First-Principles Study on the Effect of Si Atoms on the Stability and Bonding Properties of Fe/Zn Interface
Abstract
1. Introduction
2. Computational Details
3. Results and Discussion
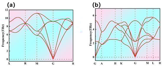
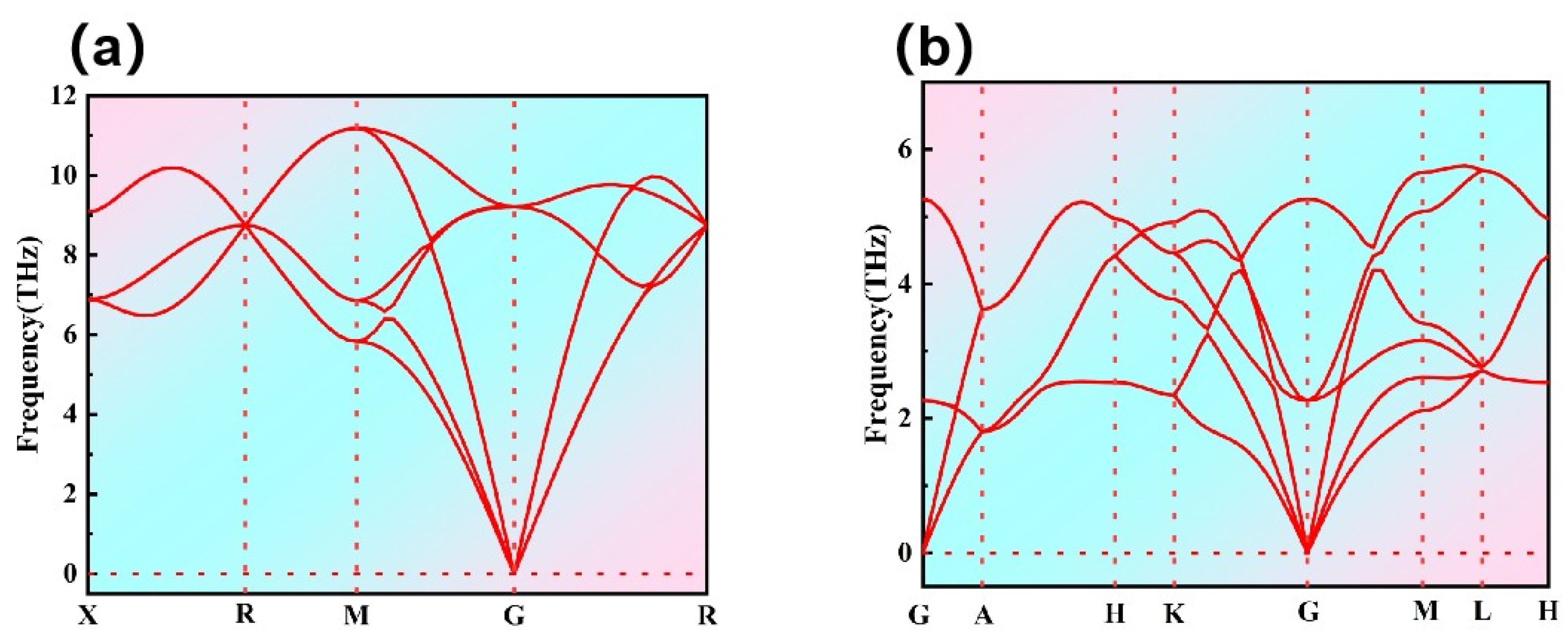
3.1. Bulk Calculations
3.2. Disordered Solid Solution Structure of ZnSi Coating Alloy
3.3. Interfacial Structure
3.4. Adhesion Work and Interfacial Energy
4. Conclusions
Supplementary Materials
Author Contributions
Funding
Data Availability Statement
Conflicts of Interest
References
- Fukazawa, T.; Harashima, Y.; Miyake, T. First-principles study on the stability of (R, Zr)(Fe, Co, Ti) 12 against 2-17 and unary phases (R = Y, Nd, Sm). Phys. Rev. Mater. 2022, 6, 054404. [Google Scholar] [CrossRef]
- Jiao, X.; Fu, W.; Shi, Z.; Li, Z.; Zhou, Y.; Xing, X.; Wang, Z.; Yang, Q. First principles investigation on interface properties and formation mechanism of γ-Fe/CeO2 heterogeneous nucleation interface. J. Alloys Compd. 2020, 831, 154867. [Google Scholar] [CrossRef]
- Wang, J.; Enomoto, M.; Shang, C. First-principles study on the interfacial segregation at coherent Cu precipitate/Fe matrix interface. Scr. Mater. 2020, 185, 42–46. [Google Scholar] [CrossRef]
- Sandelin, R.W. Galvanizing Characteristics of Different Types of Steel; American Hot Dip Galvanizers Association: Centennial, CO, USA, 1940. [Google Scholar]
- Kozdras, M.; Niessen, P. Silicon-induced destabilization of galvanized coatings in the sandelin peak region. Metallography 1989, 22, 253–267. [Google Scholar] [CrossRef]
- Bondareva, O.; Melnikov, A. Effect of the silicon content in steel on the hot-dip zinc coating microstructure formation. IOP Conf. Ser. Mater. Sci. Eng. 2016, 156, 012015. [Google Scholar] [CrossRef]
- Wen, L.; Ai, L.; Hong, L.; Zhou, Y.; Zhu, G.; Sun, C. Diffusion Behavior of Carbon and Silicon in the Process of Preparing Silicon Steel Using Solid-State Decarburization. Processes 2023, 11, 3176. [Google Scholar] [CrossRef]
- So, S.-M.; Grandhi, S.; Kwon, E.-P.; Oh, M.-S. Effects of Si Addition on Interfacial Microstructure and Corrosion Resistance of Hot-Dip Zn–Al–Mg–Si Alloy-Coated Steel. Crystals 2024, 14, 294. [Google Scholar] [CrossRef]
- Sun, Y.; Wang, Z.; Du, M.; Du, Y.; Zhang, W. First-principles study on Si atom diffusion behavior in Ni-based superalloys. Materials 2023, 16, 5989. [Google Scholar] [CrossRef]
- Wang, Q.; Zhao, Z.; Bai, P.; Du, W.; Liao, H.; Li, Y.; Liang, M.; Huo, P.; Zhang, L.; Tie, D. Effects of alloying elements X (Cr, Mn, Mo, Ni, Si) on the interface stability of TiC (001)/γ-Fe (001) in TiC/316L stainless steel composite formed by selective laser melting: First principles and experiments. Adv. Compos. Hybrid Mater. 2021, 4, 195–204. [Google Scholar] [CrossRef]
