Microstructure and Mechanical Properties of the TC4 Alloy Obtained by Equal-Channel Angular Pressing in Combination with Reversible Hydrogen Alloying
Abstract
1. Introduction
2. Materials and Methods
3. Results
3.1. The Effect of Hydrogen Alloying on the Microstructure of the TC4 Alloy
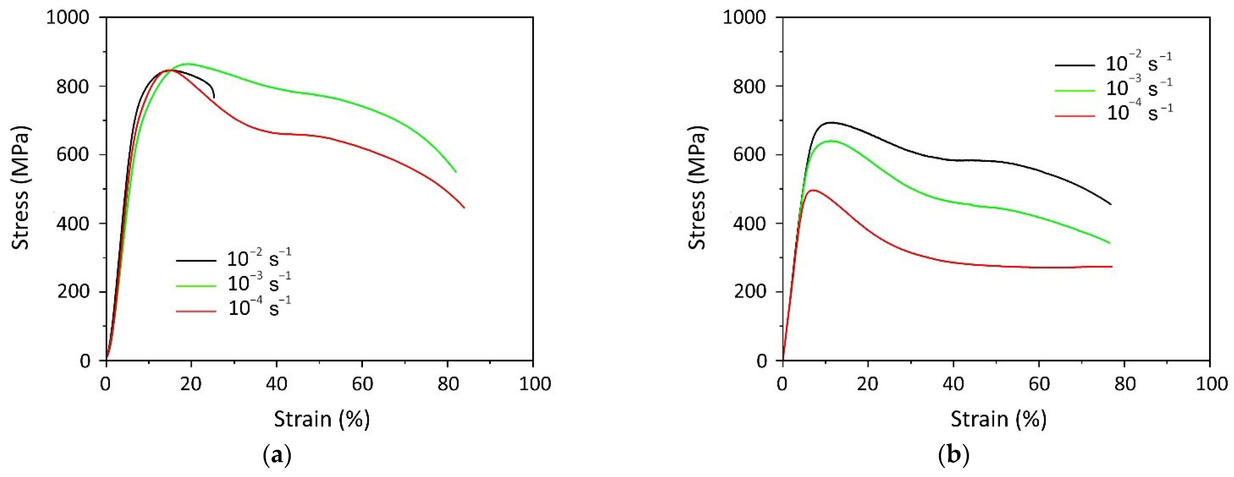
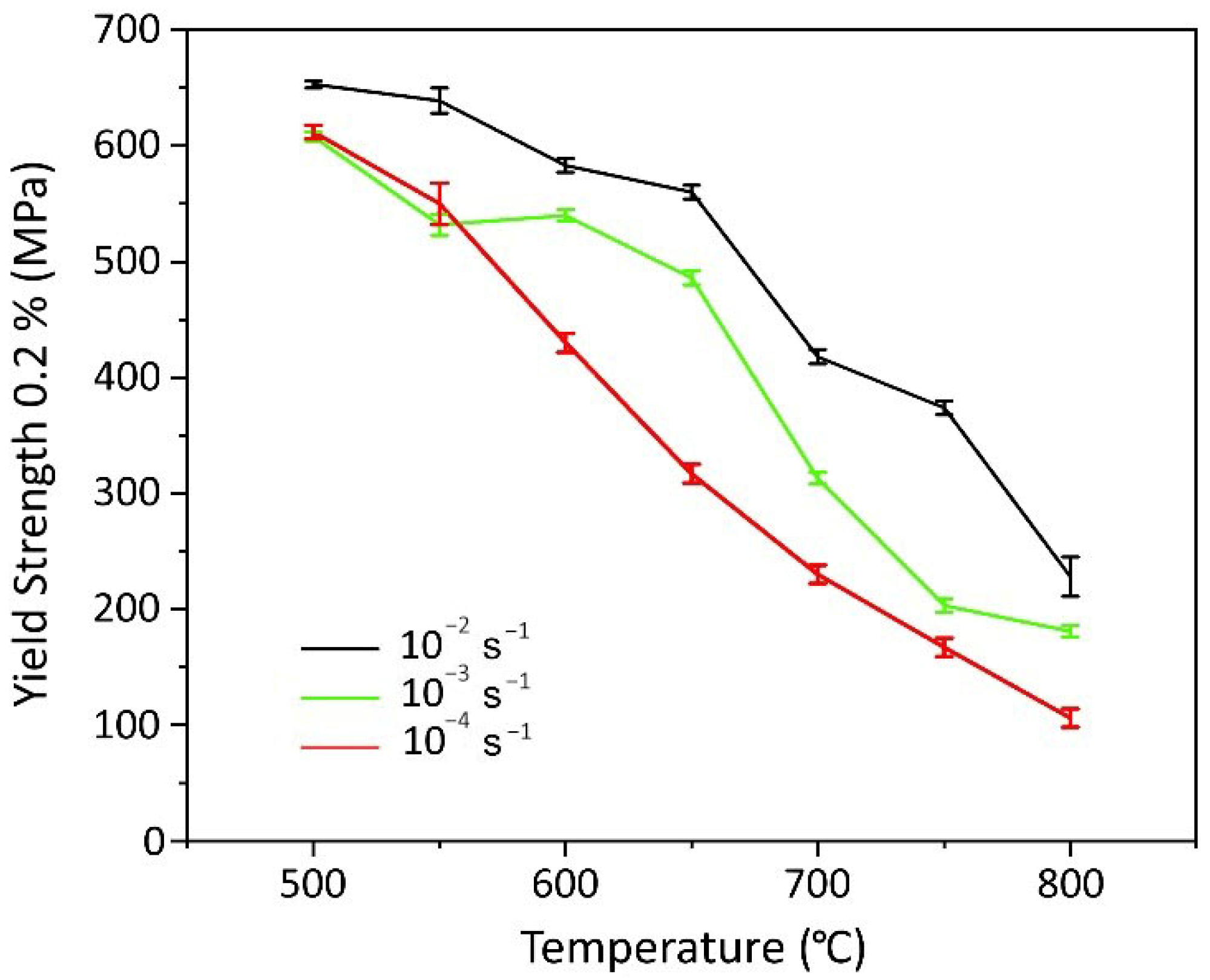
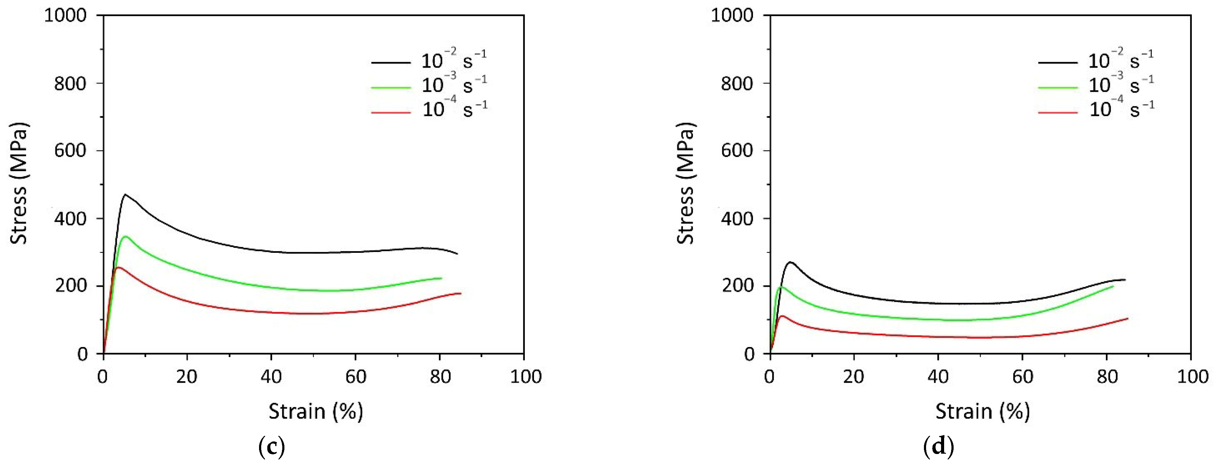
3.2. Evaluation of the Deformability of Hydrogenated TC4-0.3H Alloy by the Isothermal Upsetting Method
3.3. Microstructure of TC4-0.3H Alloy After ECAP
3.4. Mechanical Properties of the TC4 and TC4-0.3H + ECAP Alloys
4. Discussion
4.1. Microstructure and Mechanical Properties of the TC4 Alloy After Thermal Hydrogen Treatment
4.2. Microstructure and Mechanical Behavior of the TC4-0.3H Alloy After ECAP
5. Conclusions
- -
- the use of hydrogen as a temporary alloying element leads to the formation of a thin-plate (from 1 to 4 μm thick) α″-martensitic structure, which does not reduce the deformation capacity of the alloy compared to a hydrogen-free alloy when implementing up to 6 passes (ε ~ 4.2) of ECAP at 600 °C;
- -
- ECAP treatment of the hydrogenated TC4 alloy led to refinement of the grain/subgrain structure to a particle size of 0.15 μm and significant strengthening of the alloy (up to 1550 MPa) with a decrease in relative elongation to 2.5%;
- -
- subsequent vacuum annealing at 550 °C for 1 h after ECAP to remove hydrogen from the solid solution contributed to a reduction in internal elastic stresses due to recovery processes and the preservation of the UFG structure in the alloy.
Author Contributions
Funding
Data Availability Statement
Conflicts of Interest
References
- Lütjering, G.; Williams, J.C. Titanium; Engineering Materials and Processes; Springer: Berlin, Germany, 2007. [Google Scholar]
- Froes, F.H.; Senkov, O.N.; Qazi, J.I. Hydrogen as a temporary alloying element in titanium alloys: Thermohydrogen processing. Int. Mater. Rev. 2004, 29, 227–245. [Google Scholar] [CrossRef]
