Corrosion Properties in Sodium Chloride Solutions of Al–TiC Composites in situ Synthesized by HFIHF
Abstract
:1. Introduction
2. Experimental Part
2.1. Manufacturing of Al–TiC Composites

2.2. Test Solution and Electrochemical Cell
2.3. Electrochemical Techniques
2.4. Surface Characterization
3. Results and Discussion
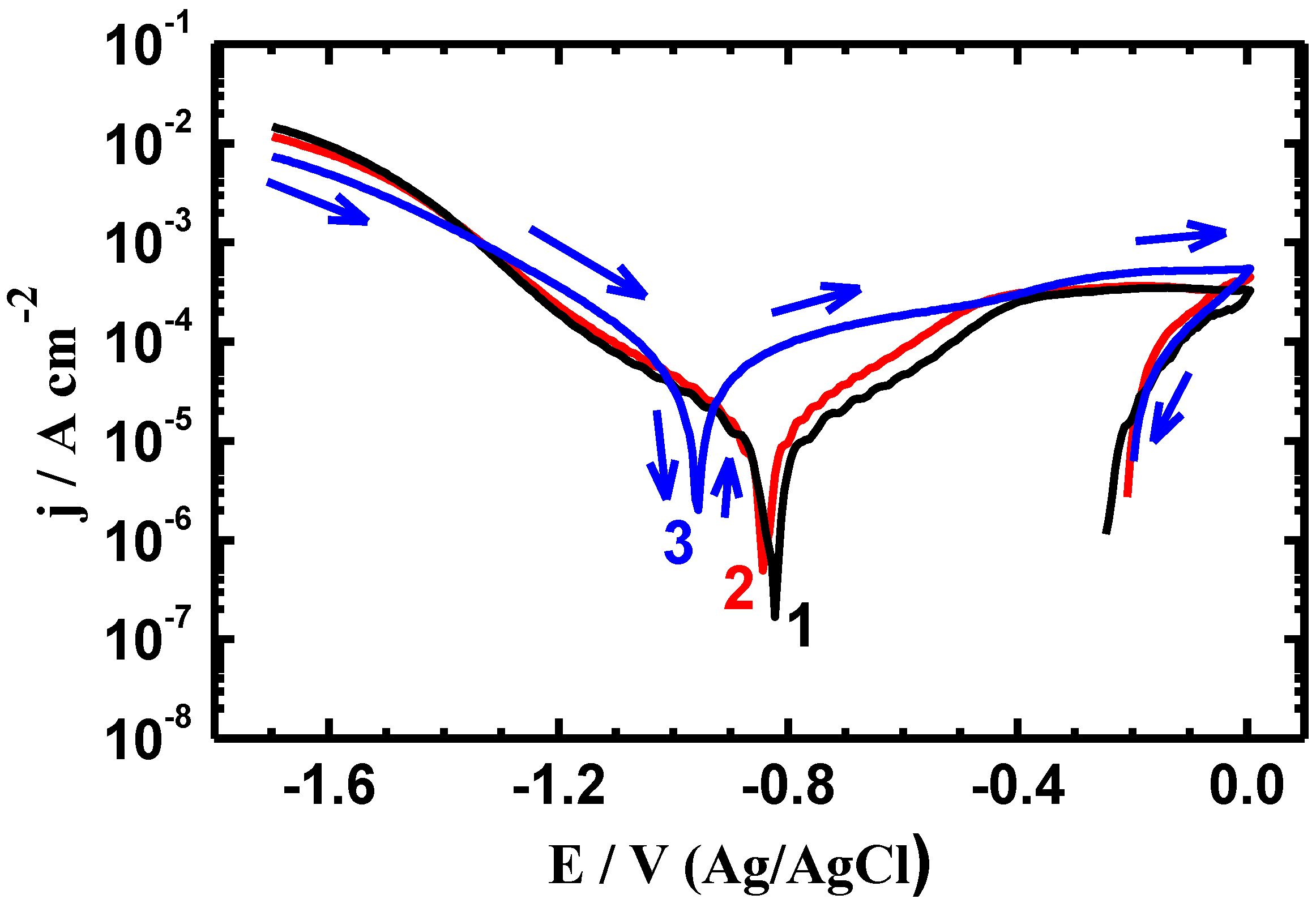
3.1. Cyclic Polarization Experiments
| Sintering Temperature | Corrosion Parameter | |||||
|---|---|---|---|---|---|---|
| βc/V dec−1 | ECorr/V | βa/V dec−1 | jCorr/µA cm−2 | Rp/Ω cm2 | RCorr/mpy | |
| 900 °C | 0.18 | −0.855 | 0.22 | 7 | 478.3 | 0.0996 |
| 1100 °C | 0.20 | −0.830 | 0.23 | 9 | 664.5 | 0.0775 |
| 1300 °C | 0.24 | −0.965 | 0.195 | 27 | 155.9 | 0.3321 |

3.2. Chronoamperometric Measurements

3.3. Surface Morphology Investigations

3.4. Open-Circuit Potential Measurements

3.5. Electrochemical Impedance Spectroscopy (EIS)


| Sintering Temperature | Parameters | |||||
|---|---|---|---|---|---|---|
| RS/Ω cm2 | Q | RP1/Ω cm2 | Cdl/F cm−2 | RP2/Ω cm2 | ||
| YQ/F cm−2 | n | |||||
| 900 °C | 16.09 | 0.002525 | 0.49 | 1.283 | 0.000381 | 545 |
| 1100 °C | 15.48 | 0.002543 | 0.51 | 0.985 | 0.000524 | 419 |
| 1300 °C | 13.97 | 0.007555 | 0.43 | 0.322 | 0.000145 | 243 |
4. Conclusions
Acknowledgments
Author Contributions
Conflicts of Interest
References
- Bockris, J.O.M.; Kang, Y. The protectivity of aluminum and its alloys with transition metals. J. Solid State Electrochem. 1997, 1, 17–35. [Google Scholar] [CrossRef]
- Sherif, E.-S.M.; Ammar, H.R.; Khalil, K.A. A comparative study on the electrochemical corrosion behavior of microcrystalline and nanocrystalline aluminum in natural seawater. Int. J. Electrochem. Sci. 2015, 10, 775–785. [Google Scholar]
- Fogagnolo, J.B.; Velasco, F.; Robert, J.H.; Torralba, J.M. Effect of mechanical alloying on the morphology, microstructure and properties of aluminium matrix composite powders. Mater. Sci. Eng. A 2003, 342, 131–143. [Google Scholar] [CrossRef]
- Sherif, E.-S.M.; Ammar, H.R.; Khalil, K.A. Effects of copper and titanium on the corrosion behavior of newly fabricated nanocrystalline aluminum in natural seawater. Appl. Surf. Sci. 2014, 301, 142–148. [Google Scholar] [CrossRef]
