Fatigue Life Estimation Model of Repaired Components with the Expanded Stop-Hole Technique
Abstract
1. Introduction
2. Materials and Fatigue Crack Growth Tests
2.1. Materials
2.2. Fatigue Crack Growth Tests
SH Specimens
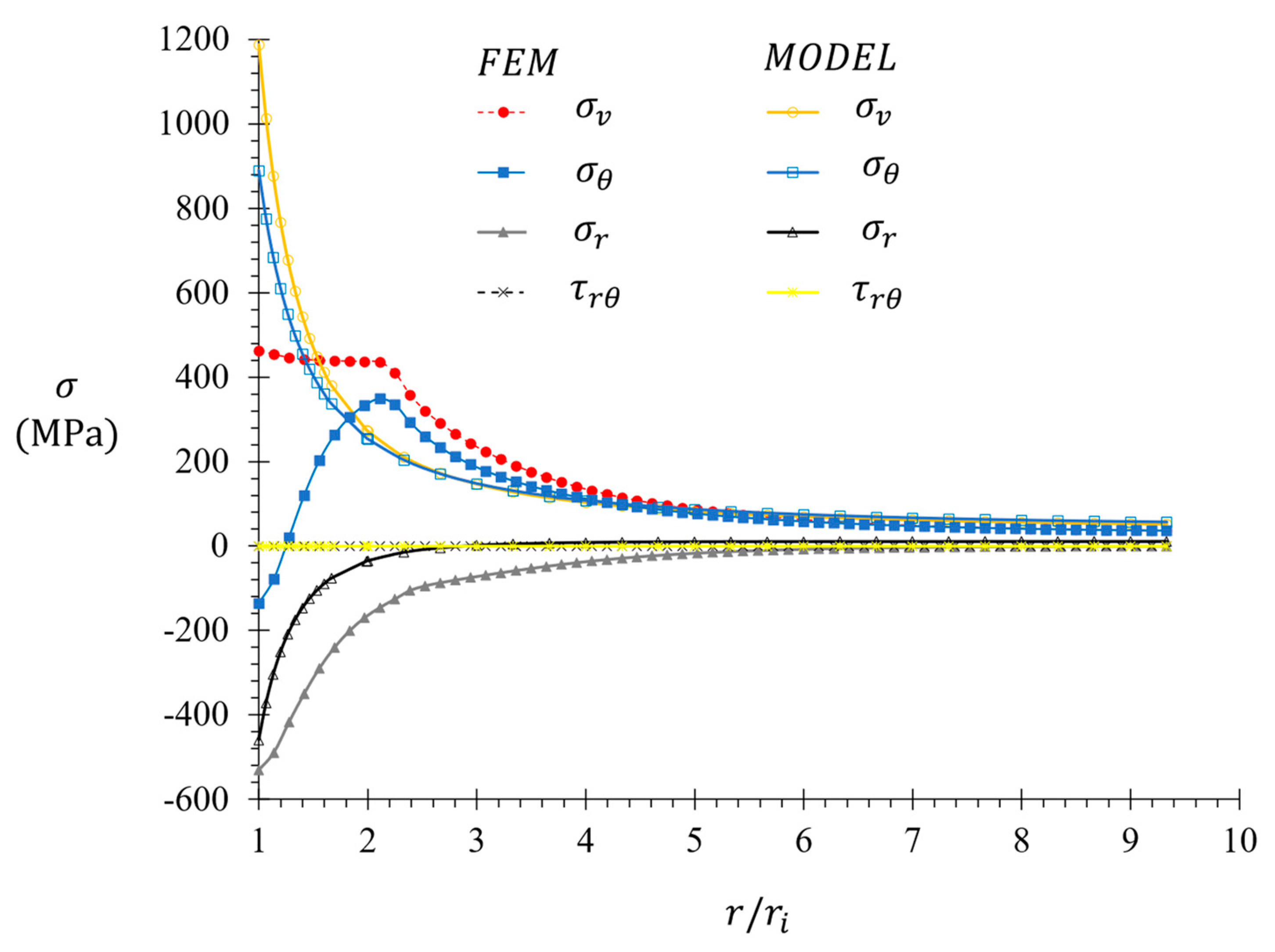
3. Fracture Mechanics-Based Modelling for the Repair Technique
- Fatigue cracks are considered center through-thickness cracks.
- Plastic zones are small enough to validate LEFM principles.
