Recent Advances in Creep Modelling Using the θ Projection Method
Abstract
1. Introduction
2. Materials
3. Model Details
3.1. Initial Fitting of θ Parameters
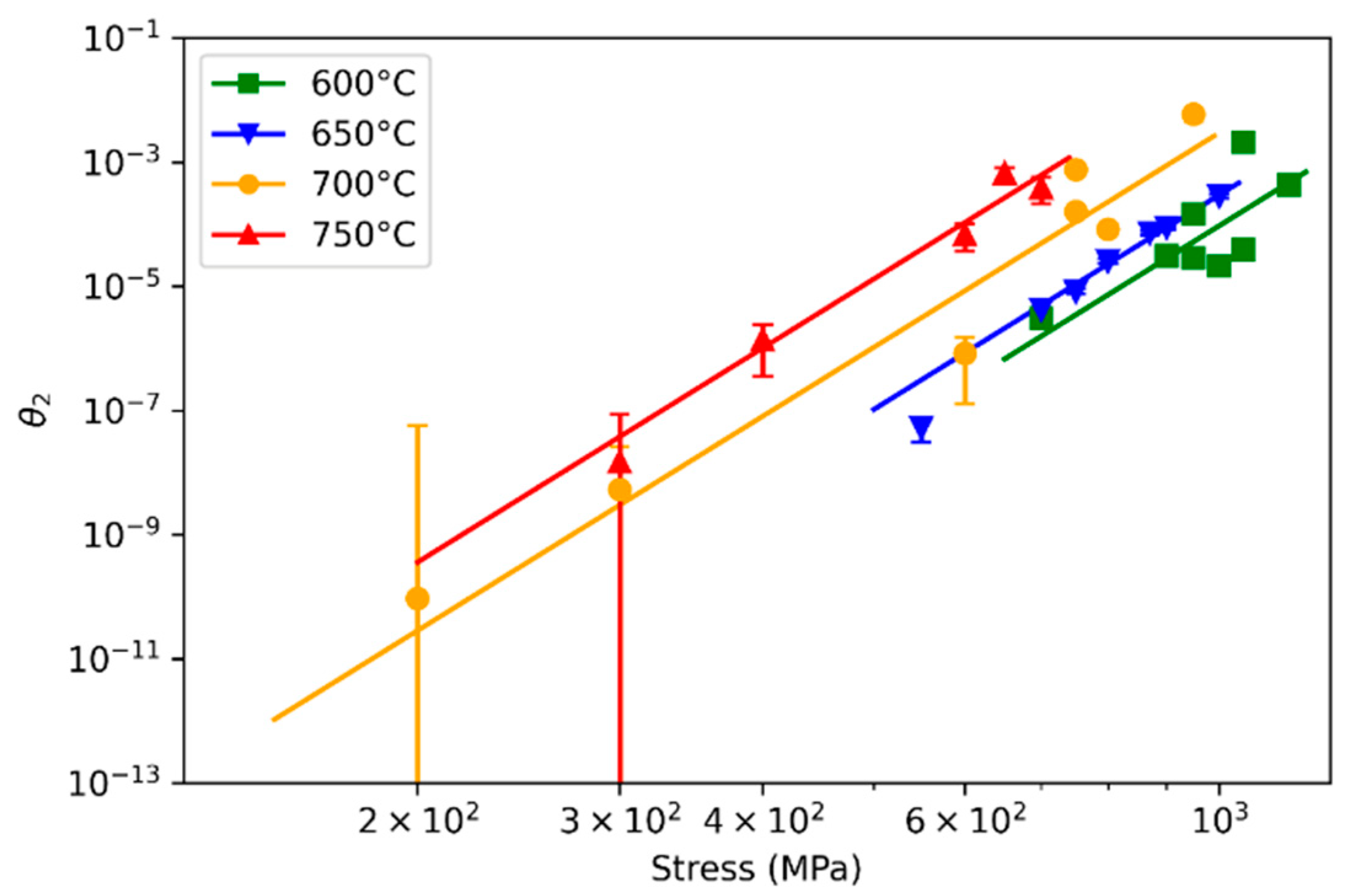
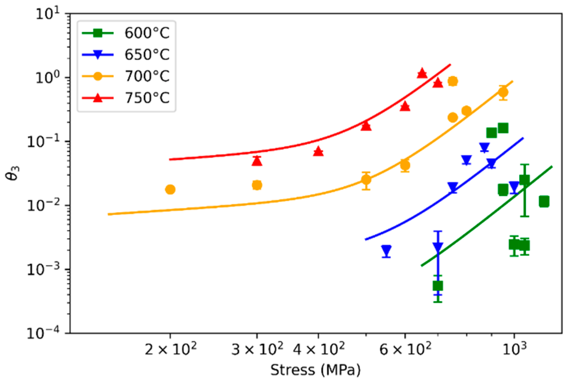
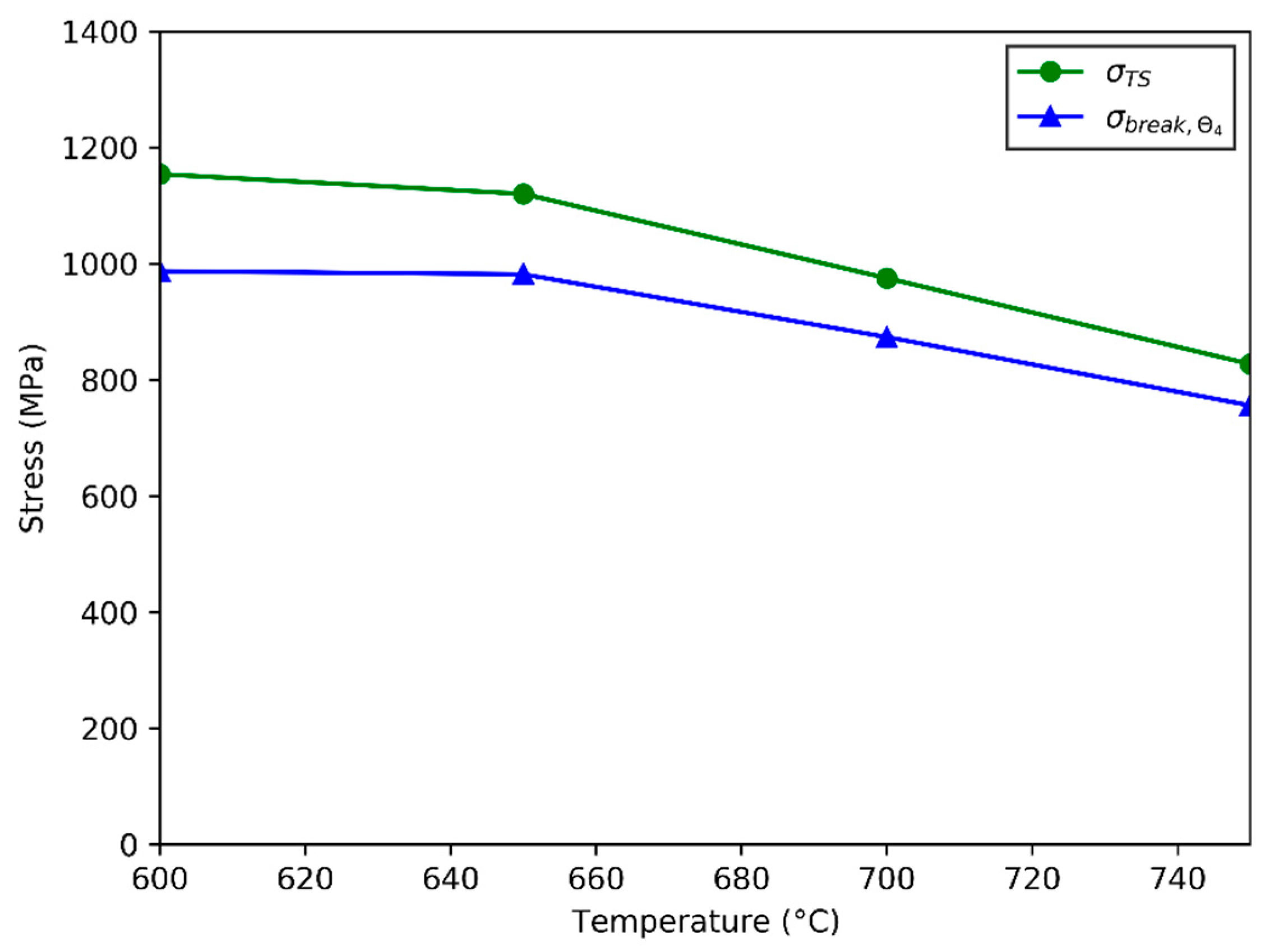
3.2. Correlating θ Parameters to Applied Conditions
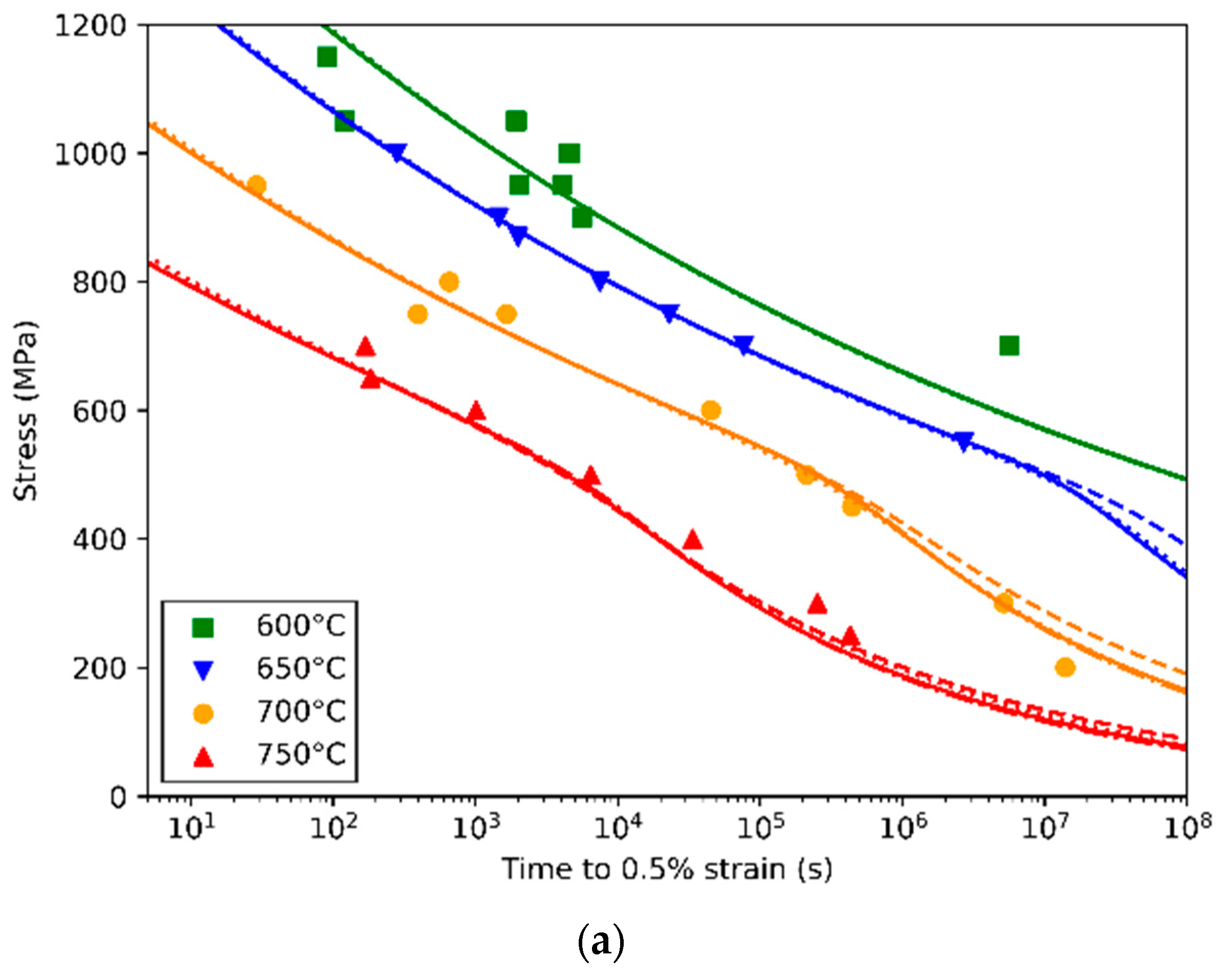
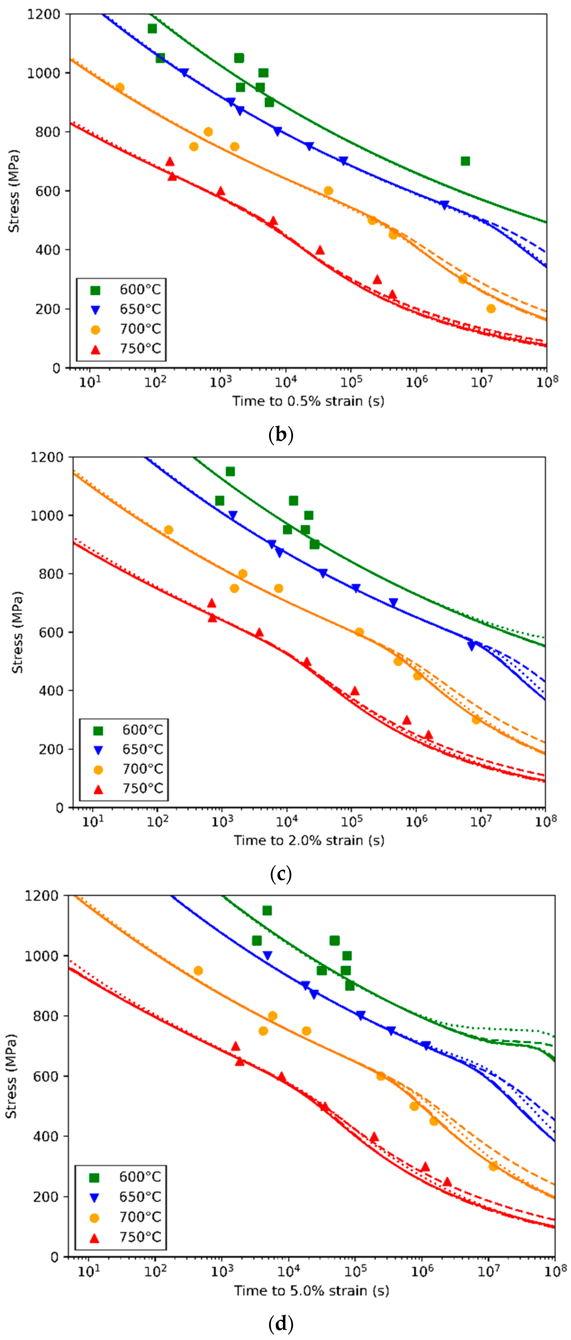
3.3. Optimising θ Parameters
4. Discussion
5. Conclusions
Funding
Data Availability Statement
Conflicts of Interest
References
- Evans, R.W.; Parker, J.D.; Wilshire, B. An Extrapolation Procedure for Long Term Creep-Strain and Creep Life Prediction. Proc. Recent Adv. Creep Fract. Eng. Mater. Struct. 1982, 135, 135–184. [Google Scholar]
- Prager, M. Development of the MPC Omega Method for Life Assessment in the Creep Range. J. Press. Vessel Technol. 1995, 117, 95–103. [Google Scholar] [CrossRef]
- Wu, X.; Williams, S.; Gong, D. A True-Stress Creep Model Based on Deformation Mechanisms for Polycrystalline Materials. J. Mater. Eng. Perform. 2012, 21, 2255–2262. [Google Scholar] [CrossRef]
- Wilshire, B.; Battenbough, A.J. Creep and creep fracture of polycrystalline copper. Mater. Sci. Eng. A 2007, 443, 156–166. [Google Scholar] [CrossRef]
- Harrison, W.; Whittaker, M.; Williams, S. Recent advances in creep modelling of the nickel base superalloy, Alloy 720Li. Materials 2013, 6, 1118–1137. [Google Scholar] [CrossRef]
- Evans, R.W. A constitutive model for the high-temperature creep of particle-hardened alloys based on the θ projection method. Proc. R. Soc. London. Ser. A Math. Phys. Eng. Sci. 2000, 456, 835–868. [Google Scholar] [CrossRef]
