Dispersive Liquid–Liquid Chelate Microextraction of Rare Earth Elements: Optimization and Greenness Evaluation
Abstract
1. Introduction
2. Materials and Methods
2.1. Reagents and Solvents
2.2. Instruments
2.3. Dispersive Liquid–Liquid Microextraction (DLLME) Optimization
2.4. Greeness Evaluation of DLLME of REEs
3. Results and Discussion
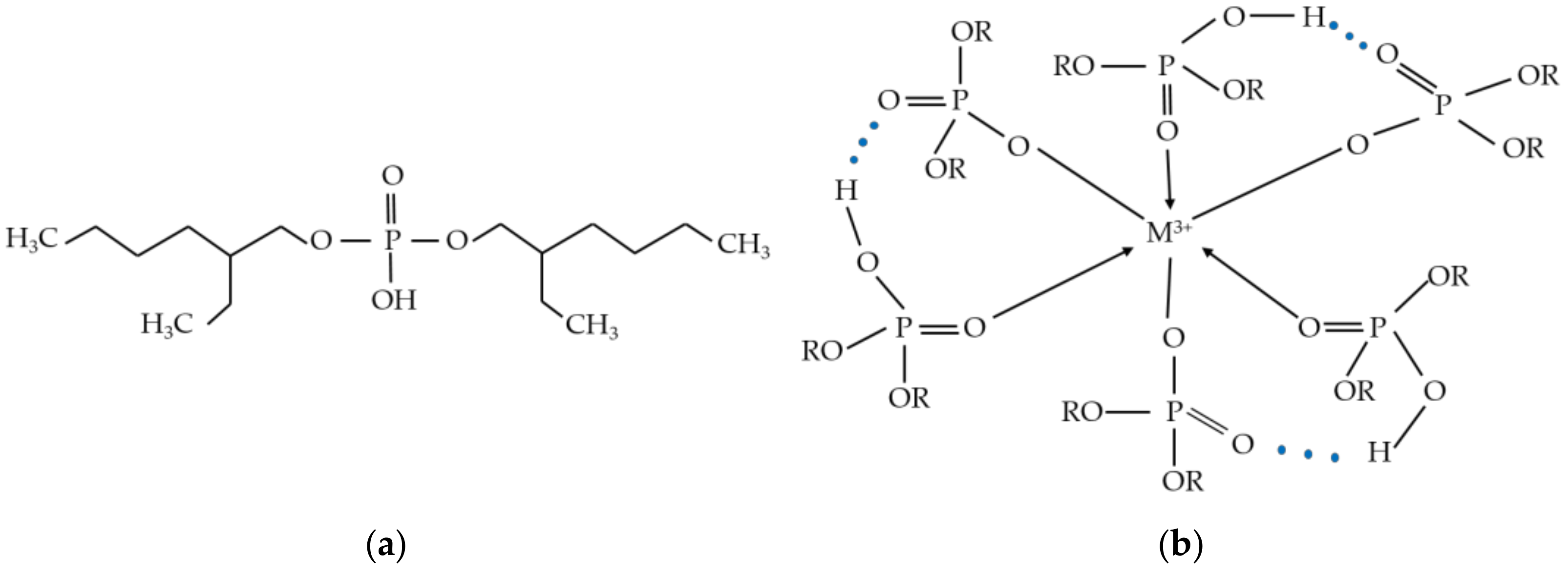
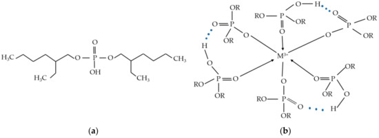
3.1. Selection of Solvents
3.2. RSM Optimization of the DLLME Method
3.3. Validation in the DLLME Method
3.4. DLLME Application to Real Samples
3.5. Greenness Evaluation of DLLME of REEs
4. Conclusions
Supplementary Materials
Author Contributions
Funding
Data Availability Statement
Conflicts of Interest
References
- Çelik, İ.; Kara, D.; Karadaş, C.; Fisher, A.; Hill, S.J. A novel ligandless-dispersive liquid–liquid microextraction method for matrix elimination and the preconcentration of rare earth elements from natural waters. Talanta 2015, 134, 476–481. [Google Scholar] [CrossRef]
- Merroune, A.; Ait Brahim, J.; Berrada, M.; Essakhraoui, M.; Achiou, B.; Mazouz, H.; Beniazza, R. A comprehensive review on solvent extraction technologies of rare earth elements from different acidic media: Current challenges and future perspectives. J. Ind. Eng. Chem. 2024, 139, 1–17. [Google Scholar] [CrossRef]
- Azooz, E.A.; Tuzen, M.; Mortada, W.I. Green microextraction approach focuses on air-assisted dispersive liquid–liquid with solidified floating organic drop for preconcentration and determination of toxic metals in water and wastewater samples. Chem. Pap. 2023, 77, 3427–3438. [Google Scholar] [CrossRef]
- Vesković, J.; Lučić, M.; Ristić, M.; Perić-Grujić, A.; Onjia, A. spatial variability of rare earth elements in groundwater in the vicinity of a coal-fired power plant and associated health risk. Toxics 2024, 12, 62. [Google Scholar] [CrossRef]
- Manousi, N.; Gomez-Gomez, B.; Madrid, Y.; Deliyanni, E.A.; Zachariadis, G.A. Determination of rare earth elements by inductively coupled plasma-mass spectrometry after dispersive solid phase extraction with novel oxidized graphene oxide and optimization with response surface methodology and central composite design. Microchem. J. 2020, 152, 104428. [Google Scholar] [CrossRef]
- Agrahari, G.K.; Vignesh, M.S.; Nigam, K.D.P. Novel devices for the extraction and recovery of rare-earth metals through recycling of waste. J. Mater. Cycles Waste Manag. 2024, 26, 109–137. [Google Scholar] [CrossRef]
- Slavković-Beškoski, L.; Ignjatović, L.; Bolognesi, G.; Maksin, D.; Savić, A.; Vladisavljević, G.; Onjia, A. Dispersive solid–liquid microextraction based on the Poly(HDDA)/graphene sorbent followed by ICP–MS for the determination of rare earth elements in coal fly ash leachate. Metals 2022, 12, 791. [Google Scholar] [CrossRef]
