Next Article in Journal
Notch Fatigue Damage Evolution Mechanism of TC21 Alloy with Multilevel Lamellar Microstructures
Previous Article in Journal
Interfacial Microstructure and Cladding Corrosion Resistance of Stainless Steel/Carbon Steel Clad Plates at Different Rolling Reduction Ratios
Previous Article in Special Issue
First-Principles Study of Cu Addition on Mechanical Properties of Ni3Sn4-Based Intermetallic Compounds
 
 
Font Type:
Arial Georgia Verdana
Font Size:
Aa Aa Aa
Line Spacing:
Column Width:
Background:
Article

Efficient Modeling Framework for FO-WLP Solder Interconnect Behavior During Thermal Cycling

by
Ramiro Sebastian Vargas Cruz
1 and
Viktor Gonda
2,*
1
Doctorate School of Materials Sciences and Technologies, Obuda University, 1034 Budapest, Hungary
2
Banki Donat Faculty of Mechanical and Safety Engineering, Obuda University, 1034 Budapest, Hungary
*
Author to whom correspondence should be addressed.
Metals 2025, 15(1), 17; https://doi.org/10.3390/met15010017
Submission received: 27 September 2024 / Revised: 20 December 2024 / Accepted: 21 December 2024 / Published: 29 December 2024
(This article belongs to the Special Issue Advanced Studies in Solder Joints)

Abstract

In advanced microelectronic packaging, high thermo-mechanical loads arise on the solder interconnects. Accurate and efficient modeling of the mechanical behavior is crucial in the design of the package, and the simulation results can provide a basis for estimations of the reliability of the assembly. However, the accuracy of the simulation results depends on the accuracy of the modeled geometry and the modeling simplifications and assumptions employed to achieve computational cost-efficient calculations. In this work, finite element analysis (FEA) of a Fan Out—Wafer Level Packaging (FO-WLP) layout was carried out considering the following variations: modeling domain (2-D and pseudo-3-D) was defined for creating the efficient calculation framework, where soldering material (SAC 305 and SACQ), incorporation of intermetallic compound (IMC), bond pad edge geometry (sharp and blunt) were modeled for cycles of thermal load. Stress and strain analysis was carried out to evaluate the solder behavior for the parameter variations. Furthermore, fatigue indicators were evaluated. An efficient planar simulation framework with 2-D and pseudo-3-D meshed geometries provides a quick estimate for the lower and upper bound for the strain, stress and strain energy-related parameters, respectively. This calculation framework can be employed for extensive parameter studies solved rapidly at low computational costs.

1. Introduction

Accurate and efficient modeling and simulation of thermo-mechanical behavior of advanced electronic packaging structures, incorporating lead-free solder interconnects, require accurate geometry and material model parameters as well as relevant simplifications and assumptions.
Since the introduction of Restrictions of Hazardous Substances (RoHS) [1], several new lead-free soldering materials with high tin (Sn) content have been developed [2] in the challenging search for a suitable combination to replace the eutectic tin–lead (SnPb) solder. Thus far, tin–silver–copper (Sn-Ag-Cu, SAC) compositions have proven beneficial for electronic and mechanical properties despite an increase of about 30 °C in melting temperature compared to the conventional SnPb eutectic alloy.
In electronic packages, repetitive thermo-mechanical loads during manufacturing and service life cause deformation and stress in the solder interconnections by the mismatch of the coefficient of thermal expansion (CTE) [3] of the dissimilar materials. In some applications, the introduction of lead-free soldering materials was found to compromise the reliability [4].
Intermetallic compound (IMC) layers form between the solder and the Cu (copper) pad in a compound of Cu6Sn5 or (Cu,Ni)6Sn5 (η-phase) and Cu3Sn (ε-phase), which compromises the integrity of the solder ball [5,6]. Consequently, novel (micro) alloying elements, such as antimony (Sb), bismuth (Bi), and nickel (Ni), may be incorporated to reduce mechanical detriment. These recently developed doped-SAC solders proved higher reliability under thermo-mechanical loads [7,8].
Failure prediction plays an essential role in electronic packaging design. The Distance to Neutral Point (DNP) concept limited the size of the board and the number of Input/Outputs (I/O). This theory was based on the distance from the neutral point to the furthest solder bump, where the highest thermo-mechanical load occurs [9]. For the lifetime prediction of electronic packages, reliability models typically based on low cycle fatigue models, e.g., strain-based Coffin–Manson [10], strain energy-based Morrow [11], and Monkman–Grant [12] models have been frequently used. As the solder material behaves in a time-dependent manner, creep strain and creep strain energy density are needed to estimate the number of cycles to failure in the above-mentioned models.
Finite element modeling (FEM) is widely used to analyze the thermo-mechanical behavior of multi-material electronic packaging structures [13]. In electronic packaging simulations, often either a 2-D model of the main diagonal cross-section or a 3-D model of one-quarter of the chip geometry is simulated to optimize computational costs [14,15]. The cross-sectional layout is typically idealized using a sharp-edged geometry, and IMC layers are rarely included in the simulations [16,17]. For extensive parameter studies, a computational cost-effective simulation is preferred to run several replicates. Previous works show the advantage of such replicates to compare the creep behavior of undoped and doped SAC solders in advanced electronic packaging [18,19,20].
A computational cost-effective modeling framework is proposed in the present work, a simple and efficient tool that can be applied for extensive parameter studies for solder interconnect analysis. A Fan Out—Wafer Level Packaging (FO-WLP) model was built and analyzed using multiple simulation replicates in a thermal testing environment to evaluate geometry-related modeling aspects; and materials-related modeling aspects. Four main parameters were contemplated for a comprehensive comparison.
(1)
Regarding the solder materials, SAC305 and SACQ were selected for the analysis. A critical location of the model is the bond pad edge, which is prone to induce stress concentrations with ideal sharp edges, while real geometry is often blunt [16,17].
(2)
Therefore, a model geometry with a chamfered bond pad edge was built and compared to the sharp edge configuration in the simulations.
(3)
A pseudo-3-D modeling domain was also constructed from the previous 2-D model to employ a combined plane strain–plane stress analysis to improve the accuracy without compromising computational costs.
(4)
Finally, the effect of incorporating thin IMC layers was analyzed, contrasting with simulations that dismiss IMC layers.
The impact of the parameter variations was evaluated on the creep strain and creep strain energy densities presented in the results section, together with the analyses of von Mises and shear stresses in the critical locations of the solder. Reliability prediction for low cycle fatigue requires strain or strain energy-based reliability indicators; furthermore, an averaging scheme, which was proposed in this work, is dedicated to the modeling framework.

