Insight into the Influence of Cu on the Corrosion Mechanism of 1%Ni Weathering Steel in a Simulated Containing NaCl Atmospheric Environment
Abstract
1. Introduction
2. Materials and Methods
2.1. Sample Preparation
2.2. Wet–Dry Cyclic Corrosion Test
2.3. Characterization and Analysis of the Corrosion Products
2.4. Electrochemical Measurements
3. Results
3.1. Corrosion Kinetics
3.2. Morphological Studies of Corrosion Products
3.3. Composition of the Rust Layer
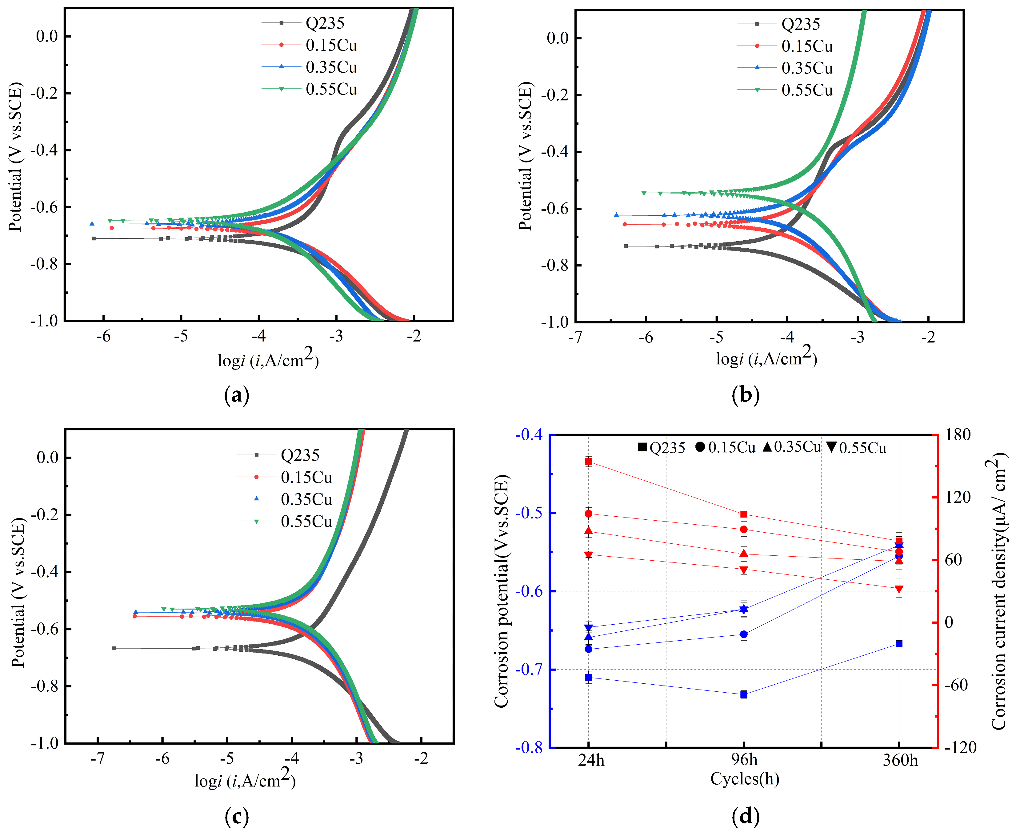
3.4. Electrochemical Properties of the Rust Layer
4. Discussion
5. Conclusions
- (1)
- An increasing Cu content promotes the formation of a stable and compact rust layer, significantly enriching the proportion of α-FeOOH to equip the rust layer with a physical barrier.
- (2)
- The formation of CuO deposits in the holes and cracks make the rust layer more compact and uniform. This provides nucleation sites for amorphous oxyhydroxide to promote a nano-sized oxyhydroxide network, which not only traps the corrosion particles but also facilitates the formation of α-FeOOH, leading to the rust layer forming a physical barrier with a protective ability.
- (3)
- Cu promotes the formation of CuFeO2, and the content of NiFe2O4 increases with an increase in Cu content. The formation of CuFeO2 and NiFe2O4 equips the rust layer with a chemical barrier.
