Two Fatigue Life Prediction Models Based on the Critical Plane Theory and Artificial Neural Networks
Abstract
1. Introduction
2. Stress–Strain Analysis under Multiaxial Loading
2.1. Thin-Walled Tube under Multiaxial Loading
2.2. Notched Specimen under Multiaxial Loading
3. Fatigue Life Prediction Model
3.1. A New Multiaxial Fatigue Model Based on the Critical Plane Theory
3.2. Establishment of a Neural Network Model
3.2.1. Structure of a BPNN
3.2.2. Establishment of a BPNN Model
3.3. Existing Multiaxial Fatigue Theoretical Models
4. Experimental Data Verification
4.1. Life Prediction of the Two Material Specimens under Constant-Amplitude Loading
4.1.1. Life Prediction
4.1.2. Prediction Result Analysis
4.2. Life Prediction of the Two Material Specimens under Variable-Amplitude Loading
4.2.1. Life Prediction of the S45C Steel Specimen under Variable-Amplitude Loading in the Time Domain
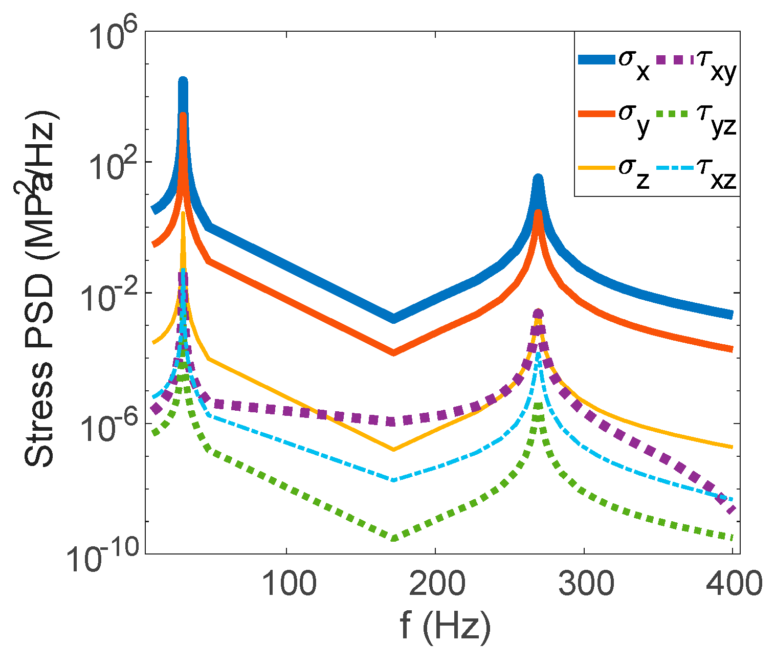
4.2.2. Life Prediction of the 7075-T651 Aluminum Alloy Specimen under Random-Vibration Loading in the Frequency Domain
- (1)
- Finite Element Simulation
- (2)
- Life Prediction
5. Discussion
6. Conclusions
- (1)
- In Section 3.1, the WYT model not only considers the influences of shear strain and normal strain on the critical plane but also those of normal stress and shear stress. By predicting the lives of two material specimens under constant-amplitude and variable-amplitude loading, respectively, in Section 4, the WYT model has better prediction effects for the two material specimens than the SWT model and SHD model based on Table 4, Table 5, Table 6 and Table 9.
- (2)
- In Section 3.2, a BPNN model with four input parameters (, , , ) for multiaxial fatigue life prediction is established by using the shear strain amplitude, normal strain amplitude, mean shear stress, and mean normal stress on the critical plane as input variables of the BPNN. In Section 4, the prediction effect of the trained BPNN model with four input parameters (, , , ) is better than that of the WYT model for the same material specimen based on Table 4, Table 5 and Table 6 and Table 9. This is because the BPNN model can effectively and autonomously learn the nonlinear mapping relationships between fatigue life and multiple variables from existing experimental data, which is its advantage.