2. Simulation Procedures

Finite element simulations were set up for thermal and mechanical analysis in MSC Marc Mentat. In this section, the modeled geometry is described, including the bond pad edge variations and the incorporation of IMC, followed by material models and properties and the boundary conditions with the thermal load.

2.1. Model Geometry

An advanced FO-WLP—Redistribution Layer First (RDL First) package was modeled based on a modified 167GJJ layout of Texas Instruments’ design [21]. The ball grid array arrangement for the solder bumps consists of 15 bumps distributed horizontally with a pitch of 0.8 mm and a central solder bump. The main dimensions in the vicinity of a solder bump are displayed in a cross-section view in Figure 1.
Bond pad edges are often modeled with idealized sharp edges, while real geometries shown in Scanning Electron Microscopy (SEM) images [16] may become blunt in the final assembly as a consequence of the patterning process steps. The edge shape can strongly influence stress distributions in the solder balls; hence, two different edge shapes were proposed in this study: sharp and blunt (chamfered), as shown in Figure 2b,c. Additionally, two extra layers were optionally included to analyze the variation related to IMC formation at the bond pad–solder interface. An estimated 10% of the copper pad’s total thickness, 2 µm, was established for each IMC layer’s (Cu6Sn5 and Cu3Sn) thickness with idealized smooth geometries at the interfaces.
Usually, under-bump metallization (UBM) consists of copper coated in noble metals such as gold (Au) [22]. As a simplification, UBM was modeled as pure copper (Figure 1). While 3-D modeling provides a more realistic approach, a rough mesh is often used to balance out the high computational costs [23]. A 2-D model allows employment of a fine mesh, which can lead to a more accurate local distribution of results with low computational costs. For the simulation domain, therefore, a 2-D cross-section was modeled in this work, either with 2-D elements with a plane strain condition or with a pseudo-3-D variation, using a linear geometry extension in the out-of-plane direction (Figure 3). This pseudo-3-D approach allows the model of the solder with plane stress condition, whereas the other parts of the assembly may remain in plane strain condition. Therefore, overestimations of the stresses in the solder balls, which often arise in pure plane strain conditions [24], are avoided.
The pseudo-3-D model was one element thick, where all planar elements of the 2-D model in Figure 2a were expanded to a thickness equivalent to 20% of the solder ball diameter (100 µm) with respect to the z-axis.
The finite element mesh for the 2-D model contained plane strain quad elements with a geometric property of unit thickness, while the mesh for the pseudo-3-D domain consisted of full integration hexahedral elements. The complete finite element mesh contained over 27,000 elements.

2.2. Material Models and Properties

Materials in the modeled package layout in Figure 2a are considered as being linear elastic and temperature independent except for the solder. For the chip and the substrate, elastic material properties such as Young’s Modulus (E) and Poisson’s Ratio (υ) are summarized in Table 1 with their Coefficient of Thermal Expansion (CTE) values [25,26].
The solder was modeled as temperature-dependent elastic–time and temperature-dependent inelastic (creep) material. The dominant deformation is creep, for which the Anand solder model [27] was employed in the simulations. In this model, creep strain is a function of stress, temperature, and time for describing inelastic deformation. Anand Equations (1)–(4) comprise nine material parameters, where A is the pre-exponential factor, Q is activation energy for creep, R is the universal gas constant, ξ is the multiplier of stress, s is the deformation resistance, m is strain rate sensitivity of stress, s* is the saturation resistance, h0 is hardening constant, a is strain rate sensitivity of hardening, s ^ is deformation resistance saturation coefficient, and n is the strain rate sensitivity of saturation. The flow equation for creep strain rate is written as
ε ˙ c r = A · exp ( Q R T ) ( sinh ( ξ Q s ) ) 1 / m
The evolution equation for the internal variable s is:
s ˙ = { h 0 | B | a sgn ( B ) } ε ˙ p
where
B = 1 s s *
and
s * = s ^ ( ε ˙ p A exp ( Q R T ) ) n
For the solder materials either SAC305 (Sn-3.0Ag-0.5Cu) or SACQ (Sn-4.0Ag-0.5Cu-3.0Bi-0.05Ni) were selected based on our earlier studies on creep behavior, where many data sources were compared for SAC305 [19] and for various Ag containing lead-free types [20]. The doping for SACQ involves Bi besides Ni [28], which, together with the slightly higher Ag content, results in somewhat higher resistance to creep deformations, while it causes minor differences in elastic behavior [29]. As a simplification, identical elastic behavior was modeled for both alloys, where the temperature-dependent elastic parameters are shown in Figure 4. The Anand creep model parameters are summarized for both alloys in Table 2.