- Soares, T.R.L.; Kieliba, I.; Azenha, M.; Tonnesen, T.; Lourenço, P.B. A theta projection model for compressive creep behaviour of refractories at high temperature: Application to alumina-spinel. Meccanica 2023, 58, 2401–2420. [Google Scholar] [CrossRef]
- Harrison, W.; Abdallah, Z.; Whittaker, M. A model for creep and creep damage in the γ-titanium aluminide Ti-45Al-2Mn-2Nb. Materials 2014, 7, 2194–2209. [Google Scholar] [CrossRef]
- Liu, H.; Peng, F.; Zhang, Y.; Li, Y.; An, K.; Yang, Y.; Zhang, Y.; Guan, X.; Zhu, W. A New Modified Theta Projection Model for Creep Property at High Temperature. J. Mater. Eng. Perform. 2020, 29, 4779–4785. [Google Scholar] [CrossRef]
- Kumar Krovvidi, S.C.S.P.; Vanaja, J.; Christopher, J.; Goyal, S.; Das, C.R.; Bhaduri, A.K. Creep Behavior of Inconel-625 and Its Modeling at 843 K. Trans. Indian Natl. Acad. Eng. 2022, 7, 541–548. [Google Scholar] [CrossRef]
- Jeyaraj, A.; Vijayanand, V.D.; Ganesan, V.; Ravindran, D.; Reddy, G.V.P.; Sankaran, S.; Mannan, S.L. Grain Size Effect on Creep Properties of 304HCu SS and Modelling of Creep Curves Using Modified Theta Projection Approach. Trans. Indian Natl. Acad. Eng. 2022, 7, 635–643. [Google Scholar] [CrossRef]
- Ruban, R.; Latha, S.; Sivapirakasam, S.P.; Srinivasan, V.S.; Prasad Reddy, G.V. On new relation for theta projection approach for the prediction of creep behaviour of alloy D9I austenitic stainless steel. Mater. Today Proc. 2019, 46, 9154–9158. [Google Scholar] [CrossRef]
