Abstract
Electrical and electronics equipment and automotive and industrial catalysts are some examples of top technological devices whose functioning rely on the use of platinum-group metals (PGMs). The PGMs’ high economic value and difficult to replace technological properties, together with their scarcity in the Earth’s crust, justify concerns about their critical condition and reinforce the importance of developing recycling practices for PGM end-of-life materials. This article presents and discusses recent advances regarding the use of hydrometallurgical solvent extraction to recover one PGM, palladium, from spent catalysts. Two different tendencies are implicit in the literature concerning Pd(II) extraction: a few groups focus on the adjustment and optimization of current commercial extractants, while others prefer to design new extracting compounds. Actually, the leach solutions obtained from the treatment of anthropogenic materials generally exhibit different compositions when compared to those coming from the primary resources. The pros and cons of both approaches are critically discussed, and the assumptions backing some of the reported achievements are also appraised.
1. Introduction
The mineral deposits of platinum-group metals (PGMs) are generally limited in the Earth’s surface, and their relative geographical abundance is unevenly distributed worldwide. Accordingly, South Africa (95%) and Russia (2%) are the almost exclusive primary producers of platinum, palladium, and rhodium [1].
PGMs are considered critical raw materials in the last European Union report on the subject, since they are likely to exhibit small deficit supplies in 2020 [2]. This situation arises from the PGMs’ extensive applications, ranging from electrical and electronics equipment to automotive and industrial catalysts, passing through their use in fuel cells, in medicinal and dentistry materials, and in jewelry [3]. The PGMs’ unique properties of good thermal and electrical stability, resistance to corrosion, and low chemical reactivity justify their hard replacement in several utilizations, the wider PGMs application being related with their intrinsic catalytic activity [3]. To prevent ore exhaustion due to current and short-term PGMs demand, and to contribute for the environmental preservation of the planet, the development of recycling practices applied to end-of-life materials containing PGMs (so-called urban mining) is compulsory. The economic factors cannot be neglected as well [4].
Solvent extraction (SX), also known as liquid-liquid extraction, is the conventional unit operation often applied to separate, purify, and concentrate PGMs from leaching solutions when hydrometallurgical recycling is considered [5]. Accordingly, the development of integrated environmentally friendly and cost-effective hydrometallurgical processes for PGMs recycling are usually supported on this separation technique.
Hydrometallurgical SX basically includes an extraction and a stripping stage. In extraction, the feed aqueous phase contacts with an efficient and selective extractant (the component of the organic solvent able to chemically interact with the metal species to be recovered through the formation of ion-pairs, by complexation or by solvation). The loaded solvent is then equilibrated with a stripping aqueous medium, causing the transfer of the metal to the new aqueous solution—Figure 1. Prior to the stripping step, and if some undesired contaminants accumulate in the solvent, contact with a scrubbing solution may additionally be included [5]. Successful SX schemes effectively separate the metal of interest from the impurities, left in the raffinate, and also allow the reutilization of the solvent in successive extraction-stripping cycles, meaning that the solvent did not suffer degradation.
Figure 1.
The solvent extraction scheme applied for metals recovery.
The distribution ratio (D) is one of the main parameters used to evaluate the efficiency of a liquid-liquid extraction process and is defined by the International Union of Pure and Applied Chemistry (IUPAC) as the “total analytical concentration of a substance in the organic phase to its total analytical concentration in the aqueous phase, measured at equilibrium”. To assess the selectivity of a SX system for the metal A over the metal B, for instance, the separation factor (SF or β) of A towards B is defined as DA/DB [5].
A final recovery stage is then necessary to obtain the purified end-product, which can be the metal itself or a salt containing the metal.
There is more interest in the recycling of platinum, palladium, and rhodium from the urban mining, since these three PGMs have a larger worldwide utilization (particularly the former two [3]). Chloride media is traditionally used to solubilize the PGMs, as these solutions show a better performance than others (e.g., nitric or sulfuric acids) [5]. The predominating chlorocomplex species found in acidic and concentrated chloride media for Pt, Pd, and Rh are typically [PtCl6]2−, [PdCl4]2−, and [RhCl6]3−, respectively [5,6,7]. Rh(III) SX is very difficult [8], and the separation of Pt(IV) from Pd(II) is also challenging, as both metals are often co-extracted [5,6,7]. Pt(IV) is almost exclusively recovered through ion-pairs ([PtCl6]2− is inert, being extracted as such), and Pd(II) can be removed either by the formation of ion-pairs and/or by complexation [6,7].
Palladium displays the highest supply and demand values within the above mentioned PGMs [3]. This review comments on the most recent research findings focusing on the SX of Pd(II) from chloride solutions, particularly those envisaging the application of SX systems to the leaches coming from the hydrometallurgical treatment of catalysts, either automotive or industrial, and critically discusses some dubious claims and assumptions found in the literature.
2. Solvent Extraction of Palladium(II)
2.1. Commercial Extractants
The commercial compounds mostly used for Pd(II) recovery by SX are amines, for instance Alamine 300 [9], Alamine 308 [10], Alamine 336 [11], and quaternary ammonium salts, e.g., Aliquat 336 [12]. These extractants have been employed individually or mixed with solvating extractants like tri-n-butylphosphate (TBP) [10,13], tri-n-octylphosphate (TOP), or methylisobutylketone (MIBK) [13]. Moreover, binary extractants based on trioctylammonium chloride and Cyanex 301 (an organophosphorus acid) [14] or dinonylnaphthalenesulfonic acid [15], as well as the hydroxyoxime derivative LIX84I [16,17] have also been investigated. Organophosphorus esters such as Cyanex 921 [18], Cyanex 923 [19], Cyanex 471X [20], and TBP alone [21] have been reported as adequate for extracting Pd(II). A few commercial ionic liquids (ILs), e.g., Cyphos 101 [22,23,24,25,26], Cyphos 102 [24,26,27], Cyphos 104 [23,24,28], Cyphos 105 [26], and hexadecylpyridinium chloride [29] and the two low-toxic fungicides propiconazole and penconazole [30] have been claimed as promising Pd(II) extractants as well.
Amines and ammonium salts typically extract Pd(II) through ion-pairs; accordingly, its separation from Pt(IV) is not easily affordable. A few publications cited above actually aim to achieve the separation of Pt(IV) and Pd(II) [9,13], but the co-existence of Pt and Pd in catalysts urban mining is nevertheless becoming rare. The most recent automotive catalysts mainly contain Pd [4], and its mixtures with Rh are now less frequent. Additionally, industrial catalysts do not usually mix Pt and Pd. The most challenging task in the recovery of Pd from the catalysts is its separation from other metals present in high-fold excesses, such as Al and/or Ce. Even for optimized leaching conditions, there are always excess concentrations of contaminants that may turn the selective recovery of Pd(II) a difficult accomplishment.
This article is not meant to present an exhaustive revision of the literature on the subject, but the sampling of works cited above points out to a general tendency: Any concerns in applying the developed process schemes to the recovery of Pd(II) from catalyst solutions showed up in only a few publications. Furthermore, a recurrent problem in the problematics of PGMs SX is that authors claim the development of promising process schemes that were achieved with model solutions. Of course, such an approach is necessary to investigate and find the best conditions that should be adopted, but in the majority of the cases, authors propose the optimized schemes without testing them with real leaching solutions, and this an important drawback against the advance of knowledge in this field. The point is that real conditions are often more adverse than the simulated ones, as the undesired contaminants are usually more abundant than previewed.