- Despić, A.R.; Dražić, D.M.; Purenović, M.M.; Ciković, N. Electrochemical properties of aluminium alloys containing indium, gallium and thallium. J. Appl. Electrochem. 1976, 6, 527–542. [Google Scholar] [CrossRef]
- Sherif, E.-S.M. Electrochemical investigations on the corrosion inhibition of aluminum by 3-amino-1,2,4-triazole-5-thiol in naturally aerated stagnant seawater. J. Ind. Eng. Chem. 2013, 19, 1884–1889. [Google Scholar] [CrossRef]
- Sherif, E.-S.M. Corrosion and Corrosion Inhibition of Aluminum in Arabian Gulf Seawater and Sodium Chloride Solutions by 3-Amino-5-Mercapto-1,2,4-Triazole. Int. J. Electrochem. Sci. 2011, 6, 1479–1492. [Google Scholar]
- Sherif, E.-S.M.; Almajid, A.A.; Latif, F.H.; Junaedi, H. Effects of Graphite on the Corrosion Behavior of Aluminum-Graphite Composite in Sodium Chloride Solutions. Int. J. Electrochem. Sci. 2011, 6, 1085–1099. [Google Scholar]
- Latief, F.H.; Sherif, E.-S.M.; Almajid, A.A.; Junaedi, H. Fabrication of exfoliated graphite nanoplatelets-reinforced aluminum composites and evaluating their mechanical properties and corrosion behavior. J. Anal. Appl. Pyrolysis 2011, 92, 485–492. [Google Scholar] [CrossRef]
- Ambat, R.; Davenport, A.J.; Scamans, G.M.; Afseth, A. Effect of iron-containing intermetallic particles on the corrosion behaviour of aluminium. Corros. Sci. 2006, 48, 3455–3471. [Google Scholar] [CrossRef]
- Sherif, E.-S.M.; Soliman, M.S.; El-Danaf, E.A.; Almajid, A.A. Effect of Equal-Channel Angular Pressing Passes on the Corrosion Behavior of 1050 Aluminum Alloy in Natural Seawater. Int. J. Electrochem. Sci. 2012, 7, 2846–2859. [Google Scholar]
- Sherif, E.-S.M.; El-Danaf, E.A.; Soliman, M.S.; Almajid, A.A. Corrosion Passivation in Natural Seawater of Aluminum Alloy 1050 Processed by Equal-Channel-Angular-Press. Int. J. Electrochem. Sci. 2013, 8, 1103–1116. [Google Scholar]
- Sulka, G.D.; Parkoła, K.G. Temperature influence on well-ordered nanopore structures grown by anodization of aluminium in sulphuric acid. Electrochim. Acta 2007, 52, 1880–1888. [Google Scholar] [CrossRef]
- Zahariev, A.; Kanazirski, I.; Girginov, A. Anodic alumina films formed in sulfamic acid solution. Inorg. Chim. Acta 2008, 361, 1789–1792. [Google Scholar] [CrossRef]