- Evans, M. The θ projection method and small creep strain interpolations in a commercial Titanium alloy. J. Mater. Sci. 2001, 36, 2875–2884. [Google Scholar] [CrossRef]
- Lancaster, R.J.; Harrison, W.J.; Norton, G. Materials Science & Engineering A An analysis of small punch creep behaviour in the γ titanium aluminide Ti–45Al–2Mn–2Nb. Mater. Sci. Eng. A 2015, 626, 263–274. [Google Scholar] [CrossRef]
- Harrison, W.J.; Whittaker, M.T.; Deen, C. Creep behaviour of Waspaloy under non-constant stress and temperature. Mater. Res. Innov. 2013, 17, 323–326. [Google Scholar] [CrossRef]
- Law, M.; Payten, W.; Snowden, K. Finite element analysis of creep using Theta projection data. Int. J. Press. Vessel. Pip. 1998, 75, 437–442. [Google Scholar] [CrossRef]
- Song, M.; Xu, T.; Wang, Q.; Wang, W.; Zhou, Y.; Gong, M.; Sun, C. A modified theta projection model for the creep behaviour of creep-resistant steel. Int. J. Press. Vessel. Pip. 2018, 165, 224–228. [Google Scholar] [CrossRef]
- Ashby, M.F. A first report on deformation-mechanism maps. Acta Metall. 1972, 20, 887–897. [Google Scholar] [CrossRef]
- Frost, H.J.; Ashby, M.F. Deformation-Mechanism Maps: The Plasticity and Creep of Metals and Ceramics; Pergamon Press: Elmsford, NY, USA, 1982. [Google Scholar]
- Gray, V.; Whittaker, M. The changing constants of creep: A letter on region splitting in creep lifing. Mater. Sci. Eng. A 2015, 632, 96–102. [Google Scholar] [CrossRef]
- Whittaker, M.T.; Harrison, W.J. Evolution of Wilshire equations for creep life prediction. Mater. High Temp. 2014, 31, 233–238. [Google Scholar] [CrossRef]