- Su, Y.; Wang, L.; Luo, L.; Liu, X.; Guo, J.; Fu, H. Investigation of melt hydrogenation on the microstructure and deformation behavior of Ti-6Al-4V alloy. Int. J. Hydrogen Energy 2011, 36, 1027–1036. [Google Scholar] [CrossRef]
- Eliezer, D.; Eliaz, N.; Senkov, O.N.; Froes, F.H. Positive effects of hydrogen in metals. Mater. Sci. Eng. A 2000, 280, 220–224. [Google Scholar] [CrossRef]
- Tal-Gutelmacher, E.; Eliezer, D. High fugacity hydrogen effects at room temperature in titanium based alloys. J. Alloys Compd. 2005, 404–406, 613–616. [Google Scholar] [CrossRef]
- Kim, J.; Plancher, E.; Tasan, C.C. Hydrogenation-induced lattice expansion and its effects on hydrogen diffusion and damage in Ti-6Al-4V. Acta Mater. 2020, 188, 686–696. [Google Scholar] [CrossRef]
- Kudryashova, M.O.; Petrov, S.S.; Yudin, P.E.; Yu, A. Study of the influence of hydrogenation on the destruction and mechanical characteristics of titanium alloy. Bull. Sib. State Ind. Univ. 2024, 4, 63–71. (In Russian) [Google Scholar]
- Senkov, O.N.; Froes, F.H. Thermohydrogen processing of titanium alloys. Int. J. Hydrogen Energy 1999, 24, 565–576. [Google Scholar] [CrossRef]
- Dunstan, M.K.; Vaughn, M.O.; Paramore, J.D.; Butler, B.G.; Kudzal, A.D.; Hemker, K.J. Hemker Optimization of microstructural manipulation and ductility in laser powder bed fusion Ti-6Al-4V through hydrogen heat treatments. Mater. Sci. Eng. A 2023, 873, 145061. [Google Scholar] [CrossRef]
- Li, X.; Jia, G.; Qu, F.; Wu, H.; Chen, J. Ultrafine grain refinement and superplasticity of Ti-55 alloy obtained by hydrogen absorption and desorption. JMEP 2018, 27, 3472–3477. [Google Scholar] [CrossRef]
- Zhao, J.; Ding, H.; Zhao, W.; Jiang, Z. Effects of hydrogen on the hot deformation behaviour of Ti-6Al-4V alloy: Experimental and constitutive model studies. J. Alloys Compd. 2013, 574, 407–414. [Google Scholar] [CrossRef]
- Grabovetskaya, G.P.; Mishin, I.P.; Stepanova, E.N.; Zabudchenko, O.V. Effect of hydrogen on the evolution of the structural-phase state and superplastic properties of an ultrafine-grained alloy of the Ti-Al-V-Mo system. Phys. Mesomech. 2022, 25, 38–50. (In Russian) [Google Scholar] [CrossRef]