Twenty years ago, Schügerl and collaborators [20] reported their investigation of the extraction of Pd(II) from a leaching solution of catalysts having Pt(IV), Pd(II), and Rh(III) in the presence of a large excess of Fe(III) and lower amounts of Mo, Pb, Cu, Ni, Mn, Co, Cr, Si, Al, and P in 6 M HCl. The Pt(IV) amount was in a four- to 10-fold excess to Pd(II), situation not likely to occur with the most recent automobile catalysts, but they were able to efficiently and selectively extract Pd(II) by Cyanex 471X (triisobutylphosphine sulfide) dissolved in bis(2-ethylhexylphosphoric acid) (D2EHPA). Pd(II) stripping was achieved by a stabilized sodium thiosulfate aqueous phase. The authors produced a concentrated model leaching solution and tested it in a pilot-plant with three operating columns for the recovery of the PGMs by the developed separation scheme, achieving satisfactory results.
Lee and co-workers used a model leaching solution of an automobile catalyst containing Fe(III), Pt(IV), Pd(II), Rh(III), and Ce(III) in 6 M HCl [10], claiming it had a similar composition as the real ones. Probably, only metallic automobile catalysts were involved in the production of such a leaching solution, since Al should have been present if catalysts with ceramic monoliths were considered. The results obtained seem generally encouraging: Pt(IV) and Pd(II) are co-extracted by Alamine 308, the two metals being then separated by selective stripping with acidic thiourea solutions, playing with the relative concentrations of the stripping agent and the aqueous/organic (A/O) ratios. As stressed previously, the test of the overall proposed scheme in a global and sequential way is missing [10].
Ramachandra Reddy and collaborators [17] proposed a process scheme to separate Pd(II) and Pt(IV) from a leaching solution of a first-generation catalyst, which was used 37 years ago for small cars. It is stated that LIX84I is able to selectively and quantitatively extract Pd(II) from a 3 M HCl solution containing Fe, Cr, Mn, Pt and Ni. This data contradicts information published previously [16], in which it was shown that Pd(II) was only quantitatively extracted by LIX84I at pH values surrounding 2–3 (94–97%). Nevertheless, authors advocate that LIX84I only extracts Pd and Cu within Fe, Ni, Zn, and Al at pH 2, Cu being easily scrubbed from the loaded organic phase by dilute sulfuric acid. Pd(II) stripping is accomplished by acidic thiourea solutions. The proposed flowsheet for the separation of all the metals is not clear, since the pH values of all the involved aqueous solutions are not indicated. Accordingly, the overall and objective results obtained for the real catalyst solution by applying the proposed process scheme are missing.
An additional work headed by Ramachandra Reddy presents an alternative process to separate and recover Pd(II) and Pt(IV) from chloride leaching solutions of automobile catalysts [21]. Accordingly, TBP is able to efficiently and selectively separate Pd(II) from a synthetic feed solution with Pt, Cr, Mn, Fe, and Ni. A flowsheet for the developed process is again included, but no tests with real leaches to validate the results obtained with the model solution were carried out.
In sequence of preliminary investigation, Mhaske and Dhadke [18] successfully employed Cyanex 921 to the separation of Pd(II), Pt(IV), and Rh(III) from a synthetic aqueous solution mimicking the leaches coming from the treatment of auto catalysts, with a similar composition as that reported by Schügerl and collaborators [20]. Furthermore, Cyanex 923 has specifically been applied for Pd(II) recovery from leaching solutions of Pd coated alumina and coated ceramic honeycomb catalysts [19]. These latter authors decided to use sulfuric acid instead of HCl, since Pd(II) separation from Al from the latter media was not so successful. They reached good Pd(II) recovery results with 5 M perchloric acid for stripping, but the leaching solutions had less than 20 mg·L−1 of Pd(II), as PGMs do not dissolve easily in other media than chloride. Nevertheless, this is a good example of the application of developed processes to real leaching solutions.
A few research studies have been devoted to the application of commercial ionic liquids to the recovery of Pd(II) from chloride solutions in the last 7–8 years [22,23,24,25,26,27,28,29], aiming the optimization of their extractive performance toward the separation and recovery of several metal ions. Generally, the several ILs investigated, when diluted in toluene, showed a high extractive performance toward Pd(II) recovery (>96%) at 0.1 M HCl only [22,23,28,29], and rather similar results were achieved for Cyphos 101 in xylene [25]. The works carried out by Papaiconomou and collaborators [26,27] have objectively the intention of applying the most promising SX schemes involving ILs to the recycling of PGMs from end-of-life devices such as automobile catalysts. Actually, these authors showed that pure Cyphos 101 and 102 are able to quantitatively separate Pd(II) from Rh(III) from 6–8 M HCl solutions, and afterward, Rh(III) can efficiently be extracted by the same ILs from 4 M or more dilute HCl solutions, for instance [26]. The investigation of suitable agents for the PGMs stripping from the ILs is currently underway [26].
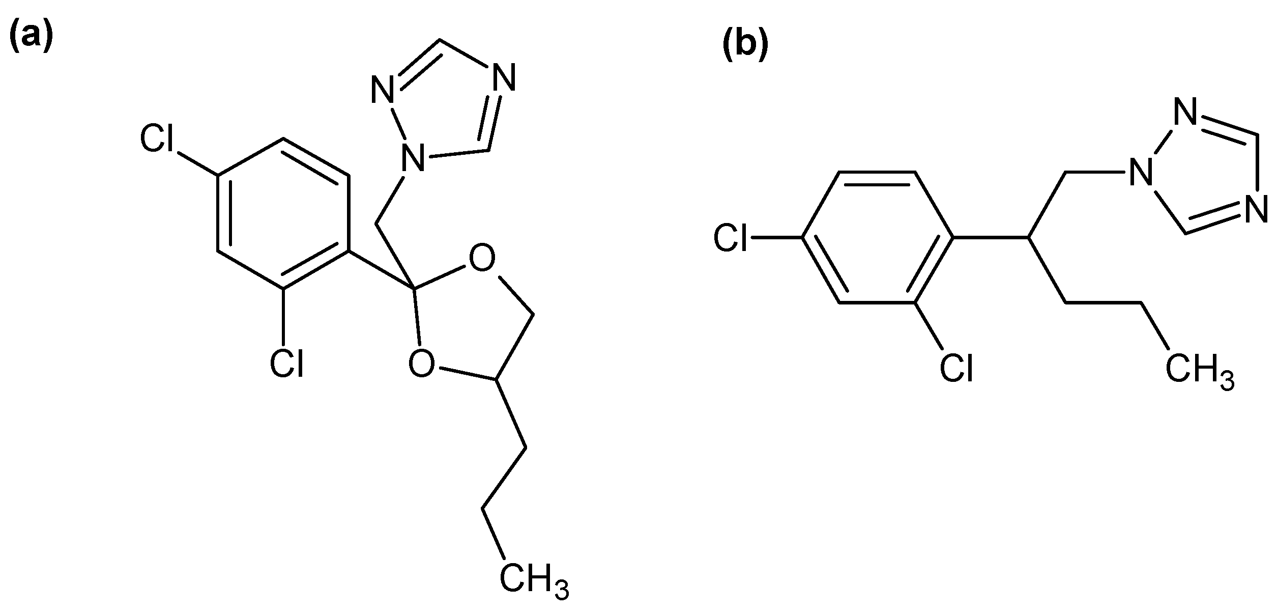
Anpilogova and co-workers [30] state that propiconazole and penconazole, two commercial products widely used in agriculture as low-toxic fungicides—Figure 2—are really efficient and selective to recover Pd(II) from a leach solution of an aluminopalladium catalyst APK-2 applied in the manufacture of nitric acid.
Figure 2.
