Establishment of an Improved Elman Neural Network Model for Predicting the Corrosion Rate of 3C Steel in Marine Environment and Analysis of the Factors Affecting Model Accuracy
Abstract
1. Introduction
2. Basic Principles of Elman Neural Network and Whale Optimization Algorithm
2.1. Elman Neural Network (ENN)
2.2. Whale Optimization Algorithm (WOA)
2.2.1. Encircling Prey
2.2.2. Bubble-Net Attacking Approach
- Shrinking encircling mechanism: this behavior is achieved by adjusting the a value in Formula (7).
- Spiral updating position: the distance between the whale and the prey is first calculated, and then the spiral motion of the whale is imitated to hunt the prey. The specific formulas are as follows:where b is a constant coefficient that characterizes the spiral shape. l is a random number within [−1,1].
2.2.3. Randomly Search for Prey
3. The Prediction Steps of Improved Elman Neural Network
4. The Prediction Results of Corrosion Rate of 3C Steel in Marine Environment
5. Analysis of the Factors Affecting the Prediction Accuracy of Improved Elman Neural Network Model
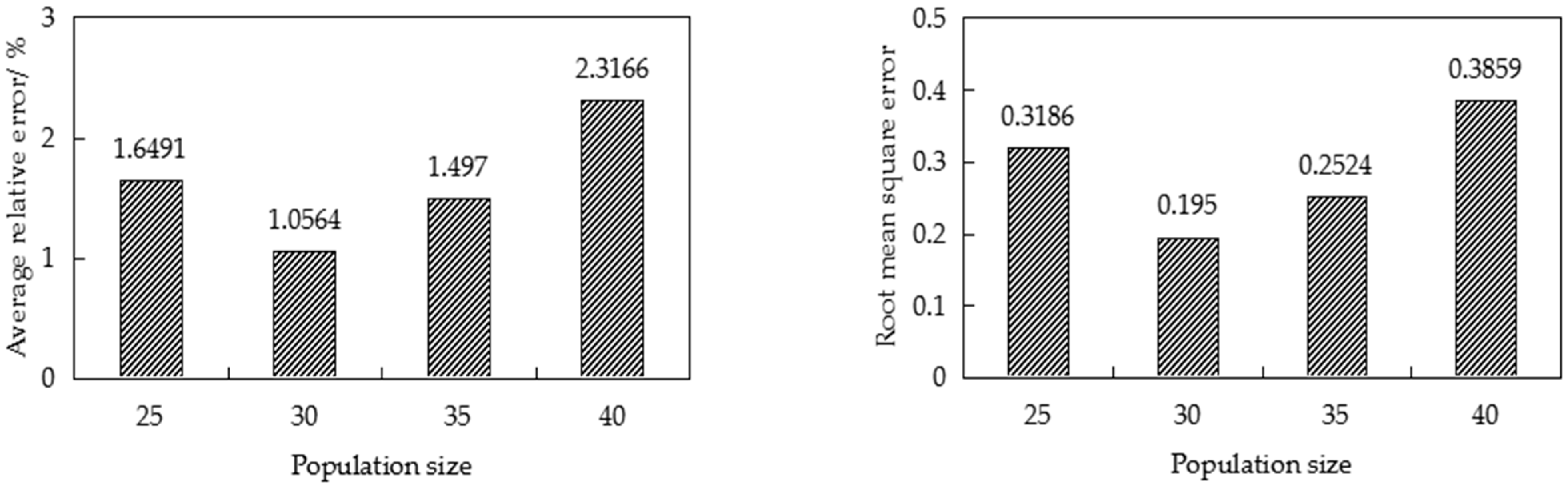
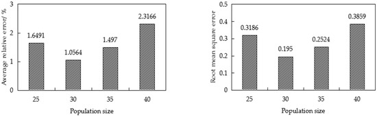
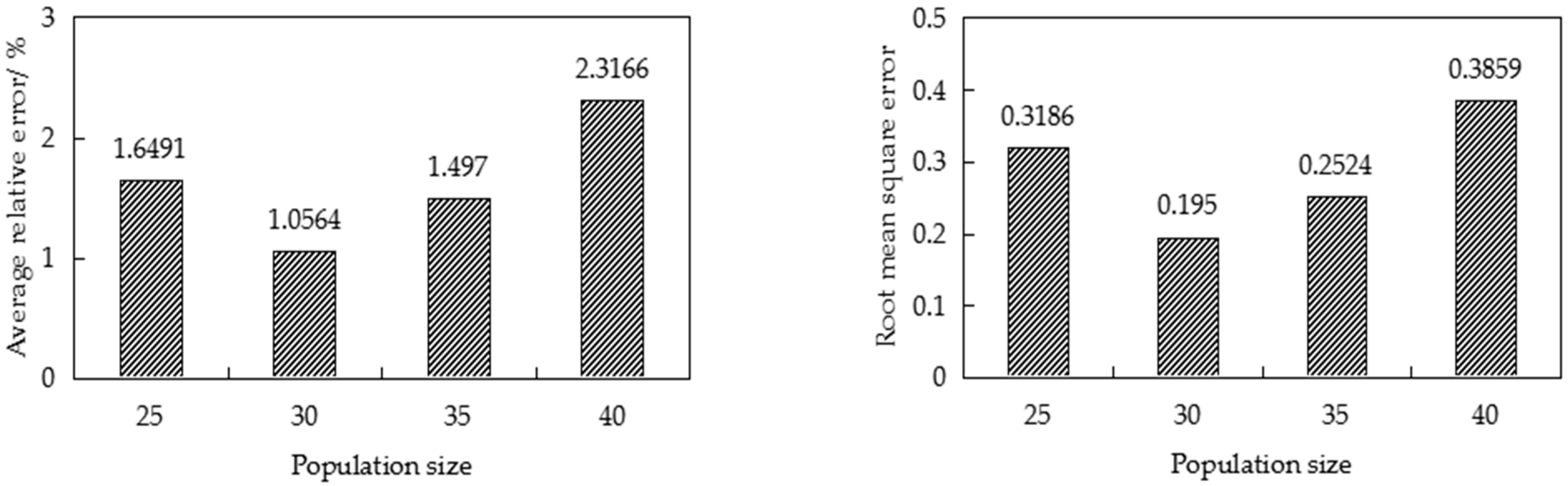
5.1. The Influence of Population Size on the Prediction Accuracy of the Improved Model
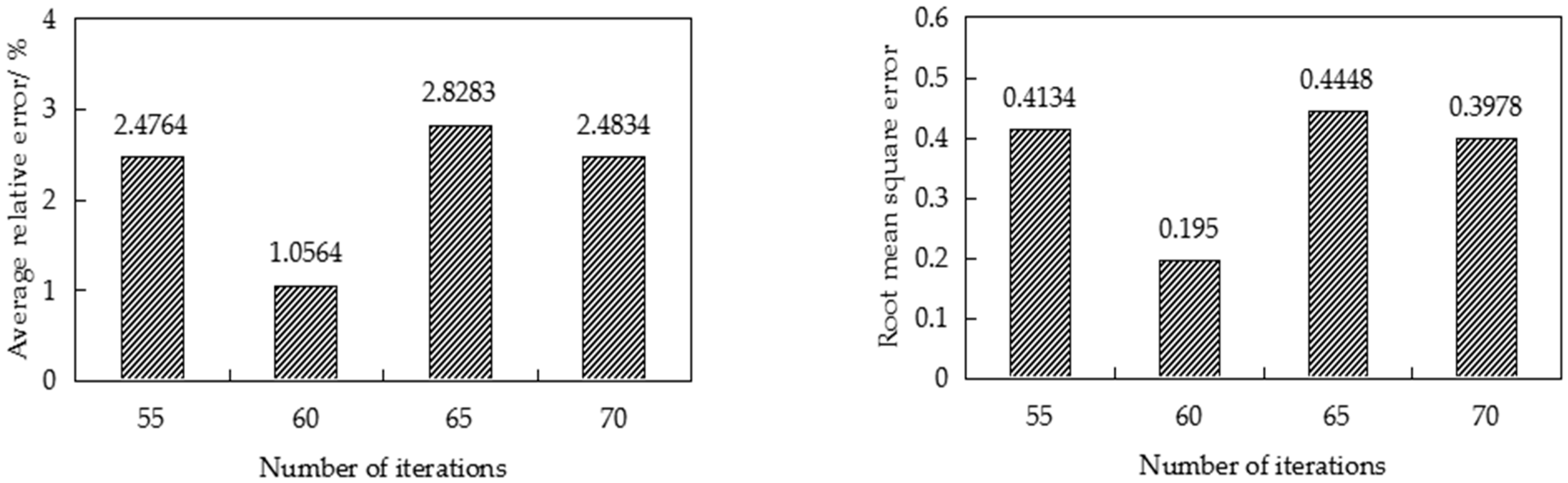
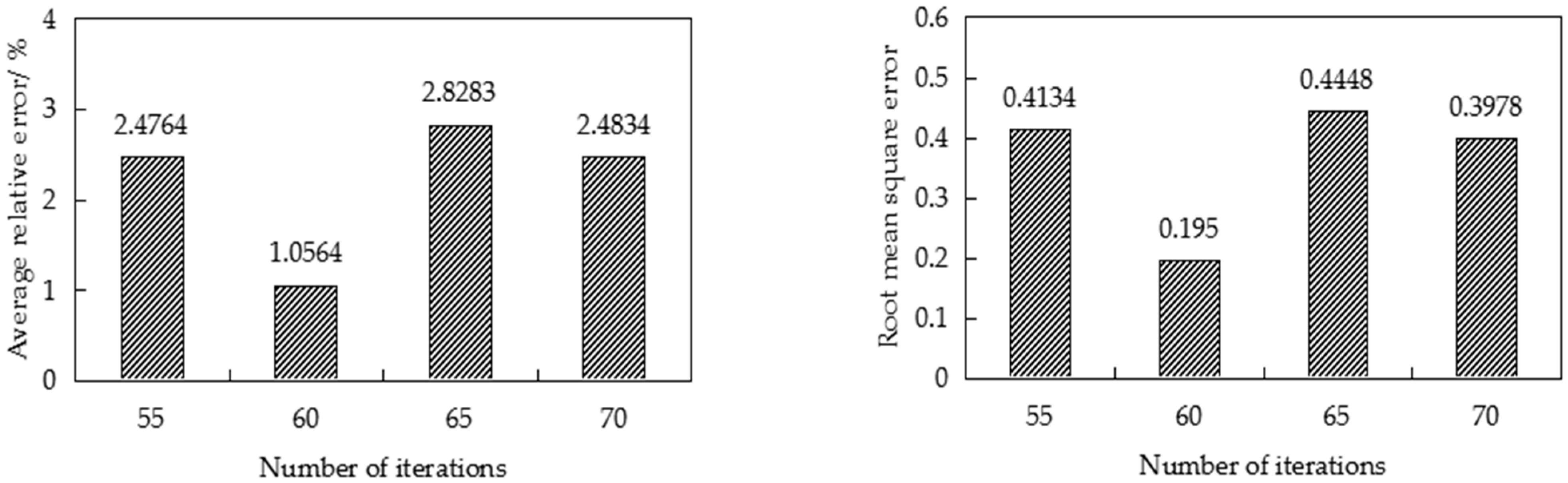
5.2. The Influence of the Number of Iterations on the Prediction Accuracy of the Improved Model
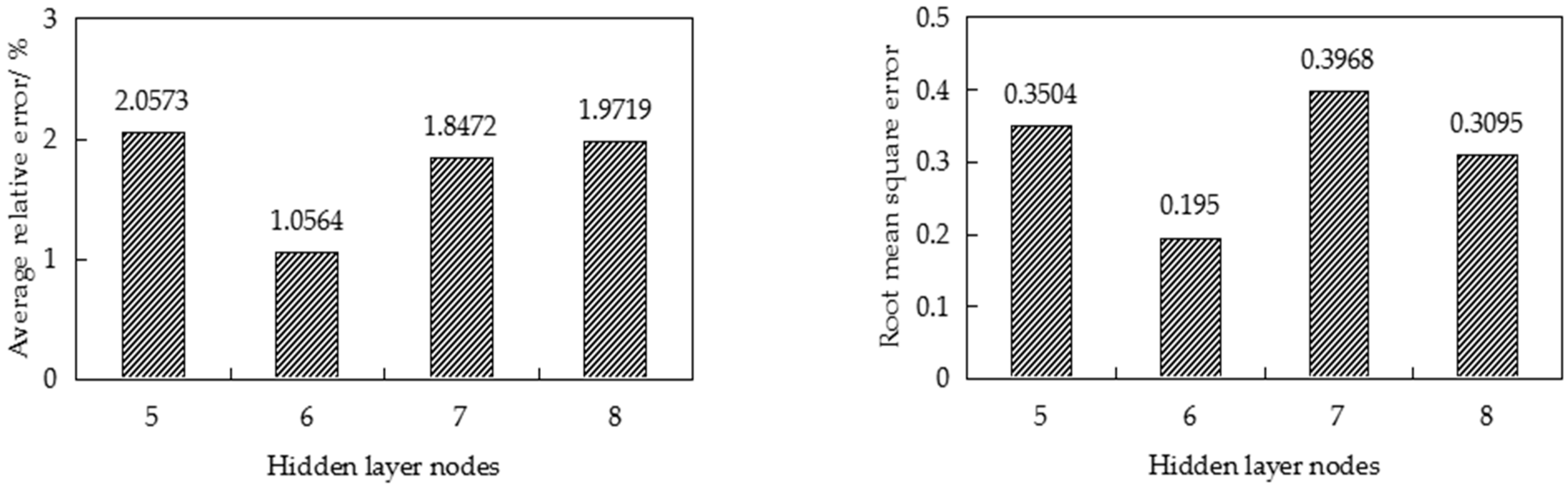
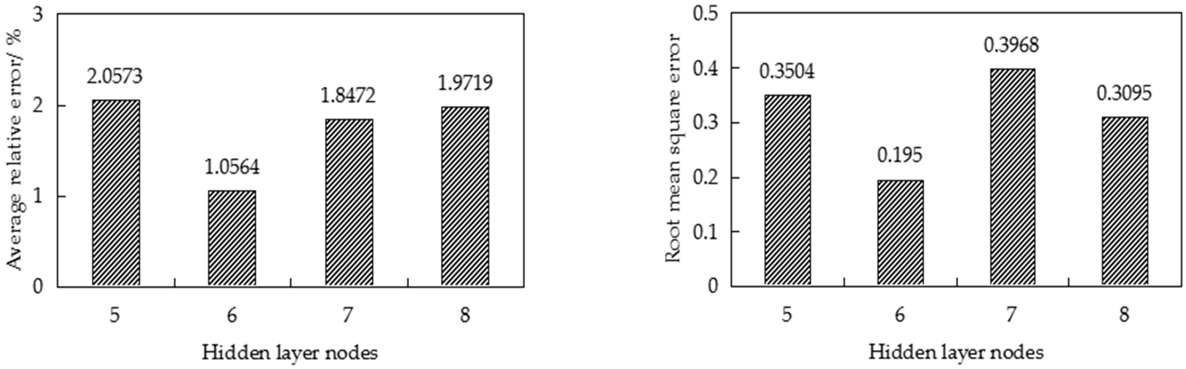
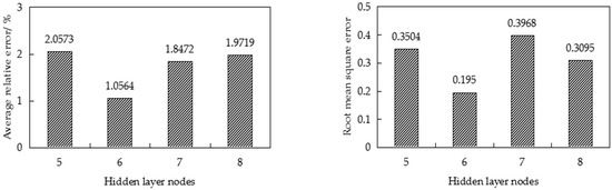
5.3. The Influence of the Number of Hidden Layer Nodes on the Prediction Accuracy of the Improved Model
6. Conclusions
