Experimental Validation of an FSW Model with an Enhanced Friction Law: Application to a Threaded Cylindrical Pin Tool
Abstract
1. Introduction
2. The Solution Strategy
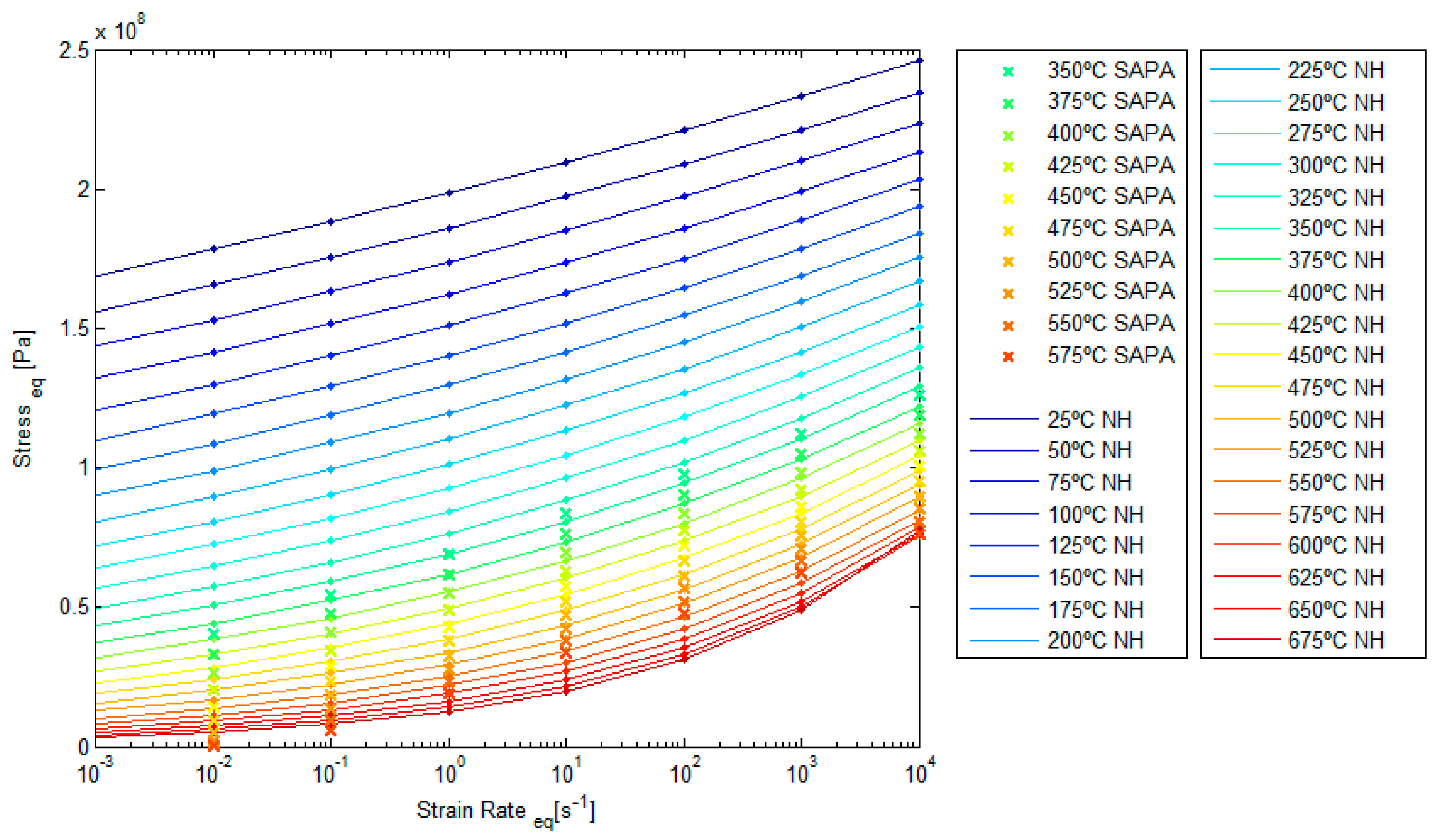
3. Validation of Numerical Model from Experimental Data
4. FSW (Friction Stir Welding) with Featureless and Threaded Cylindrical Pin
5. Summary and Conclusions
- Coupled thermo-mechanical scheme;
- Simulation of arbitrary pin shapes;
- Heat generation due to both friction and plastic dissipation;
- Piecewise linear viscoplastic constitutive model;
- Two-stage strategy for a significantly reduction of computational time;
- Enhanced friction model accounting for the effect of non-uniform pressure distribution.
