Deformation Characteristic and Constitutive Modeling of 2707 Hyper Duplex Stainless Steel under Hot Compression
Abstract
:1. Introduction
2. Experimental Procedures
3. Results and Discussions
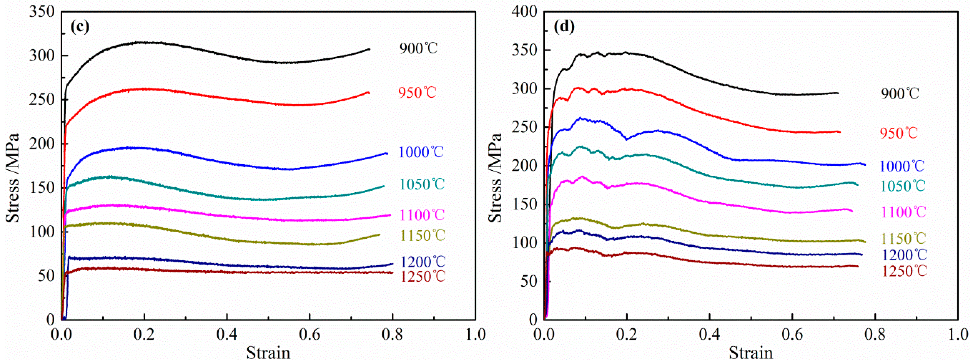
3.1. Flow Stress-Strain Cures
3.2. Analysis of Microstructure Evolution
3.3. Establishment of Constitutive Relationship at Peak Strain
3.4. Constitutive Modeling Considering Effect of Strain
3.5. Verification of the Developed Constitutive Modeling
4. Conclusions
- (1)
- The flow stress was especially sensitive to deformation temperature and strain rate as it increased with increasing strain rate and decreasing deformation temperature. When the temperature was higher than 1100 °C and strain rate was less than 1 s−1, the true stress-strain curves exhibited DRV characteristics without peak stress. Flow curves with peak stress could be observed at lower temperatures, which may be attributed to DRX or flow instability.
- (2)
- At lower temperatures, a large number of precipitates appeared in ferrite and distributed along the deformation direction, which could restrain processing of discontinuous DRX because of pinning grain boundaries. When the temperature increased to 1150 °C, precipitates disappeared and sharper substructure in ferrite and some serrated boundaries in austenite were observed, indicating the leading softening behaviors were DRV in ferrite and discontinuous DRX in austenite. When the temperature reached 1250 °C, sharper substructure in ferrite and no obvious serrated boundaries in austenite showed that softening behavior was mainly DRV in ferrite. With the increasing of strain rate, the load was transformed from ferrite to austenite, leading to strain accumulation in austenite in latter stages until the triggering of discontinuous DRX.
- (3)
- The peak stress of 2707 HDSS was well fitted by the constitutive modeling of the hyperbolic sine function. Due to the higher content of Cr, Mo, Ni, and N, 2707 HDSS processed higher apparent activation energy (569.279 kJ·mol−1) than traditional DSSs.
- (4)
- The hyperbolic sine constitutive model considering the compensation of strain was developed. A sixth order polynomial was found to be most suitable for describing the relationship between the material constants and the strains. The developed constitutive relationships of flow stress with strain, strain rate, and temperature were successfully used to predict the flow stresses under various deformation conditions, and the correlation coefficient and average absolute relative error were 0.992 and 5.22%, respectively.