- Whittaker, M.T.; Evans, M.; Wilshire, B. Long-term creep data prediction for type 316H stainless steel. Mater. Sci. Eng. A 2012, 552, 145–150. [Google Scholar] [CrossRef]
- Esposito, L.; Bonora, N.; De Vita, G. Creep modelling of 316H stainless steel over a wide range of stress. Procedia Struct. Integr. 2016, 2, 927–933. [Google Scholar] [CrossRef]
- Abdallah, Z.; Perkins, K.; Williams, S. Advances in the Wilshire extrapolation technique—Full creep curve representation for the aerospace alloy Titanium 834. Mater. Sci. Eng. A 2012, 550, 176–182. [Google Scholar] [CrossRef]
- Abdallah, Z.; Whittaker, M.T.; Bache, M.R. High temperature creep behaviour in the γ titanium aluminide Ti–45Al–2Mn–2Nb. Intermetallics 2013, 38, 55–62. [Google Scholar] [CrossRef]
- Whittaker, M.; Harrison, W.; Deen, C.; Rae, C.; Williams, S. Creep deformation by dislocation movement in waspaloy. Materials 2017, 10, 61. [Google Scholar] [CrossRef]
- Birosca, S.; Liu, G.; Ding, R.; Jiang, J.; Simm, T.; Deen, C.; Whittaker, M. The dislocation behaviour and GND development in a nickel based superalloy during creep. Int. J. Plast. 2019, 118, 252–268. [Google Scholar] [CrossRef]
- Wu, X. Deformation and Evolution of Life in Crystalline Materials; Taylor & Francis: London, UK, 2019. [Google Scholar]
- Ding, Y.P.; Wu, X.J.; Liu, R.; Zhang, X.Z.; Khelfaoui, F. Creep performance characterization for Haynes 282TM using the deformation-mechanism-based true stress model. Therm. Sci. Eng. Prog. 2023, 37, 101603. [Google Scholar] [CrossRef]