- (3)
- In Section 5, the influences of different variable groups as input parameters of the neural network on the prediction effect are discussed. Two variables (, ), three variables (, , ), and four variables (, , , ) are used as the input parameters of the BPNN model. Their effects for the two material specimens are better than those of the three theoretical models (SWT, SHD, and WYT) based on Table 4, Table 5, Table 10 and Table 11; the prediction results of the BPNN model with four input parameters (, , , ) and the BPNN model with four input parameters (, , , ) for S45C are both within the two-time error band based on Table 4 and Table 10; the prediction results of the BPNN model with four input parameters (, , , ) and the BPNN model with four input parameters (, , , ) for 7075-T651 are both within the three-time error band based on Table 5 and Table 11.
- (4)
- Although the prediction effect of the WYT model is not better than that of the BPNN model for the same material specimen, it is better than those reported earlier. On the contrary, the construction of neural network models is not easy for engineers and technicians who are not familiar with neural networks. The purpose of this study is to provide more options for engineers when predicting a structural life under different loadings.
- (5)
- This study uses small-sample data to train the proposed BPNN model. If more test data are used to train the BPNN model, it is believed that its prediction accuracy may be further improved. If the WYT model is to be used to simulate and calculate life data under different loading conditions, and these are used to train the BPNN model, the effect of the trained BPNN model on the prediction of the life of a specimen needs further study.
Author Contributions
Funding
Data Availability Statement
Conflicts of Interest
Appendix A. Experimental Results for S45C Steel [44]
| Loading Paths | Phase Angle (°) | (MPa) | (MPa) | (Cycles) | ||
| a | - | 0 | 0.025 | 0 | 595.19 | 110 |
| a | - | 0 | 0.01 | 0 | 480.15 | 852 |
| a | - | 0 | 0.005 | 0 | 389.1 | 3383 |
| a | - | 0 | 0.004 | 0 | 361.9 | 5514 |
| a | - | 0 | 0.015 | 0 | 509.02 | 421 |
| a | - | 0 | 0.004 | 0 | 365.46 | 8933 |
| a | - | 0 | 0.003 | 0 | 325.9 | 22071 |
| a | - | 0 | 0.015 | 0 | 500.16 | 407 |
| b | - | 0.015 | 0 | 287.14 | 0 | 1151 |
| b | - | 0.015 | 0 | 283.81 | 0 | 1761 |
| b | - | 0.015 | 0 | 286.3 | 0 | 1771 |
| b | - | 0.009 | 0 | 244.25 | 0 | 5644 |
| b | - | 0.008 | 0 | 229.38 | 0 | 14930 |
| c | 0 | 0.0052 | 0.006 | 103.55 | 370.33 | 2278 |
| c | 0 | 0.0082 | 0.009 | 111.4 | 395.16 | 568 |
| c | 0 | 0.0065 | 0.0072 | 108.88 | 391.11 | 1366 |
| c | 0 | 0.0065 | 0.0036 | 164.4 | 285.14 | 4647 |
| c | 0 | 0.0041 | 0.009 | 57.28 | 430.58 | 1181 |
| d | 22.5 | 0.0082 | 0.018 | 184.9 | 554.4 | 215 |
| e | 45 | 0.0055 | 0.006 | 214.82 | 419.13 | 1631 |
| e | 45 | 0.0082 | 0.018 | 189 | 542.51 | 191 |
| f | 90 | 0.0041 | 0.009 | 156.27 | 456.77 | 678 |
