution under magnetic stirring at different periods of time. Various concentrations of the leaching agent (100–350 g/L) were assessed as well as different pulp densities (10%, 20%, 30% of solids) in order to determine the optimal parameters. The amount of dissolved yttrium and europium was measured by atomic absorption spectroscopy with a Perkin Elmer AAnalyst 300 spectrometer. The error that was associated to the atomic absorption analysis was ±0.1%. The amount of undissolved yttrium and europium was determined by atomic absorption, for which the CRT powder was submitted to acid disintegration with HNO3, HF, and HCl. Rare earths recoveries were obtained by making a mass balance as follows (see Appendix A):
  Rare   earth   recovery =   m rare   earth   in   solution   ( mg ) m rare   earth   in   solution   ( mg ) + m rare   earth   in   CRT   ( mg ) × 100 %  
After the leaching process, solvent extraction was carried out; di-(2-ethylhexyl) phosphoric acid (DEHPA), tributyl phosphate (TBP), and methyl trioctyl ammonium chloride (Aliquat 336) were employed as extractants, whereas n-hexane and n-heptane were used as diluents. It is important to indicate that a ratio of 1:1 was maintained between the aqueous and the organic phase in all of the assays. The concentration of the extractant (0.5 M, 1.0 M, and 1.5 M) as well as the diluent was assessed in these tests. Finally, in the scrubbing process, a selective removal of europium and yttrium was attempted with HNO3 and HCl respectively in order to separate the two elements from the organic phase. Yttrium was precipitated from the acidic solution with the addition of oxalic acid, and the result that was precipitated was characterized by X-ray diffraction.

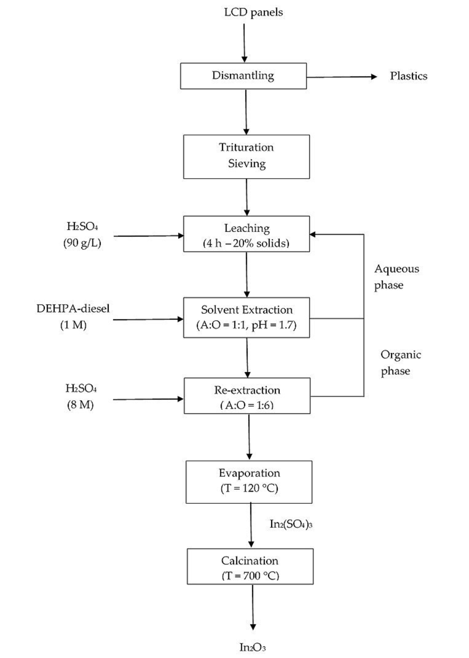
2.3. Methodology for Indium Recovery

The raw material that was used in the project was collected from discarded liquid crystal displays (LCD) of different sizes, brands, and models. The LCDs were dismantled manually; the outer frame, the plastic layer of the LCD monitor, image diffusers, and anti-glare layers were removed until the LCD panel was obtained. After that, a manual size reduction was made to reach a particle size between 0.5–2.0 cm; then, the material was pulverized with a Siebtechnik model T 100 equipment (Siebtechnik, Mülheim an der Ruhr, Germany). The resulted powder was submitted to a granulometric analysis, and three representative sizes of the sample were collected: +298 μm; −149 + 105 μm; and −105 + 74 μm. The powder was characterized by X-ray fluorescence analysis with a S8 Tiger, Bruker equipment (Bruker, Karlsruhe, Germany), and a scanning electron microscopy (SEM)–electric (TESCAN, Brno, Czech Republic) dispersive scanning (EDS) Vega TESCAN. The leaching process was investigated through the use of two acids: HCl and H2SO4 with a concentration of 90 g/L. Leaching essays were carried out with magnetic stirring for 24 h. Indium, iron, and aluminum dissolution was monitored by atomic absorption spectroscopy with a Perkin Elmer Analyst 300 spectrometer (Perkin Elmer, Shelton (CT), USA). The LCD powder was submitted to acid disintegration with HNO3, HF, and HCl in order to quantify the undissolved elements by atomic absorption. Indium recoveries were obtained by making a mass balance through using Equation (1). For indium recovery form acidic solutions, solvent extraction was carried out. Di-(2-ethylhexyl) phosphoric acid (DEHPA), tributyl phosphate (TBP), and methyl trioctyl ammonium chloride (Aliquat 336) were employed as extractants, whereas n-hexane and diesel were used as diluents. Two ratios of 1:1 and 1:6 between the organic and the aqueous phase respectively were assessed, as well as the concentration of the extractant (0.025–1.000 M). In addition, two organic solvents were tested to determine the optimal conditions to separate indium from iron and aluminum. Once the best extraction results were obtained, the organic phase that had the highest indium load was submitted to re-extraction. The aqueous phase tested was H2SO4 at different concentrations (6 M, 8 M, and 10 M), and the amount of indium that was recovered was measured by atomic absorption. Finally, the acid solution was evaporated up to indium precipitated as indium sulfate.