- Wu, X.J. Comment on “Theoretical and Experimental Study of Creep Damage on Alloy 800 at High Temperature (MSA 140953)”. Mater. Sci. Eng. A 2021, 820, 141543. [Google Scholar] [CrossRef]
- Zhang, X.Z.; Wu, X.J.; Liu, R.; Liu, J.; Yao, M.X. Deformation-mechanism-based modeling of creep behavior of modified 9Cr-1Mo steel. Mater. Sci. Eng. A 2017, 689, 345–352. [Google Scholar] [CrossRef]
- Wilshire, B.; Scharning, P.J. Theoretical and practical approaches to creep of Waspaloy. Mater. Sci. Technol. 2009, 25, 242–248. [Google Scholar] [CrossRef]
- Yang, X.-S. Chapter 20—Numerical Methods. In Engineering Mathematics with Examples and Applications; Yang, X.-S., Ed.; Academic Press: Cambridge, MA, USA, 2017; pp. 231–241. ISBN 978-0-12-809730-4. [Google Scholar]
- Evans, M.; Williams, T. Assessing the capability of the Wilshire equations in predicting uniaxial creep curves: An application to Waspaloy. Int. J. Press. Vessel. Pip. 2019, 172, 153–165. [Google Scholar] [CrossRef]
- Johnson, A.E.; Henderson, J.; Khan, B. Paper 26: Multiaxial Creep-Strain/Complex-Stress/Time Relations for Metallic Alloys with Some Applications to Structures. In Proceedings of the Institution of Mechanical Engineers, Conference Proceedings; SAGE Publications: London, UK; 1963; pp. 2–27. [Google Scholar]
- Whittaker, M.T.; Wilshire, B. Long term creep life prediction for Grade 22 (2·25Cr-1Mo) steels. Mater. Sci. Technol. 2011, 27, 642–647. [Google Scholar] [CrossRef]
