Effects of Surface Structure and Chemical Composition of Binary Ti Alloys on Cell Differentiation
Abstract
:1. Introduction
2. Materials and Methods
2.1. Preparation of Ti Alloys
2.2. Surface Modification
2.3. Surface Characterization
2.3.1. Phase Analysis
2.3.2. Surface Structure Measurements
2.3.3. Contact Angle Measurements
2.3.4. Surface Roughness Measurements
2.3.5. ICP-MS Measurements
2.4. Cell Differentiation Evaluation
2.4.1. Cell Adhesion
2.4.2. MTT Assay Test
2.4.3. Total Protein Content
2.4.4. ALPase Activity
2.5. Statistical Analysis
3. Results and Discussion
3.1. XRD Patterns
3.2. Microstructure Observation
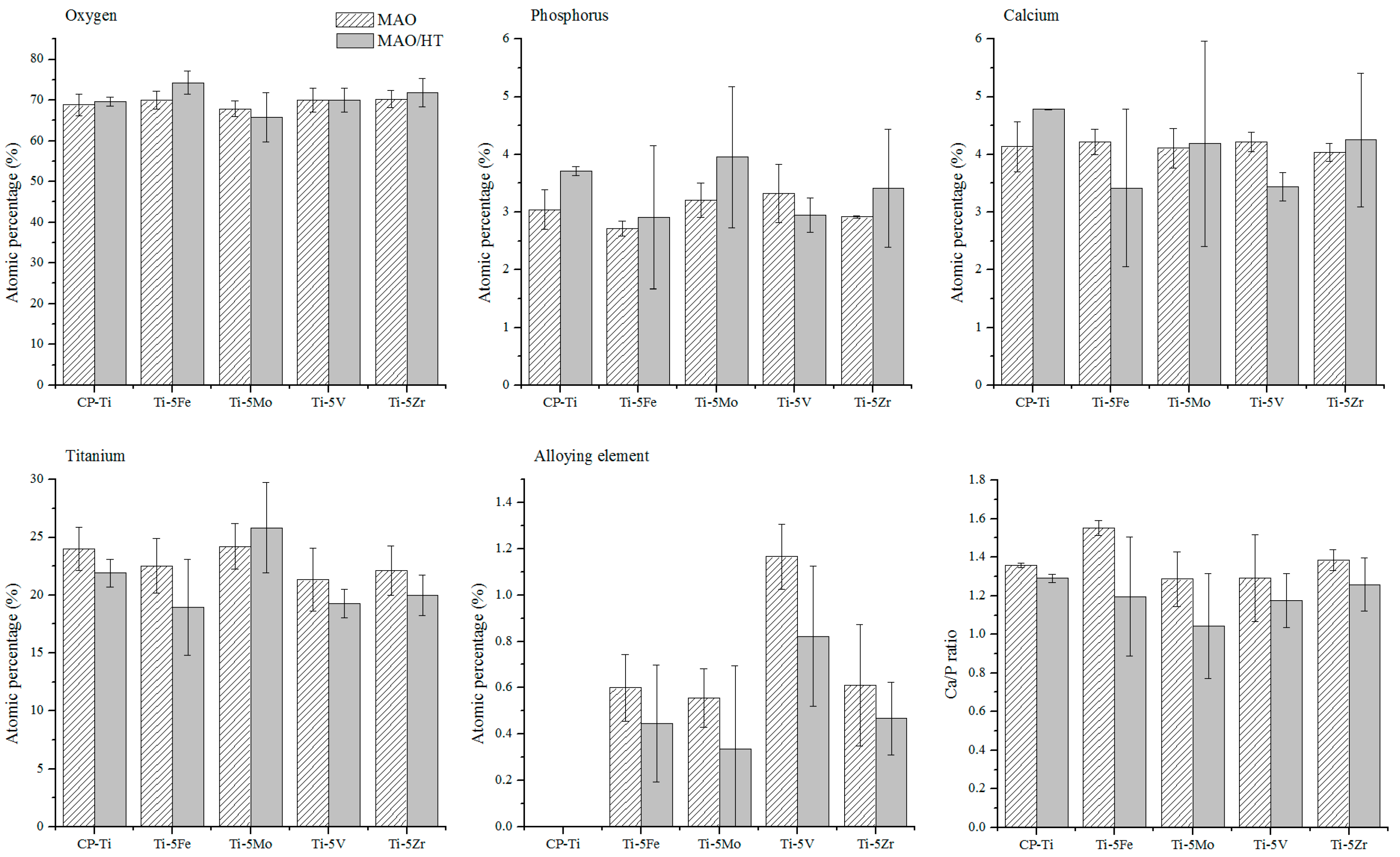
3.3. Chemical Composition and Crystalline Structure
3.4. Contact Angles
3.5. Surface Roughness Data
3.6. ICP-MS Analyses
3.7. MTT Assay Tests
3.8. Total Protein and ALPase Activity
4. Conclusions
Acknowledgments
Author Contributions
Conflicts of Interest
References
- Sul, Y.J.; Johansson, C.B.; Petronis, S.; Krozer, A.; Jeong, Y.; Wennerberg, A.; Albrektsson, T. Characteristics of the surface oxides on turned and electrochemically oxidized pure titanium implants up to dielectric breakdown: The oxide thickness, micropore configurations, surface roughness, crystal structure and chemical composition. Biomaterials 2002, 23, 491–501. [Google Scholar] [CrossRef]
- Ishizawa, H.; Fujino, M.; Ogino, M. Histomorphometric evaluation of the thin hydroxyapatite layer formed through anodization followed by hydrothermal treatment. J. Biomed. Mater. Res. 1997, 35, 199–206. [Google Scholar] [CrossRef]
- Liu, F.; Wang, F.; Shimizu, T.; Igarashi, K.; Zhao, L. Formation of hydroxyapatite on Ti-6Al-4V alloy by microarc oxidation and hydrothermal treatment. Surf. Coat. Technol. 2005, 199, 220–224. [Google Scholar] [CrossRef]
- Deligianni, D.D.; Katsala, N.; Ladas, S.; Sotiropoulou, D.; Amedee, J.; Missirlis, Y. Effect of surface roughness of the titanium alloy Ti-6Al-4V on human bone marrow cell response and on protein adsorption. Biomaterials 2001, 22, 1241–1251. [Google Scholar] [CrossRef]
- D’Lima, D.D.; Lemperle, S.M.; Chen, P.C.; Holmes, R.E.; Colwell, C.W. Bone response to implant surface morphology. J. Arthroplast. 1998, 13, 928–934. [Google Scholar] [CrossRef]
- Vandrovcová, M.; Bacakova, L. Adhesion, growth and differentiation of osteoblasts on surface-modified materials developed for bone implants. Physiol. Res. 2011, 60, 403–417. [Google Scholar] [PubMed]