Acknowledgments
Author Contributions
Conflicts of Interest
References
- Örnek, C.; Idris, S.A.M.; Reccagni, P.; Engelberg, D.L. Atmospheric-induced stress corrosion cracking of grade 2205 duplex stainless steel-effects of 475 °C embrittlement and process orientation. Metals 2016, 6, 167. [Google Scholar] [CrossRef]
- Kim, S.K.; Kang, K.Y.; Kim, M.S.; Lee, J.M. Low-temperature mechanical behavior of super duplex stainless steel with sigma precipitation. Metals 2016, 5, 1732–1745. [Google Scholar] [CrossRef]
- Zhao, H.; Zhang, Z.Y.; Zhang, H.Z.; Hu, J.; Li, J. Effect of aging time on intergranular corrosion behavior of a newly developed LDX 2404 lean duplex stainless steel. J. Alloys Compd. 2016, 672, 147–154. [Google Scholar] [CrossRef]
- Li, H.B.; Zhou, E.Z.; Zhang, D.W.; Xu, D.K.; Xia, J.; Yang, C.; Feng, H.; Jiang, Z.H.; Li, X.G.; Gu, T.Y.; et al. Microbiologically influenced corrosion of 2707 hyper-duplex stainless steel by marine pseudomonas aeruginosa biofilm. Sci. Rep.-UK 2016, 6, 20190. [Google Scholar] [CrossRef] [PubMed]
- Stenvall, P.; Holmquist, M. Weld properties of Sandvik SAF 2707. Metall. Ital. 2008, 10, 11–18. [Google Scholar]
- Momeni, A.; Kazemi, S.; Bahrani, A. Hot deformation behavior of microstructural constituents in a duplex stainless steel during high-temperature straining. Int. J. Miner. Metall. Mater. 2013, 20, 953–960. [Google Scholar] [CrossRef]
- Yang, L.C.; Pan, Y.T.; Chen, I.G.; Lin, D.Y. Constitutive relationship modeling and characterization of flow behavior under hot working for Fe–Cr–Ni–W–Cu–Co super-austenitic stainless steel. Metals 2015, 5, 1717–1731. [Google Scholar] [CrossRef]
- Farnoush, H.; Momeni, A.; Dehghani, K.; Mohandesi, J.A.; Keshmiri, H. Hot deformation characteristics of 2205 duplex stainless steel based on the behavior of constituent phases. Mater. Des. 2010, 31, 220–226. [Google Scholar] [CrossRef]
- Liu, Y.Y.; Yan, H.T.; Wang, X.H.; Yan, M. Effect of hot deformation mode on the microstructure evolution of lean duplex stainless steel 2101. Mater. Sci. Eng. A 2013, 575, 41–47. [Google Scholar] [CrossRef]
- Momeni, A.; Dehghan, K. Hot working behavior of 2205 austenite–ferrite duplex stainless steel characterized by constitutive equations and processing maps. Mater. Sci. Eng. A 2011, 528, 1448–1454. [Google Scholar] [CrossRef]
- Zou, D.N.; Wu, K.; Han, Y.; Zhang, W.; Cheng, B.; Qiao, G.J. Deformation characteristic and prediction of flow stress for as-cast 21Cr economical duplex stainless steel under hot compression. Mater. Des. 2013, 51, 975–982. [Google Scholar] [CrossRef]
- Ashtiania, H.R.R.; Parsab, M.H.; Bisadia, H. Constitutive equations for elevated temperature flow behavior of commercial purity aluminum. Mater. Sci. Eng. A 2012, 545, 61–67. [Google Scholar] [CrossRef]
- Abbasi-Bani, A.; Zarei-Hanzaki, A.; Pishbin, M.H.; Haghdadi, N. A comparative study on the capability of Johnson–Cook and Arrhenius-type constitutive equations to describe the flow behavior of Mg–6Al–1Zn alloy. Mech. Mater. 2014, 71, 52–61. [Google Scholar] [CrossRef]
- Lin, Y.C.; Chen, X.M. A critical review of experimental results and constitutive descriptions for metals and alloys in hot working. Mater. Des. 2011, 32, 1733–1759. [Google Scholar] [CrossRef]