Author Contributions
Funding
Data Availability Statement
Conflicts of Interest
References
- Jia, J.; Cheng, X.; Yang, X.; Li, X.; Li, W. A study for corrosion behavior of a new-type weathering steel used in harsh marine environment. Constr. Build. Mater. 2020, 259, 119760. [Google Scholar] [CrossRef]
- Morcillo, M.; Chico, B.; Diaz, I.; Cano, H.; Fuente, D.D.L. Atmospheric corrosion data of weathering steels. A review. Corros. Sci. 2013, 77, 6–24. [Google Scholar] [CrossRef]
- Wu, W.; Cheng, X.; Zhao, J.; Li, X. Benefit of the corrosion product film formed on a new weathering steel containing 3% nickel under marine atmosphere in Maldives. Corros. Sci. 2019, 165, 108416. [Google Scholar] [CrossRef]
- Zhang, B.; Liu, W.; Sun, Y.; Yang, W.; Chen, L.; Xie, J.; Li, W. Corrosion behavior of the 3 wt.% Ni weathering steel with replacing 1 wt.% Cr in the simulated tropical marine atmospheric environment. J. Phys. Chem. Solids 2023, 175, 111221. [Google Scholar] [CrossRef]
- Diaz, I.; Cano, H.; Fuente, D.D.L.; Chico, B.; Vega, J.M.; Morcillo, M. Atmospheric corrosion of Ni-advanced weathering steels in marine atmospheres of moderate salinity. Corros. Sci. 2013, 76, 348–360. [Google Scholar] [CrossRef]
- Sun, Y.; Liu, W.; Dong, B.; Zhang, T.; Chen, L.; Yang, W.; Li, H.; Zhang, B.; Xie, J.; Cui, J. Designing weathering steel with optimized Mo/Ni ratios for better corrosion resistance in simulated tropical marine atmosphere. Met. Mater. Int. 2024, 30, 909–927. [Google Scholar] [CrossRef]
- Yu, Q.; Yang, X.; Dong, W.; Wang, Q.; Zhang, F.; Gu, X. Layer-by-layer investigation of the multilayer corrosion products for different Ni content weathering steel via a novel Pull-off testing. Corros. Sci. 2021, 195, 109988. [Google Scholar] [CrossRef]
- Jia, J.; Liu, Z.; Cheng, X.; Du, C.; Li, X. Development and optimization of Ni-advanced weathering steel: A review. Corros. Commun. 2021, 2, 82–90. [Google Scholar] [CrossRef]
- Cheng, X.; Jin, Z.; Liu, M.; Li, X. Optimizing the nickel content in weathering steels to enhance their corrosion resistance in acidic atmospheres. Corros. Sci. 2017, 115, 135–142. [Google Scholar] [CrossRef]
- Cheng, X.Q.; Tian, Y.W.; Li, X.G.; Zhou, C. Corrosion behavior of nickel-containing weathering steel in simulated marine atmospheric environment. Mater. Corros. 2014, 65, 1033–1037. [Google Scholar] [CrossRef]
- Xu, X.; Zhang, T.; Wu, W.; Jiang, S.; Yang, J.; Liu, Z. Optimizing the resistance of Ni-advanced weathering steel to marine atmospheric corrosion with the addition of Al or Mo. Constr. Build. Mater. 2021, 279, 122341. [Google Scholar] [CrossRef]
- Boyd, W.K.; Fink, F.W. Corrosion of Metals in the Atmosphere; Metals and Ceramics Information Center: Watertown, MA, USA, 1974. [Google Scholar]
- Cano, H.; Díaz, I.; Fuente, D.D.L.; Chico, B.; Morcillo, M. Effect of Cu, Cr and Ni alloying elements on mechanical properties and atmospheric corrosion resistance of weathering steels in marine atmospheres of different aggressivities. Mater. Corros. 2018, 69, 8–19. [Google Scholar] [CrossRef]
- Hao, L.; Zhang, S.; Dong, J.; Ke, W. Evolution of corrosion of MnCuP weathering steel submitted to wet/dry cyclic tests in a simulated coastal atmosphere. Corros. Sci. 2012, 58, 175–180. [Google Scholar] [CrossRef]
- Kimura, M.; Kihira, H.; Ohta, N.; Hashimoto, M.; Senuma, T. Control of Fe(O,OH)6 nano-network structures of rust for high atmospheric-corrosion resistance. Corros. Sci. 2005, 47, 2499–2509. [Google Scholar] [CrossRef]
- Carius, C. Knowledge of the corrosion process of copper-bearing steels. Z. Met. 1930, 22, 337–341. [Google Scholar]
- TB/T 2375-1993 (1993); Test Method for Periodic Immersion Corrosion of Weathering Steels for Railway. Ministry of Railways: Beijing, China, 1993.