- In view of the advantages of the whale optimization algorithm and the shortcomings of the Elman neural network, an improved Elman neural network model for corrosion rate prediction was established. The results showed that the average relative error and root mean square error of the improved model were significantly lower than those of the traditional model, so its prediction accuracy was higher than that of the traditional model.
- In the application process of the improved Elman neural network model, the population sizes, the number of iterations, and the number of hidden layer nodes have a great influence on the prediction results. With the increase in the number of hidden layer nodes and the population sizes, the average relative errors of the prediction results decrease first and then increase. With the increase in the number of iterations, the average relative errors of the prediction results decrease first, then increase, and finally decrease. Therefore, a larger number of hidden layer nodes, iterations, and population sizes does not mean higher prediction accuracy.
- The whale optimization algorithm can simulate the search process of whales and find the optimal solution, which has faster convergence speed and higher global search ability. In addition, the whale optimization algorithm can continuously optimize the initial weights and thresholds of the Elman neural network during the iteration process, which helps to improve the prediction accuracy of the Elman neural network. Although the whale optimization algorithm has many advantages in the application process, it still has some shortcomings. The prediction performance of the whale optimization algorithm will be affected by the parameter setting, and the relevant parameters need to be adjusted in the application process. In addition, the algorithm may lead to slower convergence speed when dealing with high-dimensional problems.