| f | 90 | 0.0055 | 0.006 | 204.27 | 432.96 | 1617 |
| f | 90 | 0.0066 | 0.0077 | 267.5 | 514.23 | 435 |
Appendix B. Experimental Results for 7075-T651 Aluminum Alloy [45]
| Loading Paths | Phase Angle (°) | (MPa) | (MPa) | (MPa) | (MPa) | (Cycles) |
| a | - | 0 | 315 | 0 | 0 | 35,094 |
| a | - | 0 | 260 | 0 | 0 | 181,817 |
| a | - | 0 | 260 | 0 | 0 | 159,980 |
| a | - | 0 | 235 | 0 | 0 | 848,760 |
| a | - | 0 | 215 | 0 | 0 | 1,187,357 |
| g | - | 0 | 203.04 | 0 | 228.95 | 87,622 |
| g | - | 0 | 183.54 | 0 | 206.96 | 198,247 |
| g | - | 0 | 183.3 | 0 | 206.69 | 175,509 |
| g | - | 0 | 183.3 | 0 | 206.69 | 139,329 |
| g | - | 0 | 183.3 | 0 | 206.69 | 391,636 |
| g | - | 0 | 181.42 | 0 | 204.56 | 660,226 |
| g | - | 0 | 178.6 | 0 | 201.38 | 373,265 |
| g | - | 0 | 169.2 | 0 | 190.79 | 1,134,075 |
| h | - | 105.83 | 0 | 119.34 | 0 | 730,491 |
| h | - | 117.16 | 0 | 132.11 | 0 | 243,363 |
| b | - | 117 | 0 | 0 | 0 | 2,159,208 |
| b | - | 117 | 0 | 0 | 0 | 1,217,964 |
| h | - | 151.33 | 0 | 170.64 | 0 | 19,500 |
| h | - | 151.33 | 0 | 170.64 | 0 | 46,893 |
| b | - | 151.33 | 0 | 0 | 0 | 207,445 |
| b | - | 151.33 | 0 | 0 | 0 | 187,227 |
| h | - | 139.12 | 0 | 156.88 | 0 | 209,904 |
| h | - | 134.24 | 0 | 151.38 | 0 | 210,668 |
| h | - | 134.24 | 0 | 151.38 | 0 | 310,472 |
| h | - | 134.24 | 0 | 151.38 | 0 | 246,343 |
| b | - | 134.24 | 0 | 0 | 0 | 1,179,056 |
| b | - | 180 | 0 | 0 | 0 | 56,421 |
| b | - | 210 | 0 | 0 | 0 | 13,630 |
| b | - | 210 | 0 | 0 | 0 | 23,898 |
| i | 0 | 83.47 | 144.57 | 94.12 | 163.02 | 65,046 |
| i | 0 | 83.47 | 144.57 | 94.12 | 163.02 | 53,058 |
| i | 0 | 75.02 | 129.94 | 84.6 | 146.53 | 270,597 |
| i | 0 | 75.02 | 129.94 | 84.6 | 146.53 | 126,438 |
| j | 30 | 79.63 | 137.92 | 89.79 | 155.53 | 178,920 |
| j | 30 | 75.02 | 129.94 | 84.6 | 146.53 | 747,389 |
| j | 30 | 88.26 | 152.87 | 99.53 | 172.39 | 36,299 |
| j | 30 | 88.26 | 152.87 | 99.53 | 172.39 | 37,525 |
| j | 30 | 83.47 | 144.57 | 94.12 | 163.02 | 64,231 |
| j | 30 | 83.47 | 144.57 | 94.12 | 163.02 | 82,445 |
| k | 45 | 75.02 | 129.94 | 84.6 | 146.53 | 934,710 |
| k | 45 | 75.02 | 129.94 | 84.6 | 146.53 | 1,527,482 |
| k | 45 | 79.63 | 137.92 | 89.79 | 155.53 | 89,852 |
| k | 45 | 83.47 | 144.57 | 94.12 | 163.02 | 167,161 |
| k | 45 | 83.47 | 144.57 | 94.12 | 163.02 | 56,775 |
| k | 45 | 85.39 | 147.89 | 96.29 | 166.77 | 105,315 |
| l | 90 | 83.47 | 144.57 | 94.12 | 163.02 | 94,718 |
| l | 90 | 83.47 | 144.57 | 94.12 | 163.02 | 70,333 |
| l | 90 | 88.26 | 152.87 | 99.53 | 172.39 | 51,324 |
| l | 90 | 88.26 | 152.87 | 99.53 | 172.39 | 68,455 |
| l | 90 | 88.26 | 152.87 | 99.53 | 172.39 | 147180 |
| m | 180 | 83.47 | 144.57 | 94.12 | 163.02 | 78,147 |
| m | 180 | 81.55 | 141.25 | 91.96 | 159.28 | 102,512 |
References
- Yang, J.Y.; Kang, G.Z.; Kan, Q.H. A novel deep learning approach of multiaxial fatigue life-prediction with a self-attention mechanism characterizing the effects of loading history and varying temperature. Int. J. Fatigue 2022, 162, 106851. [Google Scholar] [CrossRef]