- Peng, C.; Zeng, L.; Huang, F.; Zhong, M.; Liang, S.; Ran, X.; Zhou, L. Effects of alloying elements on mechanical and electronic properties of Cu by first-principles calculations. IOP Conf. Ser. Mater. Sci. Eng. 2020, 772, 012064. [Google Scholar] [CrossRef]
- Paez-Ornelas, J.; Fernández-Escamilla, H.; Takeuchi, N.; Guerrero-Sánchez, J. Adsorption and diffusion mechanisms of silver ad-atoms on Ag and Cu (110) surfaces: A first principles study. Mater. Today Commun. 2020, 25, 101461. [Google Scholar] [CrossRef]
- Chen, W.; La, P.; Yin, R.; Wan, L.; Du, Y.; Zheng, Y. Ab initio study of the energetics, electronic properties, and chlorine migration behavior of b2-feal (110) surface by microalloying. Crystals 2024, 15, 46. [Google Scholar] [CrossRef]
- Lee, S.-J.; Lee, Y.-K.; Soon, A. The austenite/ɛ martensite interface: A first-principles investigation of the fcc Fe (1 1 1)/hcp Fe (0 0 0 1) system. Appl. Surf. Sci. 2012, 258, 9977–9981. [Google Scholar] [CrossRef]
- Ren, J.; Hou, P.; Gao, Q.; Wang, Q.; Bai, Y.; Li, J.; Xue, H.; Lu, X.; Tang, F. A comparative study of the interfacial bonding properties and thermodynamic properties of bcc-Fe/MeAl (Me= Ni, Ti, Fe) interfaces based on first-principles methods. J. Phys. Chem. Solids 2025, 202, 112679. [Google Scholar] [CrossRef]
- Gao, Q.; Qiao, G.; Wang, W.; Ge, Y.; Ren, J.; Li, W.; Yang, P.; Lu, X.; Qiao, J. The first-principles study of interfacial bonding strength and segregation behavior of alloyed elements at the η (MgZn 2)/Al interface. Phys. Chem. Chem. Phys. 2024, 26, 17240–17254. [Google Scholar] [CrossRef] [PubMed]
- Kabi, O.; Abu-Jafar, M.S.; Farout, M.; Mousa, A.A.; Bouhemadou, A.; Erum, N.; Azar, S.M.; Bassalat, A.; Abualrob, H.; Thabaineh, A.Y. Ab initio investigation of the structural, elastic, dynamic, electronic, and magnetic properties of cubic perovskite CeCrO3. ACS Omega 2024, 9, 11820–11828. [Google Scholar] [CrossRef]
- Abdulhussein, H.A.; Hossain, M.A.; Hosen, A.; Dahliah, D.; Abu-Jafar, M.S.; Harbi, A.; Pingak, R.K.; Moutaabbid, M.; Ovi, I.A.; Islam, M.R. A comprehensive analysis of the structural, phonon, electronic, mechanical, optical, and thermophysical properties of cubic Ca3SbX3 (X= Cl, Br): DFT-GGA and mBJ studies. Mater. Sci. Semicond. Process. 2025, 187, 109133. [Google Scholar] [CrossRef]
- Sun, B.; Ding, F.; Qiu, B.; Guo, J.; Cao, T. First principles investigation of in-situ NiAl (110)/Ag (111) and NiAl (110)/MoO3 (010) heterogeneous interfaces behavior in composite coatings. Surf. Interfaces 2024, 48, 104328. [Google Scholar] [CrossRef]