3. Results and Discussion

3.1. Europium and Yttrium Recovery from Cathode Ray Tubes

From the analysis of crystalline phases performed by X-ray diffraction (XRD), it was found that the main constituent compounds of the coating powder were: zinc sulfide (ZnS) and yttrium oxysulfide (Y2O2S). During characterization, no europium compounds were found, which was probably due to europium being an activant or dopant of yttrium oxysulfide, but not a differentiable compound. The determination of the elemental chemical composition was carried out by the X-ray analyzer in the scanning electron microscopy (SEM). It should be mentioned that with this analysis, semiquantitative chemical results are obtained, with a limit of detection of 1% (see Figure S1). The results of the elemental chemical composition of the coating powder are shown in Table 1.
It was found that zinc is the element that is present in the greatest percentage, followed by sulfur. These results corroborate with the results of the analysis by XRD, in which the zinc sulfide is one of the components of the powder. In the case of rare earths, yttrium has a percentage of 8.5%, coming from the yttrium oxysulfide determined in XRD, whereas europium has a percentage of around 1.5%. In addition, there is a 2.6% of niobium that can arouse interest in their recovery.
In order to extract the rare earths from the CRTs, the powder was used for the extraction of europium and yttrium by acid leaching and solvent extraction. Figure 1 shows the different leaching agents that are used for this purpose. As it can be seen in Figure 1a, the best leaching agent for complex europium and yttrium turned out to be the HNO3, which was used at a concentration of 200 g/L.
For the leaching carried out with hydrochloric acid, values of recovery were approximately 2% for europium and 7% for yttrium, while with sulfuric acid those values increased to 5% for both metals. Finally, different results are observed in nitric acid leaching tests, in which the increase in recovery is considerable, since approximate values of 48% were reached for both europium and yttrium. In order to determine the optimal concentration of nitric acid, the concentrations were varied from 100 g/L to 350 g/L. The highest recovery of rare earths in solution was obtained when the concentration of HNO3 was 250 g/L. It should be noted that all of the tests were carried out for 24 h at 10% of solids. It is important to notice that other research studies have demonstrated that sulfuric acid or hydrochloric acid are suitable as well for yttrium dissolution [27]. However, in this case, only nitric acid resulted to be the best leaching agent for rare earths recovery.
Based on these results, tests were carried out to study the influence of leaching time on the recovery of europium and yttrium. In Figure 2a, europium and yttrium recoveries are shown at different leaching times. As the leaching time was increased, higher europium and yttrium recoveries were obtained, reaching the maximum recoveries of both metals at 72 h of agitation. Finally, it can be seen that the curve tends to have an asymptotic shape, so at higher values of leaching time, the stabilization of the curve would be expected in practically constant recovery values.
To complement the study of the leaching process, the influence of pulp density was assessed. In Figure 2b, the europium and yttrium recoveries are shown for leaching tests with different percentages of solids at 250 g/L of HNO3 for 48 h of stirring. In the case of europium, the recovery decreases from 95% to values of 14% and 4% for a pulp density of 20% and 30%, respectively. On the other hand, yttrium recoveries decrease from 86% to 25% and 8% for pulp densities of 20% and 30%, respectively.
Once the leaching conditions were optimized, the solvent extraction stage was carried out in order to separate the europium and yttrium in the organic phase of the aqueous phase, considering that europium is a light rare earth and yttrium is a heavy rare earth. This classification is according to the atomic masses of the rare earths. In the case of yttrium, there is a phenomenon called lanthanide contraction, which consists in the atomic radius contraction, making this element a heavy rare earth [16]. The n-heptane was used as the organic diluent, and the following substances were used as extractants: di-(2-ethylhexyl) phosphoric acid (DEHPA), tributyl phosphate (TBP), and trioctyl ammonium chloride (Aliquat 336). The ratio between the aqueous phase and the organic phase was 1:1, whereas the contact time between both phases during all of the tests was 10 min. Figure 3 shows the recovery of europium and yttrium in the organic phase.
Figure 3a shows that there is a high preference for yttrium with the three extractants used, with DEHPA being the one that showed the greatest separation factor (8.67) and recovery (90%). In addition, for europium recovery, a separation factor of 0.24 was achieved with DEHPA as the extractant, whereas a separation factor of 0.01 was obtained with TBP. Therefore, any of the tested extractants are suitable for europium recovery from the aquous solution. On the other hand, when observing Figure 3b, an increase in the DEHPA concentration increases the recovery of both elements in the organic phase. For a concentration of 0.5 M, europium recovery was 3% and 80% for yttrium, while for a concnetration 1.5 M, it was 40 and 97%, respectively. The last results are not what is desired, since the aim is to separate both elements in the two phases. For both of the analyzed cases, a concentration of 1 M of DEHPA allowed the balance between a greater extraction of yttrium and a lower co-extraction of europium in the organic phase. A lower concentration of DEHPA implies a lower extraction of europium, while with a higher concentration, there are high extractions of both metals in the organic phase. In addition, although zinc and iron are dissolved in the aqueous solution, they do not affect yttrium extraction at all when DEHPA was used as an extractant. For the entire set of solvent extraction essays, elements such as Zn or Al were not detected in the organic phase after samples analysis via atomic absorbtion. Consequently, the interferences of these elements were considered negligible in this process. This result is in accordance with other works that found DEHPA to be the best substance for yttrium recovery [26]. The results shown in Figure 3a,b suggest that DEHPA is the best extractant for yttrium recovery from the aquous phase, due to the high recovery (90%) and high separation factors (8.67) that this substance presents (see Appendix A, Table A1, Table A2 and Table A3).
Figure 4a shows the purification step of the organic phase (Scrubbing) with HNO3 in order to remove the co-extracted europium. For this, the organic phase was put in contact with an aqueous phase corresponding to solutions of nitric acid at different concentrations.
When increasing the concentration of HNO3, the removal of europium increases. At a concentration of 120 g/L, a removal of europium of 95% is reached with a loss of yttrium in the organic phase of 17%. Then, the yttrium that was contained in the organic phase, which was previously purified, was re-extracted into a new aqueous phase. So, solutions of different concentrations of hydrochloric acid were used in order to analyze the influence of the concentration of acid in the percentage of yttrium re-extraction. In Figure 4b, it can be observed how the re-extraction of yttrium varies with increasing HCl concentrations from 50 g/L to 300 g/L. Yttrium recovery of 95% is obtained with an HCl concentration of 300 g/L. Lower concentrations of HCl do not allow acceptable yttrium recoveries toward a new aqueous phase.
Finally, the yttrium was precipitated from the aqueous phase with the addition of oxalic acid at a pH of 1.5. The pH was regulated with the addition of sodium hydroxide, and the amount of oxalic acid was four times higher than the stoichiometric value. With these conditions, a 99% precipitation of the yttrium contained in the purified aqueous phase was achieved. Subsequently, the product precipitated in the form of yttrium oxalate was calcined for 2 h at 600 °C to transform it to yttrium oxide with a purity of 68% [29]. The recovery of yttrium oxalate that was acomplished during the precipitation stage is very similar to those that have been carried out in other works [27]. Nevertheless, in contrast with other works, solvent extraction and srcubbing stages were implemented in order to separate yttrium from other impurities. In addition, a calcination step is essential for transforming yttrium oxalate to yttrium oxide, which is a commercial salt. It should be noted that this product can be sold commercially (see Table S1, Figures S2–S4).
In Figure 5, a process flow diagram for yttrium recovery is proposed. The best conditions that were found in this research were employed in the design of the process flow diagram. As other publications, this process incorporates a complete study of all of the parameters related to leaching with acids. Pulp density attracted special attention, since the more CRT powder that is treated, the more profitable the extraction of yttrium. Nevertheless, in the present proposed process, unlike other research studies [27,28], a precipitation step is suggested for yttrium recovery as an oxide, since this salt has a high commercial value.