- Stopic, S.; Friedrich, B. Advances in understanding of the application of unit operations in metallurgy of rare earth elements. Metals 2021, 11, 978. [Google Scholar] [CrossRef]
- Wysocka, I. Determination of rare earth elements concentrations in natural waters—A review of ICP–MS measurement approaches. Talanta 2021, 221, 121636. [Google Scholar] [CrossRef]
- Ben Salem, D.; Barrat, J.-A. Determination of rare earth elements in gadolinium-based contrast agents by ICP–MS. Talanta 2021, 221, 121589. [Google Scholar] [CrossRef]
- Kasar, S.; Murugan, R.; Arae, H.; Aono, T.; Sahoo, S.K. A microwave digestion technique for the analysis of rare earth elements, thorium and uranium in geochemical certified reference materials and soils by inductively coupled plasma mass spectrometry. Molecules 2020, 25, 5178. [Google Scholar] [CrossRef]
- Padmasubashini, V.; Sunilkumar, B.; Krishnakumar, M.; Singh, S.B. Method validation and uncertainty for the determination of rare earth elements, yttrium, thorium and phosphorus in monazite samples by ICP–OES. Chem. Int. 2020, 6, 98–109. [Google Scholar]
- Sereshti, H.; Far, A.R.; Samadi, S. Optimized Ultrasound-Assisted Emulsification-Microextraction Followed by ICP–OES for Simultaneous Determination of Lanthanum and Cerium in urine and water samples. Anal. Lett. 2012, 45, 1426–1439. [Google Scholar] [CrossRef]
- Bishop, R.L. Neutron activation analysis. In Encyclopedia of Geoarchaeology; Gilbert, A.S., Goldberg, P., Mandel, R.D., Aldeias, V., Eds.; Springer International Publishing: New York, NY, USA, 2020; pp. 1–4. [Google Scholar]
- Silachyov, I.Y. Combination of instrumental neutron activation analysis with X-Ray fluorescence spectrometry for the determination of rare-earth elements in geological samples. J. Anal. Chem. 2020, 75, 878–889. [Google Scholar] [CrossRef]
- Arkhipenko, A.A.; Marina, G.E.; Ryumin, M.A.; Doronina, M.S.; Korotkova, N.A.; Ksenofontova, T.D.; Baranovskaya, V.B. Rapid and precise approaches for XRF analysis of rare earth niobates. Analytica 2024, 5, 343–357. [Google Scholar] [CrossRef]
- Pereira Neves, H.; Max Dias Ferreira, G.; Max Dias Ferreira, G.; Rodrigues de Lemos, L.; Dias Rodrigues, G.; Albis Leão, V.; Barbosa Mageste, A. Liquid-liquid extraction of rare earth elements using systems that are more environmentally friendly: Advances, challenges and perspectives. Sep. Purif. Technol. 2022, 282, 120064. [Google Scholar] [CrossRef]
- Chen, S.; Liu, J.; Yan, J.; Wang, C.; Lu, D. Dual in-syringe microextraction with electrothermal vaporization (ETV) inductively coupled plasma–mass spectrometry (ICP–MS) for determination of rare earth elements (REEs) in food. Anal. Lett. 2022, 55, 1623–1636. [Google Scholar] [CrossRef]
- El-Gamal, G.G.; Mortada, W.I.; Hassanien, M.M.; Ibrahim, A.A.; El-Reash, Y.G.A. The selective separation of thorium from uranyl ions using ultrasonic-assisted solidified floating organic drop microextraction. J. Anal. At. Spectrom. 2021, 36, 1306–1312. [Google Scholar] [CrossRef]