2.3. Boundary Conditions

Mechanical constraints regarding the x-direction were located along all the nodes on the model’s left side. This setup allowed a symmetrical analysis in both cases (2-D and pseudo-3-D). Furthermore, since the differential equation systems require a single solution, all axes were confined to the bottom-left node (see Figure 3).
In the case of the pseudo-3-D model, extra constraints in the z-axis were established for all nodes. An exception was considered for the solder material for a free expansion in the z-direction (Figure 3), leading to a simulation of plane strain and plane stress.
The mismatch in CTE of the different materials, in combination with the further described thermal load case, leads to stress and mechanical loads. No extra mechanical loads, such as vibration or external forces, were applied.
Previous studies in the field of reliability showed that a creep strain energy density of the first three thermal cycles may be sufficient to estimate the reliability of the solder [32]. An average of creep strain and creep strain energy density can be computed, taking values at the end of the second and third thermal cycles.
Regarding the thermal loads, following the Joint Electron Device Engineering Council (JEDEC) standards [33], the maximum temperature should not exceed any of the glass transition temperatures (Tg) of the materials included in the experiment. Therefore, a maximum temperature of 125 °C was defined. Among the cases mentioned in the JEDEC standard, case G suggests −40 °C as the minimum temperature and an approximate number of one to two thermal cycles per hour. Starting the cycling at a high initial temperature would reflect a case when the cycling begins right after the soldering. Thermal testing starts quite a significant time after soldering. Therefore, the solder material has time to relax. Thermal testing then always begins at room temperature at solder stresses higher than zero but lower than right after soldering. We have chosen the approach to neglect the residual stresses in the solder at the start of the thermal testing, and based on similar studies [34], the initial temperature was set at 26 °C, ramp rates were 11 °C/min, and the hold times were 15 min. The isothermal load applied to all the nodes in the model is shown in Figure 5.

2.4. Summary of Parameter Variations

Four different parameters were considered for the simulations, each with two levels: soldering material, bond pad edge geometry, incorporation of IMC, and the simulation domain. Altogether, 16 different simulations were carried out, as summarized in Table 3. For one simulation, calculation times could reach less than 30 min for either simulation domain, with output file sizes of about 2 MB at ca. 27,000 elements with about 1000 time increments.

3. Results and Discussion

Upon completing 16 simulation replicates, the results were systematically organized based on creep strain and strain energy density metrics, equivalent von Mises stress and shear stress curves, and stress–strain hysteresis loops. These metrics were analyzed regarding the simulation domain, material type, intermetallic compound (IMC) layer characteristics, and bond pad edge conditions. Furthermore, reliability estimates were computed to determine the parameters most significantly influencing lifetime predictions.

3.1. General Observations

An example of the distribution of the total equivalent of creep strain (TECS) at the end of the simulation for the case of the SACQ 2-D model with the inclusion of IMC is shown in Figure 6. In the contour band graph, the highest strain was found in the vicinity of the bottom left of the outer solder ball. This result was similar in all the studied cases. The principle of the distance to the neutral point [9] suggests such behavior, as well as experimental results where electronic packaging with UBM presented its critical node at the bottom section of the solder bump [16]; therefore, we did not extend the analysis for the upper contact.
Although particular values do not show a significant variation, the contour band distribution reveals a different concentration of strain. Critical values are distributed along the edge of the Cu pad for the blunt case, whereas for the sharp edge case, high values surround only in the close vicinity of the critical location (Figure 6).
TECS distribution is shown for SAC305, pseudo-3-D, model in Figure 7. In contrast with the 2-D models previously detailed, high strain values are located only near the vicinity of the critical location. This last node is on the bottom side of the outer solder ball. After comparing values in the vicinity of the critical node, a constant location was selected for the data collection for all the study cases (see Figure 6d,e).
In the following subsections, results at the critical locations are analyzed in detail: first, creep strain and creep strain energy density values, which are the basis of reliability calculations, followed by detailed stress analyses.

3.2. Creep Strain and Creep Strain Energy Density

Data collected from the total equivalent of creep strain (TECS) and creep strain energy density (CSED) are presented for the different cases in Figure 8. In accordance with curves from blunt bond pad cases (see Figure 9), the case displayed in Figure 8c shows a reduction of over 25% from the 2-D model to the pseudo-3-D model.
Regarding IMC incorporation, a minor difference can be seen in the results. Considering the variation in bond pad shape, TECS curves present slightly higher values for sharp edges, whereas for CSED values, blunt curves are higher. Since reliability models use strain and strain energy density independently, special attention should be paid to selecting the solder material model that describes the true behavior. We have previously conducted an extended study on the effect of the creep material models, including power law and Anand’s model [35], and a comparison of solder joint reliability models [18]. Fundamentally, failure prediction based on strain energy density relies on the chosen plastic strain model. Anand’s solder creep model for the material model, in combination with Morrow’s model for solder joint reliability, can be a preferable choice for reliability predictions.
A thorough comparison of values of TECS and CSED for the eight cases generated from blunt Cu pad is presented in Figure 9. Regarding changes due to the simulation domain (2-D vs. pseudo-3-D), the most significant reduction can be observed in Figure 9c, where both curves decreased by nearly 25% from the 2-D to pseudo-3-D case. It can be noticed that changes due to element type are more evident for SACQ than for SAC305.
In terms of IMC incorporation, minor changes can be observed at the critical location in the solder ball. The largest change takes place in Figure 9b for 2-D elements. A slight reduction of less than 10% can be observed at the end of the three thermal cycles.
Finally, the change in material properties from SACQ and SAC305 is more evident for 2-D elements rather than pseudo-3-D elements. However, there is a slight inconsistency in CSED curves. Observing TECS curves in Figure 9a,b, all four curves from SAC305 are slightly greater than SACQ. Furthermore, CSED curves in Figure 9c,d for 2-D elements present lower values for SAC305, whereas curves for pseudo-3-D elements display slightly greater values. There is a tendency for SAC305 values to be greater than SACQ, except for 2-D element type in both IMC inclusion scenarios.