3.2. Indium Recovery from LCDs

The elemental chemical composition was analyzed by a scanning electron microscopy (SEM) through an X-ray analyzer. Through this analysis, the presence of indium was verified on the LCD panel. From this analysis, a surface section of the LCD panel was considered and the results obtained from chemical composition are semiquantitative. Characterization carried out by X-ray diffraction (XRD) was impossible, since the diagram obtained shows that the LCD panel is an amorphous material, so a chemical analysis was carried out using X-ray fluorescence (FRX). The chemical characterization of the powder that was carried out by an X-ray fluorescence analysis is shown in Table 2.
From the results obtained by X-ray fluorescence, the presence of silicon is observed, because the panel is constituted by silicon dioxide (SiO2), calcium, strontium, and magnesium. These elements are part of the glass, since these they are fluxes that lower the panel melting point. In addition, 0.03% of indium was obtained, which corresponds to 300 mg/g of the panel. For the recovery of indium from the LCD screens, the screens were powdered up to a particle size of 274 μm. The powder obtained was subjected to acid leaching in order to dissolve the indium. For this purpose, the concentration of the leaching agents, the leaching time, and the percentage of solids were varied, as shown in Figure 6.
In Figure 5a, it is observed that there is not much difference as far as the use of the leaching agent is concerned. However, the use of H2SO4 is preferable, since indium sulfate is easier to transform into indium oxide in later stages. Another aspect to keep in mind is that when the percentage of solids varies, the recovery of indium in solution does not fall below 90%. In Figure 6b, an indium recovery of 98% is observed at 8 h when H2SO4 is used, while 8 h is required to recover 94% of the indium when HCl is used as a leaching agent. It was also determined that at the time of 2 h of leaching, the recovery of other elements such as iron and aluminum was 24% and 4%, respectively. If the leaching time is increased, the dissolution of these elements also increases, so it is recommended to not exceed the leaching time beyond 4 h.
For the solvent extraction stage, di-(2-ethylhexyl) phosphoric acid (DEHPA) and tributyl phosphate (TBP) were used as extractants, whereas diesel and n-hexane were used as diluents. The pH in all of the assays was maintained at 1.7, and the contact time in all of the cases was 10 min. In Figure 7, the results obtained with both diluents are shown.
At a pH value lower than 1.7, a preferred extraction of other metals such as Fe2+ and Al3+ is observed instead of In3+ ions. On the other hand, the high content of H+ ions present at this pH prevents the ln3+ ion from being captured [30] and displaces the equilibrium to the left in the extraction reaction of indium, decreasing the extraction of it [31]. Therefore, a pH value of 1.7 was chosen, where a substantial increase in the extraction of indium is observed in the organic phase, reaching an average extraction of 99%. This phenomenon is due to the decrease in the concentration of H+ ions, with the extraction of indium being favored according to Le Chatelier’s principle. Finally, it can be observed that the extraction of Fe2+ and Al3+ decreases at pH = 1.7, since there is a hydrolysis of the Fe2+ and Al3+ ions, which makes extraction difficult [30]. From Figure 7a,b, it is determined that the best extractant is di-(2-ethylhexyl) phosphoric acid (DEHPA) with diesel as the diluent, since with the employment of TBP, indium recoveries are lower than those obtained with DEHPA. In addition, iron and aluminum don’t affect indium extraction, although they diffuse to the organic phase. In the case of iron, a 46% recovery in the organic phase was obtained. This finding is similar to the results obtained by Yang et al. [26], since they found that 1 M of Cyanex 923 is the extractant that is required for indium extraction with a 47% iron removal. Unlike the group of Yang et al., the selected extractant in this research for indium recovery was DEHPA, which is suitable as well for rare earths extraction.
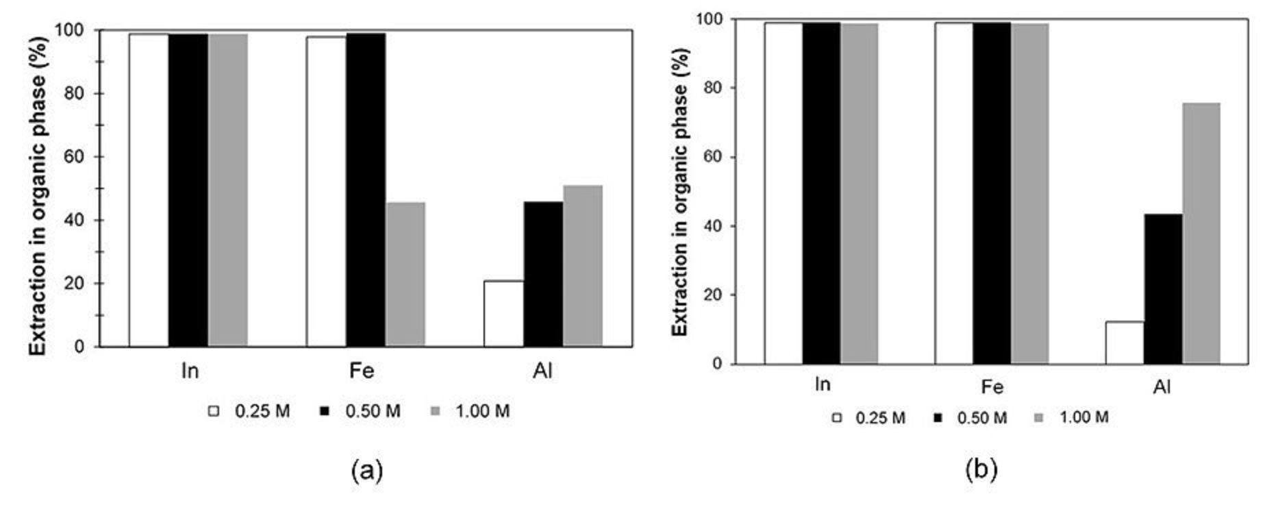
Figure 8 shows how the extraction of indium, iron, and aluminum with DEHPA at different concentrations occur. As it can be seen in Figure 8a, the recovery of indium is high when the concentration of DEHPA varies from 0.25 mol/L to 1.00 mol/L, regardless of whether diesel or n-hexane is used as the diluent. In the case of iron, when the concentration of the extractant is increased to 1.00 mol/L with diesel, the recovery is 50%. When n-hexane is used, the recovery of iron did not undergo any variation when increasing the concentration of DEHPA. Finally, in the case of aluminum, it is observed that when the concentration of the extractant increased the recovery of aluminum in the organic phase, it also increased with both diluents. Thus, for the solvent extraction stage, it is recommended to use DEHPA as an extractant with a concentration of 0.25 mol/L with diesel as a diluent, because it is less expensive than n-hexane.
For the re-extraction stage, the organic phase was diluted to allow a better diffusion of the indium to the aqueous phase constituted by the concentrated H2SO4 solution. Figure 9 shows the results of re-extraction at different H2SO4 concentrations.
The ratio between the aqueous phase and organic phase was six, and the contact time between both phases was 5 min. An increase in the recovery of all of the metals is observed when increasing the H2SO4 concentration from 6 mol/L to 10 mol/L. Therefore, a concentration of 8 mol/L of H2SO4 was chosen to obtain a recovery of 95% of indium, diminishing the re-extractions of iron and aluminium to 37% and 6%, respectively. Afterwards, the solution was evaporated in order to precipitate the indium sulfate. The precipitated solid was subjected to calcination for 2 h at 700 °C to obtain indium oxide (see Figure S5). In Figure 10, a process flow diagram is shown for indium oxide recovery from LCD panels. Similar to other research studies, this process incorporates the solvent extraction step, which is essential for indium separation from LCD impurities such as iron and aluminum. In contrast with other works [26], this process combines a solvent extraction step and a precipitation for the recovery of indium oxide, which is a salt of great commercial value.