- Murzinova, M.A.; Salishchev, G.A.; Afonichev, D.D. Formation of nanocrystalline structure in two-phase titanium alloy by combination of thermohydrogen processing with hot working. Int. J. Hydrogen Energy 2002, 27, 775–782. [Google Scholar] [CrossRef]
- Mulyukov, R.R.; Nazarov, A.A.; Imaev, R.M. Deformational methods of material nanostructuring: Premises, history, state of the art, and prospects. Russ. Phys. J. 2008, 51, 492–504. [Google Scholar] [CrossRef]
- Valiev, R.Z.; Langdon, T.G. The art and science of tailoring materials by nanostructuring for advanced properties using SPD techniques. Adv. Eng. Mater. 2010, 12, 677–691. [Google Scholar] [CrossRef]
- Semenova, I.P.; Saitova, L.R.; Raab, G.I.; Valiev, R.Z. The effect of equal-channel angular pressing on the structure and mechanical behavior of Ti-6Al-4V alloy. Mater. Sci. Eng. A 2004, 387–389, 805–808. [Google Scholar] [CrossRef]
- Agarwal, K.M.; Tyagi, R.K.; Singhal, A.; Bhatia, D. Effect of ECAP on the mechanical properties of titanium and its alloys for biomedical applications. Mater. Sci. Energy Technol. 2020, 3, 921–927. [Google Scholar] [CrossRef]
- Modina, I.M.; Dyakonov, G.S.; Stotskiy, A.G.; Yakovleva, T.V.; Semenova, I. Effect of the Texture of the Ultrafine-Grained Ti-6Al-4V Titanium Alloy on Impact Toughness. Materials 2023, 16, 1318. [Google Scholar] [CrossRef]
- Semenova, I.P.; Modina, Y.M.; Stotskiy, A.G.; Polyakov, A.V.; Pesin, M.V. Fatigue Properties of Ti Alloys with an Ultrafine Grained Structure: Challenges and Achievements. Metals 2022, 12, 312. [Google Scholar] [CrossRef]
- Zhang, J.; Jiang, S.; Jia, Y.; Peng, P.; Li, Y.; Yang, S.; Lu, Z. Microstructure evolution and hydrogen absorption characteristics of gradient-hydrogenated Ti-4.5Al-3V-2Mo-2Fe alloys. Mater. Design 2024, 247, 113436. [Google Scholar] [CrossRef]