- Liu, H.; Huang, F.; Yuan, W.; Hu, Q.; Liu, J.; Cheng, Y.F. Essential role of element Si in corrosion resistance of a bridge steel in chloride atmosphere. Corros. Sci. 2020, 173, 108758. [Google Scholar] [CrossRef]
- Wang, B.; Liu, L.; Cheng, X.; Wu, W.; Liu, C.; Zhang, D.; Li, X. Advanced multi-image segmentation-based machine learning modeling strategy for corrosion prediction and rust layer performance evaluation of weathering steel. Corros. Sci. 2024, 237, 112334. [Google Scholar] [CrossRef]
- Antunes, R.A.; Costa, I.; Faria, D.L.A.D. Characterization of corrosion products formed on steels in the first months of atmospheric exposure. Mater. Res. 2003, 6, 403–408. [Google Scholar] [CrossRef]
- Yu, Q.; Dong, W.; Yang, X.; Wang, Q.; Zhang, F. Insights into the corrosion mechanism and electrochemical properties of the rust layer evolution for weathering steel with various Cl− deposition in the simulated atmosphere. Mater. Res. Express 2021, 8, 036515. [Google Scholar] [CrossRef]
- Kamimura, T.; Hara, S.; Miyuki, H.; Yamashita, M.; Uchida, H. Composition and protective ability of rust layer formed on weathering steel exposed to various environments. Corros. Sci. 2006, 48, 2799–2812. [Google Scholar] [CrossRef]
- Cano, H.; Neff, D.; Morcillo, M.; Dillmann, P.; Diaz, I.; de La Fuente, D. Characterization of corrosion products formed on Ni 2.4 wt%–Cu 0.5 wt%–Cr 0.5 wt% weathering steel exposed in marine atmospheres. Corros. Sci. 2014, 87, 438–451. [Google Scholar] [CrossRef]
- Zhang, T.; Liu, W.; Chen, L.; Dong, B.; Yang, W.; Fan, Y.; Zhao, Y. On how the corrosion behavior and the functions of Cu, Ni and Mo of the weathering steel in environments with different NaCl concentrations. Corros. Sci. 2021, 192, 109851. [Google Scholar] [CrossRef]
- Mansfeld, F. Tafel slopes and corrosion rates obtained in the pre-Tafel region of polarization curves. Corros. Sci. 2005, 47, 3178–3186. [Google Scholar] [CrossRef]
- Mccafferty, E. Validation of corrosion rates measured by the Tafel extrapolation method. Corros. Sci. 2005, 47, 3202–3215. [Google Scholar] [CrossRef]
- Hedenstedt, K.; Simic, N.; Wildlock, M.; Ahlberg, E. Kinetic study of the hydrogen evolution reaction in slightly alkaline electrolyte on mild steel, goethite and lepidocrocite. J. Electroanal. Chem. 2016, 783, 1–7. [Google Scholar] [CrossRef]
- Yu, Q.; Dong, W.; Yang, X.; Wang, Q.; Zhang, F. The Role of the Direct Current Electric Field in Enhancing the Protective Rust Layer of Weathering Steel. J. Mater. Eng. Perform. 2021, 30, 6309–6322. [Google Scholar] [CrossRef]
- Chen, Z.; Yu, Q.; Zhao, L.; Zhang, C.; Gu, M.; Wang, Q.; Wang, G. Insight into the role of Si on corrosion resistance of weathering steel in a simulated industrial atmosphere. J. Mater. Res. Technol. 2023, 26, 487–503. [Google Scholar] [CrossRef]