4. Conclusions

The recovery of rare earths from WEEE is feasible by the hydrometallurgical route, using for this purpose processes such as: acid leaching, solvent extraction, and precipitation. It should be noted that the WEEE from which it is desired to extract the rare earths must be pulverized in order to release the elements of interest.
In the case of europium and yttrium dissolution from the CTRs, the best leaching agent turned out to be HNO3 at 250 g/L of concentration. Leaching tests demonstrated that leaching times longer than 24 h allow higher recoveries, because there is a longer contact time between the nitric acid and the components of the coating powder that may be dissolved. Similarly, higher amounts of other metals such as zinc make it necessary to increase the leaching time to dissolve rare earths. In addition, when pulp density increases, the solution is saturated with the formed europium and yttrium nitrates. On the other hand, the reduction of the acid/powder ratio can also negatively influence rare earths dissolution, since there is less formation of soluble products, and therefore lower recoveries.
The solvent extraction stage was carried out with DEHPA at a concentration of 0.5 mol/L with a contact time of 5 min and using n-heptane as a diluent. Subsequently, a purification step of the organic phase was carried out with HNO3 of 120 g/L concentration to extract the europium. Finally, the re-extraction of yttrium was carried out in the aqueous phase using HCl of 300 g/L concentration. The yttrium precipitation was carried out with four times the stoichiometric amount of oxalic acid, and the solid obtained was calcined at 600 °C for 2 h to obtain yttrium oxide of 68% purity.
For the extraction of indium from the LCD screens, H2SO4 leaching agent was used at a concentration of 90 g/L at 20% solids for 4 h. The extraction by solvents was carried out with the DEHPA extractant at a concentration of 0.50 mol/L with diesel as the diluent. The contact time was 10 min, and the aqueous phase–organic phase ratio was 1. For the re-extraction, H2SO4 was used at a concentration of 10 mol/L with a contact time of 5 min. Finally, when the solution evaporated, the precipitated indium was obtained in the form of sulfate, which was calcined at 700 °C for 2 h to obtain indium oxide.

Supplementary Materials

The following are available online at https://www.mdpi.com/2075-4701/8/10/777/s1, Figure S1: CRT powder SEM image, Figure S2: Yttrium oxide SEM image, Figure S3: Yttrium oxide chemical characterization with SEM, Figure S4: Yttrium oxide diffractogram obtained after calcination, Figure S5: Indium oxide diffractogram obtained after calcination, Table S1: Yttrium oxide characterization.

Author Contributions

Conceptualization, E.T.; Data curation, S.G.; Formal analysis, S.G.; Investigation, C.R. and E.V.; Methodology, C.R. and E.V.; Project administration, E.T.; Writing—original draft, S.G.; Writing—review & editing, S.G.

Funding

This research was funded by the Project PIS 039 12 of the Escuela Politécnica Nacional, which was executed in the Department of Extractive Metallurgy.

Acknowledgments

The authors address their thanks to the Escuela Politécnica Nacional for the support in the development of the present research.

Conflicts of Interest

The authors declare no conflict of interest. The funders had no role in the design of the study; in the collection, analyses, or interpretation of data; in the writing of the manuscript, or in the decision to publish the results.

Appendix A

Appendix A.1. Analysis of Europium and Yttrium by Disintegration in a Microwave Oven

Disintegration in a microwave oven is a technique that allows the dissolution, in an aqueous phase, of a solid sample in order to determine the concentration of the metals present in the sample by means of the atomic absorption technique. To carry out the disintegration, a Samsung microwave oven was used. He procedure followed for the disintegration of the tailings obtained in the leaching process is detailed [32]:
  • The tailings were dried in a stove, at 110 °C for 24 h.
  • 0.1 g of the dry tailings was weighed and placed in a Teflon reactor.
  • 3 mL of HNO3 and 3 mL of HF were added.
  • The reactor was sealed and it was taken to the microwave oven where it was left for 2.5 min at medium power.
  • The reactor was cooled to 30 min.
  • The reactor was opened and 5 mL of HCl was added.
  • The reactor was sealed and it was taken to the microwave oven for a time of 2.5 min at medium power.
  • The reactor was cooled to 30 min.
  • The content of the reactor was placed in a flask and adjusted to a volume of 50 mL
The solution obtained by disintegration of the tailings was analyzed by atomic absorption spectrometry to determine the concentration of europium and yttrium in solution, with these data the respective metallurgical balance was completed in each of the tests carried out.

Appendix A.2. Analysis of Indium by Disintegration in a Microwave Oven

In this case, 100 mg of sample were weighed and put in a closed Teflon reactor. Then 3 mL of HNO3 and 3 mL of HF were added to the sample and the mixture was taken to a Samsung microwave oven with a power of 50 W in a lapse of 2.5 min. Afterwards the sample was cooled for 40 min. Then, 5 mL of HCl was added to the reactor and introduced into the microwave for 2.5 min and power of 50 W. Once the process was completed, the solution was adjusted to 100 mL. Finally, the disaggregated solutions to be analyzed were sent by atomic absorption spectrophotometry.