- Chandrasekaran, K.; Karunasagar, D.; Arunachalam, J. Dispersive liquid–liquid micro–extraction for simultaneous preconcentration of 14 lanthanides at parts per trillion levels from groundwater and determination using a micro–flow nebulizer in inductively coupled plasma-quadrupole mass spectrometry. J. Anal. At. Spectrom. 2012, 27, 1024. [Google Scholar] [CrossRef]
- Sá, Í.P.; Almeida, O.N.; Lima, D.D.C.; da Silva, E.G.P.; Santos, L.N.; Luzardo, F.H.M.; Velasco, F.G.; Gonzalez, M.H.; Amorim, F.A.C. Determination of lanthanide and actinide elements by energy dispersive X-Ray fluorescence spectrometry applying DLLME preconcentration and dried spot. Spectrochim. Acta Part B At. Spectrosc. 2021, 182, 106253. [Google Scholar] [CrossRef]
- Mortada, W.I.; El-Gamal, G.G.; Hassanien, M.M.; Ibrahim, A.A.; Abou El-Reash, Y.G. Eco–friendly dispersive liquid–liquid microextraction procedure based on solidification of floated organic drop coupled with back–extraction for preconcentration of rare earth elements. Int. J. Environ. Anal. Chem. 2022, 104, 4262–4276. [Google Scholar] [CrossRef]
- Felipe, E.C.B.; Batista, K.A.; Ladeira, A.C.Q. Recovery of rare earth elements from acid mine drainage by ion exchange. Environ. Technol. 2021, 42, 2721–2732. [Google Scholar]
- El Ouardi, Y.; Virolainen, S.; Massima Mouele, E.S.; Laatikainen, M.; Repo, E.; Laatikainen, K. The recent progress of ion exchange for the separation of rare earths from secondary resources—A review. Hydrometallurgy 2023, 218, 106047. [Google Scholar]
- Li, S.; Pan, J.; Gao, F.; Zeng, D.; Qin, F.; He, C.; Dodbiba, G.; Wei, Y.; Fujita, T. Structure and magnetic properties of coprecipitated nickel-zinc ferrite-doped rare earth elements of Sc, Dy, and Gd. J. Mater. Sci. Mater. Electron. 2021, 32, 13511–13526. [Google Scholar] [CrossRef]
- Zhu, Y. Determination of rare earth elements in seawater samples by inductively coupled plasma tandem quadrupole mass spectrometry after coprecipitation with magnesium hydroxide. Talanta 2020, 209, 120536. [Google Scholar]
- Pan, J.; Zhao, X.; Zhou, C.; Yang, F.; Ji, W. Study on solvent extraction of rare earth elements from leaching solution of coal fly ash by P204. Minerals 2022, 12, 1547. [Google Scholar] [CrossRef]
- Thomas, B.S.; Dimitriadis, P.; Kundu, C.; Vuppaladadiyam, S.S.V.; Raman, R.K.S.; Bhattacharya, S. Extraction and separation of rare earth elements from coal and coal fly ash: A review on fundamental understanding and on–going engineering advancements. J. Environ. Chem. Eng. 2024, 12, 112769. [Google Scholar]
- Chang, S.H. Utilization of green organic solvents in solvent extraction and liquid membrane for sustainable wastewater treament and resource recovery—A review. Environ. Sci. Pollut. Res. 2020, 27, 32371–32388. [Google Scholar] [CrossRef]