- Wu, H.; Dai, T.; Li, T.; Liu, J.; Hu, Q.; Luo, G.; Li, X.; Chen, J. Effect of hydrogenation on fatigue crack growth resistance of diffusion bonded TC4 titanium alloy laminates. Mater. Charact. 2024, 216, 114311. [Google Scholar] [CrossRef]
- Ko, Y.G.; Jung, W.S.; Shin, D.H.; Lee, C.S. Effects of temperature and initial microstructure on the equal channel angular pressing of Ti-6Al-4V alloy. Scripta Mater. 2003, 48, 197–202. [Google Scholar] [CrossRef]
- Rack, H.J.; Qazi, J.; Allard, L.; Valiev, R. Thermal Stability of Severe Plasically Deformed VT-6(Ti-6Al-4V). Mater. Sci. Forum. 2008, 584–586, 893–898. [Google Scholar] [CrossRef]
- Semenova, I.P.; Yakushina, E.B.; Nurgaleeva, V.V.; Valiev, R.Z. Nanostructuring of Ti-alloys by SPD processing to achieve superior fatigue properties. Int. J. Mater. Res. 2009, 100, 691–1696. [Google Scholar] [CrossRef]
- Motyka, M.M.; Sieniawski, J. The influence of initial plastic deformation on microstructure and hot plasticity of α+β titanium alloys. Mater. Sci. Eng. 2010, 41, 95–103. [Google Scholar]
- Zherebtsov, S.; Murzinova, M.; Salishchev, G.; Semiatin, S. Spheroidization of the lamellar microstructure in Ti-6Al-4V alloy during warm deformation and annealing. Acta Mater. 2011, 59, 4138–4150. [Google Scholar] [CrossRef]
- Panin, P.V.; Dzunovich, D.A. Effect of cooling rate on the phase composition and structure of titanium alloy VT6 after hydrogen annealing. Proc. VIAM 2017, 10, 33–40. (In Russian) [Google Scholar] [CrossRef]
- Koujalagi, M.B.; Siddesha, H.S. ECAP of titanium alloy by sever plastic deformation: A review. Mater. Today Proc. 2021, 45, 71–77. [Google Scholar] [CrossRef]
- Sun, J.H. Examination of α′′, α′ and ω phases in a β-type titanium–niobium metal. Mater. Testing 2022, 64, 1720–1732. [Google Scholar] [CrossRef]
- Gvozdeva, O.N.; Shalin, A.V.; Stepushin, A.S. Oxide films resistance to hydrogen penetration in VT6 titanium alloy. IOP Conf. Ser. Mater. Sci. Eng. 2020, 889, 012005. [Google Scholar] [CrossRef]
- Schmidt, C.D.; Christ, H.J.; Von Hehl, A. Hydrogen as a Temporary Alloying Element for Establishing Specific Microstructural Gradients in Ti-6Al-4V. Metals 2022, 12, 1267. [Google Scholar] [CrossRef]