Appendix A.3. Examples of Metallurgical Balance in Solvent Extraction Process

Table A1. Europium and yttrium recovery and separation factor with DEHPA
Table A1. Europium and yttrium recovery and separation factor with DEHPA
Conditions
ExtractantDEHPA
Concentration1 M
Diluentn-heptane
Ratio A/O1
Contact time10 min
Mass Balance in Solvent Extraction
VolumeY (mg/L)Y (mg)Distribution (%)
Aqueous phase (mL)15.00910.0013.6510.34
Organic phase (mL)15.007 890.00118.3589.66
132.00100.00
Separation factor of Y8.67
Recovery of Y89.66%
VolumeEu (mg/L)Eu (mg)Distribution (%)
Aqueous phase (mL)15.00481.007.2180.70
Organic phase (mL)15.00115.001.7219.30
8.94100.00
Separation factor of Eu0.24
Recovery of Eu19.30%
Table A2. Europium and yttrium recovery and separation factor with TBP.
Table A2. Europium and yttrium recovery and separation factor with TBP.
Conditions
ExtractantTBP
Concentration1 M
Diluentn-heptane
Ratio A/O1
Contact time10 min
Mass Balance in Solvent Extraction
VolumeY (mg/L)Y (mg)Distribution (%)
Aqueous phase (mL)15.005 170.0077.5558.75
Organic phase (mL)15.003 630.0054.4541.25
132.00100.00
Separation factor of Y0.70
Recovery of Y41.25%
VolumeEu (mg/L)Eu (mg)Distribution (%)
Aqueous phase (mL)15.00588.008.8298.66
Organic phase (mL)15.008.000.121.34
8.94100.00
Separation factor of Eu0.01
Recovery of Eu1.34%
Table A3. Europium and yttrium recovery and separation factor with Aliquat 336.
Table A3. Europium and yttrium recovery and separation factor with Aliquat 336.
Conditions
ExtractantAliquat 336
Concentration1 M
Diluentn-heptane
Ratio A/O1
Contact time:10 min
Mass Balance in Solvent Extraction
VolumeY (mg/L)Y (mg)Distribution (%)
Aqueous phase (mL)15.006 070.0091.0569.93
Organic phase (mL)15.002 610.0039.1530.07
130.20100.00
Separation factor of Y0.43
Recovery of Y30.07%
VolumeEu (mg/L)Eu (mg)Distribution (%)
Aqueous phase (mL)15.00530.007.9596.01
Organic phase (mL)15.0022.000.333.99
8.28100.00
Separation factor of Eu0.04
Recovery of Eu3.99%