- Whittaker, M.T.; Wilshire, B. Creep and Creep Fracture of 2.25Cr–1.6W Steels (Grade 23). Mater. Sci. Eng. A 2010, 527, 4932–4938. Available online: http://linkinghub.elsevier.com/retrieve/pii/S0921509310004302 (accessed on 10 October 2024). [CrossRef]
- Powell, M.J.D. An efficient method for finding the minimum of a function of several variables without calculating derivatives. Comput. J. 1964, 7, 155–162. [Google Scholar] [CrossRef]
- MacEwan, J.R.; MacEwan, J.U.; Yaffe, L. Self-Diffusion in Polycrystalline Nickel. Can. J. Chem. 1959, 37, 1623–1628. [Google Scholar] [CrossRef]
- Evans, M. The Important Role Played by High-Temperature Tensile Testing in the Representation of Minimum Creep Rates Using S-Shaped Curve Models. Metall. Mater. Trans. A 2023, 54, 4796–4805. [Google Scholar] [CrossRef]












| Element | Cr | Co | C | Mn | Si | Fe | Mo | Ti | Al | B | Zr |
|---|---|---|---|---|---|---|---|---|---|---|---|
| wt% | 19.1 | 13.5 | 0.03 | 0.10 | 0.10 | 0.79 | 4.08 | 3.18 | 1.30 | 0.005 | 0.07 |
| Element | S | P | Cu | Ag | Pb | Bi | Ni | ||||
| wt% | 0.0025 | 0.01 | 0.10 | 5 ppm | 10 ppm | 0.5 ppm | Bal. | ||||
| (J·mol−1) | (MPa) | (J·mol−1) | (MPa) | |||
|---|---|---|---|---|---|---|
| 59,900.2 | 1.952 | 184.931 | 0.0 | 0.0 | 0.0 | |
| 106,856.9 | 11.468 | 1207.185 | 0.0 | 0.0 | 0.0 | |
| 287,233.3 | 0.5 | 4.86 × 1013 | 222,840.5 | 6.230 | 7.02 × 1011 | |
| 315,215.1 | 4.465 | 3.6 × 1012 | 250,611.0 | 15.914 | 1.21 × 1011 |
| Method | MAE | Function Evaluations | Iterations |
|---|---|---|---|
| Simplex | 3.198 | 12,605 | 10,000 |
| Powell | 3.316 | 9948 | 19 |
| CG | 3.384 | 3645 | 43 |
| SLSQP | 3.392 | 362 | 13 |