- Belkhaouda, M.; Bazzi, L.; Salghi, R.; Jbara, O.; Benlhachmi, A.; Hammouti, B.; Douglad, J. Effect of the heat treatment on the behaviour of the corrosion and passivation of 3003 aluminium alloy in synthetic solution. J. Mater. Environ. Sci. 2010, 1, 25–33. [Google Scholar]
- Adeosum, S.O.; Sekunowo, O.I.; Balgoun, S.A.; Obiekea, V.D. Corrosion Behaviour of Heat-Treated Aluminum-Magnesium Alloy in Chloride and EXCO Environments. Int. J. Corros. 2012. [Google Scholar] [CrossRef]
- Chen, S.; Chen, K.; Peng, G.; Jia, L.; Dong, P. Effect of heat treatment on strength, exfoliation corrosion and electrochemical behavior of 7085 aluminum alloy. Mater. Des. 2012, 35, 93–98. [Google Scholar] [CrossRef]
- Chen, S.-Y.; Chen, K.-H.; Dong, P.-X.; Ye, S.-P.; Huang, L.-P. Effect of heat treatment on stress corrosion cracking, fracture toughness and strength of 7085 aluminum alloy. Trans. Nonferrous Met. Soc. China 2014, 24, 2320–2325. [Google Scholar] [CrossRef]
- El-Danaf, E.A. Mechanical properties and microstructure evolution of 1050 aluminum severely deformed by ECAP to 16 passes. Mater. Sci. Eng. A 2008, 487, 189–200. [Google Scholar] [CrossRef]
- Song, D.; Ma, A.B.; Jiang, J.; Lin, P.; Yang, D.; Fan, J. Corrosion behavior of equal-channel-angular-pressed pure magnesium in NaCl aqueous solution. Corros. Sci. 2010, 52, 481–490. [Google Scholar] [CrossRef]
- Zhang, J.; Zhang, K.-S.; Wu, H.-C.; Yu, M.-H. Experimental and numerical investigation on pure aluminum by ECAP. Trans. Nonferrous Met. Soc. China 2009, 19, 1303–1311. [Google Scholar] [CrossRef]
- Chung, M.-K.; Choi, Y.-K.; Kim, J.-G.; Kim, Y.-M.; Lee, J.-C. Effect of the number of ECAP pass time on the electrochemical properties of 1050 Al alloys. Mater. Sci. Eng. A 2004, 366, 282–291. [Google Scholar] [CrossRef]
- Furukawa, M.; Horita, Z.; Nemoto, M.; Langdon, T.G. Review: Processing of metals by equal-channel angular pressing. J. Mater. Sci. 2001, 36, 2835–2843. [Google Scholar] [CrossRef]
- Akiyama, E.; Zhang, Z.; Watanabe, Y.; Tsuzaki, K. Effects of severe plastic deformation on the corrosion behavior of aluminum alloys. J. Solid State Electrochem. 2009, 13, 277–282. [Google Scholar] [CrossRef]