References

  1. Kahhat, R.; Kim, J.; Xu, M.; Allenby, B.; Williams, E.; Zhang, P. Exploring e-waste management systems in the United States. Resour. Conserv. Recycl. 2008, 52, 955–964. [Google Scholar] [CrossRef]
  2. Ongondo, F.O.; Williams, I.D.; Cherrett, T.J. How are WEEE doing? A global review of the management of electrical and electronic wastes. Waste Manag. 2011, 31, 714–730. [Google Scholar] [CrossRef] [PubMed]
  3. Babu, B.R.; Parande, A.K.; Basha, C.A. Electrical and electronic waste: A global environmental problem. Waste Manag. Res. 2007, 25, 307–318. [Google Scholar]
  4. Barba, Y.; Adenso, B.; Hopp, M. An analysis of some environmental consequences of European electrical and electronic waste regulation. Resour. Conserv. Recycl. 2008, 52, 481–495. [Google Scholar] [CrossRef]
  5. Constantino, F.; De Minicis, M.; Di Gravio, G. Analytic network process for WEEE reverse logistics networks. In Proceedings of the 13th International Symposium on Logistics, Bagkok, Thailand, 6–8 July 2008; Centre for Concurrent Enterprise: Nottingham, UK, 2008. [Google Scholar]
  6. Herat, S. Recycling of cathode ray tubes (CRTs) in electronic waste. Clean-Soil Air Water 2008, 36, 19–24. [Google Scholar] [CrossRef]
  7. Cui, J.; Zhang, L. Metallurgical recovery of metals from electronic waste: A review. J. Hazard. Mater. 2008, 158, 228–256. [Google Scholar] [CrossRef] [PubMed]
  8. Oguchi, M.; Sakanakura, H.; Terazono, A.; Takigami, H. Fate of metals contained in waste electrical and electronic equipment in a municipal waste treatment process. Waste Manag. 2012, 32, 92–103. [Google Scholar] [CrossRef] [PubMed]
  9. Méar, F.; Yot, P.; Cambon, M.; Ribes, M. The characterization of waste cathode-ray tube glass. Waste Manag. 2006, 26, 1468–1476. [Google Scholar] [CrossRef] [PubMed]
  10. Romero, J.L.; McCord, S.A. Rare Earth Elements: Procurement, Application, and Reclamation. Available online: https://prod.sandia.gov/techlib-noauth/access-control.cgi/2012/126316.pdf (accessed on 8 September 2018).
  11. Henderson, P. Rare Earth Element Geochemistry, 3rd ed.; Elsevier: London, UK, 1984; pp. 380–410. [Google Scholar]
  12. Sinha, S. Complexes of the Rare Earths, 4th ed.; Elsevier: Geneva, Switzerland, 1966; pp. 17–81. [Google Scholar]
  13. Humphries, M. Rare Earth Elements: The Global Supply Chain; CRS Report for Congress: Washington, DC, USA, 2013. [Google Scholar]
  14. Golev, A.; Scott, M.; Erskine, P.D.; Ali, S.H.; Ballantyne, G.R. Rare earths supply chains: Current status, constraints and opportunities. Resour. Policy 2014, 41, 52–59. [Google Scholar] [CrossRef]
  15. Jordens, A.; Cheng, Y.P.; Waters, K.E. A review of the beneficiation of rare earth element bearing minerals. Miner. Eng. 2013, 41, 97–114. [Google Scholar] [CrossRef]
  16. Gupta, C.; Krishnamurthy, N. Extractive Metallurgy of Rare Earths, 2nd ed.; CRC PRESS: Boca Raton, FL, USA, 2015; pp. 280–340. [Google Scholar]
  17. Zepf, V. An Overview of the Usefulness and Strategic Value of Rare Earth Metals. In Rare Earths Industry, 1st ed.; Borges de Lima, I., Leal Filho, W., Eds.; Elsevier Inc.: Boston, MA, USA, 2016; pp. 3–17. ISBN 978-0-12-802328-0. [Google Scholar]
  18. Peelman, S.; Sun, Z.H.I.; Sietsma, J.; Yang, Y. Leaching of Rare Earth Elements. In Rare Earths Industry, 1st ed.; Borges de Lima, I., Leal Filho, W., Eds.; Elsevier: Boston, MA, USA, 2015; pp. 319–334. ISBN 978-0-12-802328-0. [Google Scholar]
  19. Alex, P.; Suri, A.K.; Gupta, C.K. Processing of xenotime concentrate. Hydrometallurgy 2001, 50, 331–338. [Google Scholar] [CrossRef]
  20. Zhuang, X.; He, W.; Li, G.; Huang, J.; Ye, Y. Materials separation from waste liquid crystal displays using combined physical methods. Pol. J. Environ. Stud. 2012, 21, 1921–1927. [Google Scholar]