The structures of the Pd(II) extractants investigated by Anpilogova et al. [30]: (a) propiconazole and (b) penconazole.
Although not producing real leach solutions, the authors did the necessary calculations to prepare model aqueous media containing Al(III) in the amount corresponding to the dissolution of 20% and 40% of Al2O3 and showed that the high Al(III) concentrations did not affect the efficiency of Pd(II) extraction by both compounds (>99.9%). For Pd(II) stripping, the researchers propose a 4 M ammonia solution, which allows the quantitative metal ion recovery. The evaluation of the solvents robustness in practical conditions is nevertheless still necessary, as Al(III) may be co-extracted, therefore inhibiting the compounds action in a few extraction-stripping cycles. An additional basic drawback in the schemes, even considering that the authors mimicked well the real conditions, is the use of chloroform as diluent for penconazole [30]; chlorinated diluents cannot be used in industrial liquid-liquid extraction.
Commercial compounds have the important advantage of being already available in the market. Hence, if a successful utilization of commercial compounds to recover Pd(II) by SX is really achieved, individually or in synergistic mixtures, this would be the ideal situation for an investment by the hydrometallurgical recycling industrialists.
2.2. Synthesized Extractants
When research groups are not motivated by the use of already known commercial extractants and have the capability to produce novel and optimized structures for extractants by themselves, then it is not easy to resist to the temptation of designing and subsequently synthesize potentially promising compounds to be tested for the SX of PGMs.
Several types of organic compounds have been produced for the efficient and selective SX of Pd(II) from complex chloride solutions. There is a broad group of Pd(II) extractants that can be called as “amide derivatives”, although several other structural details are likely to play a determinant role in the metal ion extraction, particularly with the involvement of sulfur atoms (e.g., thioamide and thiocarbamate derivatives). Other families of organic compounds intensively investigated for Pd(II) recovery are sulfoxides and dithioethers, as well as calix[n]arenes with sulfur and/or nitrogen as heteroatoms. The most relevant findings related with all these Pd(II) extractants are described and discussed in sequence.
2.2.1. Extractants Containing Amide Functions
Secondary and tertiary pyridine amides, e.g., [31,32] and fatty imidazoline derivatives [33] are examples of compounds that have been synthesized and investigated for the SX of Pd(II) from chloride media. These studies focused essentially on fundamental aspects of the extractive behavior, namely the assessment of the suitability of the extractants to recover Pd(II) along a broad range of HCl concentrations, some particular structural aspects favoring the extractive process [31,32], selectivity for Pd(II) extraction when in presence of other metals such as Pt(IV), Cu(II), Pb(II), and Fe(III) [32], and Fe(III), Cu(II), and Co(II) [33], and finally the identification of the involved extraction reactions and characterization of the Pd(II) species in the organic phases [31,32,33]. An acidified thiourea aqueous solution has been efficiently used to strip Pd(II) from the imidazoline derivatives [33], but apparently, all these compounds have not been further explored for potential utilization for the treatment of real leaching solutions.
Sulfur-functionalized amide derivatives have also been cautiously investigated by Narita and co-workers for Pd(II) extraction, e.g., [34,35]. The researchers showed that several sulfide-containing monoamide compounds, namely those depicted in Figure 3, extract Pd(II) over a large HCl concentration range, and easily release the metal ion by contact with a concentrated ammonia solution. Furthermore, high separation factors are achieved for Pd(II) when it co-exists with equivalent amounts of Pt(IV), Rh(III), Fe(III), Cu(II), Zn(II), and Ni(II) for HCl concentrations until 5 M [34]. All the extractants are soluble in 80% n-dodecane, 20% 2-ethylhexanol (v/v), hence turning the solvents adequate for practical purposes. The interpretation of the distribution and spectroscopic data points out to the predominant existence of inner-sphere Pd(II) complexes of the type [PdCl2L2] (L = sulfide containing monoamide). The direct application of these SX systems to selectively extract Pd(II) from real leaching solutions of end-of-life catalysts has not been carried out to date, and it would surely be worthwhile.
Figure 3.
The structures of the Pd(II) extractants investigated by Narita et al. [35].
Diamide derivatives have also been acutely explored as SX agents to recover Pd(II). One of the first works published about the extraction characteristics of these compounds toward PGMs [36] points out to the importance of including an additional heteroatom within the two amide groups, either oxygen or sulfur, to effectively extract Pd(II). In fact, a few N,N,N′,N′-tetrasubstituted malonamide [37,38] and succinamide [39] derivatives showed a general good affinity toward Pt(IV) extraction but a much more limited performance concerning Pd(II).
Several diamides possessing sulfur atoms within the two amide groups have been developed with the goal of achieving an efficient and selective Pd(II) recovery from complex chloride solutions. Accordingly, a number of works appeared in literature regarding the investigation of the Pd(II) extraction performance by N,N,N′,N′-tetrasubstituted thio- and dithio-diglycolamides, usually abbreviated by TDGA and DTDGA, respectively. The main data collected from some of the most relevant publications dealing with Pd(II) extraction by this sort of derivatives are summarized in Table 1. The general structures of the TDGA and DTDGA derivatives are represented in Figure 4.
Table 1.
Pd(II) extraction by N,N,N′,N′-tetrasubstituted thio- and dithio-diglycolamides (TDGA and DTDGA, respectively).
Figure 4.
The general structures of TDGAs and DTDGAs (N,N,N′,N′-tetrasubstituted thio- and dithio-diglycolamides, respectively).
Narita and collaborators published the first articles reporting the adequacy of thiodiglycolamide derivatives for Pd(II) extraction [36,40,49]. Generally, N,N′-dimethyl-N,N′-dioctyl-TDGA [49], N,N′-dimethyl-N,N′-diphenyl-TDGA [36] and N,N,N′,N′-tetra-n-octyl-TDGA [40] extract Pd(II) quantitatively over a wide range of HCl concentrations, and N,N,N′,N′-tetra-n-octyl-TDGA shows an outstanding selectivity to recover Pd(II) from complex mixtures containing Pt(IV), Rh(III), Fe(III), Cu(II), Ni(II) and Zn(II) until 3 M HCl, as Pt(IV) and Fe(III) are increasingly extracted for more concentrated HCl aqueous phases [40]. Ammonia solutions stripped Pd(II) efficiently, although some unsuccessful cases were registered. Therefore, good perspectives were actually open to test these compounds to recover Pd(II) from complex solutions, since promising Pd(II) loading capacities and high resistance to oxidation were verified for N,N,N′,N′-tetra-n-octyl-TDGA [40]. Consequently, other research groups continued to invest on synthesizing additional TDGAs with different alkyl groups, as these syntheses are not complicated.
Huang and collaborators showed that N,N′-dimethyl-N,N′-didecyl-TDGA is only efficient to extract Pd(II) above 4 M HCl (D ≥ 5), but Pt(IV) and Fe(III) are significantly co-extracted at those higher HCl concentrations, both with maximum D values varying between 2 and 3 [42]. Therefore, the increase of the length of the fatter alkyl substituents does not seem to be a good option. Paiva and co-workers thoroughly investigated the performance of N,N′-dimethyl-N,N′-dicyclohexyl-TDGA toward Pd(II) and Pt(IV), formerly in 1,2-dichloroethane (1,2-DCE) [43], later on in toluene [44]. Pd(II) is quantitatively extracted from 1 to 8 M HCl when the extractant is dissolved in 1,2-DCE, but it decreases above 6 M HCl when toluene is employed as diluent (D ≈ 3 at 7.5 M HCl). The Pd(II) selectivity factors achieved for 4 M and 6 M HCl complex solutions containing Pt(IV), Rh(III), Fe(III) and Al(III) point out to the fact that Fe(III) co-extraction does not affect the Pd(II) distribution ratios, Fe(III) being efficiently removed from the organic phases by a scrubbing step with water. Pt(IV) is slightly co-extracted; nevertheless, the most important result is the absence of Al(III) extraction [44], since this element usually predominates when catalysts leaching solutions are involved. N,N′-dimethyl-N,N′-dibutyl-TDGA has also been tested under similar conditions as N,N′-dimethyl-N,N′-dicyclohexyl-TDGA [50], but it generally showed poorer Pd(II) extraction and selectivity performances, hence suggesting that shorter lengths of the fatter alkyl substituents lead to worse Pd(II) recovery figures. Pd(II) stripping from N,N′-dimethyl-N,N′-dibutyl-TDGA has similarly been successfully achieved with acidic thiourea solutions [50].