- Wang, H.; Gao, X.; Xing, L.; Tan, H.; Lin, H.; Gao, S. Segregation mechanism of alloying elements at the fcc-Fe/bcc-Fe interface and its effects on carbon diffusion across the boundary. J. Phys. Chem. Solids 2023, 183, 111657. [Google Scholar] [CrossRef]
- Yuan, X.; Xiao, Y.; Wang, G.; Zhang, L. TiN inducing ferrite nucleation based on the bcc-Fe/TiN interfaces formation at atomic scale by first-principles calculation. Comput. Mater. Sci. 2021, 197, 110570. [Google Scholar] [CrossRef]
- Zhang, G.; Zhang, Y.; Xu, H.; Yu, H. Strong bonding effect and Zn segregation et Al/Fe bimetallic composite interface: A first-principles study. J. Mater. Res. 2023, 38, 3078–3088. [Google Scholar] [CrossRef]
- Zhang, L.; Li, Y.; Zhou, R.; Wang, X.; Wang, Q.; Xie, L.; Li, Z.; Xu, B. First-principles study of the effect of sn content on the structural, elastic, and electronic properties of Cu–Sn alloys. Crystals 2023, 13, 1532. [Google Scholar] [CrossRef]
- Liu, B.; Yang, J. Mg on adhesion of Al (111)/3C-SiC (111) interfaces from first principles study. J. Alloys Compd. 2019, 791, 530–539. [Google Scholar] [CrossRef]
- Feng, Y.; Chen, X.; Hao, Y.; Chen, B. Characterization and energy calculation of the S/Al interface of Al–Cu–Mg alloys: Experimental and first-principles calculations. Vacuum 2022, 202, 111131. [Google Scholar] [CrossRef]
- Han, Y.; Dai, Y.; Wang, J.; Shu, D.; Sun, B. First-principles calculations on Al/AlB2 interfaces. Appl. Surf. Sci. 2011, 257, 7831–7836. [Google Scholar] [CrossRef]
- Wang, S.; Ye, H. Theoretical studies of solid–solid interfaces. Curr. Opin. Solid State Mater. Sci. 2006, 10, 26–32. [Google Scholar] [CrossRef]
- Lu, S.; Hu, Q.-M.; Punkkinen, M.P.; Johansson, B.; Vitos, L. First-principles study of fcc-Ag/bcc-Fe interfaces. Phys. Rev. B Condens. Matter Mater. Phys. 2013, 87, 224104. [Google Scholar] [CrossRef]
- Xie, Y.; Wang, D.; Yin, Y.; Li, J.; Li, W.; Liu, Z.; Ji, X.; Wan, Q.; Shen, X.; Zhou, J. Investigation on the interface properties of Be-Al alloys via first-principles calculation. Mater. Today Commun. 2024, 40, 109972. [Google Scholar] [CrossRef]
- Zhao, X.; Zhuo, Y.; Liu, S.; Zhou, Y.; Zhao, C.; Wang, C.; Yang, Q. Investigation on WC/TiC interface relationship in wear-resistant coating by first-principles. Surf. Coat. Technol. 2016, 305, 200–207. [Google Scholar] [CrossRef]
- Lu, S.S.; Chang, Y.L. The accurate evaluation of lattice spacings from back-reflection powder photographs. Proc. Phys. Soc. 1941, 53, 517. [Google Scholar] [CrossRef]
