The Effects of Microstructure on the Thermophysical Properties of the K439B Ni-Based Superalloy
Abstract
1. Introduction
2. Materials and Methods
3. Results
3.1. Effect of Heat Treatment on Microstructure
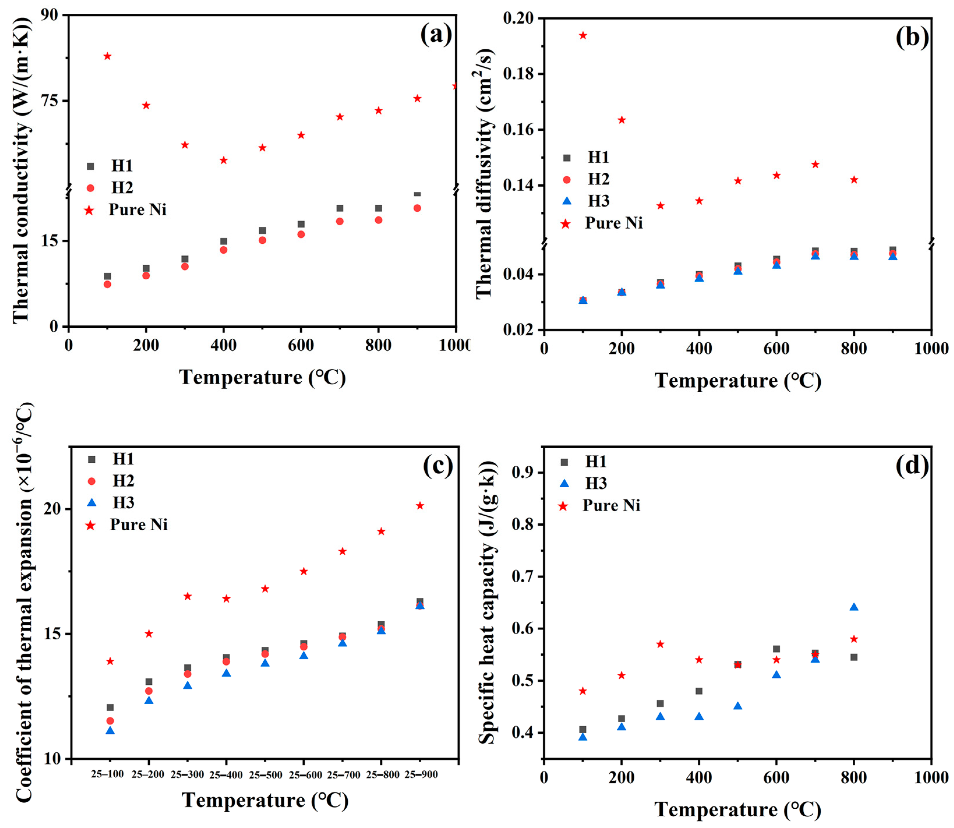
3.2. The Thermophysical Properties with Variation of Microstructure
4. Discussion
4.1. Relationship between Microstructure and Heat Transfer
4.2. Influence of Microstructure on Thermal Expansion and Specific Heat Capacity
5. Conclusions
- (1)
- All the studied thermophysical parameters of the alloys underwent different heat treatments, including thermal conductivity, thermal diffusivity, average linear expansion coefficient, and specific heat capacity, which increases with the rising temperature. These parameters exhibit a significant increase particularly between 700 °C and 800 °C. The increased thermal activation of electrons and phonons is prone to the structural destabilization of the alloy.
- (2)
- The increase in volume fraction and size of the γ′ phase results in a decrease in thermal conductivity, thermal diffusion coefficient, average coefficient of linear expansion, and specific heat capacity at the same measurement temperature.
- (3)
- An increase in the volume fraction and size of the γ′ phase leads to an increase in the γ/γ′ phase interface. Additionally, the increased area of the boundaries between the dendrites also reduces the phonon thermal conductivity, ultimately resulting in a decrease in the thermal conductivity.
- (4)
- The alloys with a 20 h aging treatment exhibit stable thermal conductivity and a low average linear expansion coefficient at temperatures between 800 °C and 900 °C. This combination of properties is conducive to maintaining the thermal stability of the alloy in a high-temperature service environment.