| (J·mol−1) | (Mpa) | (J·mol−1) | (Mpa) | |||
|---|---|---|---|---|---|---|
| 52,710.1 | 2.109 | 200.52 | 0.0 | 0.0 | 0.0 | |
| 111,381.7 | 13.524 | 1074.05 | 0.0 | 0.0 | 0.0 | |
| 300,973.2 | 0.480 | 5.05 × 1013 | 264,380.9 | 5.916 | 6.92 × 1011 | |
| 311,327.7 | 4.728 | 3.42 × 1012 | 274,952.9 | 15.506 | 1.29 × 1011 |
Disclaimer/Publisher’s Note: The statements, opinions and data contained in all publications are solely those of the individual author(s) and contributor(s) and not of MDPI and/or the editor(s). MDPI and/or the editor(s) disclaim responsibility for any injury to people or property resulting from any ideas, methods, instructions or products referred to in the content. |
© 2024 by the author. Licensee MDPI, Basel, Switzerland. This article is an open access article distributed under the terms and conditions of the Creative Commons Attribution (CC BY) license (https://creativecommons.org/licenses/by/4.0/).
Share and Cite
Harrison, W. Recent Advances in Creep Modelling Using the θ Projection Method. Metals 2024, 14, 1395. https://doi.org/10.3390/met14121395
Harrison W. Recent Advances in Creep Modelling Using the θ Projection Method. Metals. 2024; 14(12):1395. https://doi.org/10.3390/met14121395
Chicago/Turabian StyleHarrison, William. 2024. "Recent Advances in Creep Modelling Using the θ Projection Method" Metals 14, no. 12: 1395. https://doi.org/10.3390/met14121395
APA StyleHarrison, W. (2024). Recent Advances in Creep Modelling Using the θ Projection Method. Metals, 14(12), 1395. https://doi.org/10.3390/met14121395