  21. Yang, J. Recovery of Indium from End-of-Life Liquid Crystal Displays. Bachelor’s Thesis, Thesis for the Degree of Licentiate of Engineering. Chalmers University of Technology, Gothenburg, Sweden, May 2012. [Google Scholar]
  22. Cook, N.J.; Ciobanu, C.L.; Williams, T. The mineralogy and mineral chemistry of indium in sulphide deposits and implications for mineral processing. Hydrometallurgy 2011, 108, 226–228. [Google Scholar] [CrossRef]
  23. Tolcin, A.C. Mineral Commodities Summary 2016: Indium. US Geol. Surv. 2016, 703, 80–81. [Google Scholar]
  24. Koleini, S.M.J.; Mehrpouya, H.; Saberyan, K.; Abdolahi, M. Extraction of indium from zinc plant residues. Miner. Eng. 2010, 23, 51–53. [Google Scholar] [CrossRef]
  25. Alfantazi, A.M.; Moskalyk, R.R. Processing of indium: A review. Miner. Eng. 2003, 16, 687–694. [Google Scholar] [CrossRef]
  26. Yang, J.; Retegan, T.; Steenari, B.; Ekberg, C. Recovery of indium and yttrium from Flat Panel Display waste using solvent extraction. Sep. Purif. Technol. 2016, 166, 117–124. [Google Scholar] [CrossRef]
  27. De Michelis, I.; Ferella, F.; Varelli, E.; Vegliò, F. Treatment of exhaust fluorescent lamps to recover yttrium: Experimental and process analyses. Waste Manag. 2011, 31, 2559–2568. [Google Scholar] [CrossRef] [PubMed]
  28. Innocenzi, V.; De Michelis, I.; Ferella, F.; Vegliò, F. Recovery of yttrium from cathode ray tubes and lamps’ fluorescent powders: Experimental results and economic simulation. Waste Manag. 2013, 33, 2390–2396. [Google Scholar] [CrossRef] [PubMed]
  29. Jorjani, E.; Shahbazi, M. The production of rare earth elements group via tributyl phosphate extraction and precipitation stripping using oxalic acid. Arabian J. Chem. 2016, 9, S1532–S1539. [Google Scholar] [CrossRef]
  30. Li, X.; Deng, Z.; Li, C.; Wei, C.; Li, M.; Fan, G.; Rong, H. Direct solvent extraction of indium from a zinc residue reductive leach solution by D2EHPA. Hydrometallurgy 2015, 156, 1–5. [Google Scholar] [CrossRef]
  31. Ritcey, M.; Ashbrook, W. Solvent Extraction: Principles and Applications to Process Metallurgy, 1st ed.; Elsevier: Michigan, IN, USA, 1984; pp. 1–362. ISBN 0444417516. [Google Scholar]
  32. Morales, D. Procesamiento de un Mineral Aurifero Refractario para la Recuperacion de oro. Bachelor’s Thesis, Thesis for the Degree of Licentiate of Chemical Engineering. Escuela Politécnica Nacional, Quito, Ecuador, 10 February 2011. [Google Scholar]
Figure 1. (a) Recovery of europium and yttrium with different leaching agents after 24 h of stirring and 10% of solids; (b) Recovery of europium and yttrium at different concentrations of HNO3 (10% of solids and 24 h of agitation).
Figure 1. (a) Recovery of europium and yttrium with different leaching agents after 24 h of stirring and 10% of solids; (b) Recovery of europium and yttrium at different concentrations of HNO3 (10% of solids and 24 h of agitation).
Metals 08 00777 g001
Figure 2. (a) Recovery of europium and yttrium with HNO3 at 250 g/L and 10% of solids; (b) Recovery of europium and yttrium at different percentages of solids with HNO3 at 250 g/L for 48 h of agitation.
Figure 2. (a) Recovery of europium and yttrium with HNO3 at 250 g/L and 10% of solids; (b) Recovery of europium and yttrium at different percentages of solids with HNO3 at 250 g/L for 48 h of agitation.
Metals 08 00777 g002
Figure 3. (a) Recovery of europium and yttrium in the organic phase with different extractant agents (extractants concentration in n-heptane: 1 M); (b) Recovery of europium and yttrium at different concentrations of di-(2-ethylhexyl) phosphoric acid (DEHPA).