Author Contributions
Funding
Data Availability Statement
Conflicts of Interest
References
- Gao, J.L.; Zhang, Y.T.H.; Zhu, L.L.; Hu, Q.M.; Hu, J.H.; Zhang, S.Z. Machine learning assisted design of Ni-based superalloys with excellent high-temperature performance. Mater. Charact. 2023, 198, 112740. [Google Scholar] [CrossRef]
- Zelaia, P.F.; Acevedo, O.D.; Kirka, M.M.; Leonard, D.; Yoder, S.; Lee, Y. Creep behavior of a high-γ′ Ni-based superalloy fabricated via electron beam melting. Metall. Mater. Trans. A-Phys. Metall. Mater. Sci. 2021, 521, 574–590. [Google Scholar] [CrossRef]
- Mouritz, A.P. (Ed.) 12—Superalloys for Gas Turbine Engines; Woodhead Publishing: Sawston, UK, 2012; pp. 251–267. [Google Scholar]
- Schafrik, R.E.; Ward, D.D.; Groh, J.R. Application of alloy 718 in GE aircraft engines: Past, present and next five years. In Superalloys 718, 625, 706 and Various Derivatives; TMS: Pittsburgh, PA, USA, 2001; pp. 1–11. [Google Scholar]
- Reed, R.C. The Superalloys Fundamentals and Applications; Cambridge University Press: Cambridge, UK, 2006. [Google Scholar]
- Pollock, T.M. Alloy design for aircraft engines. Nat. Mater. 2016, 15, 809–815. [Google Scholar] [CrossRef] [PubMed]
- Chen, J.B.; Chen, J.Y.; Wang, Q.J.; Wu, Y.D.; Li, Q.; Xiao, C.B.; Li, S.L.; Wang, Y.D.; Hui, X.D. Enhanced creep resistance induced by minor Ti additions to a second generation Ni-based single crystal superalloy. Acta Mater. 2022, 232, 117938. [Google Scholar] [CrossRef]
- Rudajevová, A.; Staněk, M.; Lukáč, P. Determination of thermal diffusivity and thermal conductivity of Mg-Al alloys. Mater. Sci. Eng. A 2003, 341, 152–157. [Google Scholar] [CrossRef]
- Rudajevová, A.; Lukáč, P. Comparison of the thermophysical properties of AM20 and AS21 magnesium alloys. Mater. Sci. Eng. A 2005, 397, 16–21. [Google Scholar] [CrossRef]
- Yamasaki, M.; Kawamura, Y. Thermal diffusivity and thermal conductivity of Mg-Zn-rare earth element alloys with long-period stacking ordered phase. Scr. Mater. 2009, 60, 264–267. [Google Scholar] [CrossRef]
- Kumar, R.; Hussainova, I.; Antonov, M.; Maurya, H.S.; Ripoll, M.R. Temperature-induced wear micro-mechanism transition in additively deposited nickel alloys with different solid lubricants. Wear 2024, 552–553, 205452. [Google Scholar] [CrossRef]
- Liu, Z.S.; Li, C.W.; Dong, A.P.; Gu, J.F. Effect of initial microstructure on the properties of K439B Ni-based superalloy during prolonged aging at 800 °C. Intermetallics 2024, 172, 108364. [Google Scholar] [CrossRef]
- Zhang, L.L.; Chen, J.Y.; Tang, X.; Xiao, C.B.; Zhang, M.J.; Yang, Q. Evolution of Microstructures and Mechanical Properties of K439B Superalloy During Long-Term Aging at 800°C. Acta Metall. Sin. 2023, 59, 1253–1264. [Google Scholar]
- Li, Z.; Zhang, Z.L.; Wu, A.P.; Zhang, M.J.; Kang, J.; Liu, Q.; Zhao, Y.; Chen, J.Y. Microstructure and mechanical properties of laser welded and post-weld heat-treated K439B superalloy. Trans. Nonferrous Met. Soc. China 2024, 34, 905–917. [Google Scholar] [CrossRef]
- Liu, Z.S.; Li, C.W.; Dong, A.P.; Gu, J.F. The precipitation behavior of η phase with lamellar morphology in a newly designed K439B Ni-based superalloy. Mater. Today Commun. 2024, 39, 108844. [Google Scholar] [CrossRef]
- Sun, W.; Qin, X.Z.; Guo, J.T.; Lou, L.H.; Zhou, L.Z. Thermal stability of primary MC carbide and its influenceon the performance of cast Ni-base superalloys. Mater. Des. 2015, 69, 81–88. [Google Scholar] [CrossRef]
- Nagarajan, B.; Castagne, S.; Annamalai, S.; Fan, Z.; Chan, W.L. Effect of Microstructure on Electrical Conductivity of Ni-Base Superalloys. Metall. Mater. Trans. A 2017, 48, 3745–3757. [Google Scholar] [CrossRef]
- Aghaie-Khafri, M.; Hajjavady, M. The effect of thermal exposure on the properties of a Ni-base superalloy. Mater. Sci. Eng. A 2008, 487, 388–393. [Google Scholar] [CrossRef]