3.3. Von Mises and Shear Stresses

Stress vs. time graphs were collected for all cases; nonetheless, for the sharp bond pads, only the pseudo-3-D model without IMC showed relevant differences, as shown in Figure 10. In all cases from sharp bond pad geometry, the relaxation curve constantly presented a defined exponential shape during low temperatures. Additionally, the shear stress shows a minimum value of nearly -15 MPa, whereas, for the blunt pad geometries, the same minimum value exceeds −20 MPa (see Figure 11).
Von Mises and shear stresses are shown for the blunt pad geometry in Figure 11. Four cases were considered for the comparison based on the relevance of changes as compared with curves obtained from the sharp bond pad geometry. The decreasing exponential distribution of values during the low temperature (−40 °C) demonstrates a constant relaxation, like the one shown in the graphs reported by Zhang et al. [14]. This relaxation is visible in both cases with a 2-D model (Figure 11a,b). On the other hand, the relaxation during the high constant temperature presents more stable values in the 2-D element cases compared with pseudo-3-D model cases.
It can be observed that there are small troughs during the second decreasing ramp temperature in both scenarios with a pseudo-3-D model. The same unusual troughs can be observed in both scenarios with 2-D elements when the temperature initiates the second, increasing ramp from −40 °C to 125 °C. A trough is seen for the pseudo-3-D model at cooling, while it is present for the 2-D model at heating, in both cases close to the extreme (high or low, respectively) temperatures. The trough is a local minimum, which might arise when a stress component changes sign. For the 2-D modeling, due to the plane strain condition, very high out-of-plane stress arises, which mainly governs the equivalent stress, while in the pseudo-3-D case, the out-of-plane stress is zero; therefore, other components govern the equivalent stress. In Zhang’s 3-D models [14], such troughs are seen for heating, which means that in the real 3-D case, the out-of-plane (or tangential) (partial) confinement is felt, i.e., stresses are not zero in that direction, but obviously not at high as they would be in a plane strain condition.
Overall, the von Mises stress values are nearly 50% smaller for SAC305 than SACQ in both scenarios, 2-D and pseudo-3-D domains. This is due to SACQ being stiffer relative to SAC305; therefore, it has a higher resistance to deformations. SACQ, therefore, deforms somewhat less, as seen in Figure 8 and Figure 9, and at the same time, its high resistance shows significance at high stress levels.
Regarding von Mises stress, curves agree with values presented by Zhang et al. [14]. The most remarkable change concerns the troughs during the heating ramp (at the beginning of every cycle). The decreasing exponential distribution of values during the low temperature (−40 °C) demonstrates a constant relaxation, like the one shown in the graphs reported by Zhang et al. [14].

3.4. Hysteresis Curves

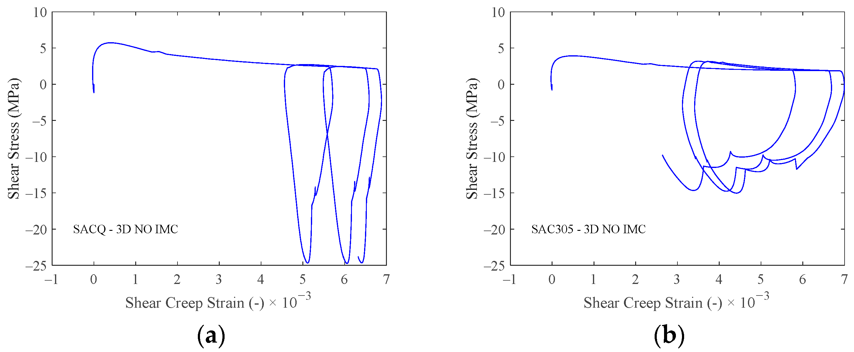
Due to the high thermal load and the difference between the plane strain and plane stress assumptions, cyclic hardening and softening vary significantly in the strain vs. stress curves in Figure 12 and Figure 13. Variations in the sheer stress range are straightforward from the previous analysis: the range is broader for the high deformation resistant SACQ than SAC305 and narrower for the less confined pseudo-3-D domain than to the 2-D domain. The main difference is also related to the out-of-plane confinement: in the plane strain model, shear creep strain alternates, while in the plane stress model, it pulsates. In the latter case, there is a large deformation in the first cycle that also pushes the solder in the out-of-plane direction, and then there is no such force that could pull it back completely; nevertheless, it will climb towards the negative shear creep strain direction cycle by cycle.

3.5. Reliability-Related Predictions

Che and Pang [32] introduced a method for reliability predictions for the Coffin–Manson strain-based model and Morrow’s energy-based models for simulated environments. In general, the number of cycles to failure is inversely proportional to the fatigue indicator, i.e., the lower the inelastic strain range (ΔTECS) for the Coffin–Manson, or strain energy density range (ΔCSED), the higher the number of cycles to failure. The range is calculated in this work between the difference of the parameter at the end of 3rd and the end of the 2nd cycle.
In Table 4, both fatigue indicators ΔCSED and ΔTECS are listed for all calculated cases. The table is organized by the simulation domains in the columns 2-D and pseudo-3-D cases, which represent the lower and upper bound for the strain and strain energy-related values, respectively. The higher confinement by the plane strain condition 2-D restricts strains and strain energies, while less confinement in the pseudo-3-D case with the plane stress condition for the solder allows higher strains and, therefore, higher strain energies. In a real scenario, these indicators will fall in between the bounds; hence, the averages are displayed in the third column, and further analysis and conclusions will be based on these average values. In a full 3-D simulation, a volume-averaging scheme would be required for accurate indicators [32].
In terms of material quality, these reliability indicators alone would not provide a valid basis for comparison, as the number of cycles to fracture will also depend on the fatigue ductility coefficient and fatigue exponents. Therefore, sound conclusions cannot be drawn by comparing average ΔTECS or ΔCSED between the dissimilar material qualities of SAC305 and SACQ. While the lower average ΔTECS for SACQ would indicate better fatigue response, average ΔCSED shows the opposite trend, and the reason is that the strength of SACQ is higher; therefore, the lower strain parameter, while with less deformation, stresses increase, resulting in high strain energy parameters. By calculating the number of cycles to failure, the high-reliability performance of SACQ can be shown [7,8].
The effect of the IMC incorporation over the Cu bond pad in the simulations shows only minor differences in the fatigue parameters for the solder. Here, IMC will further enforce the already relatively high strength Cu pad at the solder interface, decreasing deformation slightly in the close vicinity of the pad within the solder as shown by the decrease in ΔTECS values, while stress has less effect; therefore, strain energy density and ΔCSED will also slightly decrease with a few percent.
The advantage of the realistic bond pad geometry in the simulation can be seen in the decreased ΔCSED values for blunt edges compared to the ideal sharp-edged geometries.