Regarding the involved Pd(II) extraction reactions by the investigated TDGA and DTDGA derivatives, the data displayed in Table 1 indicates the preferential formation of inner-sphere complexes.
Further experiments were carried out to check the extraction behavior of N,N′-dimethyl-N,N′-dicyclohexyl-TDGA toward Pd(II) recovery from real leaching solutions of a petrochemical catalyst [45]. Although exhibiting good Pd(II) loading capacities and robustness in sequential extraction-stripping cycles (determinant characteristics that should be observed when industrial practice is envisaged), the weakness of this SX system is the successive Al(III) accumulation, which will sooner or later compromise the whole scheme. Hence, finding the solution to this problem will surely relaunch the interest to proceed with further development.
Tertiary thioamide derivatives have also been considered as potential Pd(II) extractants [51,52]. Accordingly, both N-methyl-N-phenyl-octanthioamide (MPHTA) and N-methyl-N-cyclohexyl-octanthioamide (MCHTA) in toluene showed Pd(II) extraction percentages above 90% for HCl solutions ranging from 0.5 M to 8.0 M, the metal stripping being efficiently achieved by acidified thiourea aqueous phases. Furthermore, good stability and saturation figures have been obtained for single Pd(II) solutions [51], and commercial diluents can alternatively be used without loss of performance [52]. The selectivity profiles for MPHTA and MCHTA were encouraging, since only Fe(III) significantly decreased the extraction of Pd(II) when Pt(IV), Rh(III) and Al(III) co-existed in the 4 M and 6 M HCl solutions [52]. The involved Pd(II) extraction reactions by MPHTA and MCHTA were clarified by distribution and spectroscopic data, pointing out to inner-sphere complexes of the type [PdCl2L2] until 4.5 M HCl (L being MPHTA or MCHTA) [53]. The promising behavior of MCHTA toward Pd(II) has been checked through its application to real solutions coming from the leaching of the petrochemical catalyst already mentioned [45]. The overall results obtained are generally similar to the ones achieved for N,N′-dimethyl-N,N′-dicyclohexyl-TDGA, e.g., the progressive Al(III) accumulation in the organic phases does not affect Pd(II) recovery for a low number of extraction-stripping cycles but seems to reduce the Pd(II) stripping efficiency by thiourea when the solvents are almost saturated with Pd(II) [45].
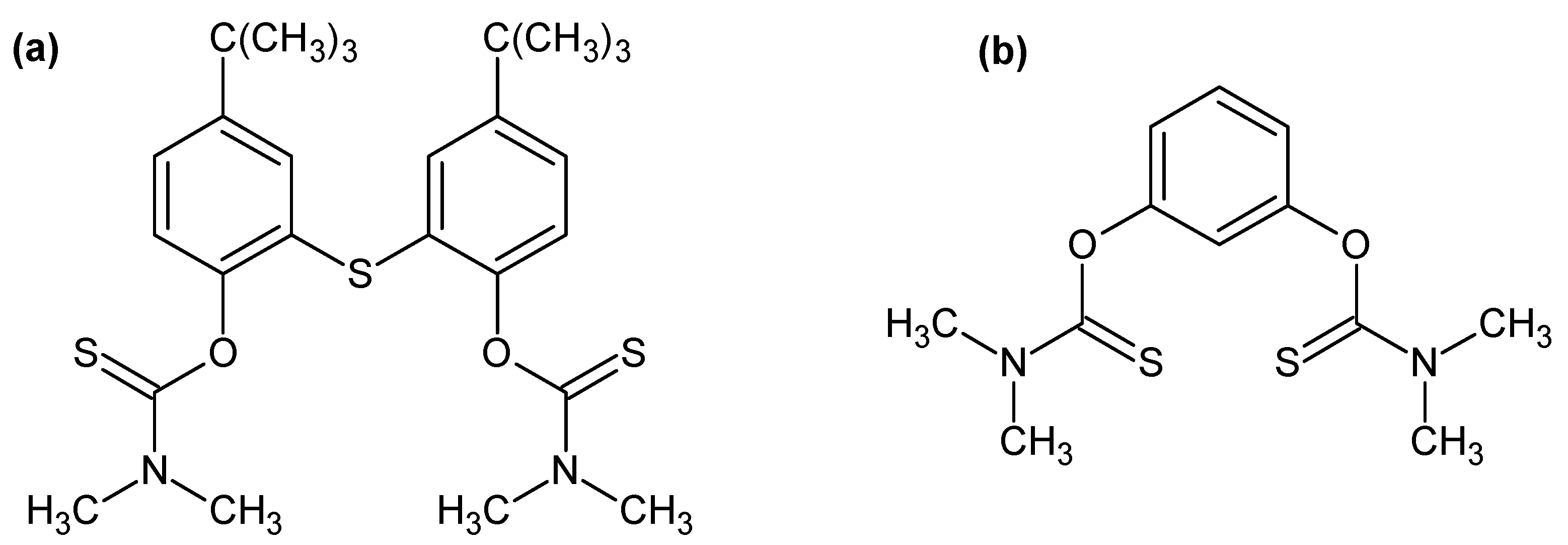
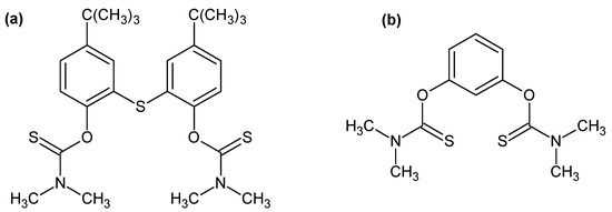
Several thiocarbamate derivatives have recently been tested by Yamada and collaborators for the recovery of Pd(II) [54,55]. The structures of the most promising compounds found in these studies are depicted in Figure 5. Both thiocarbamates were thoroughly investigated, showing excellent selectivity values for Pd(II) recovery from a dilute 0.1 M HCl leaching solution of an automobile catalyst, additionally containing Pt(IV), Rh(III), La(III), Ce(III), Y(III), Zr(IV), Ba(II), and Al(III). It should however be emphasized that the real leaching solution tested by these authors, after dilution, did not show high metal concentrations for the contaminants, the Ce(III) concentration of about 600 mg·L−1 being the highest one [54,55]. Several diluents did not affect Pd(II) extraction by both compounds, but the extractants were not soluble in commercial ones. Moreover, more concentrated HCl solutions extensively reduced the kinetics of these extraction systems, since equilibrium times ranging from 10 to 24 h were found for the compound (a) dissolved in chloroform [54], whereas the use of o-nitrobenzene as diluent for compound (b) was suggested to guarantee Pd(II) extraction percentages above 95% for 30 min contacts and for a wide range of HCl concentrations until 8 M [55]—see Figure 5. The diluents investigated are obviously not indicated for industrial practice. Acidified thiourea aqueous phases were employed to strip Pd(II). Distribution and spectroscopic data collected for the latter extractant indicate that Pd(II) is coordinated through a pincer type S–C–S tridentate design, involving the formation of fused six membered chelate rings [54].