Acknowledgments
Author Contributions
Conflicts of Interest
References
- Ilangovan, M.; Rajendra Boopathy, S.; Balasubramanian, V. Effect of tool pin profile on microstructure and tensile properties of friction stir welded dissimilar AA6061-AA5086 aluminium alloy joints. Def. Technol. 2015, 11, 174–184. [Google Scholar] [CrossRef]
- Reza-E-Rabby, M.; Reynolds, A.P. Effect of tool pin thread forms on friction stir weldability of different aluminum alloys. Procedia Eng. 2014, 90, 637–642. [Google Scholar] [CrossRef]
- Papahn, H.; Bahemmat, P.; Haghpanahi, M.; Pour Aminaie, I. Effect of friction stir welding tool on temperature, applied forces and weld quality. IET Sci. Meas. Technol. 2015, 9, 475–484. [Google Scholar] [CrossRef]
- Rezaee Hajideha, M.; Farahani, M.; Davoud Alavi, S.A.; Molla Ramezani, N. Investigation on the effects of tool geometry on the microstructureand the mechanical properties of dissimilar friction stir welded polyethylene and polypropylene sheets. J. Manuf. Process. 2017, 26, 269–279. [Google Scholar] [CrossRef]
- Yu, Z.; Zhang, W.; Choo, H.; Feng, Z.L. Transient heat and material flow modeling of friction stir processing of magnesium alloy using threaded tool. Metall. Mater. Trans. A 2012, 43, 724–737. [Google Scholar] [CrossRef]
- Colegrove, P.A.; Shercliff, H.R. 3-Dimensional CFD modelling of flow round a threaded friction stir welding tool profile. J. Mater. Process. Technol. 2005, 169, 320–327. [Google Scholar] [CrossRef]
- Atharifar, H.; Lin, D.; Kovacevic, R. Numerical and experimental investigations on the loads carried by the tool during friction stir welding. J. Mater. Eng. Perform. 2009, 18, 339–350. [Google Scholar] [CrossRef]
- Mishra, R.S.; Ma, Z.Y. Friction Stir Welding and Processing; ASM International: Geauga County, OH, USA, 2007. [Google Scholar]
- Chiumenti, M.; Cervera, M.; Agelet de Saracibar, C.; Dialami, N. Numerical modeling of friction stir welding processes. Comput. Methods Appl. Mech. Eng. 2012, 254, 353–369. [Google Scholar] [CrossRef]
- Dialami, N.; Chiumenti, M.; Cervera, M.; Agelet de Saracibar, C. An apropos kinematic framework for the numerical modeling of friction stir welding. Comput. Struct. 2013, 117, 48–57. [Google Scholar] [CrossRef]
- Dialami, N.; Chiumenti, M.; Cervera, M.; Agelet de Saracibar, C.; Ponthot, J.-P. Material Flow Visualization in Friction Stir Welding via Particle Tracing. Int. J. Metal Form. 2015, 8, 167–181. [Google Scholar] [CrossRef]
- Dialami, N.; Cervera, M.; Chiumenti, M.; Agelet de Saracibar, C. Local-global strategy for the prediction of residual stresses in FSW processes. Int. J. Adv. Manuf. Technol. 2017, 88, 3099–3111. [Google Scholar] [CrossRef]
- Dialami, N.; Chiumenti, M.; Cervera, M.; Agelet de Saracibar, C. Challenges in thermo-mechanical analysis of friction stir welding processes. Arch. Comput. Methods Eng. 2017, 24, 189–225. [Google Scholar] [CrossRef]
- Dialami, N.; Chiumenti, M.; Cervera, M.; Agelet de Saracibar, C. A fast and accurate two-stage strategy to evaluate the effect of the pin tool profile on metal flow, torque and forces during friction stir welding. Int. J. Mech. Sci. 2017, 122, 215–227. [Google Scholar] [CrossRef]
- Dialami, N.; Chiumenti, M.; Cervera, M.; Segatori, A.; Osikowicz, W. Enhanced friction model for friction stir welding (FSW) analysis: Simulation and experimental validation. Int. J. Mech. Sci. 2017, 133, 555–567. [Google Scholar] [CrossRef]
- Ryzhakov, P.; Rossi, R.; Oñate, E. An algorithm for the simulation of thermally coupled low speed flow problems. Int. J. Numer. Methods Fluids 2011, 65, 1217–1230. [Google Scholar] [CrossRef]
- Ravichandran, G.; Rosakis, A.J.; Hodowany, J.; Rosakis, P. On the conversion of plastic work into heat during high strain rate deformation. AIP Conf. Proc. 2002, 620, 557. [Google Scholar]
- Nandan, R.; DebRoy, T.; Bhadeshia, H.K.D.H. Recent advances in friction stir welding—Process, weldment structure and properties. Prog. Mater. Sci. 2008, 53, 980–1023. [Google Scholar] [CrossRef]