- Chun, A.L.; Moralez, J.G.; Fenniri, H.; Webster, T.J. Helical rosette nanotubes: A more effective orthopaedic implant material. Nanotechnology 2004, 15, S234–S239. [Google Scholar] [CrossRef]
- Song, Y.H.; An, J.H.; Seo, Y.W.; Moon, W.J.; Park, Y.J.; Song, H.J. Osteoblast cell adhesion and viability on nanostructured surfaces of porous titanium oxide layer. J. Nanosci. Nanotechnol. 2014, 14, 5682–5687. [Google Scholar] [CrossRef] [PubMed]
- Bania, P.J. Beta titanium alloys and their role in the titanium industry. JOM 1994, 46, 16–19. [Google Scholar] [CrossRef]
- Biesiekierski, A.; Wang, J.; Gepreel, M.A.H.; Wen, C. A new look at biomedical Ti-based shape memory alloys. Acta Biomater. 2012, 8, 1661–1669. [Google Scholar] [CrossRef] [PubMed]
- Mendel, R.R. Cell biology of molybdenum in plants. Plant Cell Rep. 2011, 30, 1787–1797. [Google Scholar] [CrossRef] [PubMed]
- Collery, P.; Corbella, J.; Domingo, J.L.; Etienne, J.C.; Llobet, J.M. Metal ions in Biology and Medicine; John Libbery Eurotext: Montrouge, France, 1996; Volume 4, pp. 294–297. [Google Scholar]
- Park, Y.J.; Song, Y.H.; An, J.H.; Song, H.J.; Anusavice, K.J. Cytocompatibility of pure metals and experimental binary titanium alloys for implant materials. J. Dent. 2013, 41, 1251–1258. [Google Scholar] [CrossRef] [PubMed]
- Wen, C.E.; Xu, W.; Hu, W.Y.; Hodgson, P.D. Hydroxyapatite/titania sol-gel coatings on titanium-zirconium alloy for biomedical applications. Acta Biomater. 2007, 3, 403–410. [Google Scholar] [CrossRef] [PubMed]
- Sista, S.; Wen, C.; Hodgson, P.D.; Pande, G. The influence of surface energy of titanium-zirconium alloy on osteoblast cell functions in vitro. J. Biomed. Mater. Res. A 2011, 97, 27–36. [Google Scholar] [CrossRef] [PubMed]
- Saulacic, N.; Bosshardt, D.D.; Bornstein, M.M.; Berner, S.; Buser, D. Bone apposition to a titanium-zirconium alloy implant, as compared to two other titanium-containing implants. Eur. Cell. Mater. 2012, 23, 273–288. [Google Scholar] [PubMed]
- Liu, F.; Song, Y.; Wang, F.P.; Shimizu, T.; Igarashi, K.; Zhao, L.C. Formation characterization of hydroxyapatite on titanium by microarc oxidation and hydrothermal treatment. J. Biosci. Bioeng. 2005, 100, 100–104. [Google Scholar] [CrossRef] [PubMed]