Figure 5.
The structures of the best Pd(II) thiocarbamate extractants investigated by Yamada et al.: (a) 1,1′-bis[(dimethylthiocarbamoyl)oxy]-2,2′-thiobis[4-t-butylbenzene] [54]; (b) 1,3-bis(dimethylthiocarbamoyloxy)benzene [55].
A very recent work published by Goto and co-workers explores the PGMs extraction potential of the aminoacids glycine and phenylalanine modified with fat amide moieties [56]. Concerning Pd(II) extraction from HCl media, the figures are not very encouraging, particularly for HCl concentrations higher than 2 M, the results being much better for Pt(IV) and Os(IV) extraction.
Finally, the recent review article by Narita and co-workers deserves mention. Although written in Japanese, the abstract, figures, and tables are written in English [57].
2.2.2. Extractants Containing Other Functional Groups
A group of compounds identified as effective extractants for PGMs, and particularly for Pd(II), are dialkyl sulfoxides [58,59,60]. These studies clarified the roles of dialkyl sulfoxides structure on Pd(II) and Pt(IV) extraction [58], established the involved extraction reactions [58], and proposed the best experimental conditions to achieve selectivity for Pd(II) recovery over Pt(IV) and to separate them from a model 1.5 M HCl solution containing Cu(II), Fe(II), and Ni(II) [59,60]. To reach the objective, the authors used D2EHPA to previously remove the base metals [59,60]. The knowledge of several relevant fundamental information about the sulfoxide systems could perhaps justify additional research to evaluate their potential for Pd(II) recovery from leaching solutions of secondary resources.
Dithioether derivatives have also shown remarkable extractive properties to recover Pd(II). Holdt and co-workers [61,62] made an exhaustive investigation to understand the complexation of Pd(II) by several unsaturated dithioethers, finding that 1,2-bis(2-methoxyethylthio)benzene—Figure 6a—satisfactorily allows selective Pd(II) recovery over Pt(IV) and Rh(III), as well as over several metals co-existing in a real 4.5 M HCl leaching solution of an automobile catalyst containing about 3 g·L−1 Al(III) and 1 g·L−1 of Ce and Fe [61]. The robustness of the extractant in successive extraction-stripping cycles when applied to the treatment of the automobile leaching solution has been thoroughly verified, an acidified thiourea aqueous phase being employed to strip Pd(II) [62]. Nevertheless, the use of 1,2-dichlorobenzene as diluent and the unfavorable kinetics involved—24 h for extraction, 3 h for stripping—can be considered relevant drawbacks of this extraction system for future practical application [62].
Figure 6.
The structures of the best Pd(II) dithioether extractants investigated by (a) Holdt et al. [62], (b) Kondo et al. [63], and (c) Yamada et al. [64].
Recently, a work published by Kondo and collaborators report the SX behavior of two new heterocyclic dithioether derivatives toward Pd(II) recovery [63]. The structure of the best extractant is displayed in Figure 6b. In sequence of a cautious investigation to fully characterize the systems, both extractants in chloroform were applied to the treatment of an automobile 0.5 M HCl leaching solution containing Pd(II), Pt(IV), Rh(III), La(III), about 2 g·L−1 Al(III) and 1.5 g·L−1 of Ce(III). Pd(II) has been efficiently recovered (>95%), but Pt(IV) has also been co-extracted (≈6–8%); furthermore, Al(III) and Ce(III) extraction percentages lower than 1% in one extraction cycle are not fully elucidative of the adequacy of the systems for Pd(II) recovery. A 5% ammonia solution efficiently stripped Pd(II) from the loaded organic phases. Additional studies are nevertheless necessary to clarify the practical potential of this sort of compounds, and the diluent should also be replaced accordingly [63].
Another recent publication by Yamada and co-workers focuses on the systematic evaluation of four dithioether derivatives, the most promising of them being illustrated in Figure 6c [64]. This comprehensive report thoroughly describes the influence of the most relevant parameters affecting Pd(II) extraction from chloride and mixed chloride-nitric media, additionally characterizing all the extraction reactions involved. It is also very useful from a practical point of view, since it demonstrates that particularly two of the extractants are adequate for Pd(II) recovery when dissolved in kerosene and other commercial diluents. Additionally, remarkable selectivity values for Pd(II) recovery from a real 0.1 M HCl catalyst leaching solution containing Pt(IV), Rh(III), Zr(IV), Ce(III), Ba(II), Al(III), La(III), and Y(III) have also been obtained, denoting very good Pd(II) loading profiles and recyclability of those two extractants when involved in five successive extraction-stripping cycles with acidified thiourea phases as stripping media [64].
The Yamada research group has also published an extensive amount of information concerning the most adequate synthetic methods of functionalized thiacalix[4/6]arenes at lower and upper rims and their test as liquid-liquid extractants for PGMs, aiming at their utilization for the treatment of automobile catalysts leaching solutions. A review published in 2016 by the group summarizes and discusses the most relevant information collected about the subject [65]. Some of the developed thiacalixarene derivatives revealed promising extractive and selective properties toward Pd(II) recovery, both of the thiacalix[4]arene and thiacalix[6]arene types. More recently, this group published an additional work where they report the synthesis of three p-dialkylaminomethylcalix[4]arenes and their systematic liquid-liquid extraction study prior to their application to the treatment of automobile catalyst leaching solutions. The authors found that two of the extractants are able to efficiently co-extract Pd(II) and Pt(IV) from a real diluted 0.06 M HCl leaching solution, together with lower amounts of other contaminating metals, carrying out the stripping of Pd(II) and Pt(IV) with an acidified thiourea solution [66]. It should, however, be emphasized that low extraction percentages of contaminants may result in concentrations similar to those of Pd(II). Moreover, the reported figures shown by the calixarene derivatives concerning efficiency and selectivity for Pd(II) recovery may not justify the necessary investment to accomplish their rather elaborated synthesis.
The Yamada group has already provided a huge extent of information that markedly contribute to the advancement of knowledge concerning the development of new compounds for the liquid-liquid extraction of PGMs from model and real leaching solutions of secondary resources. The weaker point of the work of this research group, already mentioned [54,55], is perhaps the non-wide representativeness of the concentration values of the main metal contaminants attained for the real catalyst leach liquors after dilution they developed, since Ce(III) and Al(III) concentrations of about 600 mg·L−1 and 320 mg·L−1, respectively, can be considered rather low [64,65,66].
3. Final Summary Tables
The most relevant SX systems that have been investigated for the efficient and selective recovery of Pd(II) from chloride leaching solutions of catalysts, pointed out and more deeply discussed in this review, are summarized and briefly commented in Table 2 and Table 3. All the entries in both Tables refer to SX systems that have been applied to model leaching solutions at least. For the SX schemes involving synthesized extractants—Table 3—only the families to which they belong to are mentioned. The comments include which extractants/families of extractants reveal current potential to be further investigated and developed.
Table 2.
Commercial extractants for Pd(II) recovery from catalysts leaching solutions (IL: ionic liquid).
Table 3.
Synthesized extractants for Pd(II) recovery from catalysts leaching solutions.