- Jia, J.; Wu, W.; Cheng, X.; Zhao, J. Ni-advanced weathering steels in Maldives for two years: Corrosion results of tropical marine field test. Constr. Build. Mater. 2020, 245, 118463. [Google Scholar] [CrossRef]
- Wu, W.; Cheng, X.; Hou, H.; Liu, B.; Li, X. Insight into the product film formed on Ni-advanced weathering steel in a tropical marine atmosphere. Appl. Surf. Sci. 2018, 436, 80–89. [Google Scholar] [CrossRef]
- Wu, W.; Dai, Z.; Liu, Z.; Liu, C.; Li, X. Synergy of Cu and Sb to enhance the resistance of 3%Ni weathering steel to marine atmospheric corrosion. Corros. Sci. 2021, 183, 109353. [Google Scholar] [CrossRef]
- Hao, L.; Zhang, S.; Dong, J.; Ke, W. Atmospheric corrosion resistance of MnCuP weathering steel in simulated environments. Corros. Sci. 2011, 53, 4187–4192. [Google Scholar] [CrossRef]
- Wagman, D.D.; Evans, W.H.; Parker, V.B.; Schumm, R.H.; Nuttall, R.L. The NBS Tables of Chemical Thermodynamic Properties. J. Phys. Chem. Ref. Data 1982, 11. [Google Scholar] [CrossRef]











| Samples | C | Si | Mn | P | S | Ni | Mo | Cu | Fe |
|---|---|---|---|---|---|---|---|---|---|
| Q235 | 0.150 | 0.22 | 0.64 | 0.003 | 0.003 | - | - | - | Balance |
| 0.15Cu | 0.045 | 0.21 | 0.91 | 0.006 | 0.008 | 1.21 | 0.28 | 0.14 | Balance |
| 0.35Cu | 0.046 | 0.21 | 0.89 | 0.003 | 0.003 | 1.23 | 0.30 | 0.35 | Balance |
| 0.55Cu | 0.050 | 0.22 | 0.90 | 0.003 | 0.003 | 1.20 | 0.31 | 0.58 | Balance |
| - | Experimental Parameters |
|---|---|
| Solution | 35 g/L ± 1 g/L (3.5%NaCl solution) |
| pH | 7.5–8.2 |
| Temperature | 45 ± 2 °C |
| Relative humidity | 70 ± 5%RH |
| Cycle time | 60 ± 3 min, infiltration time 12 ± 1.5 min |
| Test period | 24 h, 96 h, 168 h, 216 h, 360 h |
| Reference standard | TB/T 2375-1993 |
| Samples | Ecorr/V(vs. SCE) | Icorr/μA·cm−2 | bc/mV·dec−1 | ba/mV·dec−1 |
|---|---|---|---|---|
| 24 h | ||||
| Q235 | −0.710 ± 0.008 | 154.33 ± 4.95 | −144.3 ± 0.2 | 257.0 ± 1.0 |
| 0.15Cu | −0.674 ± 0.005 | 104.35 ± 6.12 | −201.6 ± 0.6 | 147.7 ± 0.6 |
| 0.35Cu | −0.659 ± 0.009 | 87.46 ± 5.79 | −236.9 ± 0.2 | 133.8 ± 0.5 |
| 0.55Cu | −0.646 ± 0.007 | 65.31 ± 3.24 | −259.0 ± 0.5 | 127.2 ± 0.5 |
| 96 h | ||||
| Q235 | −0.732 ± 0.005 | 103.86 ± 7.34 | −118.3 ± 0.3 | 130.0 ± 0.6 |
| 0.15Cu | −0.655 ± 0.008 | 89.38 ± 7.22 | −125.1 ± 0.7 | 122.2 ± 0.7 |
| 0.35Cu | −0.623 ± 0.011 | 65.68 ± 7.13 | −178.5 ± 0.4 | 132.6 ± 0.5 |
| 0.55Cu | −0.623 ± 0.009 | 51.23 ± 4.59 | −121.6 ± 0.2 | 194.1 ± 0.2 |
| 360 h | ||||
| Q235 | −0.667 ± 0.004 | 78.32 ± 8.01 | −136.7 ± 0.5 | 132.8 ± 0.4 |
| 0.15Cu | −0.555 ± 0.011 | 67.84 ± 6.06 | −125.3 ± 0.2 | 254.2 ± 0.4 |
| 0.35Cu | −0.541 ± 0.005 | 58.63 ± 8.34 | −148.5 ± 0.1 | 217.3 ± 0.5 |
| 0.55Cu | −0.541 ± 0.011 | 32.87 ± 9.22 | −172.7 ± 0.1 | 194.9 ± 0.3 |