- Murzinova, M.A.; Salishchev, G.A.; Afonichev, D.D. Superplasticity of hydrogen-containing VT6 titanium alloy with a submicrocrystalline structure. Phys. Met. Metallogr. 2007, 104, 195–202. [Google Scholar] [CrossRef]
- Motyka, M.M. Martensite Formation and Decomposition during Traditional and AM Processing of Two-Phase Titanium Alloys—An Overview. Metals 2021, 11, 481. [Google Scholar] [CrossRef]
- Valiev, R.Z.; Murashkin, M.Y.; Semenova, I. Grain boundaries and mechanical properties of ultrafine-grained metals. Metall. Mater. Trans. A 2010, 41, 816. [Google Scholar] [CrossRef]













| Temperature (°C) | Initial Deformation (s−1) | Initial Height (mm) | Final Height (mm) | Deformation (%) |
|---|---|---|---|---|
| 500 | 10−2 | 7.04 | 4.87 | 30 |
| 10−3 | 7.04 | 1.27 | 82 | |
| 10−4 | 7.05 | 1.1 | 84 | |
| 550 | 10−2 | 7.07 | 1.12 | 84 |
| 10−3 | 7.09 | 1.14 | 84 | |
| 10−4 | 7.05 | 1.1 | 84 | |
| 600 | 10−2 | 7.09 | 1.52 | 79 |
| 10−3 | 7.07 | 1.52 | 79 | |
| 10−4 | 7.05 | 1.52 | 78 | |
| 650 | 10−2 | 6.99 | 1.5 | 79 |
| 10−3 | 7.07 | 1.52 | 79 | |
| 10−4 | 7.05 | 3.51 | 50 | |
| 700 | 10−2 | 7.07 | 1.12 | 84 |
| 10−3 | 7.01 | 1.37 | 80 | |
| 10−4 | 7.0 | 1.05 | 85 | |
| 750 | 10−2 | 7.07 | 1.52 | 79 |
| 10−3 | 7.07 | 1.52 | 79 | |
| 10−4 | 7.08 | 1.52 | 79 | |
| 800 | 10−2 | 7.05 | 1.1 | 84 |
| 10−3 | 7.05 | 1.3 | 82 | |
| 10−4 | 7.0 | 1.05 | 85 |
| Yield Strength 0.2% (MPa) | ||||||||
|---|---|---|---|---|---|---|---|---|
| Temperature, (°C) | 500 | 550 | 600 | 650 | 700 | 750 | 800 | |
| Strain Rate, | ||||||||
| 10−2 | 653 ± 3 | 639 ± 11 | 583 ± 7 | 560 ± 5 | 418 ± 9 | 374 ± 4 | 228 ± 17 | |
| 10−3 | 608 ± 4 | 532 ± 9 | 540 ± 10 | 486 ± 8 | 313 ± 7 | 203 ± 8 | 181 ± 5 | |
| 10−4 | 612 ± 6 | 550 ± 18 | 430 ± 8 | 317 ± 12 | 230 ± 8 | 167 ± 11 | 106 ± 7 | |
| States | HV | UTS (MPa) | 0.2YS (MPa) | ε (%) |
|---|---|---|---|---|
| Initial | 348 | 1083 ± 25 | 1037 ± 15 | 13.0 ± 2.2 |
| TC4-0.3H | 320 ± 6 | 1218 ± 29 | 799 ± 5 | 8.0 ± 2.0 |
