Effects of Cr2N Precipitation on the Antibacterial Properties of AISI 430 Stainless Steel
Abstract
:1. Introduction
2. Materials and Methods
2.1. Sample Preparation
2.2. Antibacterial Test
2.3. Microstructure Analysis
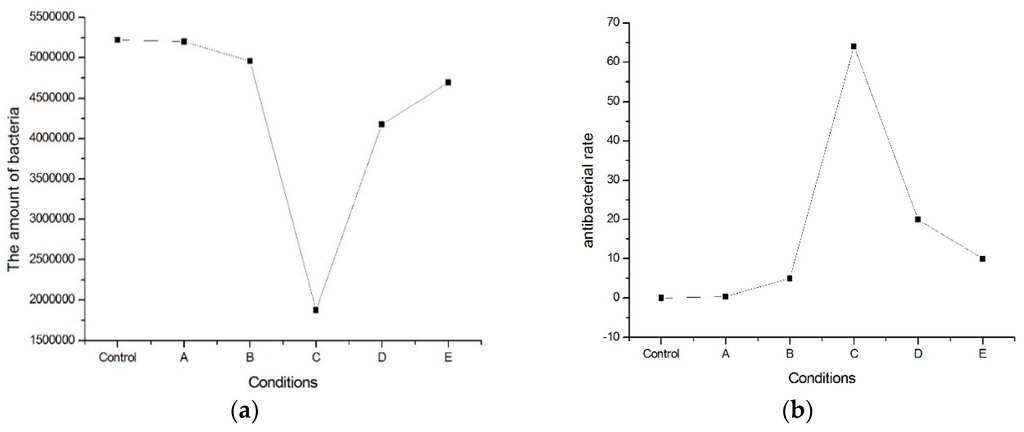
3. Results
4. Discussion
5. Conclusions
Acknowledgments
Author Contributions
Conflicts of Interest
References
- Gehrig, L.M. Orthopedic surgery. Am. J. Surg. 2011, 202, 364–368. [Google Scholar] [CrossRef] [PubMed]
- Chen, Q.; Thouas, G.A. Metallic implant biomaterials. Mater. Sci. Eng. R Rep. 2015, 87, 1–57. [Google Scholar] [CrossRef]
- Prasad, S.; Ehrensberger, M.; Gibson, M.P.; Kim, H.; Monaco, E.A. Biomaterial properties of titanium in dentistry. J. Oral. Biosci. 2015, 57, 1–8. [Google Scholar] [CrossRef]
- Mahapatro, A. Bio-functional nano-coatings on metallic biomaterials. Mater. Sci. Eng. C Mater. Biol. Appl. 2015, 55, 227–251. [Google Scholar] [CrossRef] [PubMed]
- Ren, L.; Yang, K. Bio-functional design for metal implants, a new concept for development of metallic biomaterials. J. Mater. Sci. Technol. 2013, 29, 1005–1010. [Google Scholar] [CrossRef]
- Barrère, F.; Mahmood, T.A.; de Groot, K.; van Blitterswijk, C.A. Advanced biomaterials for skeletal tissue regeneration: Instructive and smart functions. Mater. Sci. Eng. R Rep. 2008, 59, 38–71. [Google Scholar] [CrossRef]
- Geetha, M.; Singh, A.K.; Asokamani, R.; Gogia, A.K. Ti based biomaterials, the ultimate choice for orthopaedic implants—A review. Prog. Mater. Sci. 2009, 54, 397–425. [Google Scholar] [CrossRef]
- Liu, X.; Chu, P.; Ding, C. Surface modification of titanium, titanium alloys, and related materials for biomedical applications. Mater. Sci. Eng. R Rep. 2004, 47, 49–121. [Google Scholar] [CrossRef]
- Lyndon, J.A.; Boyd, B.J.; Birbilis, N. Metallic implant drug/device combinations for controlled drug release in orthopaedic applications. J. Control. Release 2014, 179, 63–75. [Google Scholar] [CrossRef] [PubMed]
- Newson, T. Stainless Steel for Hygienic Applications; European Confederation of Iron and Steel Industries: Brussels, Belgium, 2003. [Google Scholar]
- Dong, J.; Chen, S.; Lu, M.; Yang, K. History and current status of antibacterial material. Mater. Rev. 2004, 18, 41–46. [Google Scholar]
- Yan, Y.; Zhao, Y. Inorganic antimicrobial materials. Chem. Ind. Eng. Prog. 2001, 7, 5–9. [Google Scholar]
- Li, M.; Nan, L.; Xu, D.; Ren, G.; Yang, K. Antibacterial performance of a Cu-bearing stainless steel against microorganisms in tap water. J. Mater. Sci. Technol. 2015, 31, 243–251. [Google Scholar] [CrossRef]
- Yang, K.; Lu, M. Antibacterial properties of an austenitic antibacterial stainless steel and its security for human body. J. Mater. Sci. Technol. 2007, 23, 333–336. [Google Scholar]
- Nan, L.; Yang, W.C.; Liu, Y.Q.; Xu, H.; Li, Y.; Lu, M.; Yang, K. Antibacterial mechanism of copper-bearing antibacterial stainless steel against E. coli. J. Mater. Sci. Technol. 2008, 24, 197–201. [Google Scholar]