- Jette, E.R.; Foote, F. Precision determination of lattice constants. J. Chem. Phys. 1935, 3, 605–616. [Google Scholar] [CrossRef]
- Wedig, U.; Nuss, H.; Nuss, J.; Jansen, M.; Andrae, D.; Paulus, B.; Kirfel, A.; Weyrich, W. Electronic origin of the structural anomalies of zinc and cadmium. Z. Anorg. Allg. Chem. 2013, 639, 2036–2046. [Google Scholar] [CrossRef]










| Connection Mode | (J/m2) | (J/m2) |
|---|---|---|
| S11Z11 | 3.818 | 0.714 |
| S11Z12 | 4.056 | 0.431 |
| S11Z21 | 3.798 | 0.741 |
| S11Z22 | 4.327 | 0.158 |
| S11Z31 | 4.727 | 0.063 |
| S11Z32 | 4.763 | 0.022 |
| S21Z11 | 3.760 | 0.535 |
| S21Z12 | 4.307 | 0.056 |
| S21Z21 | 3.662 | 0.641 |
| S21Z22 | 3.926 | 0.323 |
| S21Z31 | 4.444 | 0.110 |
| S21Z32 | 4.705 | 0.050 |
| S12Z11 | 3.668 | 0.678 |
| S12Z12 | 3.909 | 0.392 |
| S12Z21 | 3.495 | 0.859 |
| S12Z22 | 4.090 | 0.210 |
| S12Z31 | 4.546 | 0.058 |
| S12Z32 | 4.631 | 0.025 |
| S22Z11 | 3.910 | 0.418 |
| S22Z12 | 4.151 | 0.133 |
| S22Z21 | 3.356 | 0.980 |
| S22Z22 | 3.364 | 0.917 |
| S22Z31 | 4.149 | 0.438 |
| S22Z32 | 4.461 | 0.027 |
Disclaimer/Publisher’s Note: The statements, opinions and data contained in all publications are solely those of the individual author(s) and contributor(s) and not of MDPI and/or the editor(s). MDPI and/or the editor(s) disclaim responsibility for any injury to people or property resulting from any ideas, methods, instructions or products referred to in the content. |
© 2026 by the authors. Licensee MDPI, Basel, Switzerland. This article is an open access article distributed under the terms and conditions of the Creative Commons Attribution (CC BY) license.
Share and Cite
Qiao, D.; Peng, P.; Tang, X.; Ren, J.; Lu, X.; Sheng, J. First-Principles Study on the Effect of Si Atoms on the Stability and Bonding Properties of Fe/Zn Interface. Metals 2026, 16, 56. https://doi.org/10.3390/met16010056
Qiao D, Peng P, Tang X, Ren J, Lu X, Sheng J. First-Principles Study on the Effect of Si Atoms on the Stability and Bonding Properties of Fe/Zn Interface. Metals. 2026; 16(1):56. https://doi.org/10.3390/met16010056
Chicago/Turabian StyleQiao, Degao, Peng Peng, Xingchang Tang, Junqiang Ren, Xuefeng Lu, and Jie Sheng. 2026. "First-Principles Study on the Effect of Si Atoms on the Stability and Bonding Properties of Fe/Zn Interface" Metals 16, no. 1: 56. https://doi.org/10.3390/met16010056
APA StyleQiao, D., Peng, P., Tang, X., Ren, J., Lu, X., & Sheng, J. (2026). First-Principles Study on the Effect of Si Atoms on the Stability and Bonding Properties of Fe/Zn Interface. Metals, 16(1), 56. https://doi.org/10.3390/met16010056