4. Concluding Remarks
This review points out that the investigation about the SX of Pd(II) from chloride media is currently very active. Being the dialkyl sulfide and hydroxyoxime derivatives the traditional compounds industrially used for Pd(II) extraction from PGMs primary resources [5], the adjustment of those extractants to the reality of the anthropogenic waste materials would be a logical approach. As dialkyl sulfides are prone to oxidation and show unfavorable kinetics, e.g., [5], research efforts focused mainly on the study of hydroxyoxime derivatives and amines, since the affinity of those latter compounds toward Pt(IV) and Pd(II) extraction has been well known for decades. Some typical solvating extractants such as Cyanex 923 and TBP also deserved attention. The work regarding the finding of adequate diluents for practical application is facilitated. Given the availability of fundamental and applied extensive data for the extractants already in the market, as well as the perspective of an eased and more immediate industrial application, one could expect a greater commitment from the researchers in developing robust process schemes for Pd(II) recovery from secondary resources using commercial extractants.
There is a more extensive research activity concerning the design of new molecules that can work as efficient and selective extractants for Pd(II) recovery from waste catalysts. Functionalized amide derivatives, often possessing sulfur atoms, have shown their great potential to the proposed aim, as well as some dithioether compounds. Although the economic viability of the syntheses was not a concern in the reported articles, one can predict that most of them may not be prohibitive. Moreover, many investigators are already aware of the importance of applying their successful schemes to real catalysts leaching solutions. These efforts are all very positive and are likely to proceed in the near future. However, one should say that more systematic fundamental studies, even for the SX schemes already proposed, are still necessary in general, since they are always crucial to better determine the actual potential of some extractants prior to their application to real secondary leaches.
As ILs are gaining place in the chemical industry, their application as solvents for PGMs recovery from secondary wastes is actually very pertinent. The promising results already achieved and mentioned in this review are a good basis to justify commitments for long-term research underway.
In addition to some useful information for beginners and involved researchers in this area, may this review be a good starting point for the industrialists interested in developing and optimizing their hydrometallurgical recycling PGMs processes. A wider exchange of information between researchers and industrial stakeholders would be highly desirable. For instance, is there any industrial practice concerning the final Pd recovery from acidified thiourea solutions, one of the widest and most efficient stripping phases applied in research? Academically speaking, there is not any investigation to my knowledge on this topic.
Acknowledgments
Ana Paula Paiva would like to acknowledge the Portuguese national funds provided by “FCT—Fundação para a Ciência e a Tecnologia” (Lisbon, Portugal) under the projects with references UID/MULTI/00612/2013 and PTDC/QUI-QUI/109970/2009, including the Ph.D. grant offered to Osvaldo Ortet (SFRH/BD/78289/2011).
Conflicts of Interest
The author declares no conflict of interest.
References
- Ndlovu, J. Anglo American Platinum—Precious Metals Supply. In Proceedings of the Exchange of Good Practices on Metal By-Products Recovery—Technology and Policy Challenges, Brussels, Belgium, 12–13 November 2015; Available online: https://ec.europa.eu/growth/tools-databases/eip-raw-materials/en/content/international-conference-%E2%80%9Cexchange-good-practices-metal-products-recovery-technology-and (accessed on 6 July 2017).
- Ad-Hoc Working Group on Defining Critical Raw Materials (European Commission). Report on Critical Raw Materials for the EU. May 2014. Available online: http://ec.europa.eu/DocsRoom/documents/10010/attachments/1/translations (accessed on 6 July 2017).
- Matthey, J. Precious Metals Management. Available online: http://www.platinum.matthey.com/about-pgm/applications (accessed on 6 July 2017).
- Steinlechner, S.; Antrekowitsch, J. Potential of a hydrometallurgical recycling process for catalysts to cover the demand for critical metals, like PGMs and cerium. JOM 2015, 67, 406–411. [Google Scholar] [CrossRef]
- Cox, M. Solvent extraction in hydrometallurgy. In Solvent Extraction Principles and Practice, 2nd ed.; Rydberg, J., Cox, M., Musikas, C., Choppin, G.R., Eds.; Marcel Dekker Inc.: New York, NY, USA, 2004; pp. 455–505. ISBN 0-8247-5063-2. [Google Scholar]
- Cleare, M.J.; Charlesworth, P.; Bryson, D.J. Solvent extraction in platinum-group metal processing. J. Chem. Technol. Biotechnol. 1979, 29, 210–224. [Google Scholar] [CrossRef]
- Bernardis, F.L.; Grant, R.A.; Sherrington, D.C. A review of separation of the platinum-group metals through their chloro-complexes. React. Funct. Polym. 2005, 65, 205–217. [Google Scholar] [CrossRef]
- Malik, P.; Paiva, A.P. Solvent extraction of rhodium from chloride media by N,N′-dimethyl-N,N′-diphenyltetradecylmalonamide. Solvent Extr. Ion Exch. 2008, 26, 25–40. [Google Scholar] [CrossRef]
- Swain, B.; Jeong, J.; Kim, S.-K.; Lee, J.-C. Separation of platinum and palladium from chloride solution by solvent extraction using Alamine 300. Hydrometallurgy 2010, 104, 1–7. [Google Scholar] [CrossRef]
- Nguyen, T.H.; Kumar, B.N.; Lee, M.S. Selective recovery of Fe(III), Pd(II), Pt(IV), Rh(III) and Ce(III) from simulated leach liquors of spent automobile catalyst by solvent extraction and cementation. Korean J. Chem. Eng. 2016, 33, 2684–2690. [Google Scholar] [CrossRef]
- Peng, C.-Y.; Tsai, T.-H. Recovery of palladium(II) from acidic chloride solution using kerosene containing tri-n-octyl/decyl amine (Alamine 336). Desalin. Water Treat. 2012, 47, 105–111. [Google Scholar] [CrossRef]
- Peng, C.-Y.; Tsai, T.-H. Solvent extraction of palladium(II) from acidic chloride solutions using tri-octyl/decyl ammonium chloride (Aliquat 336). Desalin. Water Treat. 2014, 52, 1101–1121. [Google Scholar] [CrossRef]
- Nguyen, T.H.; Sonu, C.H.; Lee, M.S. Separation of platinum(IV) and palladium(II) from concentrated hydrochloric acid solutions by mixtures of amines with neutral extractants. J. Ind. Eng. Chem. 2015, 32, 238–245. [Google Scholar] [CrossRef]