- Chao, Y.J.; Qi, X.; Tang, W. Heat transfer in friction stir welding—Experimental and numerical studies. J. Manuf. Sci. Eng. 2003, 125, 138–145. [Google Scholar] [CrossRef]
- Khandkar, M.Z.H.; Khan, J.A.; Reynolds, A.P.; Sutton, M.A. Predicting residual stresses in friction stir welded metals. J. Mater. Process. Technol. 2006, 174, 195–203. [Google Scholar] [CrossRef]
- Serio, L.; Palumbo, D.; Galietti, U.; De Filippis, L.; Ludovico, A. Effect of friction stir process parameters on the mechanical and thermal behavior of 5754-H111 aluminum plates. Materials 2016, 9, 122. [Google Scholar] [CrossRef] [PubMed]
- De Filippis, L.; Serio, L.; Palumbo, D.; De Finis, R.; Galietti, U. Optimization and characterization of the friction stir welded sheets of AA5754-H111: Monitoring of the quality of joints with thermographic techniques. Materials 2017, 10, 1165. [Google Scholar] [CrossRef] [PubMed]
- Seidel, T.U.; Reynolds, A.P. Visualization of the material flow in AA2195 friction-stir welds using a marker insert technique. Metall. Mater. Trans. A 2001, 32, 2879–2884. [Google Scholar] [CrossRef]
- Mishra, R.S.; De, P.S.; Kumar, N. Fundamentals of the friction stir process. In Friction Stir Welding and Processing; Springer: Berlin, Germany, 2014; pp. 13–58. [Google Scholar]













| Mechanical Problem | |
| Momentum balance equation | |
| Continuity equation | |
| Stress split | |
| Kinematic equation | |
| Constitutive equation | |
| Norton-Hoff model | |
| Thermal Problem | |
| Energy balance equation | |
| Heat flux | |
| Viscoplastic dissipation | |
| Heat convection | |
| Heat conduction | |
| Stress deviator | |
| Pressure | |
| density in the reference configuration | |
| body forces vector per unit of mass | |
| Velocity field | |
| Cauchy’s stress tensor | |
| Strain rate | |
| Effective viscosity | |
| Viscosity parameter | |
| m | Viscosity exponent |
| c | Specific heat |
| T | Temperature |
| Velocity of the mesh | |
| Thermal conductivity | |
| Fraction of plastic dissipation converted into heat | |
| Heat transfer coefficient by convection | |
| Heat transfer coefficient by conduction | |
| α | Speed-up factor |
| Environmental temperature | |
| Tool temperature |
| q = 0.1; Vz = −0.0024 | Numerical Model: amax = 1 × 109; amin = 5 × 107 | Measurements: Sapa WT10 |
|---|---|---|
| Torque (N·m) | 64 | 62 |
| Longitudinal force (N) | 810 | 700 |
| Transversal force (N) | 1300 | 1000 |
| Vertical force (N) | 8200 | 8000 |
| Threaded Pin | Featureless Pin | |||
|---|---|---|---|---|
| Numerical Model | Measurements | Numerical Model | Measurements | |
| Torque (N·m) | 64 | 62 | 64 | 64 |
| Longitudinal force (N) | 810 | 700 | 870 | 500 |
| Transversal force (N) | 1300 | 1000 | 1700 | 1400 |
| Vertical force (N) | 8200 | 8000 | 8500 | 8200 |
© 2017 by the authors. Licensee MDPI, Basel, Switzerland. This article is an open access article distributed under the terms and conditions of the Creative Commons Attribution (CC BY) license (http://creativecommons.org/licenses/by/4.0/).
Share and Cite
Dialami, N.; Cervera, M.; Chiumenti, M.; Segatori, A.; Osikowicz, W. Experimental Validation of an FSW Model with an Enhanced Friction Law: Application to a Threaded Cylindrical Pin Tool. Metals 2017, 7, 491. https://doi.org/10.3390/met7110491
Dialami N, Cervera M, Chiumenti M, Segatori A, Osikowicz W. Experimental Validation of an FSW Model with an Enhanced Friction Law: Application to a Threaded Cylindrical Pin Tool. Metals. 2017; 7(11):491. https://doi.org/10.3390/met7110491
Chicago/Turabian StyleDialami, Narges, Miguel Cervera, Michele Chiumenti, Antonio Segatori, and Wojciech Osikowicz. 2017. "Experimental Validation of an FSW Model with an Enhanced Friction Law: Application to a Threaded Cylindrical Pin Tool" Metals 7, no. 11: 491. https://doi.org/10.3390/met7110491
APA StyleDialami, N., Cervera, M., Chiumenti, M., Segatori, A., & Osikowicz, W. (2017). Experimental Validation of an FSW Model with an Enhanced Friction Law: Application to a Threaded Cylindrical Pin Tool. Metals, 7(11), 491. https://doi.org/10.3390/met7110491

