Microgrid-Patterned Ni Foams as Current Collectors for Ultrafast Energy Storage Devices
Abstract
1. Introduction
2. Materials and Methods
2.1. Fabrication of Microgrid-Patterned Ni Foams
2.2. Characterizations
2.3. Electrochemical Performances
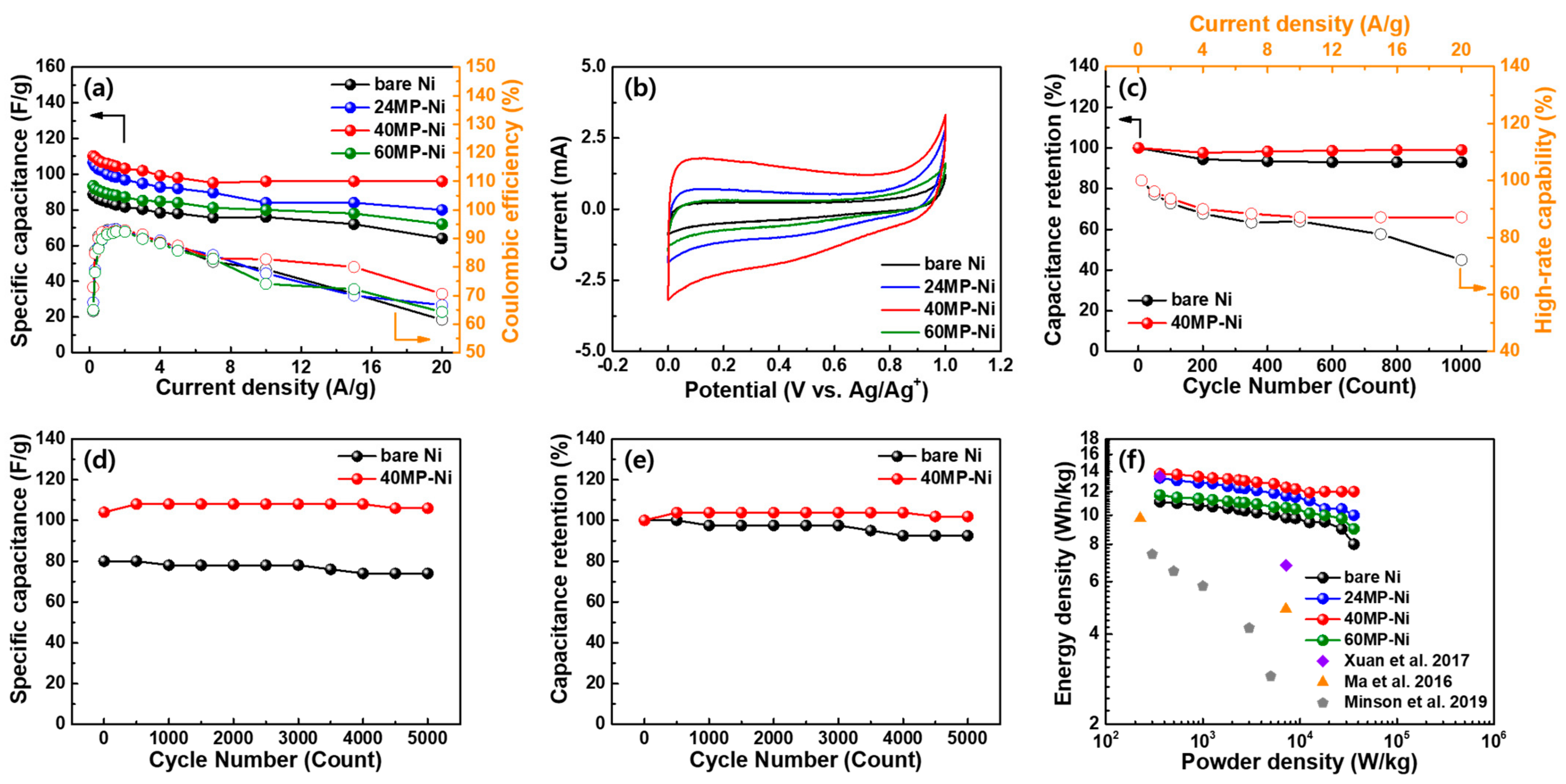
3. Results and Discussion
4. Conclusions
Author Contributions
Funding
Data Availability Statement
Conflicts of Interest
References
- Jeong, S.-J.; Jo, M.-H.; Ahn, H.-J. 3D-printed film architecture via automatic micro 3D-printing system: Micro-intersection engineering of V2O5 thin/thick films for ultrafast electrochromic energy storage devices. Chem. Eng. J. 2023, 475, 146503. [Google Scholar] [CrossRef]
- Jo, M.-H.; Jang, H.-N.; Ahn, H.-J. Oxygen-deficient cobalt vanadium oxide nano-planted mesoporous carbon nanofibers for ultrafast lithium-ion capacitors. J. Alloys Compd. 2023, 962, 171037. [Google Scholar] [CrossRef]
- Hussain, J.; Khan, A.; Zhou, K. The impact of natural resource depletion on energy use and CO2 emission in Belt & Road Initiative countries: A cross-country analysis. Energy 2020, 199, 117409. [Google Scholar] [CrossRef]
- Yadav, A.A.; Hunge, Y.M.; Liu, S.; Kulkarni, S.B. Ultrasound assisted growth of NiCo2O4@carbon cloth for high energy storage device application. Ultrason. Sonochem. 2019, 56, 290–296. [Google Scholar] [CrossRef] [PubMed]
- Kadam, V.S.; Jagtap, C.V.; Lokhande, P.E.; Bulakhe, R.N.; Kang, S.-W.; Yadav, A.A.; Pathan, H.M. One-step deposition of nanostructured Ni(OH)2/rGO for supercapacitor applications. J. Mater. Sci. Mater. Electron. 2023, 34, 1083. [Google Scholar] [CrossRef]
- Kumar, Y.A.; Yadav, A.A.; Al-Asbahi, B.A.; Kang, S.W.; Moniruzzaman, M. Sulfur nanoparticle-decorated nickel cobalt sulfide hetero-nanostructures with enhanced energy storage for high-performance supercapacitors. Molecules 2022, 27, 7458. [Google Scholar] [CrossRef] [PubMed]
- Chang, H.S.; Lee, B.-M.; Yun, J.M.; Choi, J.-H. Preparation and electrochemical characterization of porous carbon pearls from carboxymethyl cellulose for electrical double-layer capacitors. Korean J. Chem. Eng. 2022, 39, 1232–1239. [Google Scholar] [CrossRef]