- Zhidkova, T.I.; Belova, V.V.; Brenno, Y.Y.; Zhidkov, L.L.; Khol’kin, A.I. Palladium extraction by a Cyanex 301-based binary extractant from chloride solutions. Russ. J. Inorg. Chem. 2009, 54, 1502–1506. [Google Scholar] [CrossRef]
- Zhidkova, T.I.; Belova, V.V.; Brenno, Yu.; Zhidkov, L.L.; Khol’kin, A.I. Extraction of platinum and palladium from hydrochloric solutions by trioctymethylammonium dinonylnaphthalenesulfonate. Theor. Found. Chem. Eng. 2009, 43, 826–830. [Google Scholar] [CrossRef]
- Rane, M.V.; Venugopal, V. Study on the extraction of palladium(II) and platinum(IV) using LIX 84I. Hydrometallurgy 2006, 84, 54–59. [Google Scholar] [CrossRef]
- Ramachandra Reddy, B.; Raju, B.; Lee, J.Y.; Park, H.K. Process for the separation and recovery of palladium and platinum from spent automobile catalyst leach liquor using LIX 84I and Alamine 336. J. Hazard. Mat. 2010, 180, 253–258. [Google Scholar] [CrossRef] [PubMed]
- Mhaske, A.A.; Dhadke, P.M. Extraction separation studies of Rh, Pt and Pd using Cyanex 921 in toluene—A possible application to recovery from spent catalysts. Hydrometallurgy 2001, 61, 143–150. [Google Scholar] [CrossRef]
- Gupta, B.; Singh, I. Extraction and separation of platinum, palladium and rhodium using Cyanex 923 and their recovery from real samples. Hydrometallurgy 2013, 134–135, 11–18. [Google Scholar] [CrossRef]
- Nowottny, C.; Halwachs, W.; Schügerl, K. Recovery of platinum, palladium and rhodium from industrial process leaching solutions by reactive extraction. Sep. Purif. Technol. 1997, 12, 135–144. [Google Scholar] [CrossRef]
- Lee, J.Y.; Raju, B.; Kumar, B.N.; Kumar, J.R.; Park, H.K.; Ramachandra Reddy, B. Solvent extraction separation and recovery of palladium and platinum from chloride leach liquors of spent automobile catalyst. Sep. Purif. Technol. 2010, 73, 213–218. [Google Scholar] [CrossRef]
- Cieszynska, A.; Wisniewski, M. Extraction of palladium(II) from chloride solutions with Cyphos®IL 101/toluene mixtures as novel extractant. Sep. Purif. Technol. 2010, 73, 202–207. [Google Scholar] [CrossRef]
- Cieszynska, A.; Wisniewski, M. Selective extraction of palladium(II) from hydrochloric acid solutions with phosphonium extractants. Sep. Purif. Technol. 2011, 80, 385–389. [Google Scholar] [CrossRef]
- Regel-Rosocka, M.; Rzelewska, M.; Baczynska, M.; Janus, M.; Wisniewski, M. Removal of palladium(II) from aqueous chloride solutions with cyphos phosphonium ionic liquids as metal ion carriers for liquid-liquid extraction and transport across polymer inclusion membranes. Physicochem. Probl. Miner. Process. 2015, 51, 621–631. [Google Scholar]
- Nguyen, V.T.; Lee, J.C.; Chagnes, A.; Kim, M.S.; Jeong, J.; Cote, G. Highly selective separation of individual platinum group metals (Pd, Pt, Rh) from acidic chloride media using phosphonium-based ionic liquid in aromatic diluent. RSC Adv. 2016, 6, 62717–62728. [Google Scholar] [CrossRef]
- Svecova, L.; Papaiconomou, N.; Billard, I. Quantitative extraction of Rh(III) using ionic liquids and its simple separation from Pd(II). Dalton Trans. 2016, 45, 15162–15169. [Google Scholar] [CrossRef] [PubMed]
- Papaiconomou, N.; Svecova, L.; Bonnaud, C.; Cathelin, L.; Billard, I.; Chainet, E. Possibilities and limitations in separating Pt(IV) from Pd(II) combining imidazolium and phosphonium ionic liquids. Dalton Trans. 2015, 44, 20131–20138. [Google Scholar] [CrossRef] [PubMed]
- Cieszynska, A.; Wisniewski, M. Extractive recovery of palladium(II) from hydrochloric acid solutions with Cyphos®IL 104. Hydrometallurgy 2012, 113–114, 79–85. [Google Scholar] [CrossRef]
- Tong, Y.; Wang, C.; Li, J.; Yang, Y. Extraction mechanism, behavior and stripping of Pd(II) by pyridinium-based ionic liquid from hydrochloric acid medium. Hydrometallurgy 2014, 147–148, 164–169. [Google Scholar] [CrossRef]
- Anpilogova, G.R.; Khisamutdinov, R.A.; Golubyatnikova, L.G.; Murinov, Y.I. Propiconazole and penconazole as effective extractants for selective recovery and concentration of platinum(IV) and palladium(II) from hydrochloric acid solutions formed in leaching of spent aluminoplatinum and aluminopalladium catalysts. Russ. J. Appl. Chem. 2016, 89, 206–211. [Google Scholar] [CrossRef]
- Szczepańska, I.; Borowiak-Resterna, A.; Wiśniewski, M. New pyridinecarboxamides for rapid extraction of palladium from acidic chloride media. Hydrometallurgy 2003, 68, 159–170. [Google Scholar] [CrossRef]
- Regel-Rosocka, M.; Wisniewski, M.; Borowiak-Resterna, A.; Cieszynska, A.; Sastre, A.M. Selective extraction of palladium(II) from hydrochloric acid solutions with pyridinecarboxamides and ACORGA® CLX50. Sep. Purif. Technol. 2007, 53, 337–341. [Google Scholar] [CrossRef]
- Anpilogova, G.R.; Bondareva, S.O.; Khisamutdinov, R.A.; Murinov, Y.I. Fatty imidazolines: A novel extractant for the recovery of palladium(II) from hydrochloric acid solutions. Solvent Extr. Ion Exch. 2014, 32, 206–220. [Google Scholar] [CrossRef]
- Narita, H.; Tanaka, M.; Tamura, K. Extractants for Palladium and Method of Rapidly Separating and Recovering Palladium Using the Same. U.S. Patent 2009/0178513 A1, 16 July 2009. [Google Scholar]
- Narita, H.; Morisaku, K.; Tamura, K.; Tanaka, M.; Shiwaku, H.; Okamoto, Y.; Suzuki, S.; Yaita, T. Extraction properties of palladium(II) in HCl solution with sulfide-containing monoamide compounds. Ind. Eng. Chem. Res. 2014, 53, 3636–3640. [Google Scholar] [CrossRef]
- Narita, H.; Tanaka, M.; Morisaku, K. Extraction properties of platinum group metals with diamide compounds. In Proceedings of the International Solvent Extraction Conference, Beijing, China, 19–23 September 2005; Conference Proceeding Editorial Department: Beijing, China, 2005; pp. 227–232. [Google Scholar]
- Costa, M.C.; Assunção, A.; Costa, A.M.R.; Nogueira, C.; Paiva, A.P. Liquid-liquid extraction of platinum from chloride media by N,N′-dimethyl-N,N′-dicyclohexyltetradecylmalonamide. Solvent Extr. Ion Exch. 2013, 31, 12–23. [Google Scholar] [CrossRef]
- Paiva, A.P.; Carvalho, G.I.; Costa, M.C.; Costa, A.M.R.; Nogueira, C. The solvent extraction performance of N,N′-dimethyl-N,N′-dibutylmalonamide towards platinum and palladium in chloride media. Sep. Sci. Technol. 2014, 49, 966–973. [Google Scholar] [CrossRef][Green Version]
- Assunção, A.; Matos, A.; Costa, A.M.R.; Candeias, A.; Costa, M.C. A bridge between liquid-liquid extraction and the use of bacterial communities for palladium and platinum recovery as nanosized metal sulphides. Hydrometallurgy 2016, 163, 40–48. [Google Scholar] [CrossRef]