- Ngeru, T.; Kurtulan, D.; Karkar, A.; Hanke, S. Mechanical behaviour and failure mode of high interstitially alloyed austenite under combined compression and cyclic torsion. Metals 2022, 12, 157. [Google Scholar] [CrossRef]
- Carpinteri, A.; Spagnoli, A.; Vantadori, S. A review of multiaxial fatigue criteria for random variable amplitude loads. Fatigue Fract. Eng. Mater. Struct. 2017, 40, 1007–1036. [Google Scholar] [CrossRef]
- Luo, P.; Yao, W.; Susmel, L. An improved critical plane and cycle counting method to assess damage under variable amplitude multiaxial fatigue loading. Fatigue Fract. Eng. Mater. Struct. 2020, 43, 2024–2039. [Google Scholar] [CrossRef]
- Yu, Z.Y.; Zhu, S.P.; Liu, Q.; Liu, Y.H. A new energy-critical plane damage parameter for multiaxial fatigue life prediction of turbine blades. Materials 2017, 10, 513. [Google Scholar] [CrossRef] [PubMed]
- Kamal, M.; Rahman, M.M. Advances in fatigue life modeling: A review. Renew. Sust. Energ. Rev. 2018, 82, 940–949. [Google Scholar] [CrossRef]
- Li, J.; Zhang, Z.P.; Sun, Q.; Li, C.W. Multiaxial fatigue life prediction for various metallic materials based on the critical plane approach. Int. J. Fatigue 2011, 33, 90–101. [Google Scholar] [CrossRef]
- Zhou, J.; Huang, H.Z.; Li, H. A novel energy-critical multiaxial fatigue life prediction for low cycle fatigue under mixed-mode loading. Metals 2018, 8, 1066. [Google Scholar] [CrossRef]
- Gao, S.L.; Yue, X.Z.; Wang, H. Predictability of different machine learning approaches on the fatigue life of additive-manufactured porous titanium structure. Metals 2024, 14, 320. [Google Scholar] [CrossRef]
- Li, X.; Yang, H.R.; Yang, J.W. Fretting fatigue life prediction for aluminum alloy based on particle-swarm-optimized back propagation neural network. Metals 2024, 14, 381. [Google Scholar] [CrossRef]
- Yang, J.Y.; Kang, G.Z.; Liu, Y.J.; Kan, Q.H. A novel method of multiaxial fatigue life prediction based on deep learning. Int. J. Fatigue 2021, 151, 106356. [Google Scholar] [CrossRef]
- Smith, K.N.; Watson, P.; Topper, T.H. A stress-strain function for the fatigue of metals. J. Mater. 1970, 5, 767–778. [Google Scholar]
- Kandil, F.A.; Brown, M.W.; Miller, K.J. Biaxial low-cycle fatigue failure of 316 stainless steel at elevated temperatures. In Mechanical Behaviour and Nuclear Applications of Stainless Steel at Elevated Temperatures; Metals Society: London, UK, 1982. [Google Scholar]
- Fatemi, A.; Kurath, P. Multiaxial fatigue fife predictions under the influence of mean-stresses. J. Eng. Mater. Technol. 1988, 110, 380–388. [Google Scholar] [CrossRef]
- Shang, D.G.; Wang, D.J. A new multiaxial fatigue damage model based on the critical plane approach. Int. J. Fatigue 1998, 20, 241–245. [Google Scholar]