- Yin, B.; Hao, L.; Wei, T.; Wang, C.; Zhu, B.; Li, X.; Yang, Q. Revealing bulk reaction kinetics of battery-like electrode for pseudocapacitor with ultra-high rate performance. Chem. Eng. J. 2022, 450, 138224. [Google Scholar] [CrossRef]
- Minakshi, M.; Higley, S.; Baur, C.; Mitchell, D.R.G.; Jones, R.T.; Fichtner, M. Calcined chicken eggshell electrode for battery and supercapacitor applications. RSC Adv. 2019, 9, 26981. [Google Scholar] [CrossRef]
- Minakshi, M.; Mitchell, D.R.G.; Jones, R.T.; Pramanik, N.C.; Jean-Fulcrand, A.; Garnweitner, G. A hybrid electrochemical energy storage device using sustainable electrode materials. ChemistrySelect 2020, 5, 1597–1606. [Google Scholar] [CrossRef]
- Lee, J.H.; Kang, Y.-M.; Roh, K.C. Enhancing gravimetric and volumetric capacitance in supercapacitors with nanostructured partially graphitic activated carbon. Electrochem. Commun. 2023, 154, 107560. [Google Scholar] [CrossRef]
- Wu, J. Understanding the electric double-layer structure, capacitance, and charging dynamics. Chem. Rev. 2022, 122, 10821–10859. [Google Scholar] [CrossRef] [PubMed]
- Udayakumar, M.; Tóth, P.; Wiinikka, H.; Malhotra, J.S.; Likozar, B.; Gyergyek, S.; Leskó, A.K.; Thangaraj, R.; Németh, Z. Hierarchical porous carbon foam electrodes fabricated from waste polyurethane elastomer template for electric double-layer capacitors. Sci. Rep. 2022, 12, 11786. [Google Scholar] [CrossRef]
- Daraghmeh, A.; Hussain, S.; Haq, A.U.; Saadeddin, I.; Servera, L.; Ruiz, J.M. Carbon nanocomposite electrodes for electrical double layer capacitor. J. Energy Storage 2020, 32, 101798. [Google Scholar] [CrossRef]
- Kim, S.-W.; Kim, I.-H.; Kim, S.-I.; Jang, J.-H. Nickel hydroxide supercapacitor with a theoretical capacitance and high rate capability based on hollow dendritic 3D-nickel current collectors. Chem. Asian J. 2017, 12, 1291–1296. [Google Scholar] [CrossRef] [PubMed]
- Liu, L.; Zhao, H.; Wang, Y.; Fang, Y.; Xie, J.; Lei, Y. Evaluating the role of nanostructured current collectors in energy storage capability of supercapacitor electrodes with thick electroactive materials layers. Adv. Funct. Mater. 2018, 28, 1705107. [Google Scholar] [CrossRef]
- ISO 25178-602:2010; Geometrical product specifications–Surface texture: Areal–Part 602: Nominal characteristics of non-contact (confocal chromatic probe) instruments. ISO: Geneva, Switzerland, 2010.