- Cui, L.Q.; Yu, J.J.; Liu, J.L.; Sun, X.F. Microstructural evolutions and fracture behaviors of a newly developed Ni-base superalloy during creep deformation. J. Alloys Compd. 2018, 746, 335–349. [Google Scholar] [CrossRef]
- Touloukian, Y.S.; Ho, C.Y. Properties of Selected Ferrous Alloying Elements; CINDAS Data Series on Material Properties, Volume III-1; McGraw-Hill: New York, NY, USA, 1981. [Google Scholar]
- Gray, D.E. American Institute of Physics Handbook; McGraw-Hill: New York, NY, USA, 1957. [Google Scholar]
- Yang, S.M.; Tao, W.Q. Heat Transfer Theory; Higher Education Press: Beijing, China, 2006. [Google Scholar]
- Quested, P.N.; Brooks, R.F.; Chapman, L.; Morrell, R.; Youssef, Y.; Mills, K.C. Measurement and estimation of thermophysical properties of Ni-based superalloys. Mater. Sci. Technol. 2009, 25, 154–162. [Google Scholar] [CrossRef]
- Klemens, P.G.; Williams, R.K. Thermal conductivity of metals and alloys. Int. Met. Rev. 1986, 31, 197–215. [Google Scholar] [CrossRef]
- Grimvall, G. Thermophysical Properties of Materials (Enlarged and Revised Edition); Elsevier Science B.V.: Amsterdam, The Netherlands, 1986. [Google Scholar]
- Kim, H.; Gibbs, Z.M.; Tang, Y.L.; Wang, H.; Snyder, G.J. Characterization of Lorenz number with Seebeck coefficient measurement. APL Mater. 2015, 3, 041506. [Google Scholar] [CrossRef]
- Tritt, M. Thermal Conductivity, Theory, Properties and Applications; K luwer Academic/PlenumPublishers: New York, NY, USA, 2004. [Google Scholar]
- Roebuck, B.; Cox, D.; Reed, R. the temperature dependence of γ` volume fraction in a Ni-based single crystal superalloy from resistance measurements. Scr. Mater. 2001, 44, 917–921. [Google Scholar] [CrossRef]
- Miura, A.; Osada, T.; Kawagishi, K.; Uchida, K. Thermal transport properties of Ni–Co-based superalloy. AIP Adv. 2020, 10, 125118. [Google Scholar] [CrossRef]
- Mills, K.C.; Youssff, Y.M.; Li, Z.S. The effect of aluminium content on thermophysical properties of ni-based superalloys. ISIJ Int. 2006, 46, 50–57. [Google Scholar] [CrossRef]
- Mills, K.C.; Youssff, Y.M.; Li, Z.S.; Su, Y.C. Calculation of thermophysical properties of Ni-based superalloys. ISIJ Int. 2006, 46, 623–632. [Google Scholar] [CrossRef]
- Cheng, S.H.; Qin, X.Z.; Wen, B.; Wang, J.Q.; Wu, Y.S.; Zhou, L.Z. Effects of Al and Ti on thermal expansion behavior of a Ni–Fe–Cr-based superalloy: A combined experimental and first-principle study. J. Mater. Res. Technol. JMRT 2024, 29, 3805–3812. [Google Scholar] [CrossRef]






Disclaimer/Publisher’s Note: The statements, opinions and data contained in all publications are solely those of the individual author(s) and contributor(s) and not of MDPI and/or the editor(s). MDPI and/or the editor(s) disclaim responsibility for any injury to people or property resulting from any ideas, methods, instructions or products referred to in the content. |
© 2024 by the authors. Licensee MDPI, Basel, Switzerland. This article is an open access article distributed under the terms and conditions of the Creative Commons Attribution (CC BY) license (https://creativecommons.org/licenses/by/4.0/).
Share and Cite
Wu, Y.; Gao, J.; Zhang, X.; Zheng, J.; Hui, X. The Effects of Microstructure on the Thermophysical Properties of the K439B Ni-Based Superalloy. Metals 2024, 14, 1074. https://doi.org/10.3390/met14091074
Wu Y, Gao J, Zhang X, Zheng J, Hui X. The Effects of Microstructure on the Thermophysical Properties of the K439B Ni-Based Superalloy. Metals. 2024; 14(9):1074. https://doi.org/10.3390/met14091074
Chicago/Turabian StyleWu, Yidong, Jiemin Gao, Xuanjing Zhang, Jiahui Zheng, and Xidong Hui. 2024. "The Effects of Microstructure on the Thermophysical Properties of the K439B Ni-Based Superalloy" Metals 14, no. 9: 1074. https://doi.org/10.3390/met14091074
APA StyleWu, Y., Gao, J., Zhang, X., Zheng, J., & Hui, X. (2024). The Effects of Microstructure on the Thermophysical Properties of the K439B Ni-Based Superalloy. Metals, 14(9), 1074. https://doi.org/10.3390/met14091074