- Liu, T.Q.; Shi, X.H.; Zhang, J.Y.; Fei, B.J. Multiaxial high-cycle fatigue failure of 30CrMnSiA steel with mean tension stress and mean shear stress. Int. J. Fatigue 2019, 129, 105219. [Google Scholar] [CrossRef]
- Chen, J.; Liu, Y.M. Fatigue modeling using neural networks: A comprehensive review. Fatigue Fract. Eng. Mater. Struct. 2022, 45, 945–979. [Google Scholar] [CrossRef]
- Sun, X.Y.; Zhou, T.G.; Song, K.; Chen, X. An image recognition based multiaxial low-cycle fatigue life prediction method with CNN model. Int. J. Fatigue 2023, 167, 107324. [Google Scholar] [CrossRef]
- Zhang, X.C.; Gong, J.G.; Xuan, F.Z. A deep learning based life prediction method for components under creep, fatigue and creep-fatigue conditions. Int. J. Fatigue 2021, 148, 106236. [Google Scholar] [CrossRef]
- Feng, S.Z.; Xu, Y.; Han, X.; Li, Z.X.; Incecik, A. A phase field and deep-learning based approach for accurate prediction of structural residual useful life. Comput. Methods Appl. Mech. Eng. 2021, 383, 113885. [Google Scholar] [CrossRef]
- Li, J.; Qiu, Y.Y. A path-dependent multiaxial fatigue life estimation criterion for metals under various loading conditions. Int. J. Fatigue 2021, 149, 106300. [Google Scholar] [CrossRef]
- Zhu, P.N.; Gao, J.X.; Yuan, Y.P.; Wu, Z.F.; Xu, R.X. An improved multiaxial low-cycle fatigue life prediction model based on equivalent strain approach. Metals 2023, 13, 629. [Google Scholar] [CrossRef]
- Kanazawa, K.; Miller, K.J.; Brown, M.W. Low-cycle fatigue under out-of-phase loading conditions. J. Eng. Mater. Technol. 1977, 99, 222–228. [Google Scholar] [CrossRef]
- Ge, J.R.; Sun, Y.; Xu, J.; Yang, Z.Q.; Liang, J. Fatigue life prediction of metal structures subjected to combined thermal-acoustic loadings using a new critical plane model. Int. J. Fatigue 2017, 96, 89–101. [Google Scholar] [CrossRef]
- Li, J.; Wang, X.; Li, K.; Qiu, Y.Y. A modification of Matake criterion for considering the effect of mean shear stress under high cycle fatigue loading. Fatigue Fract. Eng. Mater. Struct. 2021, 44, 1760–1782. [Google Scholar] [CrossRef]
- Li, J.; Wang, X.; Li, R.T.; Qiu, Y.Y. Multiaxial fatigue life prediction for metals by means of an improved strain energy density-based critical plane criterion. Eur. J. Mech. A-Solid. 2021, 90, 104353. [Google Scholar] [CrossRef]
- Johnston, E.R.J.; DeWolf, J.T.; Beer, F.P. Mechanics of Materials; McGraw-Hill: New York, NY, USA, 2001. [Google Scholar]
- Fatemi, A.; Socie, D.F. A critical plane approach to multiaxial fatigue damage including out-of-phase loading. Fatigue Fract. Eng. Mater. Struct. 1988, 11, 149–165. [Google Scholar] [CrossRef]
- Brown, M.W.; Miller, K.J. High temperature low cycle biaxial fatigue of two steels. Fatigue Fract. Eng. Mater. Struct. 1979, 1, 217–229. [Google Scholar] [CrossRef]
- Pascoe, K.J.; Devilliers, J.W.R. Low cycle fatigue of steels under biaxial straining. J. Strain Anal. 1967, 2, 117–126. [Google Scholar] [CrossRef]
- Socie, D.; Marquis, G. Multiaxial Fatigue; SAE International: Warrendale, PA, USA, 1999. [Google Scholar]