- Doberdò, I.; Löffler, N.; Laszczynski, N.; Cericola, D.; Penazzi, N.; Bodoardo, S.; Kim, G.-T.; Passerini, S. Enabling aqueous binders for lithium battery cathodes—Carbon coating of aluminum current collector. J. Power Sources 2014, 248, 1000–1006. [Google Scholar] [CrossRef]
- Jeong, H.; Jang, J.; Jo, C. A review on current collector coating methods for next- generation batteries. Chem. Eng. J. 2022, 446, 136860. [Google Scholar] [CrossRef]
- Choi, T.; Kim, S.J.; Park, S.; Hwang, T.Y.; Jeon, Y.; Hong, B.H. Roll-to-roll continuous patterning and transfer of graphene via dispersive adhesion. Nanoscale 2015, 7, 7138–7142. [Google Scholar] [CrossRef]
- Jeon, H.; Cho, I.; Jo, H.; Kim, K.; Ryou, M.-H.; Lee, Y.M. Highly rough copper current collector: Improving adhesion property between a silicon electrode and current collector for flexible lithium-ion batteries. RSC Adv. 2017, 7, 35681–35686. [Google Scholar] [CrossRef]
- Kim, B.H.; Staller, C.M.; Cho, S.H.; Heo, S.; Garrison, C.E.; Kim, J.; Milliron, D.J. High mobility in nanocrystal-based transparent conducting oxide thin films. ACS Nano 2018, 12, 3200–3208. [Google Scholar] [CrossRef]
- Liu, G.; Qin, Y.; Lyu, Y.; Chen, M.; Qi, P.; Lu, Y.; Sheng, Z.; Tang, Y. Low-crystalline β-Ni(OH)2 nanosheets on nickel foam with enhanced areal capacitance for supercapacitor applications. Chem. Eng. J. 2021, 426, 131248. [Google Scholar] [CrossRef]
- Xuan, H.; Lin, G.; Wang, F.; Liu, J.; Dong, X.; Xi, F. Preparation of biomass-activated porous carbons derived from torreya grandis shell for high-performance supercapacitor. J. Solid State Electrochem. 2017, 21, 2241–2249. [Google Scholar] [CrossRef]
- Ma, G.; Hua, F.; Sun, K.; Zhang, Z.; Feng, E.; Peng, H.; Lei, Z. Porous carbon derived from stalk for symmetric supercapacitors. RSC Adv. 2016, 6, 103508. [Google Scholar] [CrossRef]
- Misnon, I.I.; Zain, N.K.M.; Jose, R. Conversion of oil palm kernel shell biomass to activated carbon for supercapacitor electrode application. Water Biomass Valorization 2019, 10, 1731–1740. [Google Scholar] [CrossRef]
- Minakshi, M.; Wickramaarachchi, K. Electrochemical aspects of supercapacitors in perspective: From electrochemical configurations to electrode materials processing. Prog. Solid State Chem. 2023, 69, 100390. [Google Scholar] [CrossRef]
- Laschuk, N.O.; Easton, E.B.; Zenkina, O.V. Reducing the resistance for the use of electrochemical impedance spectroscopy analysis in materials chemistry. RSC Adv. 2021, 11, 27925. [Google Scholar] [CrossRef]
- Cristoforetti, A.; Rossi, S.; Deflorian, F.; Fedel, M. On the limits of the EIS low-frequency impedance modulus as a tool to describe the protection properties of organic coatings exposed to accelerated aging tests. Coatings 2023, 13, 598. [Google Scholar] [CrossRef]
- Charoen-amornkitt, P.; Pholauyphon, W.; Suzuki, T.; Tsushima, S. An approach to unify capacitance measurements of electric double layer capacitors using sinusoidal potential scan. J. Energy Storage 2023, 66, 107522. [Google Scholar] [CrossRef]
- Sha, L.; Lin, J.; Qi, R.; Song, Y. Low-frequency experimental method for measuring the electric double-layer capacitances of multi-cell electrolysis stacks based on equivalent circuit. J. Power Sources 2023, 579, 233263. [Google Scholar] [CrossRef]