- Haghdadi, N.; Zarei-Hanzaki, A.; Khalesian, A.R.; Abedi, H.R. Artificial neural network modeling to predict the hot deformation behavior of an A356 aluminum alloy. Mater. Des. 2013, 49, 389–361. [Google Scholar] [CrossRef]
- Haghdadi, N.; Zarei-Hanzaki, A.; Abedi, H.R. The flow behavior modeling of cast A356 aluminum alloy at elevated temperatures considering the effect of strain. Mat. Sci. Eng. A 2012, 535, 252–257. [Google Scholar] [CrossRef]
- Li, H.P.; He, L.F.; Zhao, G.Q.; Zhang, L. Constitutive relationships of hot stamping boron steel B1500HS based on the modified Arrhenius and Johnson–Cook model. Mater. Sci. Eng. A 2013, 580, 330–348. [Google Scholar] [CrossRef]
- Lin, Y.C.; Xia, Y.C.; Chen, X.M.; Chen, M.S. Constitutive descriptions for hot compressed 2124-T851 aluminum alloy over a wide range of temperature and strain rate. Comput. Mater. Sci. 2010, 50, 227–233. [Google Scholar] [CrossRef]
- Sun, C.Y.; Zuo, X.; Xiang, Y.; Yang, J. Investigation on hot deformation behavior and hot processing map of BSTMUF601 super-alloy. Metals 2016, 70, 1–8. [Google Scholar] [CrossRef]
- Pu, E.X.; Feng, H.; Liu, M.; Zheng, W.J.; Dong, H.; Song, Z.G. Constitutive modeling for flow behaviors of super austenitic stainless steels S32654 during hot deformation. J. Iron Steel Res. Int. 2016, 23, 178–184. [Google Scholar] [CrossRef]
- Yang, Y.H.; Yan, B. The microstructure and flow behavior of 2205 duplex stainless steels during high temperature compression deformation. Mater. Sci. Eng. A 2013, 579, 194–201. [Google Scholar] [CrossRef]
- Haghdadi, N.; Martin, D.; Hodgson, P. Physically-based constitutive modelling of hot deformation behavior in a LDX 2101 duplex stainless steel. Mater. Des. 2016, 106, 420–427. [Google Scholar] [CrossRef]
- Si, J.Y.; Liao, X.H.; Xie, L.Q.; Lin, K.H. Flow behavior and constitutive modeling of delta-processed Inconel 718 alloy. J. Iron Steel Res. Int. 2015, 22, 837–845. [Google Scholar] [CrossRef]
- Han, Y.; Zou, D.N.; Chen, Z.Y.; Fan, G.W.; Zhang, W. Investigation on hot deformation behavior of 00Cr23Ni4N duplex stainless steel under medium–high strain rates. Mater. Charact. 2011, 62, 198–203. [Google Scholar] [CrossRef]
- Paulraj, P.; Garg, R. Effect of intermetallic phases on corrosion behavior and mechanical properties of duplex stainless steel and super duplex stainless steel. Adv. Sci. Technol. Res. J. 2015, 9, 87–105. [Google Scholar] [CrossRef]
- Doherty, R.D.; Hughes, D.A.; Humphreys, F.J.; Jonas, J.J.; Juul Jensen, D.; Kassner, M.E.; King, W.E.; McNelley, T.R.; McQueen, H.J.; Rollett, A.D. Current issues in recrystallization: A review. Mater. Sci. Eng. A 1997, 238, 219–274. [Google Scholar] [CrossRef]
- Smith, C.S. Grains, phases, and interfaces—An interpretation of microstructure. Trans. Metall. Soc. AIME 1948, 175, 15–51. [Google Scholar]
- Zurob, H.S.; Brechet, Y.; Purdy, G. A model for the competition of precipitation and recrystallization in deformed austenite. Acta Mater. 2001, 49, 4183–4190. [Google Scholar] [CrossRef]
- Vervynckt, S.; Verbeken, K.; Thibauxc, P.; Houbaert, Y. Recrystallization–precipitation interaction during austenite hot deformation of a Nb microalloyed steel. Mater. Sci. Eng. A 2011, 528, 5519–5528. [Google Scholar] [CrossRef]
- Timokhina, I.; Pereloma, E.V.; Hodgson, P. The formation of complex microstructures after different deformation modes in advanced high-strength steels. Metall. Mater. Trans. A 2014, 45, 4247–4256. [Google Scholar] [CrossRef] [Green Version]