4. Conclusions

In this work, an efficient finite element calculation framework was developed for deformation modeling and lifetime predictions of solder interconnects in advanced packaging under cyclic thermal loads. Demonstrations were carried out considering the following variations: modeling domain (2-D and pseudo-3-D), soldering material (SAC 305 and SACQ), incorporation of intermetallic compound (IMC), and bond pad edge geometry (sharp and blunt). Modeling domain assumptions were thoroughly analyzed, and the stress-strain analysis on the solder showed fundamental differences in the stress cycles. Cyclic hardening and softening vary significantly due to the out-of-plane confinement: in the plane strain model, shear creep strain alternates, while in the plane stress model, it pulsates. Reliability prediction for low cycle fatigue requires strain or strain energy-based reliability indicators; furthermore, an averaging scheme, which was proposed in this work, is dedicated to the modeling framework. The usability of the reliability indicators shows predictions are sound with the energy-based parameter (ΔCSED average) but may be fallacious with the purely strain-based one due to strain (or stress) alone is not sufficient in temperature-dependent cases. The following conclusions are drawn related to the essential modeling elements:
  • Efficient planar simulation framework with 2-D and pseudo-3-D meshed geometries provides a quick estimate for lower and an upper bound for the strain, stress and strain energy-related parameters, respectively. In a real scenario, these indicators will fall in between the calculated bounds. This calculation framework can be employed for extensive parameter studies solved rapidly at low computational costs.
  • In terms of material quality, simulation results provide a sound insight into the behavior of the structure, showing the stiffer behavior of SACQ compared to SAC305. Nevertheless, the reliability indicators alone would not provide a valid basis for comparison of dissimilar solders, as the number of cycles to fracture will also depend on the fatigue ductility coefficient and fatigue exponents.
  • The effect of the IMC incorporation over the Cu bond pad in the simulations shows only minor differences in the fatigue parameters for the solder. IMC will further enforce the already relatively high-strength Cu pad at the solder interface, decreasing deformation slightly in the close vicinity of the pad within the solder.
  • Related to the bond pad geometries, the advantage of the realistic blunt bond pad geometry in the simulation is obviously lowering stresses. In the worst scenario, fatigue parameters can be overestimated by over 30% with the ideal sharp-edged geometries.

Author Contributions

Conceptualization, V.G.; Methodology, R.S.V.C.; Investigation, R.S.V.C. and V.G.; Writing—original draft, R.S.V.C.; Writing—review & editing, V.G.; Supervision, V.G. All authors have read and agreed to the published version of the manuscript.

Funding

This research received no external funding.

Data Availability Statement

The data presented in this study are available on request from the corresponding author.

Conflicts of Interest

The authors declare no conflict of interest.