- Crack reinitiation process after drilling the SH is conservatively assumed to be very short and negligible.
- Fatigue cracks grow straight and symmetric from each SH.
- Environmental effects on FCG rates are negligible or accounted for by the measured data.
3.1. FCG Modelling for the Base Material
3.2. Fracture Mechanics-Based Model for the Expanded Modified SH Technique
4. Results
4.1. Fatigue Crack Growth Tests in the Base Material
4.2. FCG for the Expanded SH Technique
5. Conclusions
- -
- The proposed fracture mechanics-based model predicts that the expanded SH technique can extend the fatigue life of repaired plates by approximately 8.4% and based on the results of fatigue crack growth tests, the actual extension of fatigue life achieved with the expanded SH technique was found to be around .
- -
- The observed extension in fatigue life aligns well with similar studies reported in the literature, particularly those conducted using controlled-force mode in fatigue tests, as opposed to controlled-ΔK mode. Comparative data are presented in Table 2.
- -
- Due to the short fatigue crack reinitiation period (after expanding the SH) the fracture mechanics-based model accurately predicts the fatigue lives of the repaired specimens with a deviation of .
Author Contributions
Funding
Data Availability Statement
Acknowledgments
Conflicts of Interest
Nomenclature
| crack length | |
| initial crack length | |
| specimen thickness | |
| and | Paris’ constants |
| d/d | crack propagation rate |
| Young’s modulus | |
| hardening modulus | |
| interference fit | |
| stress intensity factor | |
| stress intensity factor in mode I | |
| crack length measured from the notch root | |
| specimen length | |
| number of load cycles | |
| applied force | |
| hole radius | |
| pin radius | |
| plastic zone size at the crack tip | |
| plastic zone size due to the overload | |
| reversed plastic zone size | |
| compensated plastic zone size | |
| distance from the center of the pin to the edge of the specimen | |
| stress ratio | |
| notch radius | |
| yield strength | |
| ultimate strength | |
| specimen width | |
| fitting parameter | |
| crack size increment | |
| stress intensity factor range | |
| applied force range | |
| contact pressure | |
| stress components in polar coordinates | |
| stress components in cartesian coordinates | |
| tangential stress at the hole’s surface when for and , respectively. | |
| von Mises stress | |
| scalar damage | |
| Wheeler’s parameter | |
| Airy’s function |
References
- Yousefi, A.; Jolaiy, S.; Hedayati, R.; Serjouei, A.; Bodaghi, M. Fatigue Life Improvement of Cracked Aluminum 6061-T6 Plates Repaired by Composite Patches. Materials 2021, 14, 1421. [Google Scholar] [CrossRef]
- Liu, X.; Wu, J.; Xi, J.; Yu, Z. Bonded Repair Optimization of Cracked Aluminum Alloy Plate by Microwave Cured Carbon-Aramid Fiber/Epoxy Sandwich Composite Patch. Materials 2019, 12, 1655. [Google Scholar] [CrossRef] [PubMed]
- Aabid, A.; Hrairi, M.; Ali, J.S.M.; Sebaey, T.A. A Review on Reductions in the Stress-Intensity Factor of Cracked Plates Using Bonded Composite Patches. Materials 2022, 15, 3086. [Google Scholar] [CrossRef]
- Chao Lu, Y.; Peng Yang, F.; Chen, T.; Gong, H. The retardation effect of combined application of stop-hole and overload on sheet steel. Int. J. Fatigue 2020, 132, 105414. [Google Scholar] [CrossRef]
- Yao, Y.; Ji, B.; Fu, Z.; Zhou, J.; Wang, Y. Optimization of stop-hole parameters for cracks at diaphragm-to-rib weld in steel bridges. J. Constr. Steel Res. 2019, 162, 105747. [Google Scholar] [CrossRef]
- Jiang, X.; Lv, Z.; Qiang, X.; Zhang, J. Improvement of Stop-Hole Method on Fatigue-Cracked Steel Plates by Using High-Strength Bolts and CFRP Strips. Adv. Civ. Eng. 2021, 2021, 6632212. [Google Scholar] [CrossRef]