- Narita, H.; Tanaka, M.; Morisaku, K. Palladium extraction with N,N,N′,N′-tetra-n-octyl-thiodiglycolamide. Min. Eng. 2008, 21, 483–488. [Google Scholar] [CrossRef]
- Sasaki, Y.; Morita, K.; Saeki, M.; Hisamatsu, S.; Yoshizuka, K. Precious metal extraction by N,N,N′,N′-tetraoctyl-thiodiglycolamide and its comparison with N,N,N′,N′-tetraoctyl-diglycolamide and methylimino-N,N′-dioctylacetamide. Hydrometallurgy 2017, 169, 576–584. [Google Scholar] [CrossRef]
- Huang, Y.; Li, N.; Li, Y.; Wu, J.; Li, S.; Chen, S.; Zhu, L. Extraction of precious metals with a new amide extractant. Adv. Mater. Res. 2014, 878, 399–405. [Google Scholar] [CrossRef]
- Paiva, A.P.; Carvalho, G.I.; Costa, M.C.; Costa, A.M.R.; Nogueira, C. Recovery of platinum and palladium from chloride solutions by a thiodiglycolamide derivative. Solvent Ext. Ion Exch. 2014, 32, 78–94. [Google Scholar] [CrossRef]
- Ortet, O.; Paiva, A.P. Liquid-liquid extraction of palladium(II) from chloride media by N,N′-dimethyl-N,N′-dicyclohexylthiodiglycolamide. Sep. Purif. Technol. 2015, 156, 363–368. [Google Scholar] [CrossRef]
- Paiva, A.P.; Ortet, O.; Carvalho, G.I.; Nogueira, C.A. Recovery of palladium from a spent industrial catalyst through leaching and solvent extraction. Hydrometallurgy 2017, 171, 394–401. [Google Scholar] [CrossRef]
- Ortet, O.; Santos, M.S.C.S.; Paiva, A.P. Palladium(II) and N,N′-dimethyl-N,N′ dicyclohexylthiodiglycolamide—The extracted species from concentrated chloride solutions. Sep. Purif. Technol. 2016, 170, 1–9. [Google Scholar] [CrossRef]
- Das, A.; Ruhela, R.; Singh, A.K.; Hubli, R.C. Evaluation of novel ligand dithiodiglycolamide (DTDGA) for separation and recovery of palladium from simulated spent catalyst dissolver solution. Sep. Purif. Technol. 2014, 125, 151–155. [Google Scholar] [CrossRef]
- Mohamed, D. Evaluation of unsymmetrical dithiodiglycolamide as novel extractant for application in selective separation of palladium(II) from aqueous solutions. Russ. J. Appl. Chem. 2016, 89, 1322–1327. [Google Scholar] [CrossRef]
- Narita, H.; Tanaka, M.; Morisaku, K.; Abe, T. Rapid separation of palladium(II) from platinum(IV) in hydrochloric acid solution with thiodiglycolamide. Chem. Lett. 2004, 33, 1144–1145. [Google Scholar] [CrossRef]
- Paiva, A.P.; Martins, M.E.; Ortet, O. Palladium(II) recovery from hydrochloric acid solutions by N,N′-dimethyl-N,N′-dibutylthiodiglycolamide. Metals 2015, 5, 2303–2315. [Google Scholar] [CrossRef]
- Paiva, A.P.; Ortet, O. Solvent extraction of palladium from hydrochloric acid media by N,N-disubstituted thioamides. In Proceedings of the International Solvent Extraction Conference, Würzburg, Germany, 7–11 September 2014; Gesellschaft für Chemische Technik und Biotechnologie e.V.—DECHEMA: Würzburg, Germany, 2014; pp. 820–825. [Google Scholar]
- Ortet, O.; Paiva, A.P. Development of tertiary thioamide derivatives to recover palladium(II) from simulated complex chloride solutions. Hydrometallurgy 2015, 151, 33–41. [Google Scholar] [CrossRef]
- Ortet, O.; Santos, M.S.C.S.; Paiva, A.P. Palladium(II) extraction from concentrated chloride media: Reactions involving thioamide derivatives. Sep. Sci. Technol. 2016, 51, 1461–1471. [Google Scholar] [CrossRef]
- Yamada, M.; Gandhi, M.R.; Sato, D.; Kaneta, Y.; Kimura, N. Comparative study on palladium(II) extraction using thioamide-modified acyclic and cyclic extractants. Ind. Eng. Chem. Res. 2016, 55, 8914–8921. [Google Scholar] [CrossRef]
- Gandhi, M.R.; Yamada, M.; Kondo, Y.; Shibayama, A.; Hamada, F. Rapid and selective extraction of Pd(II) ions using the SCS type pincer ligand 1,3-bis(dimethylthiocarbamoyloxy)benzene, and its Pd(II) extraction mechanism. RSC Adv. 2016, 6, 1243–1252. [Google Scholar] [CrossRef]
- Yoshida, W.; Baba, Y.; Kubota, F.; Kamiya, N.; Goto, M. Extraction and stripping behavior of platinum group metals using an amic-acid-type extractant. J. Chem. Eng. Jpn. 2017, 50, 521–526. [Google Scholar] [CrossRef]
- Narita, H.; Suzuki, T.; Motokawa, R. Recent research in solvent extraction of platinum group metals. J. Jpn. Inst. Met. Mater. 2017, 81, 1–10. [Google Scholar] [CrossRef]
- Preston, J.S.; du Preez, A.C. Solvent extraction of platinum-group metals from hydrochloric acid solutions by dialkyl sulphoxides. Solvent Ext. Ion Exch. 2002, 20, 359–374. [Google Scholar] [CrossRef]
- Pan, L.; Zhang, Z. Solvent extraction and separation of palladium(II) and platinum(IV) from hydrochloric acid medium with dibutyl sulfoxide. Min. Eng. 2009, 22, 1271–1276. [Google Scholar] [CrossRef]
- Pan, L.; Bao, X.; Gu, G. Solvent extraction of palladium(II) and effective separation of palladium(II) and platinum(IV) with synthetic sulfoxide MSO. J. Min. Metall. Sect. B-Metall. 2013, 49, 57–63. [Google Scholar] [CrossRef]
- Traeger, J.; Tillmann, K.; Kelling, A.; Lubahn, S.; Cleve, E.; Mickler, W.; Heydenreich, M.; Müller, H.; Holdt, H.-J. Complexation of palladium(II) with unsaturated dithioethers—A systematic development of highly selective ligands for solvent extraction. Eur. J. Inorg. Chem. 2012, 14, 2341–2352. [Google Scholar] [CrossRef]
- Traeger, J.; König, J.; Städtke, A.; Holdt, H.-J. Development of a solvent extraction system with 1,2-bis(2-methoxyethylthio)benzene for the selective separation of palladium(II) from secondary raw materials. Hydrometallurgy 2012, 127–128, 30–38. [Google Scholar] [CrossRef]
- Senthil, K.; Akiba, U.; Fujiwara, K.; Hamada, F.; Kondo, Y. New heterocyclic dithioether ligands for highly selective separation and recovery of Pd(II) from acidic leach liquors of spent automobile catalyst. Ind. Eng. Chem. Res. 2017, 56, 1036–1047. [Google Scholar] [CrossRef]
- Gandhi, R.M.; Yamada, M.; Haga, K.; Shibayama, A. Synthesis of pincer-type extractants for selective extraction of palladium from PGMs: An improved liquid-liquid extraction approach to current refining processes. Sci. Rep. 2017, 7, 8709–8722. [Google Scholar] [CrossRef] [PubMed]
- Yamada, M.; Gandhi, M.R.; Kunda, U.M.R.; Hamada, F. Thiacalixarenes: Emergent supramolecules in crystal engineering and molecular recognition. J. Incl. Phenom. Macrocycl. Chem. 2016, 85, 1–18. [Google Scholar] [CrossRef]
- Yamada, M.; Gandhi, M.R.; Kaneta, Y.; Hu, Y.; Shibayama, A. Calix[4]arene-based n-dialkylamino extractants for selective platinum group metal separation from automotive catalysts. ChemistrySelect 2017, 2, 1052–1057. [Google Scholar] [CrossRef]
© 2017 by the author. Licensee MDPI, Basel, Switzerland. This article is an open access article distributed under the terms and conditions of the Creative Commons Attribution (CC BY) license (http://creativecommons.org/licenses/by/4.0/).