- Tadić, T.; Marković, B.; Bulatović, S.; Lukić, J.; Radulović, J.; Nastasović, A.; Onjia, A. Greenness of dispersive microextraction using molecularly imprinted polymers. Rev. Anal. Chem. 2024, 43, 20230070. [Google Scholar]
- Tintrop, L.K.; Salemi, A.; Jochmann, M.A.; Engewald, W.R.; Schmidt, T.C. Improving greenness and sustainability of standard analytical methods by microextraction techniques: A critical review. Anal. Chim. Acta 2023, 1271, 341468. [Google Scholar]
- Stojković, M.; Ristić, M.; Đolić, M.; Perić Grujić, A.; Onjia, A. Recovery of rare earth elements from coal fly and bottom ashes by ultrasonic roasting followed by microwave leaching. Metals 2024, 14, 371. [Google Scholar] [CrossRef]
- Ražić, S.; Arsenijević, J.; Mračević, S.Đ.; Mušović, J.; Trtić-Petrović, T. Greener chemistry in analytical sciences: From green solvents to applications in complex matrices. current challenges and future perspectives: A critical review. Analyst 2023, 148, 3130–3152. [Google Scholar] [PubMed]
- Kokosa, J.M. Principles for developing greener liquid-phase microextraction methods. TrAC Trends Anal. Chem. 2023, 167, 117256. [Google Scholar]
- Jürjo, S.; Siinor, L.; Siimenson, C.; Paiste, P.; Lust, E. Two–step solvent extraction of radioactive elements and rare earths from estonian phosphorite ore using nitrated Aliquat 336 and bis(2–ethylhexyl) phosphate. Minerals 2021, 11, 388. [Google Scholar] [CrossRef]
- Merroune, A.; Ait Brahim, J.; Achiou, B.; Boulif, R.; Mahdi Mounir, E.; Beniazza, R. Competitive extraction and stripping behaviors of rare earth elements from industrial wet-process phosphoric acid using Di–(2–Ethyl–Hexyl) phosphoric acid solvent: Optimization and thermodynamic studies. J. Mol. Liq. 2022, 367, 120585. [Google Scholar]
- Yin, S.-H.; Li, S.-W.; Xie, F.; Zhang, L.-B.; Peng, J.-H. Study on the aqueous solution behavior and extraction mechanism of Nd( III ) in the presence of the complexing agent lactic acid with Di–(2–Ethylhexyl) phosphoric Acid. RSC Adv. 2015, 5, 64550–64556. [Google Scholar]
- Cheremisina, O.; Ponomareva, M.; Sergeev, V.; Mashukova, Y.; Balandinsky, D. Extraction of rare earth metals by solid–phase extractants from phosphoric acid solution. Metals 2021, 11, 991. [Google Scholar] [CrossRef]
- Nascimento, M.; Valverde, B.M.; Ferreira, F.A.; Gomes, R.D.C.; Soares, P.S.M. Separation of rare earths by solvent extraction using DEHPA. Rem Rev. Esc. Minas 2015, 68, 427–434. [Google Scholar]
- Gergoric, M.; Ekberg, C.; Steenari, B.-M.; Retegan, T. Separation of heavy rare–earth elements from light rare-earth elements via solvent extraction from a neodymium magnet leachate and the effects of diluents. J. Sustain. Metall. 2017, 3, 601–610. [Google Scholar]
- Konshina, D.N.; Lupanova, I.A.; Konshin, V.V. Novel organomineral material containing an acylpyrazolone functionalized ionic liquid for the extraction and separation of rare earth elements. Chemistry 2024, 6, 1133–1145. [Google Scholar] [CrossRef]