- Fujda, M.; Kvačkaj, T.; Nagyová, K. Improvement of Mechanical Properties for EN AW 6082 Aluminium Alloy Using Equal-Channel Angular Pressing (ECAP) and Post-ECAP Aging. J. Met. Mater. Miner. 2008, 18, 81–87. [Google Scholar]
- Sherif, E.-S.M. Effects of exposure time on the anodic dissolution of Monel-400 in aerated stagnant sodium chloride solutions. J. Solid State Electrochem. 2012, 16, 891–899. [Google Scholar] [CrossRef]
- Young, L. Anodic Oxide Films; Academic Press: New York, NY, USA, 1961; pp. 4–9. [Google Scholar]
- El-Etre, A.Y. Inhibition of aluminum corrosion using Opuntia extract. Corros. Sci. 2003, 45, 2485–2495. [Google Scholar] [CrossRef]
- Sherif, E.-S.M.; Park, S.-M. Effects of 1,5-Naphthalenediol on Aluminum Corrosion as a Corrosion Inhibitor in 0.50 M NaCl. J. Electrochem. Soc. 2005, 152, B205–B211. [Google Scholar] [CrossRef]
- Sherif, E.-S.M.; Park, S.-M. Effects of 1,4-naphthoquinone on aluminum corrosion in 0.50 M sodium chloride solutions. Electrochim. Acta 2006, 51, 1313–1321. [Google Scholar] [CrossRef]
© 2015 by the authors; licensee MDPI, Basel, Switzerland. This article is an open access article distributed under the terms and conditions of the Creative Commons Attribution license (http://creativecommons.org/licenses/by/4.0/).
Share and Cite
Sherif, E.-S.M.; Abdo, H.S.; Khalil, K.A.; Nabawy, A.M. Corrosion Properties in Sodium Chloride Solutions of Al–TiC Composites in situ Synthesized by HFIHF. Metals 2015, 5, 1799-1811. https://doi.org/10.3390/met5041799
Sherif E-SM, Abdo HS, Khalil KA, Nabawy AM. Corrosion Properties in Sodium Chloride Solutions of Al–TiC Composites in situ Synthesized by HFIHF. Metals. 2015; 5(4):1799-1811. https://doi.org/10.3390/met5041799
Chicago/Turabian StyleSherif, El-Sayed M., Hany S. Abdo, Khalil Abdelrazek Khalil, and Ahmed M. Nabawy. 2015. "Corrosion Properties in Sodium Chloride Solutions of Al–TiC Composites in situ Synthesized by HFIHF" Metals 5, no. 4: 1799-1811. https://doi.org/10.3390/met5041799
APA StyleSherif, E.-S. M., Abdo, H. S., Khalil, K. A., & Nabawy, A. M. (2015). Corrosion Properties in Sodium Chloride Solutions of Al–TiC Composites in situ Synthesized by HFIHF. Metals, 5(4), 1799-1811. https://doi.org/10.3390/met5041799