Author Contributions
Funding
Data Availability Statement
Conflicts of Interest
References
- Paul, S.; Mondal, R. Prediction and computation of corrosion rates of A36 mild steel in oilfield seawater. J. Mater. Eng. Perform. 2018, 27, 3174–3183. [Google Scholar] [CrossRef]
- Ferry, M.; Wan Nik, W.B.; Mohd Noor, C.W. The influence of seawater velocity to the corrosion rate and paint degradation at mild steel plate immersed in sea water. Appl. Mech. Mater. 2014, 554, 218–221. [Google Scholar] [CrossRef]
- Wang, X.W.; Ren, J.; Li, Z.L.; Li, Y.T. Research progress of vapor phase corrosion inhibitors in marine environment. Environ. Sci. Pollut. Res. 2022, 29, 88432–88439. [Google Scholar] [CrossRef] [PubMed]
- Zadeh Shirazi, A.; Mohammadi, Z. A hybrid intelligent model combining ANN and imperialist competitive algorithm for prediction of corrosion rate in 3C steel under seawater environment. Neural Comput. Appl. 2017, 28, 3455–3464. [Google Scholar] [CrossRef]
- Lee, S.; Narayana, P.L.; Seok, B.W.; Panigrahi, B.B.; Lim, S.G.; Reddy, N.S. Quantitative estimation of corrosion rate in 3C steels under seawater environment. J. Mater. Res. Technol. 2021, 11, 681–686. [Google Scholar] [CrossRef]
- Zou, Y.; Wang, J.; Zheng, Y.Y. Electrochemical techniques for determining corrosion rate of rusted steel in seawater. Corros. Sci. 2011, 53, 208–216. [Google Scholar] [CrossRef]
- Wang, J.; Meng, J.; Tang, X.; Zhang, W. Assessment of corrosion behavior of steel in deep ocean. J. Chin. Soc. Corros. Prot. 2007, 27, 1–7. [Google Scholar]
- Khadom, A.A. Comparison of mathematical and artificial neural network models for inhibition of fuel oil ash under high temperature corrosion. Corros. Eng. Sci. Technol. 2016, 51, 278–284. [Google Scholar] [CrossRef]
- Paul, S. Estimation of corrosion rate of mild steel in sea water and application of genetic algorithms to find minimum corrosion rate. Can. Metall. Q. 2010, 49, 99–106. [Google Scholar] [CrossRef]
- Kamrunnahar, M.; Urquidi-Macdonald, M. Prediction of corrosion behavior using neural network as a data mining tool. Corros. Sci. 2010, 52, 669–677. [Google Scholar] [CrossRef]
- Chen, X.Y.; Yuan, Z.M.; Zheng, Y.P.; Liu, W. Prediction of carbon steel corrosion rate based on an alternating conditional expectation (Ace) algorithm. Chem. Technol. Fuels Oils 2016, 51, 728–739. [Google Scholar] [CrossRef]
- Sattar, A.M.A.; Faruk, E.O.; Gharabaghi, B.; McBean, E.A.; Cao, J. Extreme learning machine model for water network management. Neural Comput. Appl. 2019, 31, 157–169. [Google Scholar] [CrossRef]
- Boukhari, Y.; Boucherit, M.N.; Zaabat, M.; Amzert, S.; Brahimi, K. Optimization of learning algorithms in the prediction of pitting corrosion. J. Eng. Sci. Technol. 2018, 13, 1153–1164. [Google Scholar]
- Poonguzhali, V.; Kannan, T.D.B.; Umar, M.; Sathiya, P. Application of ANN Modelling and GA Optimization for Improved Creep and Corrosion Properties of Spin-Arc Welded AA5083-H111 Alloy. Russ. J. Non-Ferrous Met. 2020, 61, 188–198. [Google Scholar] [CrossRef]
- Lee, K.E.; Aziz, I.B.A.; Jaafar, J.B. Adaptive multilayered particle swarm optimized neural network (AMPSONN) for pipeline corrosion prediction. Int. J. Adv. Comput. Sci. 2017, 8, 499–508. [Google Scholar]
- Liu, J.C.; Wang, H.T.; Yuan, Z.G. Forecast model for inner corrosion rate of oil pipeline based on PSO-SVM. Int. J. Simul. Process Model. 2012, 7, 74–80. [Google Scholar] [CrossRef]