- Ju, L.T.; Jhu, S.T. The Antibacterial Influence of Seperates Out the Cupric Ion from the Stainless Steel; Far East University: Vladivostok, Russia, 2004; pp. 707–717. [Google Scholar]
- Chin-Min, C. A Study on the Antibacterial Properties of Silver-Bearing 2205 Duplex Stainless Steels; National Taiwan Ocean University: Keelung, Taiwan, 2010. [Google Scholar]
- Lin, Z.D. A Study on the Antibacterial Properties of Silver-Containing SUS 430 Stainless Steels; National Taiwan Ocean University: Keelung, Taiwan, 2010. [Google Scholar]
- Zeng, Y.S. A Study on the Properties of Antibacterial Silver-Bearing 316L Stainless Steel; National Taiwan Ocean University: Keelung, Taiwan, 2008. [Google Scholar]
- Zhang, D.; Ren, L.; Zhang, Y.; Xue, N.; Yang, K.; Zhong, M. Antibacterial activity against Porphyromonas gingivalis and biological characteristics of antibacterial stainless steel. Colloids Surf. B Biointerfaces 2013, 105, 51–57. [Google Scholar] [CrossRef] [PubMed]
- Chu, P.K. Enhancement of surface properties of biomaterials using plasma-based technologies. Surf. Coat. Technol. 2007, 201, 8076–8082. [Google Scholar] [CrossRef]
- Díaz-Visurraga, J.; Guetierrez, C.; von Plessing, C.; García, A. Metal nanostructures as antibacterial agents. Sci. Against Microb. Pathog. Commun. Curr. Res. Technol. Adv. 2011, 210–218. [Google Scholar]
- Dunnill, C.W.H.; Aiken, Z.A.; Pratten, J.; Wilson, M.; Morgan, D.J.; Parkin, I.P. Enhanced photocatalytic activity under visible light in N-doped TiO2 thin films produced by APCVD preparations using t-butylamine as a nitrogen source and their potential for antibacterial films. J. Photochem. Photobiol. A Chem. 2009, 207, 244–253. [Google Scholar] [CrossRef]
- Zhang, W.; Liu, J.; Wang, H.; Xu, Y.; Wang, P.; Ji, J.; Chu, P.K. Enhanced cytocompatibility of silver-containing biointerface by constructing nitrogen functionalities. Appl. Surf. Sci. 2015, 349, 327–332. [Google Scholar] [CrossRef]
- Hajipour, M.J.; Fromm, K.M.; Ashkarran, A.A.; de Aberasturi, D.J.; de Larramendi, I.R.; Rojo, T.; Serpooshan, V.; Parak, W.J.; Mahmoudi, M. Antibacterial properties of nanoparticles. Trends Biotechnol. 2012, 30, 499–511. [Google Scholar] [CrossRef] [PubMed]
- Rana, S.; Kalaichelvan, P.T. Antibacterial activities of metal nanoparticles. Adv. Biotech. 2011, 11, 21–23. [Google Scholar]
- Lu, M.Q.; Chen, S.H.; Dong, J.S.; Yang, K. Pilot study about the killing bacteria process and mechanism of ferrite antibacterial stainless steel. Metallic Funct. Mater. 2005, 12, 10–13. [Google Scholar]
- Society, T.M.I. ASM Handbook Volume 03—Alloy Phase Diagrams; ASM International: Novelty, OH, USA, 1992. [Google Scholar]
- Sung, J.H.; Kong, J.H.; Yoo, D.K.; On, H.Y.; Lee, D.J.; Lee, H.W. Phase changes of the AISI 430 ferritic stainless steels after high-temperature gas nitriding and tempering heat treatment. Mater. Sci. Eng. A 2008, 489, 38–43. [Google Scholar] [CrossRef]
- Shen, Y.Z.; Kim, S.H.; Cho, H.D.; Han, C.H.; Ryu, W.S. Influence of tempering temperature upon precipitate phases in a 11% Cr ferritic/martensitic steel. J. Nuclear Mater. 2010, 400, 94–102. [Google Scholar] [CrossRef]