References

  1. European Commission Directive. 2002/95/EC of the European Parliament and of the Council of 27 January 2003 on the Restriction of the Use of Certain Hazardous Substances in Electrical and Electronic Equipment. Off. J. Eur. Union 2003, 37, 19–23. [Google Scholar]
  2. Li, M.; Zhang, L.; Jiang, N.; Zhang, L.; Zhong, S. Materials Modification of the Lead-Free Solders Incorporated with Micro/Nano-Sized Particles: A Review. Mater. Des. 2021, 197, 109224. [Google Scholar] [CrossRef]
  3. Ogbomo, O.O.; Amalu, E.H.; Ekere, N.N.; Olagbegi, P.O. Effect of Coefficient of Thermal Expansion (CTE) Mismatch of Solder Joint Materials in Photovoltaic (PV) Modules Operating in Elevated Temperature Climate on the Joint’s Damage. Procedia Manuf. 2017, 11, 1145–1152. [Google Scholar] [CrossRef]
  4. Woodrow, T.A. NASA-DoD Lead-Free Electronics Project: Vibration Test. In Proceedings of the Surface Mount Technology Association International Conference, Orlando, FL, USA, 24–28 October 2010. [Google Scholar]
  5. Mu, D.K.; McDonald, S.D.; Read, J.; Huang, H.; Nogita, K. Critical Properties of Cu 6 Sn 5 in Electronic Devices: Recent Progress and a Review. Curr. Opin. Solid. State Mater. Sci. 2016, 20, 55–76. [Google Scholar] [CrossRef]
  6. Cal, B. Lead-Free Soldering Risks and Reliability Problems in Space Electronics. In Proceedings of the 2019 3rd International Symposium on Multidisciplinary Studies and Innovative Technologies (ISMSIT), Ankara, Turkey, 11–13 October 2019; pp. 1–8. [Google Scholar]
  7. Su, S.; Akkara, F.J.; Abueed, M.; Jian, M.; Hamasha, S.; Suhling, J.; Lall, P. Fatigue Properties of Lead-Free Doped Solder Joints. In Proceedings of the 17th InterSociety Conference on Thermal and Thermomechanical Phenomena in Electronic Systems, San Diego, CA, USA, 29 May–1 June 2018. [Google Scholar]
  8. Raza, M.; Shewchenko, L.; Olofinjana, A.; Kent, D.; Mata, J.; Haque, R. The Effects of Bi Substitution for Sn on Mechanical Properties of Sn-Based Lead-Free Solders. J. Mater. Sci. Mater. Electron. 2021, 32, 22155–22167. [Google Scholar] [CrossRef]
  9. Lui, T.C.; Muthuraman, B.N. Relibability Assessment of Wafer Level Chip Scale Package (WLCSP) Based on Distance-to-Neutral Point (DNP). In Proceedings of the 2016 22nd International Workshop on Thermal Investigations of ICs and Systems (THERMINIC), Budapest, Hungary, 21–23 September 2016; pp. 268–271. [Google Scholar]
  10. Manson, S.S.; Dolan, T.J. Thermal Stress and Low Cycle Fatigue. J. Appl. Mech. 1966, 33, 957. [Google Scholar] [CrossRef]
  11. Morrow, J. Cyclic Plastic Strain Energy and Fatigue of Metals. In Internal Friction, Damping, and Cyclic Plasticity; ASTM International: West Conshohocken, PA, USA, 1965; pp. 45–87. [Google Scholar]
  12. Monkman, F.C.; Grant, N.J. An Empirical Relationship between Rupture Life and Minimum Creep Rate in Creep-Rupture Tests. In Proceedings of Committee Reports Technical Papers (ASTM 1956); ASTM: Baltimore, MD, USA, 1957; Volume 56, pp. 593–620. [Google Scholar]
  13. Albert, J.; Takács, Á. Optimization Methodology of Thermoelectric Peltier-Modules, for Structural Design and Material Selection, Using MCDM and FEM Modelling. Acta Polytech. Hung. 2024, 21, 217–229. [Google Scholar] [CrossRef]
  14. Zhang, L.; Han, J.G.; Guo, Y.; He, C.W. Anand Model and FEM Analysis of SnAgCuZn Lead-Free Solder Joints in Wafer Level Chip Scale Packaging Devices. Microelectron. Reliab. 2014, 54, 281–286. [Google Scholar] [CrossRef]
  15. Porkolab, L.; Lakatos, I. A Simulation System for Testing Side Crashes, in Non-Traditional Seating Positions, for Self-Driving Cars. Acta Polytech. Hung. 2023, 20, 63–82. [Google Scholar] [CrossRef]
  16. Lau, J.H. State of the Art of Lead-Free Solder Joint Reliability. J. Electron. Packag. 2021, 143, 020803. [Google Scholar] [CrossRef]
  17. Lau, J.H. Recent Advances and Trends in Advanced Packaging. IEEE Trans. Compon. Packag. Manuf. Technol. 2022, 12, 228–252. [Google Scholar] [CrossRef]
  18. Vargas Cruz, R.S.; Gonda, V. Solder Joint Reliability Based on Creep Strain Energy Density for SAC305 and Doped SAC Solders. MATEC Web Conf. 2021, 343, 02005. [Google Scholar] [CrossRef]
  19. Vargas, R.S.C.; Gonda, V. Sensitivity of the Structural Behavior of SAC305 Interconnects on the Variations of Creep Parameters. In Proceedings of the 2021 IEEE 15th International Symposium on Applied Computational Intelligence and Informatics (SACI), Timisoara, Romania, 19–21 May 2021. [Google Scholar]
  20. Vargas Cruz, R.S.; Gonda, V. Creep and Reliability Prediction of a Fan-Out WLP Influenced by the Visco-Plastic Properties of the Solder. Acta Polytech. Hung. 2022, 19, 235–254. [Google Scholar] [CrossRef]
  21. Texas Instruments Incorporated. MicroStar BGA Packaging Reference Guide. Available online: https://www.ti.com/lit/pdf/ssyz015 (accessed on 2 September 2024).
  22. Degani, Y.; Dudderar, T.D.; Tai, K.L. Flip Chip Packaging of Memory Chips. EP 0881676 A2, 20 January 2016. [Google Scholar]
  23. Zhu, X.-K.; Leis, B.N. Effective Methods to Determine Stress Intensity Factors for 2D and 3D Cracks. In Volume 2: Pipeline Integrity Management, Proceedings of the 2014 10th International Pipeline Conference, Calgary, AB, Canada, 29 September–3 October 2014; American Society of Mechanical Engineers: New York, NY, USA, 2014. [Google Scholar]