- Zhang, W.; Akid, R. Effect of biaxial mean stress on cyclic stress-strain response and behaviour of short fatigue cracks in a high strength spring steel. Fatigue Fract. Eng. Mater. Struct. 1997, 20, 167–177. [Google Scholar] [CrossRef]
- Portugal, I.; Olave, M.; Urresti, I.; Zurutuza, A.; López, A.; Muñiz-Calvente, M.; Fernández-Canteli, A. A comparative analysis of multiaxial fatigue models under random loading. Eng. Struct. 2019, 182, 112–122. [Google Scholar] [CrossRef]
- Ince, A.; Glinka, G. A generalized fatigue damage parameter for multiaxial fatigue life prediction under proportional and non-proportional loadings. Int. J. Fatigue 2014, 62, 34–41. [Google Scholar] [CrossRef]
- Wu, Z.R.; Li, X.; Fang, L.; Song, Y.D. Evaluation of multiaxial fatigue life prediction criteria for Ni-based superalloy GH4169. Proc. Inst. Mech. Eng. Part C-J. Mech. Eng. Sci. 2017, 232, 1823–1837. [Google Scholar] [CrossRef]
- Wang, C.H.; Brown, M.W. A path-independent parameter for fatigue under proportional and non-proportional loading. Fatigue Fract. Eng. Mater. Struct. 1993, 16, 1285–1297. [Google Scholar] [CrossRef]
- Wang, Y.J.; Zhu, Z.Y.; Sha, A.X.; Hao, W.F. Low cycle fatigue life prediction of titanium alloy using genetic algorithm-optimized BP artificial neural network. Int. J. Fatigue 2023, 172, 107609. [Google Scholar] [CrossRef]
- Wang, C.Z.; Wang, Y.C.; Ye, Z.W.; Yan, L.Y.; Cai, W.C.; Pan, S. Credit card fraud detection based on whale algorithm optimized BP neural network. In Proceedings of the 2018 13th International Conference on Computer Science & Education (ICCSE), Colombo, Sri Lanka, 8–11 August 2018; pp. 1–4. [Google Scholar]
- Li, Y.W.; Cao, K. Establishment and application of intelligent city building information model based on BP neural network model. Comput. Commun. 2020, 153, 382–389. [Google Scholar] [CrossRef]
- Fan, J.L.; Zhu, G.L.; Zhu, M.L.; Xuan, F.Z. A data-physics integrated approach to life prediction in very high cycle fatigue regime. Int. J. Fatigue 2023, 176, 107917. [Google Scholar] [CrossRef]
- Ma, X.Y.; Ma, X.J.; Wang, Z.L.; Song, S.L.; Sheng, Y.P. Investigation of changing SARA and fatigue properties of asphalt bitumen under ageing and analysis of their relation based upon the BP neural network. Constr. Build. Mater. 2023, 394, 132163. [Google Scholar] [CrossRef]
- Shang, D.G.; Sun, G.Q.; Deng, J.; Yan, C.L. Multiaxial fatigue damage parameter and life prediction for medium-carbon steel based on the critical plane approach. Int. J. Fatigue 2007, 29, 2200–2207. [Google Scholar] [CrossRef]
- Mu, C.; Qiu, B.Z.; Liu, X.H. A new method for figuring the number of hidden layer nodes in BP algorithm. Int. J. Recent Innov. Trends Comput. Commun. 2017, 5, 101–114. [Google Scholar]
- Kim, K.S.; Park, J.C.; Lee, J.W. Multiaxial fatigue under variable amplitude loads. J. Eng. Mater. Technol. 1999, 121, 286–293. [Google Scholar] [CrossRef]