- Naeem, A.T.; Kashi, E.; Salehi, M.A.; Habibpour, R. Extraction and separation of La(III), Pr(III) and Nd(III) using binary mixture of D2EHPA with Cyanex272, TOPO, and TBP extractants. Metall. Res. Technol. 2018, 115, 612. [Google Scholar] [CrossRef]
- Mallah, M.H.; Shemirani, F.; Ghannadi Maragheh, M. Use of dispersive liquid–liquid microextraction for simultaneous preccentration of samarium, europium, gadolinium and dysprosium. J. Radioanal. Nucl. Chem. 2008, 278, 97–102. [Google Scholar] [CrossRef]
- Diehl, L.O.; Gatiboni, T.L.; Mello, P.A.; Muller, E.I.; Duarte, F.A.; Flores, E.M.M. Ultrasound–assisted extraction of rare–earth elements from carbonatite rocks. Ultrason. Sonochem. 2018, 40, 24–29. [Google Scholar] [CrossRef]
- Laguel, S.; Samar, M.H. Elimination of rare earth (neodymium (III)) from water by emulsion liquid membrane process using D2EHPA as a carrier in kerosene. Desalination Water Treat. 2024, 317, 100214. [Google Scholar] [CrossRef]
- Joshi, D.R.; Adhikari, N. An overview on common organic solvents and their toxicity. J. Pharm. Res. Int. 2019, 28, 1–18. [Google Scholar] [CrossRef]
- Lide, D.R. CRC Handbook of Chemistry and Physics, 85th ed.; CRC Press: Florida, FL, USA, 2004. [Google Scholar]
- AOAC International Guidelines for Standard Method Performance Requirements. In AOAC Official Methods of Analysis (2016); AOAC International Publication: Maryland, MD, USA, 2016. [Google Scholar]
- Hughes, I.D.; Däne, M.; Ernst, A.; Hergert, W.; Lüders, M.; Poulter, J.; Staunton, J.B.; Svane, A.; Szotek, Z.; Temmerman, W.M. Lanthanide contraction and magnetism in the heavy rare earth elements. Nature 2007, 446, 650–653. [Google Scholar] [CrossRef]
- Chen, S.; Cheng, X.; He, Y.; Zhu, S.; Lu, D. Determination of the rare earth elements La, Eu, and Yb using solidified floating organic drop microextraction and electrothermal vaporization ICP–MS. Microchim. Acta 2013, 180, 1479–1486. [Google Scholar] [CrossRef]
- Ramos, J.C.; Borges, D.L.G. Simultaneous determination of six rare earth elements in geological and spent catalyst samples using electrothermal vaporization inductively coupled plasma mass spectrometry following dispersive liquid–liquid microextraction. J. Anal. At. Spectrom. 2017, 32, 1893–1904. [Google Scholar] [CrossRef]
- Karadaş, C.; Kara, D.; Fisher, A. Determination of rare earth elements in seawater by inductively coupled plasma mass spectrometry with off–line column preconcentration using 2,6-diacetylpyridine functionalized amberlite XAD–4. Anal. Chim. Acta 2011, 689, 184–189. [Google Scholar] [CrossRef]
- Cai, Y.; Chen, B.; He, M.; Liu, X.; Bin, H. Gold nanoparticles as intermediate ligands for polymer monolithic capillary microextraction of trace rare earth elements followed by inductively coupled plasma mass spectrometry detection. Spectrochim. Acta Part B At. Spectrosc. 2017, 127, 56–63. [Google Scholar]