- Wang, X.M.; Zhang, J.D.; Liu, Y.F.; Zhang, G. Modified ARIMA prediction model based on Elman neural network. J. Shanghai Marit. Univ. 2023, 44, 57–61. [Google Scholar]
- Liang, Y.F.; Xu, J.N.; Wu, M. Elman neural network based on particle swarm optimization for prediction of GPS rapid clock bias. J. Nav. Univ. Eng. 2022, 34, 41–47. [Google Scholar]
- Mirjalili, S.; Lewis, A. The Whale Optimization Algorithm. Adv. Eng. Softw. 2016, 95, 51–67. [Google Scholar] [CrossRef]
- Haghnegahdar, L.; Wang, Y. A whale optimization algorithm-trained artificial neural network for smart grid cyber intrusion detection. Neural Comput. Appl. 2020, 32, 9427–9441. [Google Scholar] [CrossRef]
- Wang, Z.B.; Zhao, L.H. Prediction of Loess Landslides Deformation Using Elman Neural Network Model Based on Genetic Algorithm and Particle Swarm Optimization. J. Geod. Geodyn. 2023, 43, 679–684. [Google Scholar]
- Yin, M.; Ke, P.; Zhang, C.R. An improved whale optimization algorithm with multiple strategies. J. Wuhan. Univ. Sci. Technol. 2023, 46, 145–152. [Google Scholar]
- Wu, L.; Mei, J.T.; Zhao, S. Pipeline damage identification based on an optimized back-propagation neural network improved by whale optimization algorithm. Appl. Intell. 2023, 53, 12937–12954. [Google Scholar] [CrossRef]
- Vaheddoost, B.; Guan, Y.Q.; Mohammadi, B. Application of hybrid ANN-whale optimization model in evaluation of the field capacity and the permanent wilting point of the soils. Environ. Sci. Pollut. Res. 2020, 27, 13131–13141. [Google Scholar] [CrossRef]
- Shang, Z.H.; He, Z.S.; Song, Y.R.; Yang, Y.; Li, L.; Chen, Y.H. A Novel Combined Model for Short-Term Electric Load Forecasting Based on Whale Optimization Algorithm. Neural Process. Lett. 2020, 52, 1207–1232. [Google Scholar] [CrossRef]
- Tang, C.J.; Sun, W.; Xue, M.; Zhang, X.; Tang, H.W.; Wu, W. A hybrid whale optimization algorithm with artificial bee colony. Soft Comput. 2022, 26, 2075–2097. [Google Scholar] [CrossRef]
- Kaur, G.; Gill, S.S.; Rattan, M. Whale Optimization Algorithm Approach for Performance Optimization of Novel Xmas Tree-Shaped FinFET. Silicon 2022, 14, 3371–3382. [Google Scholar] [CrossRef]
- Chakraborty, S.; Saha, A.K.; Sharma, S.; Chakraborty, R.; Debnath, S. A hybrid whale optimization algorithm for global optimization. J. Ambient. Intell. Humaniz. Comput. 2023, 14, 431–467. [Google Scholar] [CrossRef]
- Zhou, J.; Zhu, S.L.; Qiu, Y.G.; Armaghani, D.J.; Zhou, A.N.; Yong, W.X. Predicting tunnel squeezing using support vector machine optimized by whale optimization algorithm. Acta Geotech. 2022, 17, 1343–1366. [Google Scholar] [CrossRef]
- Jin, W.B.; Tian, Z.; Xiong, X.W.; Yang, Y.F.; Fan, C.Y. Prediction of 3C steel corrosion rate in the marine environment based on extreme learning machine. J. Saf. Environ. 2022, 22, 778–785. [Google Scholar]
- Chen, Z.; Liu, B.; Zhang, Y.; Yang, Y.B.; Tian, Y.Y. Prediction of wax deposition rate in pipeline by optimizing Elman neural network model with improved aquila optimizer. Sci. Technol. Eng. 2023, 23, 8179–8186. [Google Scholar]




| Num | Temperature/°C | Dissolved Oxygen Content/(mg·mL−1) | Salinity /‰ | pH | Redox Potential/mV | Corrosion Rate/(μA·cm−2) |
|---|---|---|---|---|---|---|
| 1 | 25.9000 | 6.7100 | 30.1000 | 5.1000 | 378.0000 | 16.4000 |
| 2 | 27.9000 | 6.1800 | 31.5000 | 7.0000 | 363.0000 | 15.5700 |
| 3 | 28.0000 | 5.0500 | 31.4000 | 9.2000 | 240.0000 | 13.2400 |
| 4 | 27.3200 | 3.2100 | 29.3100 | 8.2000 | 281.0000 | 12.9100 |
| 5 | 27.8700 | 6.5500 | 31.6800 | 7.2000 | 356.0000 | 14.0600 |