- Wang, X.W.; Shang, D.G.; Sun, Y.J.; Chen, H. Multiaxial high-cycle fatigue life prediction model considering mean shear stress effect under constant and variable amplitude loading. Theor. Appl. Fract. Mech. 2018, 96, 676–687. [Google Scholar] [CrossRef]
- Wu, S.D.; Shang, D.G.; Liu, P.C.; Hao, G.C.; Hou, G.; Shi, F.T.; Miao, B. Fatigue life prediction based on modified narrowband method under broadband random vibration loading. Int. J. Fatigue 2022, 159, 106832. [Google Scholar] [CrossRef]
- Kim, K.S.; Chen, X.; Han, C.; Lee, H.W. Estimation methods for fatigue properties of steels under axial and torsional Loading. Int. J. Fatigue 2002, 23, 783–793. [Google Scholar] [CrossRef]
- Gates, N.R.; Fatemi, A. On the consideration of normal and shear stress interaction in multiaxial fatigue damage analysis. Int. J. Fatigue 2017, 100, 322–336. [Google Scholar] [CrossRef]
- Meggiolaro, M.A.; Castro, J.T.P. Statistical evaluation of strain-life fatigue crack initiation predictions. Int. J. Fatigue 2004, 26, 463–476. [Google Scholar] [CrossRef]
- Socie, D.F. Multiaxial fatigue damage models. J. Eng. Mater. Technol. 1987, 109, 293–298. [Google Scholar] [CrossRef]
- Shang, D.G.; Wang, D.J.; Xu, H.; Ping, A. A unified multiaxial fatigue damage parameter. Acta. Mech. Solida. Sin. 1998, 11, 261–274. [Google Scholar]
- Wang, Y.T.; Qiu, Y.Y.; Li, J.; Bai, J. A hybrid frequency-time domain life prediction method based on the critical plane theory. Fatigue Fract. Eng. Mater. Struct. 2024, 47, 2351–2368. [Google Scholar] [CrossRef]



















| Parameters | Settings |
|---|---|
| Neurons at the input layer | 4 |
| Neurons at the hidden layer | 9 |
| Neurons at the output layer | 1 |
| Activation function of the hidden layer | logsig |
| Activation function of the output layer | tansig |
| Training function | trainlm |
| Learning rate | 0.01 |
| Properties | Symbols | S45C [44] | 7075-T651 [45,48] |
|---|---|---|---|
| Modulus of elasticity | E (GPa) | 186 | 71.7 |
| Shear modulus | G (GPa) | 73 | 27.5 |
| Yield strength | (MPa) | 496 | 501 |
| Ultimate tensile strength | (MPa) | 770 | 561 |
| Fatigue strength coefficient | (MPa) | 1206 * | 1235 |
| Fatigue ductility coefficient | 0.29 * | 0.243 | |
| Fatigue strength exponent | b | −0.09 * | −0.138 |
| Fatigue ductility exponent | c | −0.56 * | −0.71 |
| Shear fatigue strength coefficient | (MPa) | 696 * | 797 |
| Shear fatigue ductility coefficient | 0.5 * | 5.42 | |
| Shear fatigue strength exponent | b0 | −0.09 * | −0.126 |
| Shear fatigue ductility exponent | c0 | −0.56 * | −1.173 |
| Scatter Band | SWT | SHD | WYT | BPNN |
|---|---|---|---|---|
| ±3 | 66.67% | 95.83% | 100% | 100% |
| ±2 | 50% | 62.5% | 91.67% | 100% |
| Scatter Band | SWT | SHD | WYT | BPNN |
|---|---|---|---|---|
| ±3 | 53.85% | 57.69% | 75% | 100% |
| ±2 | 32.69% | 36.54% | 48.08% | 86.54% |
| Scatter Band | SWT | SHD | WYT | BPNN |
|---|---|---|---|---|