- Zhang, L.; Chen, B.; He, M.; Hu, B. Polymer monolithic capillary microextraction combined on–line with inductively coupled plasma MS for the determination of trace rare earth elements in biological samples. J. Sep. Sci. 2013, 36, 2158–2167. [Google Scholar] [CrossRef]
- Mallah, M.H.; Shemirani, F.; Maragheh, M.G. Ionic liquids for simultaneous preconcentration of some lanthanoids using dispersive liquid−liquid microextraction technique in uranium dioxide powder. Environ. Sci. Technol. 2009, 43, 1947–1951. [Google Scholar] [CrossRef]
- Yahaya, N.; Mohamed, A.H.; Miskam, M.; Abdul Keyon, A.S.; Loh, S.H.; Mohamad Zain, N.N.; Sajid, M. Green analytical chemistry metrics for evaluation of microextraction methods: Fascinating or essential tools in real-world applications? TrAC Trends Anal. Chem. 2024, 172, 117587. [Google Scholar] [CrossRef]
- Hussein, A.R.; Gburi, M.S.; Muslim, N.M.; Azooz, E.A. A greenness evaluation and environmental aspects of solidified floating organic drop microextraction for metals: A review. Trends Environ. Anal. Chem. 2023, 37, e00194. [Google Scholar] [CrossRef]
- Shuping, C.; Zhihan, Z.; Dong, W.; Wenjing, Z.; Tao, Q.; Zhi, W.; Wanhai, X.; Yong, L.; Guobiao, L. Selective leaching and recovery of rare earth from NdFeB waste through a superior selective and stable deep eutectic solvent. Sep. Purif. Technol. 2025, 353, 128498. [Google Scholar] [CrossRef]
- Billiard, K.M.; Dershem, A.R.; Gionfriddo, E. Implementing green analytical methodologies using solid-phase microextraction: A review. Molecules 2020, 25, 5297. [Google Scholar] [CrossRef]
- Mansour, F.R.; Płotka-Wasylka, J.; Locatelli, M. Modified GAPI (MoGAPI) tool and software for the assessment of method greenness: Case studies and applications. Analytica 2024, 5, 451–457. [Google Scholar] [CrossRef]
- Mansour, F.R.; Omer, K.M.; Płotka-Wasylka, J. A total scoring system and software for complex modified gapi (complexmogapi) application in the assessment of method greenness. Green Anal. Chem. 2024, 10, 100126. [Google Scholar] [CrossRef]








| Source | Sum of Squares | df | Mean Square | F Value | p-Value |
|---|---|---|---|---|---|
| Model | 0.60 | 11 | 0.054 | 10.2 | 0.0404 s |
| pH | 0.035 | 1 | 0.035 | 6.65 | 0.0819 |
| Vs | 0.055 | 1 | 0.055 | 10.4 | 0.0485 |
| T | 0.020 | 1 | 0.020 | 3.87 | 0.1440 |
| pH’Vs | 0.047 | 1 | 0.047 | 8.88 | 0.0586 |
| pH’T | 0.048 | 1 | 0.048 | 9.03 | 0.0575 |
| Vs’T | 0.001 | 1 | 0.001 | 0.20 | 0.6882 |
| pH2 | 0.037 | 1 | 0.037 | 6.97 | 0.0776 |
| Vs2 | 0.00074 | 1 | 0.00074 | 0.14 | 0.7330 |
| T2 | 0.015 | 1 | 0.015 | 2.78 | 0.1940 |
| pH2 × Vs | 0.21 | 1 | 0.21 | 40.3 | 0.0079 |
| pH2 × T | 0.034 | 1 | 0.034 | 6.40 | 0.0854 |
| Residual | 0.016 | 3 | 0.0053 | ||
| Lack of Fit | 0.014 | 1 | 0.014 | 16.54 | 0.0555 ns |
| Pure Error | 0.0017 | 2 | 0.00086 | ||
| Cor. Total | 0.61 | 14 |
| REE | Sc | Y | La | Ce | Pr | Nd | Sm | Eu | Gd | Tb | Dy | Ho | Er | Tm | Yb | Lu |