- Razavi, S.M.J.; Ayatollahi, M.R.; Sommitsch, C.; Moser, C. Retardation of fatigue crack growth in high strength steel S690 using a modified stop-hole technique. Eng. Fract. Mech. 2017, 169, 226–237. [Google Scholar] [CrossRef]
- Ayatollahi, M.R.; Razavi, S.M.J.; Yahya, M.Y. Mixed mode fatigue crack initiation and growth in a CT specimen repaired by stop hole technique. Eng. Fract. Mech. 2015, 145, 115–127. [Google Scholar] [CrossRef]
- Deng, Q.; Yin, X.; Wang, D.; Abdel Wahab, M. Numerical analysis of crack propagation in fretting fatigue specimen repaired by stop hole method. Int. J. Fatigue 2022, 156, 106640. [Google Scholar] [CrossRef]
- Taghizadeh, H.; Chakherlou, T.; Ghorbani, H.; Mohammadpour, A. Prediction of fatigue life in cold expanded fastener holes subjected to bolt tightening in Al alloy 7075-T6 plate. Int. J. Mech. Sci. 2015, 90, 6–15. [Google Scholar] [CrossRef]
- Takahashi, I. A simple repair method of fatigue cracks using stop-holes reinforced with wedge members: Applicability to reinitiated cracks and effects of an anti-fatigue smart paste. Weld. Int. 2020, 34, 267–287. [Google Scholar] [CrossRef]
- Branco, C.; Infante, V.; Baptista, R. Fatigue behaviour of welded joints with cracks, repaired by hammer peening. Fatigue Fract. Eng. Mater. Struct. 2004, 27, 785–798. [Google Scholar] [CrossRef]
- Tai, M.; Miki, C. Fatigue strength improvement by hammer peening treatment—Verification from plastic deformation, residual stress, and fatigue crack propagation rate. Weld. World 2014, 58, 307–318. [Google Scholar] [CrossRef]
- Tai, M.; Miki, C. Improvement effects of fatigue strength by burr grinding and hammer peening under variable amplitude loading. Weld. World 2012, 56, 109–117. [Google Scholar] [CrossRef]
- Baker, A.; Jones, R. Bonded Repair of Aircraft Structures; Springer Science & Business Media: Berlin/Heidelberg, Germany, 1988; Volume 7. [Google Scholar] [CrossRef]
- Marazani, T.; Madyira, D.M.; Akinlabi, E.T. Repair of cracks in metals: A review. Procedia Manuf. 2017, 8, 673–679. [Google Scholar] [CrossRef]
- Lozano, C.M.; Riveros, G.A. Effects of Adhesive Bond-Slip Behavior on the Capacity of Innovative FRP Retrofits for Fatigue and Fracture Repair of Hydraulic Steel Structures. Materials 2019, 12, 1495. [Google Scholar] [CrossRef] [PubMed]
- Song, P.; Shieh, Y. Stop drilling procedure for fatigue life improvement. Int. J. Fatigue 2004, 26, 1333–1339. [Google Scholar] [CrossRef]
- Wu, H.; Imad, A.; Benseddiq, N.; de Castro, J.T.P.; Meggiolaro, M.A. On the prediction of the residual fatigue life of cracked structures repaired by the stop-hole method. Int. J. Fatigue 2010, 32, 670–677. [Google Scholar] [CrossRef]
- Schubbe, J.J.; Bolstad, S.H.; Reyes, S. Fatigue crack growth behavior of aerospace and ship-grade aluminum repaired with composite patches in a corrosive environment. Compos. Struct. 2016, 144, 44–56. [Google Scholar] [CrossRef]
- Errouane, H.; Sereir, Z.; Chateauneuf, A. Numerical model for optimal design of composite patch repair of cracked aluminum plates under tension. Int. J. Adhes. Adhes. 2014, 49, 64–72. [Google Scholar] [CrossRef]
- Zarrinzadeh, H.; Kabir, M.; Deylami, A. Experimental and numerical fatigue crack growth of an aluminium pipe repaired by composite patch. Eng. Struct. 2017, 133, 24–32. [Google Scholar] [CrossRef]
- Ferdous, M.; Naka, K.; Makabe, C.; Miyazaki, T. A review of simple methods for arresting crack growth. Adv. Mat. Res. 2015, 1110, 185–190. [Google Scholar] [CrossRef]
- Zarrinzadeh, H.; Kabir, M.; Deylami, A. Crack growth and debonding analysis of an aluminum pipe repaired by composite patch under fatigue loading. Thin-Walled Struct. 2017, 112, 140–148. [Google Scholar] [CrossRef]
- Mohammed, S.M.K.; Bouiadjra, B.B.; Benyahia, F.; Albedah, A. Analysis of the single overload effect on fatigue crack growth in AA 2024-T3 plates repaired with composite patch. Eng. Fract. Mech. 2018, 202, 147–161. [Google Scholar] [CrossRef]