| TC4-0.3H + ECAP | 361 ± 10 | 1550 ± 10 | 1440 ± 10 | 2.5 ± 0.5 |
| TC4-0.3H + ECAP + vacuum annealing | 430 ± 17 | 1493 ± 10 | 1214 ± 10 | 4.3 ± 0.5 |
Disclaimer/Publisher’s Note: The statements, opinions and data contained in all publications are solely those of the individual author(s) and contributor(s) and not of MDPI and/or the editor(s). MDPI and/or the editor(s) disclaim responsibility for any injury to people or property resulting from any ideas, methods, instructions or products referred to in the content. |
© 2025 by the authors. Licensee MDPI, Basel, Switzerland. This article is an open access article distributed under the terms and conditions of the Creative Commons Attribution (CC BY) license (https://creativecommons.org/licenses/by/4.0/).
Share and Cite
Semenova, I.P.; Rezyapova, L.R.; Polyakov, A.V.; Dong, Y.; Sun, Z.; Alexandrov, I.V. Microstructure and Mechanical Properties of the TC4 Alloy Obtained by Equal-Channel Angular Pressing in Combination with Reversible Hydrogen Alloying. Metals 2025, 15, 839. https://doi.org/10.3390/met15080839
Semenova IP, Rezyapova LR, Polyakov AV, Dong Y, Sun Z, Alexandrov IV. Microstructure and Mechanical Properties of the TC4 Alloy Obtained by Equal-Channel Angular Pressing in Combination with Reversible Hydrogen Alloying. Metals. 2025; 15(8):839. https://doi.org/10.3390/met15080839
Chicago/Turabian StyleSemenova, Irina P., Luiza R. Rezyapova, Alexander V. Polyakov, Yuecheng Dong, Zhonggang Sun, and Igor V. Alexandrov. 2025. "Microstructure and Mechanical Properties of the TC4 Alloy Obtained by Equal-Channel Angular Pressing in Combination with Reversible Hydrogen Alloying" Metals 15, no. 8: 839. https://doi.org/10.3390/met15080839
APA StyleSemenova, I. P., Rezyapova, L. R., Polyakov, A. V., Dong, Y., Sun, Z., & Alexandrov, I. V. (2025). Microstructure and Mechanical Properties of the TC4 Alloy Obtained by Equal-Channel Angular Pressing in Combination with Reversible Hydrogen Alloying. Metals, 15(8), 839. https://doi.org/10.3390/met15080839