|---|---|---|---|---|---|---|---|---|---|---|---|---|---|---|---|---|
| Recovery, % | 13 | 82 | 15 | 18 | 21 | 24 | 61 | 63 | 68 | 75 | 108 | 102 | 109 | 107 | 103 | 102 |
| RSD, % | 46 | 11 | 37 | 28 | 34 | 43 | 14 | 17 | 13 | 12 | 23 | 15 | 24 | 17 | 28 | 22 |
| Sample | Analyte | Method | Recovery (%) | Det. Tech. | Reagents | Optimized parameters | Sample Volume (mL) | Precon. Factor | Detection Limit (LOD) | Ref. |
|---|---|---|---|---|---|---|---|---|---|---|
| tap, river, and seawater | La, Ce, Pr, Nd, Sm, Eu, Gd, Tb, Dy, Ho, Er, Tm, Yb, Lu | LL-DLLME | 89–124 | ICP–MS | E: carbon tetrachloride D: acetone | sample pH, the volume of extraction/disperser solvent, NaCl concentration | 5 | 2 | 0.68–26.6 ng/L | [1] |
| 40 | 16 | 0.085–3.33 ng/L | ||||||||
| groundwater | La, Ce, Pr, Nd, Sm, Eu, Gd, Tb, Dy, Ho, Er, Tm, Yb, Lu | DLLME | 92–109 | ICP–QMS | C: 2,6–pyridine dicarboxylic acid (2,6-PDCA) E: aliquat® 336 | the volume of extractant/disperser solvent, extraction time, pH, concentration of the extracting agent, and surfactant | 50 | 97 | 0.05–0.55 ng/L | [20] |
| coal fly ash leachate | Sc, Y, La, Ce, Pr, Nd, Sm, Eu, Gd, Tb, Dy, Ho, Er, Tm, Yb, Lu | vortex-assisted DSPME | 43–112 | ICP–MS | C: D2EHPA S: poly(HDDA)/graphene | Amount of extracting agent, sorbent, eluting solvent, extraction temperature, centrifuge speed and time, vortexing time, elution time, pH | 25 | 10 | 0.6–83 ng/L | [7] |
| water | La, Eu, Yb | SFODME | 92–105 | ETV-ICP–MS | C: 1-(2-pyridyl azo)- 2-naphthol (PAN) | pH, amount of PAN, extraction time, stirring rate, volume of sample solution, temperature | 10 | 500 | 2.1, 0.65, 0.91 ng/L | [50] |
| urine and water sample | La, Ce | USAEME | 93–99 | ICP–OES | C: 5,6,14,15-dibenzo-1,4-dioxa-8,12-diazacyclopentadecane E: Tetrachloroethylene | pH, salt effect, ultrasonic time, temperature, volume of diluents, concentration of the extracting agent | 10 | 9.9, 9.8 | 0.012, 0.61 µg/L | [13] |
| geological and spent catalyst samples | Gd, La, Tb, Tm, Yb, Y | DLLME | 75–105 | ETV-ICP–MS | C: 8-hydroxyquinoline E: CHCl3 D: ethanol | pH, concentration of the extracting agent, centrifugation time | 5 | 323 | 0.08 ng/g | [51] |
| drinking water and nuts | Y, Tb, Tm, Er, Sm, Nd, Gd, Pr, Ce Eu, La, Yb, Ho, Dy | d-SPE | 87–115 | ICP–MS | S: Graphite oxide, reduced and oxidized graphite oxide | mass of sorbent, adsorption time, desorption time, the eluent concentration | 50 | 45 | 0.03–1.08 ng/L | [5] |
| seawater | La, Ce, Pr, Nd, Sm, Eu, Gd, Tb, Dy, Ho, Er, Tm, Yb, Lu | CME3 | 90–102 | ICP–MS | S: 2,6 diacetyl pyridine functionalized Amberlite XAD-4 | sample pH | 10 | 5 | 2–10.3 ng/L | [52] |
| environmental and biological samples | La, Ce, Pr, Nd, Sm, Eu, Gd, Tb, Dy, Ho, Er, Tm, Yb, Lu | CME1 | 95 | ICP–MS | S: poly(glycidyl methacrylate-ethylene methacrylate) monolithic capillary, functionalized with thiol ligands for the attaching of Au NPs, and then modified with mercaptosuccinic acid | Sample pH, volume and, flow rate, elution conditions | 0.5 | 25 | 0.16–0.85 ng/L | [53] |