| Samples | Cycles (h) | Rs (Ω·cm2) | Qrust (Y0) × 10−3 (Ω−1·cm−2·sn) | nrust | Rrust (Ω·cm2) | Qdl (Y0) × 10−3 (Ω−1·cm−2·sn) | ndl | Rct (Ω·cm2) | W1 (Ω−1·cm2·s0.5) | χ2 (×10−5) |
|---|---|---|---|---|---|---|---|---|---|---|
| Q235 | 24 | 44.72 | 14.37 | 0.33 | 35.75 | 17.33 | 0.29 | 30.11 | 0.79 | 3.24 |
| 96 | 49.11 | 25.67 | 0.54 | 44.79 | 39.47 | 0.47 | 60.00 | 0.65 | 5.31 | |
| 360 | 57.24 | 40.47 | 0.53 | 59.47 | 50.11 | 0.53 | 71.22 | 0.51 | 3.14 | |
| 0.15Cu | 24 | 98.47 | 17.53 | 0.52 | 51.47 | 12.79 | 0.44 | 70.39 | 0.76 | 5.42 |
| 96 | 134.85 | 29.47 | 0.53 | 55.79 | 23.57 | 0.45 | 88.47 | 0.64 | 1.31 | |
| 360 | 182.14 | 58.71 | 0.67 | 72.31 | 39.27 | 0.60 | 85.32 | 0.48 | 1.10 | |
| 0.35Cu | 24 | 84.21 | 22.49 | 0.54 | 49.72 | 11.11 | 0.45 | 79.49 | 0.77 | 2.41 |
| 96 | 79.14 | 28.79 | 0.67 | 68.14 | 19.89 | 0.55 | 90.10 | 0.59 | 2.11 | |
| 360 | 90.08 | 53.48 | 0.67 | 88.79 | 21.37 | 0.66 | 90.31 | 0.44 | 3.14 | |
| 0.55Cu | 24 | 62.71 | 23.47 | 0.45 | 62.77 | 13.85 | 0.43 | 88.71 | 0.75 | 2.79 |
| 96 | 75.58 | 54.57 | 0.71 | 73.81 | 20.11 | 0.60 | 130.47 | 0.55 | 9.57 | |
| 360 | 93.42 | 69.97 | 0.76 | 92.31 | 24.37 | 0.72 | 139.49 | 0.32 | 5.41 |
Disclaimer/Publisher’s Note: The statements, opinions and data contained in all publications are solely those of the individual author(s) and contributor(s) and not of MDPI and/or the editor(s). MDPI and/or the editor(s) disclaim responsibility for any injury to people or property resulting from any ideas, methods, instructions or products referred to in the content. |
© 2024 by the authors. Licensee MDPI, Basel, Switzerland. This article is an open access article distributed under the terms and conditions of the Creative Commons Attribution (CC BY) license (https://creativecommons.org/licenses/by/4.0/).
Share and Cite
Han, C.; Yu, Q.; Wang, S.; Qiao, M.; Wang, Q. Insight into the Influence of Cu on the Corrosion Mechanism of 1%Ni Weathering Steel in a Simulated Containing NaCl Atmospheric Environment. Metals 2024, 14, 1401. https://doi.org/10.3390/met14121401
Han C, Yu Q, Wang S, Qiao M, Wang Q. Insight into the Influence of Cu on the Corrosion Mechanism of 1%Ni Weathering Steel in a Simulated Containing NaCl Atmospheric Environment. Metals. 2024; 14(12):1401. https://doi.org/10.3390/met14121401
Chicago/Turabian StyleHan, Chengliang, Qiang Yu, Shibiao Wang, Mingliang Qiao, and Qingfeng Wang. 2024. "Insight into the Influence of Cu on the Corrosion Mechanism of 1%Ni Weathering Steel in a Simulated Containing NaCl Atmospheric Environment" Metals 14, no. 12: 1401. https://doi.org/10.3390/met14121401
APA StyleHan, C., Yu, Q., Wang, S., Qiao, M., & Wang, Q. (2024). Insight into the Influence of Cu on the Corrosion Mechanism of 1%Ni Weathering Steel in a Simulated Containing NaCl Atmospheric Environment. Metals, 14(12), 1401. https://doi.org/10.3390/met14121401