- Ma, X.C.; An, Z.J.; Chen, L.; Mao, T.Q.; Wang, J.F.; Long, H.J.; Xue, H.Y. The effect of rare earth alloying on the hot workability of duplex stainless steel—A study using processing map. Mater. Des. 2015, 86, 848–854. [Google Scholar] [CrossRef]
- Balancin, O.; Hoffmann, W.A.M.; Jonas, J.J. Influence of microstructure on the flow behavior of duplex stainless steels at high temperatures. Metall. Mater. Trans. A 2000, 31, 1353–1364. [Google Scholar] [CrossRef]
- Tehovnik, F.; Arzenšek, B.; Arh, B.; Skobir, D.; Pirnar, B.; Žužek, B. Microstructure evolution in SAF 2507 super duplex stainless steel. Mater. Technol. 2011, 45, 339–345. [Google Scholar]
- Ma, M.; Ding, H.; Tang, Z.Y.; Zhao, J.T.; Jiang, Z.H.; Li, G. Effect of strain rate and temperature on hot workability and flow behaviour of duplex stainless steel. Ironmak. Steelmak. 2016, 43, 88–96. [Google Scholar] [CrossRef]
- Wang, S.L.; Zhang, M.X.; Wu, H.C.; Yang, B. Study on the dynamic recrystallization model and mechanism of nuclear grade 316LN austenitic stainless steel. Mater. Charact. 2016, 118, 92–101. [Google Scholar] [CrossRef]
- Xi, T.; Yang, C.G.; Shahzad, M.B.; Yang, K. Study of the processing map and hot deformation behavior of a Cu-bearing 317LN austenitic stainless steel. Mater. Des. 2015, 87, 303–312. [Google Scholar] [CrossRef]
- Sun, C.Y.; Xiang, Y.; Zhou, Q.J.; Politis, D.J.; Sun, Z.H.; Wang, M.Q. Dynamic recrystallization and hot workability of 316LN stainless steel. Metals 2016, 6, 152. [Google Scholar] [CrossRef]
- McQueen, H.J.; Ryan, N.D. Constitutive analysis in hot working. Mater. Sci. Eng. A 2002, 322, 43–63. [Google Scholar] [CrossRef]
- McQueen, H.J.; Yue, A.S.; Ryan, N.D.; Fry, E. Hot working characteristics of steels in austenitic state. J. Mater. Process. Technol. 1995, 53, 293–310. [Google Scholar] [CrossRef]
- Zener, C.; Hollomon, J.H. Effect of strain rate upon plastic flow of steel. J. Appl. Phys. 1944, 22, 22–32. [Google Scholar] [CrossRef]
- Ma, M.; Ding, H.; Tang, Z.Y.; Zhao, J.W.; Jiang, Z.H.; Fan, G.W. Effects of temperature and strain rate on flow behavior and microstructural evolution of super duplex stainless steel under hot deformation. J. Iron Steel Res. Int. 2016, 23, 244–252. [Google Scholar] [CrossRef]
- Farabi, E.; Zarei-Hanzaki, A.; Pishbin, M.H.; Moallemi, M. Rationalization of duplex brass hot deformation behavior: The role of microstructural components. Mater. Sci. Eng. A 2015, 641, 360–368. [Google Scholar] [CrossRef]
- Pu, E.X.; Zheng, W.J.; Xiang, J.Z.; Song, Z.G.; Li, J. Hot deformation characteristic and processing map of superaustenitic stainless steel S32654. Mater. Sci. Eng. A 2014, 598, 174–182. [Google Scholar] [CrossRef]
- Cai, J.; Li, F.G.; Liu, T.Y.; Chen, B.; He, M. Constitutive equations for elevated temperature flow stress of Ti–6Al–4V alloy considering the effect of strain. Mater. Des. 2011, 32, 1144–1151. [Google Scholar] [CrossRef]
- Samantaray, D.; Mandal, S.; Bhaduri, A.K. Constitutive analysis to predict high-temperature flow stress in modified 9Cr–1Mo (P91) steel. Mater. Des. 2010, 31, 981–984. [Google Scholar] [CrossRef]