- Mola, J.; de Cooman, B.C. Quenching and partitioning processing of transformable ferritic stainless steels. Scr. Mater. 2011, 65, 834–837. [Google Scholar] [CrossRef]
- Erneman, J.; Schwind, M.; Liu, P.; Nilsson, J.O.; Andrén, H.O.; Ågren, J. Precipitation reactions caused by nitrogen uptake during service at high temperatures of a niobium stabilised austenitic stainless steel. Acta Mater. 2004, 52, 4337–4350. [Google Scholar] [CrossRef]
- Zou, D.N.; Zhang, Z.; Zhang, S.L.; Bai, J.G.; Lin, Q.Z.; Han, Y. Effects of antibacterial treatment on microstructure and properties of copper-bearing ferrite stainless steel. Foundry Technol. 2005, 26, 1009–1011. [Google Scholar]
- Yang, K.; Chen, S.H.; Dong, J.S.; Lu, M.Q. The antibacterial properties of ferrite antibacterial stainless steel. Metallite Funct. Mater. 2005, 12, 6–9. [Google Scholar]
- Chieh, L.W. A Study of the Antibacterial Property of the SUS430 Stainless Steel Containing Copper; National Taiwan University: Taipei, Taiwan, 2000. [Google Scholar]
- Shi, F.; Wang, L.; Cui, W.; Liu, C. Precipitation kinetics of Cr2N in high nitrogen austenitic stainless steel. Iron Steel Res. Int. 2008, 15, 72–77. [Google Scholar] [CrossRef]
- Van Landeghem, H.P.; Gouné, M.; Redjaïmia, A. Nitride precipitation in compositionally heterogeneous alloys: Nucleation, growth and coarsening during nitriding. J. Crystal. Growth 2012, 341, 53–60. [Google Scholar] [CrossRef]







| Elements | Fe | Cr | Ni | N | C | Si | Mn | P | S | Solution Treatment/Aging | |
|---|---|---|---|---|---|---|---|---|---|---|---|
| Code | |||||||||||
| A | Bal. | 17.22 | 0.48 | - | 0.10 | 0.65 | 0.72 | 0.03 | 0.02 | 880 °C/1 h + 450 °C/16 h | |
| B | Bal. | 17.01 | 0.51 | 0.18 | 0.08 | 0.70 | 0.68 | 0.03 | 0.01 | 880 °C/1 h | |
| C | 880 °C/1 h + 450 °C/16 h | ||||||||||
| D | 880 °C/1 h + 500 °C/4 h | ||||||||||
| E | 880 °C/1 h + 550 °C/1 h | ||||||||||
© 2016 by the authors; licensee MDPI, Basel, Switzerland. This article is an open access article distributed under the terms and conditions of the Creative Commons by Attribution (CC-BY) license (http://creativecommons.org/licenses/by/4.0/).
Share and Cite
Du, J.-K.; Chao, C.-Y.; Jhong, Y.-T.; Wu, C.-H.; Wu, J.-H. Effects of Cr2N Precipitation on the Antibacterial Properties of AISI 430 Stainless Steel. Metals 2016, 6, 73. https://doi.org/10.3390/met6040073
Du J-K, Chao C-Y, Jhong Y-T, Wu C-H, Wu J-H. Effects of Cr2N Precipitation on the Antibacterial Properties of AISI 430 Stainless Steel. Metals. 2016; 6(4):73. https://doi.org/10.3390/met6040073
Chicago/Turabian StyleDu, Je-Kang, Chih-Yeh Chao, Yu-Ting Jhong, Chung-Hao Wu, and Ju-Hui Wu. 2016. "Effects of Cr2N Precipitation on the Antibacterial Properties of AISI 430 Stainless Steel" Metals 6, no. 4: 73. https://doi.org/10.3390/met6040073
APA StyleDu, J.-K., Chao, C.-Y., Jhong, Y.-T., Wu, C.-H., & Wu, J.-H. (2016). Effects of Cr2N Precipitation on the Antibacterial Properties of AISI 430 Stainless Steel. Metals, 6(4), 73. https://doi.org/10.3390/met6040073