Figure 3. (a) Recovery of europium and yttrium in the organic phase with different extractant agents (extractants concentration in n-heptane: 1 M); (b) Recovery of europium and yttrium at different concentrations of di-(2-ethylhexyl) phosphoric acid (DEHPA).
Metals 08 00777 g003
Figure 4. (a) Removal of europium with HNO3; (b) Re-extraction of yttrium with HCl.
Figure 4. (a) Removal of europium with HNO3; (b) Re-extraction of yttrium with HCl.
Metals 08 00777 g004
Figure 5. Process flow diagram for yttrium oxide recovery from CRT powder.
Figure 5. Process flow diagram for yttrium oxide recovery from CRT powder.
Metals 08 00777 g005
Figure 6. (a) Influence of the percentage of solids in the recovery of indium with H2SO4 and HCl; (b) Influence of the leaching time in the recovery of indium with H2SO4 and HCl (20% of solids).
Figure 6. (a) Influence of the percentage of solids in the recovery of indium with H2SO4 and HCl; (b) Influence of the leaching time in the recovery of indium with H2SO4 and HCl (20% of solids).
Metals 08 00777 g006
Figure 7. (a) Recovery of In, Fe, and Al with DEHPA (1.0 M, pH = 1.7) with n-hexane and diesel as diluents; (b) Recovery of In, Fe and Al with tributyl phosphate (TBP) (1.0 M, pH = 1.7) with n-hexane and diesel as diluents.
Figure 7. (a) Recovery of In, Fe, and Al with DEHPA (1.0 M, pH = 1.7) with n-hexane and diesel as diluents; (b) Recovery of In, Fe and Al with tributyl phosphate (TBP) (1.0 M, pH = 1.7) with n-hexane and diesel as diluents.
Metals 08 00777 g007
Figure 8. (a) Recovery of In, Fe, and Al with DEHPA and diesel; (b) Recovery of In, Fe, and Al with DEHPA and n-hexane.
Figure 8. (a) Recovery of In, Fe, and Al with DEHPA and diesel; (b) Recovery of In, Fe, and Al with DEHPA and n-hexane.
Metals 08 00777 g008
Figure 9. Influence of the concentration of H2SO4 on the re-extraction of indium.
Figure 9. Influence of the concentration of H2SO4 on the re-extraction of indium.
Metals 08 00777 g009
Figure 10. Process flow diagram for indium oxide recovery from LCD panels.
Figure 10. Process flow diagram for indium oxide recovery from LCD panels.
Metals 08 00777 g010
Table 1. Elemental chemical composition of coating powder with an X-ray analyzer in SEM.
Table 1. Elemental chemical composition of coating powder with an X-ray analyzer in SEM.
MetalComposition (%)
Eu1.5
Y8.5
Zn24.2
Al9.3
Ti1.3
Nb2.6
Pb7.1
Na11.9
S13.7
Table 2. Elemental chemical composition of the liquid crystal display (LCD) panel using X-ray fluorescence (FRX).
Table 2. Elemental chemical composition of the liquid crystal display (LCD) panel using X-ray fluorescence (FRX).
ElementComposition (%)
Si25.40
Al7.55
Ca4.70
Sr3.70
Mg0.90
Cl0.10
Sn0.09
Fe0.08
P0.05
In0.03

Share and Cite

MDPI and ACS Style

De la Torre, E.; Vargas, E.; Ron, C.; Gámez, S. Europium, Yttrium, and Indium Recovery from Electronic Wastes. Metals 2018, 8, 777. https://doi.org/10.3390/met8100777

AMA Style

De la Torre E, Vargas E, Ron C, Gámez S. Europium, Yttrium, and Indium Recovery from Electronic Wastes. Metals. 2018; 8(10):777. https://doi.org/10.3390/met8100777

Chicago/Turabian Style

De la Torre, Ernesto, Estefanía Vargas, César Ron, and Sebastián Gámez. 2018. "Europium, Yttrium, and Indium Recovery from Electronic Wastes" Metals 8, no. 10: 777. https://doi.org/10.3390/met8100777

APA Style

De la Torre, E., Vargas, E., Ron, C., & Gámez, S. (2018). Europium, Yttrium, and Indium Recovery from Electronic Wastes. Metals, 8(10), 777. https://doi.org/10.3390/met8100777

Note that from the first issue of 2016, this journal uses article numbers instead of page numbers. See further details here.

Article Metrics

Back to TopTop