- Mei, B.-A.; Munteshari, O.; Lau, J.; Dunn, B.; Pilon, L. Physical interpretations of Nyquist plots for EDLC electrodes and devices. J. Phys. Chem. C 2018, 122, 194–206. [Google Scholar] [CrossRef]
- Jo, M.-H.; Koo, B.-R.; Kim, K.-H.; Ahn, H.-J. Tailored interface stabilization of FTO transparent conducting electrodes boosting electron and Li ion transport for electrochromic energy-storage devices. Chem. Eng. J. 2022, 431, 134036. [Google Scholar] [CrossRef]
- Zhang, X.; Meng, W.J.; Meng, A.C. Chemical potential gradient induced formation of Kirkendall voids at the epitaxial TiN/MgO interface. Nanoscale 2023, 15, 13086. [Google Scholar] [CrossRef]








| Width (μm) | Depth (μm) | Rrms (μm) | Rsk | |
|---|---|---|---|---|
| Bare Ni | - | - | 7.8 | −2.02 | 
| 24MP-Ni | 754.5 | 150.8 | 37.6 | −0.46 | 
| 40MP-Ni | 638.9 | 86.3 | 35.4 | −0.19 | 
| 60MP-Ni | 355.2 | 60.9 | 35.3 | −0.13 | 
| Specific Capacitance at 0.2 A/g (F/g) | Specific Capacitance at 1 A/g (F/g) | Specific Capacitance at 20 A/g (F/g) | Energy Density at 360 W/kg (Wh/kg) | Energy Density at 36,000 W/kg (Wh/kg) | |
|---|---|---|---|---|---|
| Bare Ni | 88.7 | 84.4 | 64.0 | 11.1 | 8.0 | 
| 24MP-Ni | 106.6 | 100.0 | 80.0 | 13.3 | 10.0 | 
| 40MP-Ni | 110.2 | 106.0 | 96.0 | 13.8 | 12.0 | 
| 60MP-Ni | 93.5 | 89.2 | 72.0 | 11.7 | 9.0 | 
| CE at 0.2 A/g (%) | CE at 1 A/g (%) | CE at 10 A/g (%) | CE at 15 A/g (%) | CE at 20 A/g (%) | |
|---|---|---|---|---|---|
| Bare Ni | 64.55 | 92.95 | 79.17 | 70.59 | 61.54 | 
| 24MP-Ni | 67.58 | 92.59 | 77.78 | 70.00 | 66.67 | 
| 40MP-Ni | 72.92 | 92.01 | 82.76 | 80.00 | 70.59 | 
| 60MP-Ni | 64.94 | 91.39 | 74.07 | 72.22 | 64.29 | 
| Disclaimer/Publisher’s Note: The statements, opinions and data contained in all publications are solely those of the individual author(s) and contributor(s) and not of MDPI and/or the editor(s). MDPI and/or the editor(s) disclaim responsibility for any injury to people or property resulting from any ideas, methods, instructions or products referred to in the content. | 
© 2024 by the authors. Licensee MDPI, Basel, Switzerland. This article is an open access article distributed under the terms and conditions of the Creative Commons Attribution (CC BY) license (https://creativecommons.org/licenses/by/4.0/).
Share and Cite
Kim, U.-T.; Jo, M.-H.; Ahn, H.-J. Microgrid-Patterned Ni Foams as Current Collectors for Ultrafast Energy Storage Devices. Metals 2024, 14, 354. https://doi.org/10.3390/met14030354
Kim U-T, Jo M-H, Ahn H-J. Microgrid-Patterned Ni Foams as Current Collectors for Ultrafast Energy Storage Devices. Metals. 2024; 14(3):354. https://doi.org/10.3390/met14030354
Chicago/Turabian StyleKim, Un-Tae, Myeong-Hun Jo, and Hyo-Jin Ahn. 2024. "Microgrid-Patterned Ni Foams as Current Collectors for Ultrafast Energy Storage Devices" Metals 14, no. 3: 354. https://doi.org/10.3390/met14030354
APA StyleKim, U.-T., Jo, M.-H., & Ahn, H.-J. (2024). Microgrid-Patterned Ni Foams as Current Collectors for Ultrafast Energy Storage Devices. Metals, 14(3), 354. https://doi.org/10.3390/met14030354
 
        

 
       