| biological samples | Y, La, Ce, Pr, Nd, Sm, Eu, Gd, Tb, Dy, Ho, Er, Tm, Yb, Lu | CME2 | 85–105 | micro concentric nebulization ICP–MS | S: iminodiacetic acid modified poly(glycidyl methacrylatetrimethylolpropane trimethacrylate) monolithic capillary | sample pH, flow rate, sample/eluent volume, coexisting ions | 1, 2, 4, 10 | 200 | 0.08–0.97 ng/L | [54] |
| Stock solution | Sm, Eu, Gd, Dy | DLLME | ICP–OES | C: PAN E: chloroform D: methanol | dispersive solvent type and their volume, extraction time, volume of extracting agent, centrifuge speed, drying temperature | 20 | 80, 100, 103, 78 | [43] | ||
| uranium dioxide powder | Sm, Eu, Gd, Dy | IL-DLLM | ICP–OES | C: HYD E: ionic liquid D: methanol | type and amount of diluents, extraction time, volume of the extracting agent, centrifuge speed, drying temperature | 80 | 19–86 | 0.34–1.29 µg/L | [55] | |
| Coal Ash leachate | Sc, Y, La, Ce, Pr, Nd, Sm, Eu, Gd, Tb, Dy, Ho, Er, Tm, Yb, Lu | US-DLLME | ICP–MS | C: D2EHPA E: tetrachloroethylene D: acetone | pH of the sample, temperature, volume of the diluents | 40 | 100 | This work |
Disclaimer/Publisher’s Note: The statements, opinions and data contained in all publications are solely those of the individual author(s) and contributor(s) and not of MDPI and/or the editor(s). MDPI and/or the editor(s) disclaim responsibility for any injury to people or property resulting from any ideas, methods, instructions or products referred to in the content. |
© 2025 by the authors. Licensee MDPI, Basel, Switzerland. This article is an open access article distributed under the terms and conditions of the Creative Commons Attribution (CC BY) license (https://creativecommons.org/licenses/by/4.0/).
Share and Cite
Delić, M.; Ristić, M.; Đolić, M.; Perić-Grujić, A.; Onjia, A. Dispersive Liquid–Liquid Chelate Microextraction of Rare Earth Elements: Optimization and Greenness Evaluation. Metals 2025, 15, 52. https://doi.org/10.3390/met15010052
Delić M, Ristić M, Đolić M, Perić-Grujić A, Onjia A. Dispersive Liquid–Liquid Chelate Microextraction of Rare Earth Elements: Optimization and Greenness Evaluation. Metals. 2025; 15(1):52. https://doi.org/10.3390/met15010052
Chicago/Turabian StyleDelić, Milica, Mirjana Ristić, Maja Đolić, Aleksandra Perić-Grujić, and Antonije Onjia. 2025. "Dispersive Liquid–Liquid Chelate Microextraction of Rare Earth Elements: Optimization and Greenness Evaluation" Metals 15, no. 1: 52. https://doi.org/10.3390/met15010052
APA StyleDelić, M., Ristić, M., Đolić, M., Perić-Grujić, A., & Onjia, A. (2025). Dispersive Liquid–Liquid Chelate Microextraction of Rare Earth Elements: Optimization and Greenness Evaluation. Metals, 15(1), 52. https://doi.org/10.3390/met15010052