- Lin, Y.C.; Chen, M.S.; Zhong, J. Constitutive modeling for elevated temperature flow behavior of 42CrMo steel. Comput. Mater. Sci. 2008, 42, 470–477. [Google Scholar] [CrossRef]
- Mandal, S.; Rakesh, V.; Sivaprasad, P.V.; Venugopal, S.; Kasiviswanathan, K.V. Constitutive equations to predict high temperature flow stress in a Ti-modified austenitic stainless steel. Mater. Sci. Eng. A 2009, 500, 114–121. [Google Scholar] [CrossRef]
- Li, H.Y.; Wei, D.D.; Hu, J.D.; Li, Y.H.; Chen, S.L. Constitutive modeling for hot deformation behavior of T24 ferritic steel. Comput. Mater. Sci. 2012, 53, 425–430. [Google Scholar] [CrossRef]
- Phaniraj, M.P.; Lahiri, A.K. The applicability of neural network model to predict flow stress for carbon steels. J. Mater. Process. Technol. 2003, 141, 219–227. [Google Scholar] [CrossRef]
- Xiao, M.L.; Li, F.G.; Zhao, W.; Yang, G.L. Constitutive equation for elevated temperature flow behavior of TiNiNb alloy based on orthogonal analysis. Mater. Des. 2012, 35, 184–193. [Google Scholar] [CrossRef]














| Steel Grades | C | Si | Mn | Cr | Ni | Mo | N | Q/kJ·mol−1 |
|---|---|---|---|---|---|---|---|---|
| as-21Cr EDSS [11] | 0.02 | 0.58 | 4.65 | 21.03 | 1.26 | 0.03 | 0.24 | 401.6 |
| 2205 DSS [21] | 0.023 | 0.001 | 1.35 | 22.07 | 4.83 | 2.37 | 0.19 | 460.9 |
| 2507 [41] | 0.03 | 0.37 | 1.08 | 25.21 | 7.08 | 4.23 | 0.26 | 493.0 |
| 2707 HDSS | 0.0044 | 0.42 | 1.11 | 26.83 | 7.14 | 4.88 | 0.37 | 569.279 |
| α | β | n | Q | lnA |
|---|---|---|---|---|
| α0 = 0.00778 | β0 = 0.05921 | n0 = 5.38072 | Q0 = 433.7134 | A0 = 37.6406 |
| α1 = 0.01391 | β1 = 0.24588 | n1 = 4.23215 | Q1 = 3340.689 | A1 = 267.325 |
| α2 = −0.13113 | β2 = −2.35617 | n2 = −58.3197 | Q2 = −26,985.42 | A2 = −2155.24 |
| α3 = 0.68476 | β3 = 9.23339 | n3 = 145.989 | Q3 = 96,937.91 | A3 = 7660.88 |
| α4 = −1.61171 | β4 = −16.0984 | n4 = 5.81170 | Q4 = −171,312.5 | A4 = −13,301.7 |
| α5 = 1.76105 | β5 = 12.4872 | n5 = −350.183 | Q5 = 146,514.1 | A5 = 11,097.16 |
| α6 = −0.73869 | β6 = −3.37538 | n6 = 277.087 | Q6 = −48,226.32 | A6 = −3528.39 |
© 2016 by the authors; licensee MDPI, Basel, Switzerland. This article is an open access article distributed under the terms and conditions of the Creative Commons Attribution (CC-BY) license (http://creativecommons.org/licenses/by/4.0/).
Share and Cite
Li, H.; Jiao, W.; Feng, H.; Li, X.; Jiang, Z.; Li, G.; Wang, L.; Fan, G.; Han, P. Deformation Characteristic and Constitutive Modeling of 2707 Hyper Duplex Stainless Steel under Hot Compression. Metals 2016, 6, 223. https://doi.org/10.3390/met6090223
Li H, Jiao W, Feng H, Li X, Jiang Z, Li G, Wang L, Fan G, Han P. Deformation Characteristic and Constitutive Modeling of 2707 Hyper Duplex Stainless Steel under Hot Compression. Metals. 2016; 6(9):223. https://doi.org/10.3390/met6090223
Chicago/Turabian StyleLi, Huabing, Weichao Jiao, Hao Feng, Xinxu Li, Zhouhua Jiang, Guoping Li, Lixin Wang, Guangwei Fan, and Peide Han. 2016. "Deformation Characteristic and Constitutive Modeling of 2707 Hyper Duplex Stainless Steel under Hot Compression" Metals 6, no. 9: 223. https://doi.org/10.3390/met6090223
APA StyleLi, H., Jiao, W., Feng, H., Li, X., Jiang, Z., Li, G., Wang, L., Fan, G., & Han, P. (2016). Deformation Characteristic and Constitutive Modeling of 2707 Hyper Duplex Stainless Steel under Hot Compression. Metals, 6(9), 223. https://doi.org/10.3390/met6090223