- Huang, C.; Chen, T.; Feng, S. Finite element analysis of fatigue crack growth in CFRP-repaired four-point bend specimens. Eng. Struct. 2019, 183, 398–407. [Google Scholar] [CrossRef]
- Ye, H.; Wang, T.; Shuai, C.; Liu, C.; Xu, X. A novel driving force parameter ΔKeff1-αKmaxα for fatigue crack propagation in prestressed-CFRP-repaired steel structure. Compos. Struct. 2019, 214, 183–190. [Google Scholar] [CrossRef]
- Alshoaibi, A.M.; Fageehi, Y.A. Finite Element Simulation of a Crack Growth in the Presence of a Hole in the Vicinity of the Crack Trajectory. Materials 2022, 15, 363. [Google Scholar] [CrossRef]
- Ghfiri, R.; Shi, H.J.; Guo, R.; Mesmacque, G. Effects of expanded and non-expanded hole on the delay of arresting crack propagation for aluminum alloys. Mater. Sci. Eng A 2000, 286, 244–249. [Google Scholar] [CrossRef]
- Domazet, Ž. Comparison of fatigue crack retardation methods. Eng. Fail. Anal. 1996, 3, 137–147. [Google Scholar] [CrossRef]
- Moshtaghi, M.; Safyari, M. Effect of Work-Hardening Mechanisms in Asymmetrically Cyclic-Loaded Austenitic Stainless Steels on Low-Cycle and High-Cycle Fatigue Behavior. Steel Res. Int. 2021, 92, 2000242. [Google Scholar] [CrossRef]
- Velilla-Díaz, W.; Zambrano, H.R. Effects of Grain Boundary Misorientation Angle on the Mechanical Behavior of Al Bicrystals. Nanomaterials 2023, 13, 3031. [Google Scholar] [CrossRef] [PubMed]
- Tian, L.; Cheng, Z. Fracture and Fatigue Analyses of Cracked Structures Using the Iterative Method. Geofluids 2021, 2021, 4434598. [Google Scholar] [CrossRef]
- Zhang, P.; Li, J.; Zhao, Y.; Li, J. Crack propagation analysis and fatigue life assessment of high-strength bolts based on fracture mechanics. Sci. Rep. 2023, 13, 14567. [Google Scholar] [CrossRef] [PubMed]
- Yang, D. Analysis of Fracture Mechanics Theory of the First Fracture Mechanism of Main Roof and Support Resistance with Large Mining Height in a Shallow Coal Seam. Sustainability 2021, 13, 1678. [Google Scholar] [CrossRef]
- Velilla-Díaz, W.; Ricardo, L.; Palencia, A.; Zambrano, H.R. Fracture toughness estimation of single-crystal aluminum at nanoscale. Nanomaterials 2021, 11, 680. [Google Scholar] [CrossRef] [PubMed]
- Liu, J.; Feng, G.; Wang, J.; Ren, H.; Song, W.; Lin, P. Fatigue Life Assessment in the Typical Structure of Large Container Vessels Based on Fracture Mechanics. J. Mar. Sci. Eng. 2023, 11, 2075. [Google Scholar] [CrossRef]
- Leonetti, D.; Maljaars, J.; Snijder, B. Fracture mechanics based fatigue life prediction for a weld toe crack under constant and variable amplitude random block loading—Modeling and uncertainty estimation. Eng. Fract. Mech. 2021, 242, 107487. [Google Scholar] [CrossRef]
- Attarha, M.; Sattari-Far, I. Comparison of the continuum damage and fracture mechanics in fatigue assessment of components containing residual stresses. Mech. Based Des. Struct. Mach. 2023, 1–18. [Google Scholar] [CrossRef]
- Velilla-Díaz, W.; Zambrano, H.R. Crack length effect on the fracture behavior of single-crystals and bi-crystals of aluminum. Nanomaterials 2021, 11, 2783. [Google Scholar] [CrossRef]
- Alrayes, O.; Könke, C.; Ooi, E.T.; Hamdia, K.M. Modeling Cyclic Crack Propagation in Concrete Using the Scaled Boundary Finite Element Method Coupled with the Cumulative Damage-Plasticity Constitutive Law. Materials 2023, 16, 863. [Google Scholar] [CrossRef]
- Kristensen, P.; Niordson, C.; Martínez-Pañeda, E. An assessment of phase field fracture: Crack initiation and growth. Phil. Trans. R. Soc. A 2021, 379, 20210021. [Google Scholar] [CrossRef]
- Standard Test Method for Measurement of Fatigue Crack Growth Rates. ASTM International: West Conshohocken, PA, USA, 2015. Available online: https://www.astm.org/e0647-15e01.html (accessed on 29 January 2024).