- Kim, H.M.; Miyaji, F.; Kokubo, T.; Nishiguchi, S.; Nakamura, T. Graded surface structure of bioactive titanium prepared by chemical treatment. J. Biomed. Mater. Res. 1999, 45, 100–107. [Google Scholar] [CrossRef]
- Vardanyan, Z.; Trchounian, A. Fe(III) and Fe(II) ions different effects on Enterococcus hirae cell growth and membrane-associated ATPase activity. Biochem. Biophs. Res. Commun. 2012, 417, 541–545. [Google Scholar] [CrossRef] [PubMed]
- Laham, N.; Ehrlich, R. Manipulation if iron to determine survival: Competition between host and pathogen. Immunol. Res. 2004, 30, 15–28. [Google Scholar] [CrossRef]











| Samples | Current (mA) | Time (s) |
|---|---|---|
| cp-Ti | 30 | 210 |
| Ti-5Fe | 30 | 300 |
| Ti-5Mo | 30 | 210 |
| Ti-5V | 40 | 210 |
| Ti-5Zr | 30 | 210 |
| Samples | Measuring Area (40 μm × 27 μm) | ||
|---|---|---|---|
| Number of Pores | Average Pore Area (μm2) | Total Pore Area (μm2) | |
| cp-Ti | 170 | 0.93 | 157.29 |
| Ti-5Fe | 281 | 0.47 | 130.66 |
| Ti-5Mo | 353 | 0.43 | 150.91 |
| Ti-5V | 213 | 0.57 | 121.54 |
| Ti-5Zr | 279 | 0.56 | 154.88 |
| Samples | Contact Angle (degree) | ||
|---|---|---|---|
| POL (SD) | MAO (SD) | MAO/HT (SD) | |
| cp-Ti | 40.15 (6.01) b,* | 28.57 (2.83) a | 2.13 (2.32) a |
| Ti-5Fe | 45.63 (3.06) b | 27.05 (8.79) a | 3.00 (2.61) a |
| Ti-5Mo | 62.42 (1.76) a | 21.37 (5.99) a | 1.80 (3.12) a |
| Ti-5V | 61.53 (6.03) a | 25.70 (7.50) a | 2.77 (2.48) a |
| Ti-5Zr | 55.43 (4.63) a | 29.85 (7.54) a | 0.80 (1.39) a |
| Samples | Surface Treatment (unit: μm) | |||||||||||
|---|---|---|---|---|---|---|---|---|---|---|---|---|
| POL | MAO | MAO/HT | ||||||||||
| Ra (1) | Rq (2) | Rt (3) | Rz (4) | Ra | Rq | Rt | Rz | Ra | Rq | Rt | Rz | |
| cp-Ti | 0.20 a,* (0.03) | 0.24 a (0.04) | 1.45 a (0.19) | 0.43 b (0.07) | 0.66 a (0.06) | 0.84 a (0.07) | 10.20 a (0.37) | 2.81 a (0.23) | 0.62 a (0.01) | 0.77 a (0.01) | 8.17 a (1.56) | 3.29 a (0.39) |
| Ti-5Fe | 0.15 b (0.01) | 0.18 b (0.01) | 1.03 b (0.26) | 0.45 b (0.05) | 0.46 c (0.02) | 0.61 c (0.01) | 8.16 b,c (0.74) | 2.17 b,c (0.39) | 0.50 b (0.02) | 0.64 c (0.02) | 6.64 a (0.03) | 2.72 a,b (0.40) |
| Ti-5Mo | 0.13 b (0.00) | 0.15 b (0.01) | 1.01 b (0.03) | 0.37 b (0.07) | 0.40 d (0.01) | 0.52 d (0.01) | 7.03 c (0.25) | 1.69 c (0.10) | 0.44 c (0.02) | 0.56 d (0.03) | 6.77 a (1.96) | 2.45 b (0.32) |