| ±3 | 42% | 94.74% | 94.74% | 100% |
| ±2 | 10.53% | 68.42% | 89.47% | 73.68 |
| Specimen No. | (g2/Hz) | (g2/Hz) | fmin (Hz) | fmid (Hz) | fmax (Hz) | Excitation Direction | Experimental Lives (s) |
|---|---|---|---|---|---|---|---|
| 1 | 0.025 | 0.025 | 10 | - | 400 | Z | 13,032 |
| 2 | 0.05 | 0.05 | 10 | - | 400 | Z | 2196 |
| 3 | 0.075 | 0.075 | 10 | - | 400 | Z | 1326 |
| 4 | 0.02 | 0.15 | 10 | 150 | 350 | Z | 15,210 |
| 5 | 0.05 | 0.15 | 10 | 150 | 350 | Z | 1380 |
| 6 | 0.075 | 0.15 | 10 | 150 | 350 | Z | 1032 |
| 7 | 0.03 | 0.025 | 10 | 150 | 350 | Z | 7974 |
| 8 | 0.06 | 0.025 | 10 | 150 | 350 | Z | 1710 |
| 9 | 0.08 | 0.025 | 10 | 150 | 350 | Z | 534 |
| First-Order Natural Frequency | Second-Order Natural Frequency | ||
|---|---|---|---|
| Experiment Frequency | Simulation Frequency | Experiment Frequency | Simulation Frequency |
| 30.7 Hz | 30.4 Hz | 262.2 Hz | 269.2 Hz |
| Scatter Band | SWT | SHD | WYT | BPNN |
|---|---|---|---|---|
| ±3 | 55.56% | 0% | 66.67% | 100% |
| ±2 | 0% | 0% | 44.44% | 66.67% |
| Scatter Band | BPNN Model with Two Input Parameters () | BPNN Model with Three Input Parameters () | BPNN Model with Four Input Parameters () |
|---|---|---|---|
| ±3 | 100% | 100% | 100% |
| ±2 | 100% | 100% | 100% |
| Scatter band | BPNN Model with Two Input Parameters () | BPNN Model with Three Input Parameters () | BPNN Model with Four Input Parameters () |
|---|---|---|---|
| ±3 | 94.23% | 88.46% | 100% |
| ±2 | 69.23% | 75% | 82.69 |
Disclaimer/Publisher’s Note: The statements, opinions and data contained in all publications are solely those of the individual author(s) and contributor(s) and not of MDPI and/or the editor(s). MDPI and/or the editor(s) disclaim responsibility for any injury to people or property resulting from any ideas, methods, instructions or products referred to in the content. |
© 2024 by the authors. Licensee MDPI, Basel, Switzerland. This article is an open access article distributed under the terms and conditions of the Creative Commons Attribution (CC BY) license (https://creativecommons.org/licenses/by/4.0/).
Share and Cite
Wang, Y.; Qiu, Y.; Li, J.; Bai, J. Two Fatigue Life Prediction Models Based on the Critical Plane Theory and Artificial Neural Networks. Metals 2024, 14, 938. https://doi.org/10.3390/met14080938
Wang Y, Qiu Y, Li J, Bai J. Two Fatigue Life Prediction Models Based on the Critical Plane Theory and Artificial Neural Networks. Metals. 2024; 14(8):938. https://doi.org/10.3390/met14080938
Chicago/Turabian StyleWang, Yantian, Yuanying Qiu, Jing Li, and Jin Bai. 2024. "Two Fatigue Life Prediction Models Based on the Critical Plane Theory and Artificial Neural Networks" Metals 14, no. 8: 938. https://doi.org/10.3390/met14080938
APA StyleWang, Y., Qiu, Y., Li, J., & Bai, J. (2024). Two Fatigue Life Prediction Models Based on the Critical Plane Theory and Artificial Neural Networks. Metals, 14(8), 938. https://doi.org/10.3390/met14080938