| 6 | 24.2700 | 0.8000 | 32.5600 | 8.1000 | 171.0000 | 3.6059 |
| 7 | 27.4500 | 2.6000 | 35.3700 | 7.9600 | 287.0000 | 7.9385 |
| 8 | 27.2300 | 4.2000 | 31.9400 | 7.8900 | 289.0000 | 9.6304 |
| 9 | 28.7500 | 6.8000 | 32.2200 | 8.0000 | 340.0000 | 11.4258 |
| 10 | 28.5200 | 8.4000 | 32.1000 | 8.0100 | 345.0000 | 12.5193 |
| 11 | 23.9500 | 7.6100 | 9.1700 | 8.0400 | 231.0000 | 10.9382 |
| 12 | 24.7300 | 6.0600 | 17.3300 | 7.8800 | 321.0000 | 11.4456 |
| 13 | 24.5100 | 7.0200 | 32.0000 | 8.1600 | 308.0000 | 12.5497 |
| 14 | 25.5700 | 6.7000 | 32.1900 | 8.0900 | 325.0000 | 11.8715 |
| 15 | 31.1600 | 4.3800 | 33.2100 | 7.9400 | 242.0000 | 8.9236 |
| 16 | 23.6500 | 6.5100 | 41.3400 | 7.6700 | 245.0000 | 8.4016 |
| 17 | 16.7400 | 7.1100 | 33.5500 | 8.2500 | 178.0000 | 10.8502 |
| 18 | 28.4500 | 9.9000 | 31.9500 | 7.9300 | 309.0000 | 22.6363 |
| 19 | 24.0000 | 7.9500 | 30.2000 | 8.1000 | 324.0000 | 13.6500 |
| 20 | 27.4800 | 5.9000 | 32.3900 | 7.8300 | 331.0000 | 10.5783 |
| 21 | 29.3500 | 6.0900 | 29.0000 | 6.3000 | 400.0000 | 16.9000 |
| Num | Temperature/°C | Dissolved Oxygen Content/(mg·mL−1) | Salinity/‰ | pH | Redox Potential/mV | Corrosion Rate/(μA·cm−2) |
|---|---|---|---|---|---|---|
| 1 | 29.3700 | 6.8200 | 30.1200 | 6.2000 | 414.0000 | 17.1100 |
| 2 | 28.2700 | 6.9800 | 28.2000 | 6.6000 | 384.0000 | 15.4700 |
| 3 | 21.1100 | 6.0300 | 33.4400 | 8.0300 | 295.0000 | 11.4479 |
| 4 | 30.7000 | 7.1500 | 31.7400 | 6.5000 | 401.0000 | 16.2800 |
| 5 | 24.6000 | 7.5200 | 24.4200 | 7.5700 | 210.0000 | 11.8285 |
| Number | MSE |
|---|---|
| 3 | 0.1831 |
| 4 | 0.1340 |
| 5 | 0.3429 |
| 6 | 0.0844 |
| 7 | 0.4134 |
| 8 | 0.1481 |
| 9 | 0.0955 |
| 10 | 0.1451 |
| 11 | 0.2125 |
| 12 | 0.1321 |
| Num | Experimental Value/(μA·cm−2) | ENN Model | WOA-ENN Model | ||
|---|---|---|---|---|---|
| Prediction Result/(μA·cm−2) | Relative Error/% | Prediction Result/(μA·cm−2) | Relative Error/% | ||
| 1 | 17.1100 | 19.1890 | 12.1508 | 17.0228 | 0.5096 |
| 2 | 15.4700 | 18.3274 | 18.4706 | 15.7353 | 1.7149 |
| 3 | 11.4479 | 9.2142 | 19.5119 | 11.3519 | 0.8386 |
| 4 | 16.2800 | 19.6073 | 20.4380 | 16.5995 | 1.9625 |
| 5 | 11.8285 | 11.9132 | 0.7161 | 11.8588 | 0.2562 |
| Model | Average Relative Error/% | Root Mean Square Error |
|---|---|---|
| ENN model | 14.2575 | 2.3897 |
| WOA-ENN model | 1.0564 | 0.1950 |
| Population Size | Prediction Sample Number | Experimental Value/(μA·cm−2) | WOA-ENN Model | |
|---|---|---|---|---|
| Prediction Result/(μA·cm−2) | Relative Error/% | |||
| 25 | 1 | 17.1100 | 16.5199 | 3.4489 |
| 2 | 15.4700 | 15.7332 | 1.7014 | |
| 3 | 11.4479 | 11.4466 | 0.0114 | |
| 4 | 16.2800 | 16.0633 | 1.3311 | |
| 5 | 11.8285 | 11.6212 | 1.7525 | |
| 30 | 1 | 17.1100 | 17.0228 | 0.5096 |
| 2 | 15.4700 | 15.7353 | 1.7149 | |
| 3 | 11.4479 | 11.3519 | 0.8386 | |
| 4 | 16.2800 | 16.5995 | 1.9625 | |
| 5 | 11.8285 | 11.8588 | 0.2562 | |
| 35 | 1 | 17.1100 | 16.7513 | 2.0964 |
| 2 | 15.4700 | 15.6250 | 1.0019 | |
| 3 | 11.4479 | 11.3832 | 0.5652 | |
| 4 | 16.2800 | 16.2003 | 0.4896 | |
| 5 | 11.8285 | 12.2226 | 3.3318 | |
| 40 | 1 | 17.1100 | 16.5100 | 3.5067 |
| 2 | 15.4700 | 15.8057 | 2.1700 | |
| 3 | 11.4479 | 11.3915 | 0.4927 | |
| 4 | 16.2800 | 15.9861 | 1.8053 | |
| 5 | 11.8285 | 11.4017 | 3.6082 | |
| Number of Iterations | Prediction Sample Number | Experimental Value/(μA·cm−2) | WOA-ENN Model | |
|---|---|---|---|---|
| Prediction Result/(μA·cm−2) | Relative Error/% | |||