  24. Swift, H.W. Plastic Instability under Plane Stress. J. Mech. Phys. Solids 1952, 1, 1–18. [Google Scholar] [CrossRef]
  25. Chen, Z.; Zhang, X.; Lim, S.P.S.; Lim, S.S.B.; Lau, B.L.; Han, Y.; Jong, M.C.; Liu, S.; Wang, X.; Andriani, Y. Solder Joint Reliability Simulation of Fan-out Wafer Level Package (FOWLP) Considering Viscoelastic Material Properties. In Proceedings of the 2018 IEEE 20th Electronics Packaging Technology Conference (EPTC), Singapore, 4–7 December 2018; pp. 573–579. [Google Scholar] [CrossRef]
  26. Chiou, Y.C.; Jen, Y.M.; Huang, S.H. Finite Element Based Fatigue Life Estimation of the Solder Joints with Effect of Intermetallic Compound Growth. Microelectron. Reliab. 2011, 51, 2319–2329. [Google Scholar] [CrossRef]
  27. Anand, L. Constitutive Equations for the Rate-Dependent Deformation of Metals at Elevated Temperatures. J. Eng. Mater. Technol. 1982, 104, 12. [Google Scholar] [CrossRef]
  28. Ahmed, S.; Basit, M.; Suhling, J.C.; Lall, P. Characterization of Doped SAC Solder Materials and Determination of Anand Parameters. In Volume 2: Advanced Electronics and Photonics, Packaging Materials and Processing; Advanced Electronics and Photonics: Packaging, Interconnect and Reliability; Fundamentals of Thermal and Fluid Transport in Nano, Micro, and Mini Scales, Proceedings of the International Electronic Packaging Technical Conference and Exhibition, San Francisco, CA, USA, 6–9 July 2015; American Society of Mechanical Engineers: San Francisco, CA, USA, 2015; pp. 1–14. [Google Scholar]
  29. Nguyen, T.T.; Yu, D.; Park, S.B. Characterizing the Mechanical Properties of Actual SAC105, SAC305, and SAC405 Solder Joints by Digital Image Correlation. J. Electron. Mater. 2011, 40, 1409–1415. [Google Scholar] [CrossRef]
  30. Basit, M.; Motalab, M.; Suhling, J.C.; Lall, P. Viscoplastic Constitutive Model for Lead-Free Solder Including Effects of Silver Content, Solidification Profile, and Severe Aging. In Volume 2: Advanced Electronics and Photonics, Packaging Materials and Processing; Advanced Electronics and Photonics: Packaging, Interconnect and Reliability; Fundamentals of Thermal and Fluid Transport in Nano, Micro, and Mini Scales, Proceedings of the International Electronic Packaging Technical Conference and Exhibition, San Francisco, CA, USA, 6–9 July 2015; ASME: San Francisco, CA, USA, 2015. [Google Scholar]
  31. Lui, T.C. Lifetime Prediction of Viscoplastic Lead-Free Solder: A New Solder Material, SACQ. In Proceedings of the 2017 IEEE International Workshop On Integrated Power Packaging (IWIPP), Delft, The Netherlands, 5–7 April 2017; pp. 1–4. [Google Scholar]
  32. Che, F.X.; Pang, J.H.L. Thermal Fatigue Reliability Analysis for PBGA with Sn-3.8Ag-0.7Cu Solder Joints. In Proceedings of the 6th Electronics Packaging Technology Conference (EPTC 2004) (IEEE Cat. No.04EX971), Singapore, 8–10 December 2004; pp. 787–792. [Google Scholar]
  33. JEDEC Solid State Technology Association. JEDEC STANDARD JESD22-A104-E Temperature Cycling. Available online: http://beice-sh.com/pdf/JESD%E6%A0%87%E5%87%86/JESD22-A104E-TCT.pdf (accessed on 2 September 2024).
  34. Zhang, L.; Xue, S.; Gao, L.; Zeng, G.; Sheng, Z.; Chen, Y.; Yu, S. Determination of Anand Parameters for SnAgCuCe Solder. Model. Simul. Mat. Sci. Eng. 2009, 17, 075014. [Google Scholar] [CrossRef]
  35. Vargas, R.S.C.; Gonda, V. Comparison of the Thermal-Mechanical Behavior of a Soldered Stack Influenced by the Choice of the Solder. In Proceedings of the 2019 20th International Conference on Thermal, Mechanical and Multi-Physics Simulation and Experiments in Microelectronics and Microsystems (EuroSimE), Hannover, Germany, 19 March 2019; pp. 1–6. [Google Scholar]
Figure 1. Main dimensions of the FO-WLP package section in the vicinity of a solder interconnect.
Figure 1. Main dimensions of the FO-WLP package section in the vicinity of a solder interconnect.
Metals 15 00017 g001
Figure 2. Modeled cross-section of the FO-WLP package: (a) material description; contact pad modeled with (b) ideal (sharp), or (c) real (blunt) geometry.
Figure 2. Modeled cross-section of the FO-WLP package: (a) material description; contact pad modeled with (b) ideal (sharp), or (c) real (blunt) geometry.
Metals 15 00017 g002
Figure 3. Pseudo-3-D model with combined plane strain and plane stress conditions.
Figure 3. Pseudo-3-D model with combined plane strain and plane stress conditions.
Metals 15 00017 g003
Figure 4. Temperature-dependent elastic modulus and CTE used for the solder.
Figure 4. Temperature-dependent elastic modulus and CTE used for the solder.
Metals 15 00017 g004
Figure 5. Applied temperature load as a function of time.
Figure 5. Applied temperature load as a function of time.
Metals 15 00017 g005
Figure 6. Total equivalent of creep strain (dimensionless) distribution along the solder bumps at the end of the three cycles: (a) cropped image. Augmented contour band graph of TECS distribution at the vicinity of the critical node: (b) blunt and (c) sharp bond pad edge profile. Location of the node of interest: (d) blunt and (e) sharp pad profile.