- Paris, P.C. A rational analytic theory of fatigue. Trends Engin 1961, 13, 9–14. [Google Scholar]
- Wheeler, O. Spectrum loading and crack growth. Trans. of ASCE. J. Basic. Eng. 1972, 94, 181–186. [Google Scholar] [CrossRef]
- Anderson, T.L. Fracture Mechanics: Fundamentals and Applications; CRC Press: Boca Raton, FL, USA, 2017. [Google Scholar]
- Harter, J.A. AFGROW users guide and technical manual. Technical report, Air Force Research Lab Wright-Patterson Afb Oh Air Vehicles Directorate. Air Force Res. Lab. 1999, 10. Available online: https://apps.dtic.mil/sti/citations/ADA370431 (accessed on 29 January 2024).
- Irwin, G.R. Analysis of Stresses and Strains Near the End of a Crack Traversing a Plate. J. Appl. Mech. 1957, 24, 361–364. [Google Scholar] [CrossRef]
- Fett, T. Stress Intensity Factors-T-Stresses-Weight Functions; Institute of Ceramics in Mechanical Engineering, University of Karlsruhe: Karlsruhe, Germany, 2008. [Google Scholar]
- Budynas, R.G.; Nisbett, J. Diseño en Ingeniería Mecánica de Shigley, 8th ed.; McGraw-Hill Interamericana: Mexico City, Mexico, 2008. [Google Scholar]
- ANSYS. Ansys User’s Manual: Theory Reference, R22; Swanson Analysis System Inc.: Houston, TX, USA, 2007. [Google Scholar]












| Specimen | N (Cycles) |
|---|---|
| 1 | 55,936 |
| 2 | 58,471 |
| 3 | 56,830 |
| 4 | 60,850 |
| 5 | 60,098 |
| 6 | 61,950 |
Disclaimer/Publisher’s Note: The statements, opinions and data contained in all publications are solely those of the individual author(s) and contributor(s) and not of MDPI and/or the editor(s). MDPI and/or the editor(s) disclaim responsibility for any injury to people or property resulting from any ideas, methods, instructions or products referred to in the content. |
© 2024 by the authors. Licensee MDPI, Basel, Switzerland. This article is an open access article distributed under the terms and conditions of the Creative Commons Attribution (CC BY) license (https://creativecommons.org/licenses/by/4.0/).
Share and Cite
Velilla-Díaz, W.; Pinzón, R.; Guillén-Rujano, R.; Pérez-Ruiz, J.D.; de Lacalle, L.N.L.; Palencia, A.; Maury, H.; Zambrano, H.R. Fatigue Life Estimation Model of Repaired Components with the Expanded Stop-Hole Technique. Metals 2024, 14, 182. https://doi.org/10.3390/met14020182
Velilla-Díaz W, Pinzón R, Guillén-Rujano R, Pérez-Ruiz JD, de Lacalle LNL, Palencia A, Maury H, Zambrano HR. Fatigue Life Estimation Model of Repaired Components with the Expanded Stop-Hole Technique. Metals. 2024; 14(2):182. https://doi.org/10.3390/met14020182
Chicago/Turabian StyleVelilla-Díaz, Wilmer, Roger Pinzón, Renny Guillén-Rujano, José David Pérez-Ruiz, Luis Norberto López de Lacalle, Argemiro Palencia, Heriberto Maury, and Habib R. Zambrano. 2024. "Fatigue Life Estimation Model of Repaired Components with the Expanded Stop-Hole Technique" Metals 14, no. 2: 182. https://doi.org/10.3390/met14020182
APA StyleVelilla-Díaz, W., Pinzón, R., Guillén-Rujano, R., Pérez-Ruiz, J. D., de Lacalle, L. N. L., Palencia, A., Maury, H., & Zambrano, H. R. (2024). Fatigue Life Estimation Model of Repaired Components with the Expanded Stop-Hole Technique. Metals, 14(2), 182. https://doi.org/10.3390/met14020182