| 55 | 1 | 17.1100 | 17.4691 | 2.0988 |
| 2 | 15.4700 | 15.7327 | 1.6981 | |
| 3 | 11.4479 | 11.4925 | 0.3896 | |
| 4 | 16.2800 | 16.5802 | 1.8440 | |
| 5 | 11.8285 | 11.0772 | 6.3516 | |
| 60 | 1 | 17.1100 | 17.0228 | 0.5096 |
| 2 | 15.4700 | 15.7353 | 1.7149 | |
| 3 | 11.4479 | 11.3519 | 0.8386 | |
| 4 | 16.2800 | 16.5995 | 1.9625 | |
| 5 | 11.8285 | 11.8588 | 0.2562 | |
| 65 | 1 | 17.1100 | 16.4264 | 3.9953 |
| 2 | 15.4700 | 15.9497 | 3.1008 | |
| 3 | 11.4479 | 11.8543 | 3.5500 | |
| 4 | 16.2800 | 16.5745 | 1.8090 | |
| 5 | 11.8285 | 11.6290 | 1.6866 | |
| 70 | 1 | 17.1100 | 16.5504 | 3.2706 |
| 2 | 15.4700 | 15.0315 | 2.8345 | |
| 3 | 11.4479 | 11.3506 | 0.8499 | |
| 4 | 16.2800 | 16.6330 | 2.1683 | |
| 5 | 11.8285 | 12.2181 | 3.2937 | |
| Hidden Layer Nodes | Prediction Sample Number | Experimental Value/(μA·cm−2) | WOA-ENN Model | |
|---|---|---|---|---|
| Prediction Result/(μA·cm−2) | Relative Error/% | |||
| 5 | 1 | 17.1100 | 16.5970 | 2.9982 |
| 2 | 15.4700 | 15.8669 | 2.5656 | |
| 3 | 11.4479 | 11.4278 | 0.1756 | |
| 4 | 16.2800 | 16.4886 | 1.2813 | |
| 5 | 11.8285 | 11.4422 | 3.2658 | |
| 6 | 1 | 17.1100 | 17.0228 | 0.5096 |
| 2 | 15.4700 | 15.7353 | 1.7149 | |
| 3 | 11.4479 | 11.3519 | 0.8386 | |
| 4 | 16.2800 | 16.5995 | 1.9625 | |
| 5 | 11.8285 | 11.8588 | 0.2562 | |
| 7 | 1 | 17.1100 | 16.3024 | 4.7200 |
| 2 | 15.4700 | 15.6952 | 1.4557 | |
| 3 | 11.4479 | 11.4302 | 0.1546 | |
| 4 | 16.2800 | 16.0504 | 1.4103 | |
| 5 | 11.8285 | 11.6516 | 1.4955 | |
| 8 | 1 | 17.1100 | 17.4694 | 2.1005 |
| 2 | 15.4700 | 15.8684 | 2.5753 | |
| 3 | 11.4479 | 11.8365 | 3.3945 | |
| 4 | 16.2800 | 16.4643 | 1.1321 | |
| 5 | 11.8285 | 11.7508 | 0.6569 | |
Disclaimer/Publisher’s Note: The statements, opinions and data contained in all publications are solely those of the individual author(s) and contributor(s) and not of MDPI and/or the editor(s). MDPI and/or the editor(s) disclaim responsibility for any injury to people or property resulting from any ideas, methods, instructions or products referred to in the content. |
© 2024 by the authors. Licensee MDPI, Basel, Switzerland. This article is an open access article distributed under the terms and conditions of the Creative Commons Attribution (CC BY) license (https://creativecommons.org/licenses/by/4.0/).
Share and Cite
Jin, W.; Chen, Z.; Liu, W.; Quan, Q.; Ren, Z. Establishment of an Improved Elman Neural Network Model for Predicting the Corrosion Rate of 3C Steel in Marine Environment and Analysis of the Factors Affecting Model Accuracy. Metals 2025, 15, 27. https://doi.org/10.3390/met15010027
Jin W, Chen Z, Liu W, Quan Q, Ren Z. Establishment of an Improved Elman Neural Network Model for Predicting the Corrosion Rate of 3C Steel in Marine Environment and Analysis of the Factors Affecting Model Accuracy. Metals. 2025; 15(1):27. https://doi.org/10.3390/met15010027
Chicago/Turabian StyleJin, Wenbo, Zhuo Chen, Wanying Liu, Qing Quan, and Zongxiao Ren. 2025. "Establishment of an Improved Elman Neural Network Model for Predicting the Corrosion Rate of 3C Steel in Marine Environment and Analysis of the Factors Affecting Model Accuracy" Metals 15, no. 1: 27. https://doi.org/10.3390/met15010027
APA StyleJin, W., Chen, Z., Liu, W., Quan, Q., & Ren, Z. (2025). Establishment of an Improved Elman Neural Network Model for Predicting the Corrosion Rate of 3C Steel in Marine Environment and Analysis of the Factors Affecting Model Accuracy. Metals, 15(1), 27. https://doi.org/10.3390/met15010027