Figure 6. Total equivalent of creep strain (dimensionless) distribution along the solder bumps at the end of the three cycles: (a) cropped image. Augmented contour band graph of TECS distribution at the vicinity of the critical node: (b) blunt and (c) sharp bond pad edge profile. Location of the node of interest: (d) blunt and (e) sharp pad profile.
Metals 15 00017 g006
Figure 7. Total equivalent of creep strain (dimensionless) at the end of the three cycles. The 3-D-Sharp-SAC305-IMC case is included.
Figure 7. Total equivalent of creep strain (dimensionless) at the end of the three cycles. The 3-D-Sharp-SAC305-IMC case is included.
Metals 15 00017 g007
Figure 8. Sharp bond pad comparison. Total equivalent of creep strain: (a) SACQ, (b) SAC305. Creep strain energy density: (c) SACQ, (d) SAC305.
Figure 8. Sharp bond pad comparison. Total equivalent of creep strain: (a) SACQ, (b) SAC305. Creep strain energy density: (c) SACQ, (d) SAC305.
Metals 15 00017 g008
Figure 9. Blunt bond pad results. Total equivalent of creep strain: (a) SACQ, (b) SAC305. Creep strain energy density: (c) SACQ, (d) SAC305.
Figure 9. Blunt bond pad results. Total equivalent of creep strain: (a) SACQ, (b) SAC305. Creep strain energy density: (c) SACQ, (d) SAC305.
Metals 15 00017 g009
Figure 10. Sharp bond pad comparison. Von Mises stress, shear stress, and thermal load. Pseudo-3-D NO IMC case: (a) SACQ, (b) SAC305.
Figure 10. Sharp bond pad comparison. Von Mises stress, shear stress, and thermal load. Pseudo-3-D NO IMC case: (a) SACQ, (b) SAC305.
Metals 15 00017 g010
Figure 11. Blunt bond pad results for von Mises stress, shear stress, and the thermal load as a function of time. The 2-D, NO IMC case: (a) SACQ, (b) SAC305. Pseudo-3-D NO IMC Case: (c) SACQ, (d) SAC305.
Figure 11. Blunt bond pad results for von Mises stress, shear stress, and the thermal load as a function of time. The 2-D, NO IMC case: (a) SACQ, (b) SAC305. Pseudo-3-D NO IMC Case: (c) SACQ, (d) SAC305.
Metals 15 00017 g011
Figure 12. Stress–strain graphs for blunt bond pads. Shear stress vs. shear strain plotted for 2-D NO IMC case, SACQ (a) vs. SAC305 (b).
Figure 12. Stress–strain graphs for blunt bond pads. Shear stress vs. shear strain plotted for 2-D NO IMC case, SACQ (a) vs. SAC305 (b).
Metals 15 00017 g012
Figure 13. Stress–strain graphs for blunt bond pads. Shear stress vs. shear strain plotted for pseudo-3-D NO IMC case, SACQ (a) vs. SAC305 (b).
Figure 13. Stress–strain graphs for blunt bond pads. Shear stress vs. shear strain plotted for pseudo-3-D NO IMC case, SACQ (a) vs. SAC305 (b).
Metals 15 00017 g013
Table 1. Material properties.
Table 1. Material properties.
MaterialE (GPa)υ (-)CTE (ppm/K)
Chip1310.302.8
Cu1170.3417
EMC18.50.309
PCB250.1115
RDL0.920.3080
Underfill3.80.3044
Cu6Sn585.60.3117.6
Cu3Sn1080.3017.8
Table 2. Anand parameters for the solder materials.
Table 2. Anand parameters for the solder materials.
ParameterSAC305 [30]SACQ [31]
S0 (MPa)210.405
A (s−1)35012.45 × 108
ξ (-)40.068
m (-)0.250.36
h0 (MPa)180 × 1033521.56
s (MPa)30.20.638
n (-)0.010.0056
a (-)1.781.243
Q (J·mol−1)77,491.14112,313.8
Table 3. Summary of study cases.
Table 3. Summary of study cases.
Simulation domainSolder material
2-DPseudo-3-DSAC305SACQ
IMC *Bond pad edge
NIISharpBlunt
* NI: No IMC layers included, I: IMC layers included.
Table 4. Overview of reliability indicators.
Table 4. Overview of reliability indicators.
2-D (Lower Bound)Pseudo-3-D (Upper Bound)Average (2-D—Pseudo-3-D)
SAC305ΔTECSΔCSED (MPa)ΔTECSΔCSED (MPa)ΔTECSΔCSED (MPa)
Sharpw/o IMC0.01330.31050.00940.21010.01140.2603
w/ IMC0.01280.30160.00930.20750.01110.2546
Bluntw/o IMC0.01450.33060.00860.18330.01160.2570
w/ IMC0.01430.32630.00820.17320.01130.2498
SACQΔTECSΔCSED (MPa)ΔTECSΔCSED (MPa)ΔTECSΔCSED (MPa)
Sharpw/o IMC0.01050.43080.00750.29790.00900.3644
w/ IMC0.01010.41760.00760.30010.00890.3589
Bluntw/o IMC0.01160.46220.00380.07430.00770.2683
w/ IMC0.01140.45280.00370.00370.00760.2612
Disclaimer/Publisher’s Note: The statements, opinions and data contained in all publications are solely those of the individual author(s) and contributor(s) and not of MDPI and/or the editor(s). MDPI and/or the editor(s) disclaim responsibility for any injury to people or property resulting from any ideas, methods, instructions or products referred to in the content.

Share and Cite

MDPI and ACS Style

Vargas Cruz, R.S.; Gonda, V. Efficient Modeling Framework for FO-WLP Solder Interconnect Behavior During Thermal Cycling. Metals 2025, 15, 17. https://doi.org/10.3390/met15010017

AMA Style

Vargas Cruz RS, Gonda V. Efficient Modeling Framework for FO-WLP Solder Interconnect Behavior During Thermal Cycling. Metals. 2025; 15(1):17. https://doi.org/10.3390/met15010017

Chicago/Turabian Style

Vargas Cruz, Ramiro Sebastian, and Viktor Gonda. 2025. "Efficient Modeling Framework for FO-WLP Solder Interconnect Behavior During Thermal Cycling" Metals 15, no. 1: 17. https://doi.org/10.3390/met15010017

APA Style

Vargas Cruz, R. S., & Gonda, V. (2025). Efficient Modeling Framework for FO-WLP Solder Interconnect Behavior During Thermal Cycling. Metals, 15(1), 17. https://doi.org/10.3390/met15010017

Note that from the first issue of 2016, this journal uses article numbers instead of page numbers. See further details here.

Article Metrics

Back to TopTop