| Ti-5V | 0.16 a,b (0.00) | 0.19 a,b (0.01) | 1.26 a,b (0.06) | 0.62 a (0.01) | 0.46 c (0.03) | 0.59 c,d (0.04) | 8.50 a,b,c (1.12) | 2.20 b (0.36) | 0.45 c (0.01) | 0.56 d (0.02) | 6.01 a (0.68) | 2.62 a,b (0.37) |
| Ti-5Zr | 0.16 a,b (0.04) | 0.19 a,b (0.05) | 1.26 a,b (0.29) | 0.61 a (0.12) | 0.53 b (0.03) | 0.73 b (0.04) | 9.58 a,b (1.62) | 2.32 b (0.09) | 0.54 b (0.04) | 0.68 b (0.03) | 6.91 a (0.33) | 2.68 a,b (0.40) |
| Samples | Target Element | Concentration (ppb) | ||
|---|---|---|---|---|
| POL | MAO | MAO/HT | ||
| cp-Ti | Ti | 5839 | 7044 | 7068 |
| Ti-5Fe | Fe | 4.76 | 8.93 | 15.18 |
| Ti | 5831 | 5808 | 6176 | |
| Ti-5Mo | Mo | 0.99 | 4.02 | 342 |
| Ti | 5669 | 5720 | 7610 | |
| Ti-5V | V | 215 | 19 | 77 |
| Ti | 8144 | 5906 | 6600 | |
| Ti-5Zr | Zr | 0.02 | 0.02 | 0.02 |
| Ti | 6243 | 6633 | 8368 | |
| Samples | Cell Spreading Area (μm2) | ||
|---|---|---|---|
| Average Number of Attached Cells (SD *) | |||
| POL | MAO | MAO/HT | |
| cp-Ti | 2127 7.4 (0.8) | 5736 7.4 (0.8) | 3417 7.0 (1.3) |
| Ti-5Fe | 2586 8.1 (0.7) | 9803 8.9 (1.7) | 8305 9.4 (1.5) |
| Ti-5Mo | 5688 10.7 (2.3) | 8341 9.3 (1.9) | 7125 8.7 (2.1) |
| Ti-5V | 4135 9.0 (1.6) | 3664 8.1 (1.8) | 4707 7.7 (1.7) |
| Ti-5Zr | 3351 9.1 (1.9) | 5750 8.7 (1.1) | 5025 8.3 (2.0) |
© 2016 by the authors; licensee MDPI, Basel, Switzerland. This article is an open access article distributed under the terms and conditions of the Creative Commons Attribution (CC-BY) license (http://creativecommons.org/licenses/by/4.0/).
Share and Cite
Han, O.-S.; Hwang, M.-J.; Song, Y.-H.; Song, H.-J.; Park, Y.-J. Effects of Surface Structure and Chemical Composition of Binary Ti Alloys on Cell Differentiation. Metals 2016, 6, 150. https://doi.org/10.3390/met6070150
Han O-S, Hwang M-J, Song Y-H, Song H-J, Park Y-J. Effects of Surface Structure and Chemical Composition of Binary Ti Alloys on Cell Differentiation. Metals. 2016; 6(7):150. https://doi.org/10.3390/met6070150
Chicago/Turabian StyleHan, Ok-Sung, Moon-Jin Hwang, Yo-Han Song, Ho-Jun Song, and Yeong-Joon Park. 2016. "Effects of Surface Structure and Chemical Composition of Binary Ti Alloys on Cell Differentiation" Metals 6, no. 7: 150. https://doi.org/10.3390/met6070150
APA StyleHan, O.-S., Hwang, M.-J., Song, Y.-H., Song, H.-J., & Park, Y.-J. (2016). Effects of Surface Structure and Chemical Composition of Binary Ti Alloys on Cell Differentiation. Metals, 6(7), 150. https://doi.org/10.3390/met6070150
